The Relation between Knowledge Acquisition and Environmental Values within the Scope of a Biodiversity Learning Module
Abstract
1. Introduction
In short, although there are many uncertainties about the trajectories of individual populations and species, we know where biodiversity will go from here in the absence of a rapid, transformative intervention: up in smoke; toward the poles and under water; into crops and livestock; onto the table and into yet more human biomass; into fuel tanks; into furniture, pet stores, and home remedies for impotence; out of the way of more cities and suburbs; into distant memory and history books.[9] (p. 11580)
1.1. Biodiversity Education
1.2. FutureForest—Engaging Students in Biodiversity Conservation
1.3. Knowledge Acquisition and Environmental Values
2. Research Goals
- RQ 1:
- To what extent does participation in the learning module affect the students’ short-and long-term knowledge acquisition?
- RQ 2:
- To what extent are the students’ environmental values preservation, utilization and appreciation related to the expected knowledge acquisition?
3. Materials and Methods
3.1. Sample
3.2. Project Content and Design
- (1)
- forests as providers of wellbeing: ecosystem services, including supporting, provisioning, regulating and cultural services.
- (2)
- DNA barcoding: the use of the method for species identification and its direct relation to biodiversity conservation through environmental monitoring.
- (3)
- species knowledge: the determination of forest soil organisms using a simple identification key combined with a task on the importance of a diverse composition of soil organism species for ecosystem functioning.
- (4)
- human-induced threats on biodiversity: the impact of the cultivation of spruce monocultures on local biodiversity (consequences of bark beetle calamities, climate change, etc.), including the perspectives of different stakeholders in a future scenario role play.
3.3. Instruments and Procedure
3.4. Statistical Analysis
4. Results
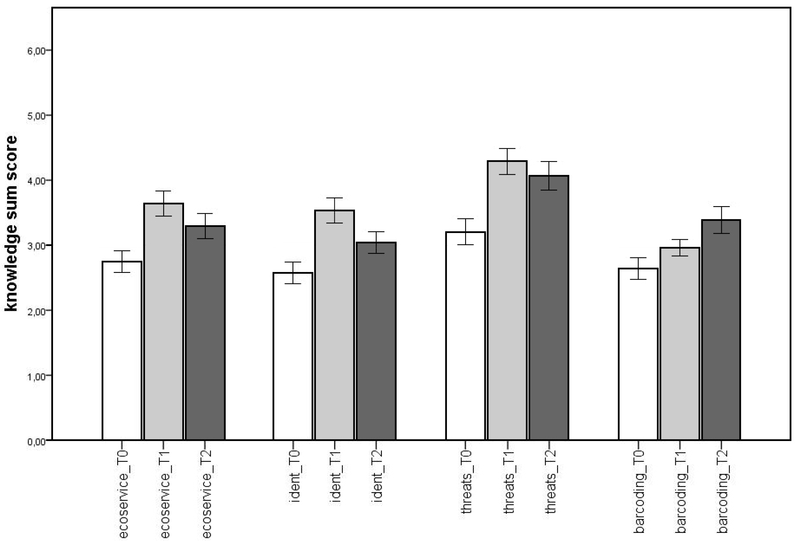
4.1. Cognitive Achievement within the Learning Module (RQ1)
