Urban Vegetation Types are Not Perceived Equally in Providing Ecosystem Services and Disservices
Abstract
1. Introduction
2. Materials and Methods
2.1. Case Study Site Description
2.2. Survey Design
2.3. Survey Implementation
2.4. Statistical Analysis
3. Results
3.1. Perceived Importance of Urban Vegetation in Providing Ecosystem Services and Disservices
3.2. Perceived Association of Vegetation Types with Ecosystem Services and Disservices
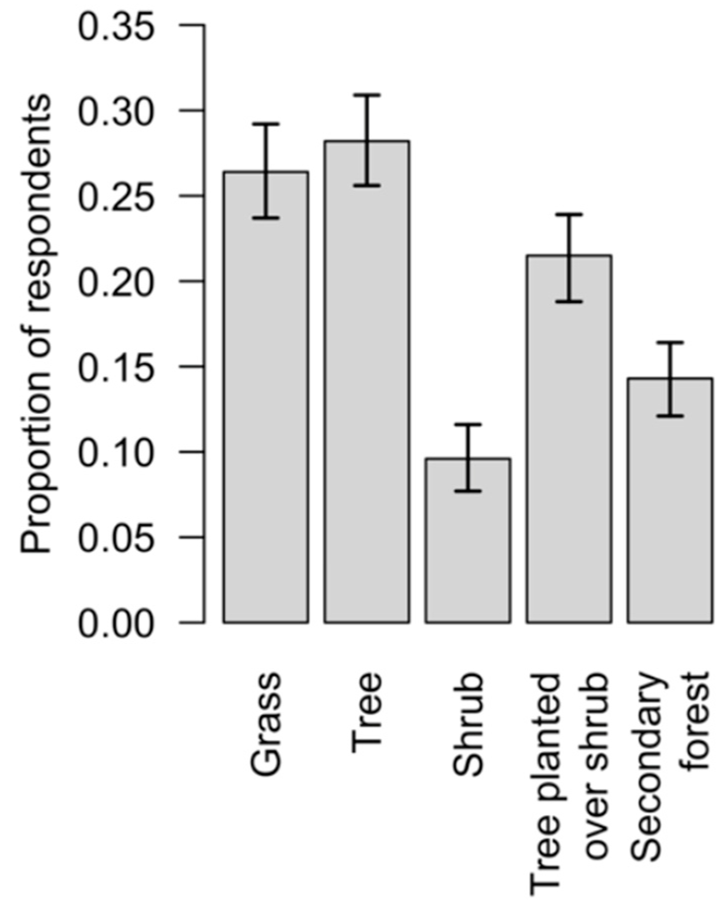
3.3. Preference for Vegetation Types in Urban Landscapes
4. Discussion
4.1. Perceived Importance of Urban Vegetation in Providing Ecosystem Services and Disservices
4.2. Different Vegetation Types are Perceived to be Associated with Different Ecosystem Services and Disservices
4.3. Preference for Vegetation Types in Urban Landscapes
5. Conclusions
Supplementary Materials
Author Contributions
Funding
Acknowledgments
Conflicts of Interest
Appendix A

| Ecosystem (Dis)Service | Number of Samples | Degrees of Freedom | χ2 | p | Most Associated Vegetation Type |
|---|---|---|---|---|---|
| Air quality | 1000 | 4 | 593.3 | <0.001 | Tree |
| Cooling | 1000 | 4 | 604.4 | <0.001 | Tree |
| Noise att. | 1000 | 4 | 183.1 | <0.001 | Tree |
| Carbon | 1000 | 4 | 377.0 | <0.001 | Secondary forest |
| Flood reg. | 1000 | 4 | 132.1 | <0.001 | Secondary forest |
| Aesthetic | 1000 | 4 | 153.4 | <0.001 | Tree over shrub |
| Outdoor rec. | 1000 | 4 | 69.2 | <0.001 | Tree over shrub |
| Education | 1000 | 4 | 540.7 | <0.001 | Secondary forest |
| Spiritual | 1000 | 4 | 81.1 | <0.001 | Tree |
| Social space | 1000 | 4 | 88.8 | <0.001 | Grass |
| Inspiration | 1000 | 4 | 132.6 | <0.001 | Tree over shrub |
| Well-being | 1000 | 4 | 103.4 | <0.001 | Tree |
| Pos. wildl. int. | 1000 | 4 | 379.9 | <0.001 | Secondary forest |
| Pos. wildlife | 1000 | 4 | 402.5 | <0.001 | Secondary forest |
| Pests | 1000 | 4 | 286.4 | <0.001 | Secondary forest |
| Smell | 1000 | 4 | 215.7 | <0.001 | Secondary forest |
| Disease | 1000 | 4 | 358.8 | <0.001 | Secondary forest |
| Damage | 1000 | 4 | 82.3 | <0.001 | Tree |
| Messy | 1000 | 4 | 608.5 | <0.001 | Secondary forest |
| Unsafe | 1000 | 4 | 79.5 | <0.001 | Secondary forest |
| Crime | 1000 | 4 | 414.8 | <0.001 | Secondary forest |
| Uneasy | 1000 | 4 | 252.3 | <0.001 | Secondary forest |
| Neg. wildl. int. | 1000 | 4 | 238.0 | <0.001 | Secondary forest |
| Neg. wildlife | 1000 | 4 | 239.0 | <0.001 | Secondary forest |
| Comparison | Raw p | Adjusted p |
|---|---|---|
| Grass vs. Tree | 0.645 | 0.645 |
| Grass vs. Shrub | <0.001 | <0.001 |
| Grass vs. Tree over shrub | 0.136 | 0.151 |
| Grass vs. Forest | <0.001 | <0.001 |
| Tree vs. Shrub | <0.001 | <0.001 |
| Tree vs. Tree over shrub | 0.051 | 0.063 |
| Tree vs. Forest | <0.001 | <0.001 |
| Shrub vs. Tree over shrub | <0.001 | <0.001 |
| Shrub vs. Forest | 0.018 | 0.025 |
| Tree over shrub vs. Forest | 0.006 | 0.009 |
References
- Bolund, P.; Hunhammar, S. Ecosystem services in urban areas. Ecol. Econ. 1999, 29, 293–301. [Google Scholar] [CrossRef]
- Gómez-Baggethun, E.; Gren, Å.N.; Barton, D.; Langemeyer, J.; McPhearson, T.; O’Farrell, P.; Andersson, E.; Hamstead, Z.; Kremer, P. Urban ecosystem services. In Urbanization, Biodiversity and Ecosystem Services: Challenges and Opportunities; Elmqvist, T., Ed.; Springer: Dordrecht, The Netherlands, 2013; pp. 175–251. ISBN 978-94-007-7088-1. [Google Scholar]
- Haase, D.; Larondelle, N.; Andersson, E.; Artmann, M.; Borgström, S.; Breuste, J.; Gómez-Baggethun, E.; Gren, Å.; Hamstead, Z.; Hansen, R.; et al. A quantitative review of urban ecosystem service assessments: Concepts, models, and implementation. AMBIO 2014, 43, 413–433. [Google Scholar] [CrossRef] [PubMed]
- Gómez-Baggethun, E.; Barton, D.N. Classifying and valuing ecosystem services for urban planning. Ecol. Econ. 2013, 86, 235–245. [Google Scholar] [CrossRef]
- Costanza, R.; Groot, R.; Braat, L.; Kubiszewski, I.; Fioramonti, L.; Sutton, P.; Farber, S.; Grasso, M. Twenty years of ecosystem services: How far have we come and how far do we still need to go? Ecosyst. Serv. 2017, 28, 1–16. [Google Scholar] [CrossRef]
- Zinia, N.J.; McShane, P. Significance of urban green and blue spaces: Identifying and valuing provisioning ecosystem services in Dhaka City. Eur. J. Sustain. Dev. 2018, 7, 435–448. [Google Scholar] [CrossRef]
- Nagendra, H.; Nagendran, S.; Paul, S.; Pareeth, S. Graying, greening and fragmentation in the rapidly expanding Indian city of Bangalore. Landsc. Urban Plan. 2012, 105, 400–406. [Google Scholar] [CrossRef]
- CICES. Common International Classification of Ecosystem Services (CICES) V5.1 Guidance on the Application of the Revised Structure. 2018. Available online: https://cices.eu/content/uploads/sites/8/2018/01/Guidance-V51-01012018.pdf (accessed on 10 December 2019).
- Cortinovis, C.; Geneletti, D. A framework to explore the effects of urban planning decisions on regulating ecosystem services in cities. Ecosyst. Serv. 2019, 38, 100946. [Google Scholar] [CrossRef]
- Milcu, A.I.; Hanspach, J.; Abson, D.; Fischer, J. Cultural ecosystem services—A literature review and prospects for future research. Ecol. Soc. 2013, 18, 44. [Google Scholar] [CrossRef]
- Lyytimäki, J.; Sipilä, M. Hopping on one leg—The challenge of ecosystem disservices for urban green management. Urban For. Urban Green. 2009, 8, 309–315. [Google Scholar] [CrossRef]
- Döhren, P.; Haase, D. Ecosystem disservices research: A review of the state of the art with a focus on cities. Ecol. Indic. 2015, 52, 490–497. [Google Scholar] [CrossRef]
- Delshammar, T.; Östberg, J.; Öxell, C. Urban trees and ecosystem disservices—A pilot study using complaints records from three Swedish cities. Arboric. Urban For. 2015, 41, 187–193. [Google Scholar]
- Mexia, T.; Vieira, J.; Príncipe, A.; Anjos, A.; Silva, P.; Lopes, N.; Freitas, C.; Santos-Reis, M.; Correia, O.; Branquinho, C.; et al. Ecosystem services: Urban parks under a magnifying glass. Environ. Res. 2018, 160, 469–478. [Google Scholar] [CrossRef] [PubMed]
- Fung, C.K.W.; Jim, C.Y. Microclimatic resilience of subtropical woodlands and urban-forest benefits. Urban For. Urban Green. 2019, 42, 100–112. [Google Scholar] [CrossRef]
- Ossola, A.; Hahs, A.K.; Nash, M.A.; Livesley, S.J. Habitat complexity enhances comminution and decomposition processes in urban ecosystems. Ecosystems 2016, 19, 927–941. [Google Scholar] [CrossRef]
- Lyytimäki, J.; Petersen, L.K.; Normander, B.; Bezák, P. Nature as a nuisance? Ecosystem services and disservices to urban lifestyle. Environ. Sci. 2008, 5, 161–172. [Google Scholar] [CrossRef]
- Lafortezza, R.; Carrus, G.; Sanesi, G.; Davies, C. Benefits and well-being perceived by people visiting green spaces in periods of heat stress. Urban For. Urban Green. 2009, 8, 97–108. [Google Scholar] [CrossRef]
- Lamarque, P.; Tappeiner, U.; Turner, C.; Steinbacher, M.; Bardgett, R.D.; Szukics, U.; Schermer, M.; Lavorel, S. Stakeholder perceptions of grassland ecosystem services in relation to knowledge on soil fertility and biodiversity. Reg. Environ. Chang. 2011, 11, 791–804. [Google Scholar] [CrossRef]
- Meijaard, E.; Abram, N.K.; Wells, J.A.; Pellier, A.S.; Ancrenaz, M.; Gaveau, D.L.; Runting, R.K.; Mengersen, K. People’s perceptions about the importance of forests on Borneo. PLoS ONE 2013, 8, e73008. [Google Scholar] [CrossRef]
- Abram, N.K.; Meijaard, E.; Ancrenaz, M.; Runting, R.K.; Wells, J.A.; Gaveau, D.L.A.; Pellier, A.S.; Mengersen, K. Spatially explicit perceptions of ecosystem services and land cover change in forested regions of Borneo. Ecosyst. Serv. 2014, 7, 116–127. [Google Scholar] [CrossRef]
- Muhamad, D.; Okubo, S.; Harashina, K.; Parikesit, P.; Gunawan, B.; Takeuchi, K. Living close to forests enhances people’s perception of ecosystem services in a forest-agricultural landscape of West Java, Indonesia. Ecosyst. Serv. 2014, 8, 197–206. [Google Scholar] [CrossRef]
- Knez, I.; Thorsson, S. Thermal, emotional and perceptual evaluations of a park: Cross-Cultural and environmental attitude comparisons. Build. Environ. 2008, 43, 1483–1490. [Google Scholar] [CrossRef]
- Manzoor, S.A.; Malik, A.; Zubair, M.; Griffiths, G. and Lukac, M. Linking social perception and provision of ecosystem services in a sprawling urban landscape: A case study of Multan, Pakistan. Sustainability 2019, 11, 654. [Google Scholar] [CrossRef]
- Suchocka, M.; Jankowski, P.; Błaszczyk, M. Perception of urban trees by Polish tree professionals vs. nonprofessionals. Sustainability 2019, 11, 211. [Google Scholar] [CrossRef]
- Martín-López, B.; Iniesta-Arandia, I.; García-Llorente, M.; Palomo, I.; Casado-Arzuaga, I.; Amo, D.G.D. Uncovering ecosystem service bundles through social preferences. PLoS ONE 2012, 7, e38970. [Google Scholar]
- Orenstein, D.E.; Groner, E. In the eye of the stakeholder: Changes in perceptions of ecosystem services across an international border. Ecosyst. Serv. 2014, 8, 185–196. [Google Scholar] [CrossRef]
- Richards, D.R.; Warren, P.H.; Maltby, L.; Moggridge, H.L. Awareness of greater numbers of ecosystem services affects preferences for floodplain management. Ecosyst. Serv. 2017, 24, 138–146. [Google Scholar] [CrossRef]
- Cáceres, D.M.; Tapella, E.; Quetier, F.; Diaz, S. The social value of biodiversity and ecosystem services from the perspectives of different social actors. Ecol. Soc. 2015, 20, 62. [Google Scholar] [CrossRef]
- Morales-Reyes, Z.; Martín-López, B.; Moleón, M.; Mateo-Tomás, P.; Botella, F.; Margalida, A.; Donázar, J.A.; Blanco, G.; Pérez, I.; Sánchez-Zapata, J.A. Farmer perceptions of the ecosystem services provided by scavengers: What, who, and to whom. Conserv. Lett. 2018, 11, 1–11. [Google Scholar] [CrossRef]
- Mclellan, V.; Shackleton, C. The relative representation of ecosystem services and disservices in South African newspaper media over fifteen years. Ecosyst. People 2019, 15, 247–256. [Google Scholar] [CrossRef]
- Suchocka, M.; Jankowski, P.; Błaszczyk, M. Tree protection on construction sites—Knowledge and perception of Polish professionals. Urban For. Urban Green. 2019, 46, 126436. [Google Scholar] [CrossRef]
- Raymond, C.M.; Bryan, B.A.; MacDonald, D.H.; Cast, A.; Strathearn, S.; Grandgirard, A.; Kalivas, T. Mapping community values for natural capital and ecosystem services. Ecol. Econ. 2009, 68, 1301–1315. [Google Scholar] [CrossRef]
- Sherrouse, B.C.; Clement, J.M.; Semmens, D.J. A GIS application for assessing, mapping, and quantifying the social values of ecosystem services. Appl. Geogr. 2011, 31, 748–760. [Google Scholar] [CrossRef]
- Leong, H.K. Citizen participation and policy making in Singapore: Conditions and predicaments. Asian Surv. 2000, 40, 436–455. [Google Scholar] [CrossRef]
- Casado-Arzuaga, I.; Madariaga, I.; Onaindia, M. Perception, demand and user contribution to ecosystem services in the Bilbao Metropolitan Greenbelt. J. Environ. Manag. 2013, 129, 33–43. [Google Scholar] [CrossRef] [PubMed]
- Escobedo, F.; Northrop, R.; Orfanedes, M.; Iaconna, A. Comparison of community leader perceptions on urban forests in Florida. EDIS 2010, 2. [Google Scholar]
- Turner, R.K.; Daily, G.D. The ecosystem services framework and natural capital conservation. Environ. Resour. Econ. 2008, 39, 25–35. [Google Scholar] [CrossRef]
- Atif, S.B.; Saqib, Z.; Zaman-ul-Haq, M.; Akhtar, N.; Fatimah, H.; Atif, M.; Farooqi, S. Identification of key-trends and evaluation of contemporary research regarding urban ecosystem services: A path towards socio-ecological sustainability of urban areas. Appl. Ecol. Environ. Res. 2018, 16, 3545–3581. [Google Scholar] [CrossRef]
- Song, X.P.; Richards, D.R.; Edwards, P.J.; Tan, P.Y. Benefits of trees in tropical cities. Science 2017, 356, 1241. [Google Scholar] [CrossRef]
- National Environment Agency. Climate of Singapore. National Environment Agency Website. Available online: http://www.weather.gov.sg/climate-climate-of-singapore/ (accessed on 8 October 2019).
- SingStat. Population and Population Structure. Available online: https://www.singstat.gov.sg/find-data/search-by-theme/population/population-and-population-structure/latest-data (accessed on 10 December 2019).
- Yee, A.T.K.; Corlett, R.T.; Liew, S.C.; Tan, H.T.W. The vegetation of Singapore—An updated map. Gard. Bull. Singap. 2011, 63, 205–212. [Google Scholar]
- Zar, J.H. Biostatistical Analysis; Prentice Hall/Pearson: Upper Saddle River, NJ, USA, 2010; p. 944. [Google Scholar]
- R Core Team. R: A Language and Environment for Statistical Computing; R Foundation for Statistical Computing: Vienna, Austria, 2019. [Google Scholar]
- The Straits Times. Singapore Experienced Eighth Warmest Year in 2018, December was Second Hottest Year End in History. Available online: https://www.straitstimes.com/singapore/environment/singapore-experienced-eighth-warmest-year-in-2018-december-was-second-hottest (accessed on 10 December 2019).
- Chow, W.T.L.; Akbar, S.N.A.B.A.; Heng, S.L.; Roth, M. Assessment of measured and perceived microclimates within a tropical urban forest. Urban For. Urban Green. 2016, 16, 62–75. [Google Scholar] [CrossRef]
- Heng, S.; Chow, W. How ‘hot’ is too hot? Evaluating acceptable ranges of outdoor thermal comfort in an equatorial urban park. Int. J. Biometeo. 2019, 63, 801–816. [Google Scholar] [CrossRef] [PubMed]
- Mora, C.; Dousset, B.; Caldwell, I.R.; Powell, F.E.; Geronimo, R.C.; Bielecki, C.R.; Counsell, C.W.W.; Dietrich, B.S.; Johnston, E.T.; Louis, L.V.; et al. Global risk of deadly heat. Nat. Clim. Chang. 2017, 7, 501–506. [Google Scholar] [CrossRef]
- Carrasco, L.R. Silver lining of Singapore’s haze. Science 2013, 341, 342–343. [Google Scholar] [CrossRef] [PubMed]
- The Straits Times. Haze Brings Risk of Cardiac Arrests: Study. Available online: https://www.straitstimes.com/singapore/health/haze-brings-risk-of-cardiac-arrests-study (accessed on 10 December 2019).
- AsiaOne. Haze Causes Tourism Gloom in Singapore. AsiaOne Website. Available online: https://www.asiaone.com/singapore/haze-causes-tourism-gloom-singapore (accessed on 10 December 2019).
- Chow, W.T.L.; Cheong, B.D.; Ho, B.H.A. Multimethod approach towards assessing urban flood patterns and its associated vulnerabilities in Singapore. Adv. Meteorol. 2016, 7159132. [Google Scholar] [CrossRef]
- Chow, W.T.L. The impact of weather extremes on urban resilience to hydro-climate hazards: A Singapore case study. Int. J. Water Resour. Dev. 2017, 34, 510–524. [Google Scholar] [CrossRef]
- National Parks Board. Biophilic City in a Garden. National Parks Board of Singapore Website. Available online: https://www.nparks.gov.sg/about-us/city-in-a-garden (accessed on 10 January 2020).
- Hui, T.K.; Wan, T.W.D. Singapore’s image as a tourist destination. Int. J. Tour. Res. 2003, 5, 305–313. [Google Scholar] [CrossRef]
- Eco-Business. Can Singapore, the City in a Garden, Grow into a City in Nature? Eco-Business Website. Available online: https://www.eco-business.com/news/can-singapore-the-city-in-a-garden-grow-into-a-city-in-nature (accessed on 10 December 2019).
- National Parks Board. Therapeutic Horticulture Programmes. National Parks Board of Singapore Website. Available online: https://www.nparks.gov.sg/gardens-parks-and-nature/therapeutic-gardens/therapeutic-horticulture-programmes (accessed on 10 January 2020).
- Rajarethinam, J.; Ang, L.W.; Ong, J.; Ycasas, J.; Hapuarachchi, H.C.; Yap, G.; Chong, C.S.; Lai, Y.L.; Cutter, J.; Ho, D.; et al. Dengue in Singapore from 2004 to 2016: Cyclical epidemic patterns dominated by serotypes 1 and 2. Am. J. Trop. Med. Hyg. 2018, 99, 204–210. [Google Scholar] [CrossRef]
- Burattini, M.N.; Chen, M.; Chow, A.; Coutinho, F.A.B.; Goh, K.T.; Lopez, L.F.; Massad, E. Modelling the control strategies against dengue in Singapore. Epidemiol. Infect. 2008, 136, 309–319. [Google Scholar] [CrossRef]
- Lim, H.C.; Brook, B.W.; Soh, M.C.K. Undesirable aliens: Factors determining the distribution of three invasive bird species in Singapore. J. Trop. Ecol. 2003, 19, 685–695. [Google Scholar] [CrossRef]
- Lo, A.; Jim, C.Y. Willingness of residents to pay and motives for conservation of urban green spaces in the compact city of Hong Kong. Urban For. Urban Green. 2010, 9, 113–120. [Google Scholar] [CrossRef]
- Kothencz, G.; Kolcsár, R.; Cabrera-Barona, P.; Szilassi, P. Urban green space perception and its contribution to well-being. Int. J. Environ. Res. Public Health 2017, 14, 766. [Google Scholar] [CrossRef] [PubMed]
- Hwang, Y.H.; Yue, Z.E.J.; Ling, S.K.; Tan, H.H.V. It’s ok to be wilder: Preference for natural growth in urban green spaces in a tropical city. Urban For. Urban Green. 2019, 38, 165–176. [Google Scholar] [CrossRef]
- Camacho-Cervantes, M.; Schondube, J.E.; Castillo, A.; MacGregor-Fors, I. How do people perceive urban trees? Assessing likes and dislikes in relation to the trees of a city. Urban Ecosyst. 2014, 17, 761–773. [Google Scholar] [CrossRef]
- Weber, F.; Kowarik, I.; Säumel, I. A walk on the wild side: Perceptions of roadside vegetation beyond trees. Urban For. Urban Green. 2014, 13, 205–212. [Google Scholar] [CrossRef]
- Bixler, R.D.; Floyd, M.F. Nature is scary, disgusting, and uncomfortable. Environ. Behav. 1997, 29, 443–467. [Google Scholar] [CrossRef]
- Skår, M. Forest dear and forest fear: Dwellers’ relationships to their neighborhood forest. Landsc. Urban Plan. 2010, 98, 110–116. [Google Scholar] [CrossRef]
- Hwang, Y.H.; Roscoe, C.J. Preference for site conservation in relation to on-site biodiversity and perceived site attributes: An on-site survey of unmanaged urban greenery in a tropical city. Urban For. Urban Green. 2017, 28, 12–20. [Google Scholar] [CrossRef]
- Lohr, I.V.; Pearson-Mims, C.H.; Tarnai, J.; Dillman, D.A. How urban residents rate and rank the benefits and problems associated with trees in cities. J. Arboric. 2004, 30, 28–36. [Google Scholar]
- Fraser, D.G.E.; Kenney, W.A. Cultural background and landscape history as factors affecting perceptions of the urban forest. J. Arboric. 2000, 26, 106–112. [Google Scholar]
- Östberg, J.; Martinsson, M.; Stal, Ö.; Fransson, A. Risk of root intrusion by tree and shrub species into sewerpipes in Swedish urban areas. Urban For. Urban Green. 2011, 11, 65–71. [Google Scholar] [CrossRef]
- The Straits Times. 2011. Available online: http://leekuanyew.straitstimes.com/ST/chapter2.html (accessed on 10 December 2019).
- Today Online. Type of Trees Planted a Factor in Reducing Emissions. Available online: https://www.todayonline.com/singapore/type-trees-planted-factor-reducing-emissions (accessed on 10 December 2019).
- The Straits Times. In Pictures: Flowering Trees and Shrubs in Singapore. Available online: https://www.straitstimes.com/singapore/environment/in-pictures-flowering-trees-and-shrubs-in-singapore (accessed on 10 December 2019).
- Todorova, A.; Asakawa, S.; Aikoh, T. Preferences for and attitudes towards street flowers and trees in Sapporo, Japan. Landsc. Urban Plan. 2004, 69, 403–416. [Google Scholar] [CrossRef]
- Haviland-Jones, J.; Rosario, H.H.; Wilson, P.; McGuire, T.R. An environmental approach to positive emotion: Flowers. Evol. Psychol. 2005, 3, 104–132. [Google Scholar] [CrossRef]
- Chen, Y.; Liu, T.; Xie, X.; Marušić, B.G. What attracts people to visit community open spaces? A case study of the overseas Chinese town community in Shenzhen, China. Int. J. Environ. Res. Public Health 2016, 13, 644. [Google Scholar] [CrossRef]
- Ignatieva, M.; Eriksson, F.; Eriksson, T.; Berg, P.; Hedblom, M. The lawn as a social and cultural phenomenon in Sweden. Urban For. Urban Green. 2017, 21, 213–223. [Google Scholar] [CrossRef]
- Zhang, Y.; Hussain, A.; Deng, J.; Letson, N. Public attitudes toward urban trees and supporting urban tree programs. Environ. Behav. 2007, 39, 797–814. [Google Scholar] [CrossRef]
- Khew, J.Y.T.; Yokohari, M.; Tanaka, T. Public perceptions of nature and landscape preference in Singapore. Hum. Ecol. 2014, 42, 979–988. [Google Scholar] [CrossRef]
- Li, X.P.; Fan, S.X.; Kühn, N.; Dong, L.; Hao, P.Y. Residents’ ecological and aesthetical perceptions toward spontaneous vegetation in urban parks in China. Urban For. Urban Green. 2019, 44, 126397. [Google Scholar] [CrossRef]
- Brun, M.; Di Pietro, F.; Bonthoux, S. Residents’ perceptions and valuations of urban wastelands are influenced by vegetation structure. Urban For. Urban Green. 2018, 29, 393–403. [Google Scholar] [CrossRef]
- Harris, V.; Kendal, D.; Hahs, A.K.; Threlfall, C.G. Green space context and vegetation complexity shape people’s preferences for urban public parks and residential gardens. Landsc. Res. 2018, 43, 150–162. [Google Scholar] [CrossRef]
- National Parks Board. Nature Ways. National Parks Board of Singapore Website. Available online: https://www.nparks.gov.sg/gardens-parks-and-nature/nature-ways (accessed on 10 January 2020).




| (a) Statements Associated with Ecosystem Services: | Ecosystem Service Type | Label in Figure 3 |
|---|---|---|
| It improves air quality | Regulating | Air quality |
| It provides me with shade | Regulating | Shade |
| It reduces surrounding noise levels | Regulating | Noise Attenuation |
| It stores carbon | Regulating | Carbon |
| It controls the effects of heavy rainfall and flooding | Regulating | Flood Regulation |
| It is pleasing for me to look at | Cultural | Aesthetic |
| It encourages me to spend time outdoors | Cultural | Outdoor Recreation |
| It provides opportunities for me to learn more about nature | Cultural | Education |
| It possesses spiritual or religious value | Cultural | Spiritual |
| It provides me with a good place for socializing | Cultural | Social Space |
| It provides me with inspiration for art, creativity, and photography | Cultural | Inspiration |
| It makes me feel better (e.g., improve my longevity, relieves my feelings of stress, allow me to relax, etc.) | Cultural | Well-being |
| It increases my interaction with wildlife | Cultural | Positive Wildlife Interactions |
| It supports wildlife that I enjoy | Cultural | Positive Wildlife |
| (b) Statements Associated with Ecosystem Disservices: | Label in Figure 3 | |
| It encourages the presence of general pests (e.g., mosquitoes, rats, etc.) | NA | Pests |
| It is strong-smelling | NA | Smell |
| It poses a risk of spreading mosquito-borne diseases (e.g., dengue) | NA | Disease |
| It is damaging to sidewalks | NA | Damage |
| It looks messy | NA | Messy |
| It is a safety hazard to people and personal property | NA | Unsafe |
| It poses a crime risk | NA | Crime |
| It makes me feel uneasy | NA | Uneasy |
| It increases my interaction with wildlife that I do not enjoy | NA | Negative Wildlife Interactions |
| Variable | Coefficient | Standard Error | z | p |
|---|---|---|---|---|
| Intercept | −1.73 | 0.03 | −50.0 | <0.001 |
| Services | 2.20 | 0.04 | 52.2 | <0.001 |
| Regulating | 0.45 | 0.05 | 8.5 | <0.001 |
| Interaction | −0.01 | 0.06 | 0.1 | 0.91 |
© 2020 by the authors. Licensee MDPI, Basel, Switzerland. This article is an open access article distributed under the terms and conditions of the Creative Commons Attribution (CC BY) license (http://creativecommons.org/licenses/by/4.0/).
Share and Cite
Drillet, Z.; Fung, T.K.; Leong, R.A.T.; Sachidhanandam, U.; Edwards, P.; Richards, D. Urban Vegetation Types are Not Perceived Equally in Providing Ecosystem Services and Disservices. Sustainability 2020, 12, 2076. https://doi.org/10.3390/su12052076
Drillet Z, Fung TK, Leong RAT, Sachidhanandam U, Edwards P, Richards D. Urban Vegetation Types are Not Perceived Equally in Providing Ecosystem Services and Disservices. Sustainability. 2020; 12(5):2076. https://doi.org/10.3390/su12052076
Chicago/Turabian StyleDrillet, Zuzana, Tze Kwan Fung, Rachel Ai Ting Leong, Uma Sachidhanandam, Peter Edwards, and Daniel Richards. 2020. "Urban Vegetation Types are Not Perceived Equally in Providing Ecosystem Services and Disservices" Sustainability 12, no. 5: 2076. https://doi.org/10.3390/su12052076
APA StyleDrillet, Z., Fung, T. K., Leong, R. A. T., Sachidhanandam, U., Edwards, P., & Richards, D. (2020). Urban Vegetation Types are Not Perceived Equally in Providing Ecosystem Services and Disservices. Sustainability, 12(5), 2076. https://doi.org/10.3390/su12052076

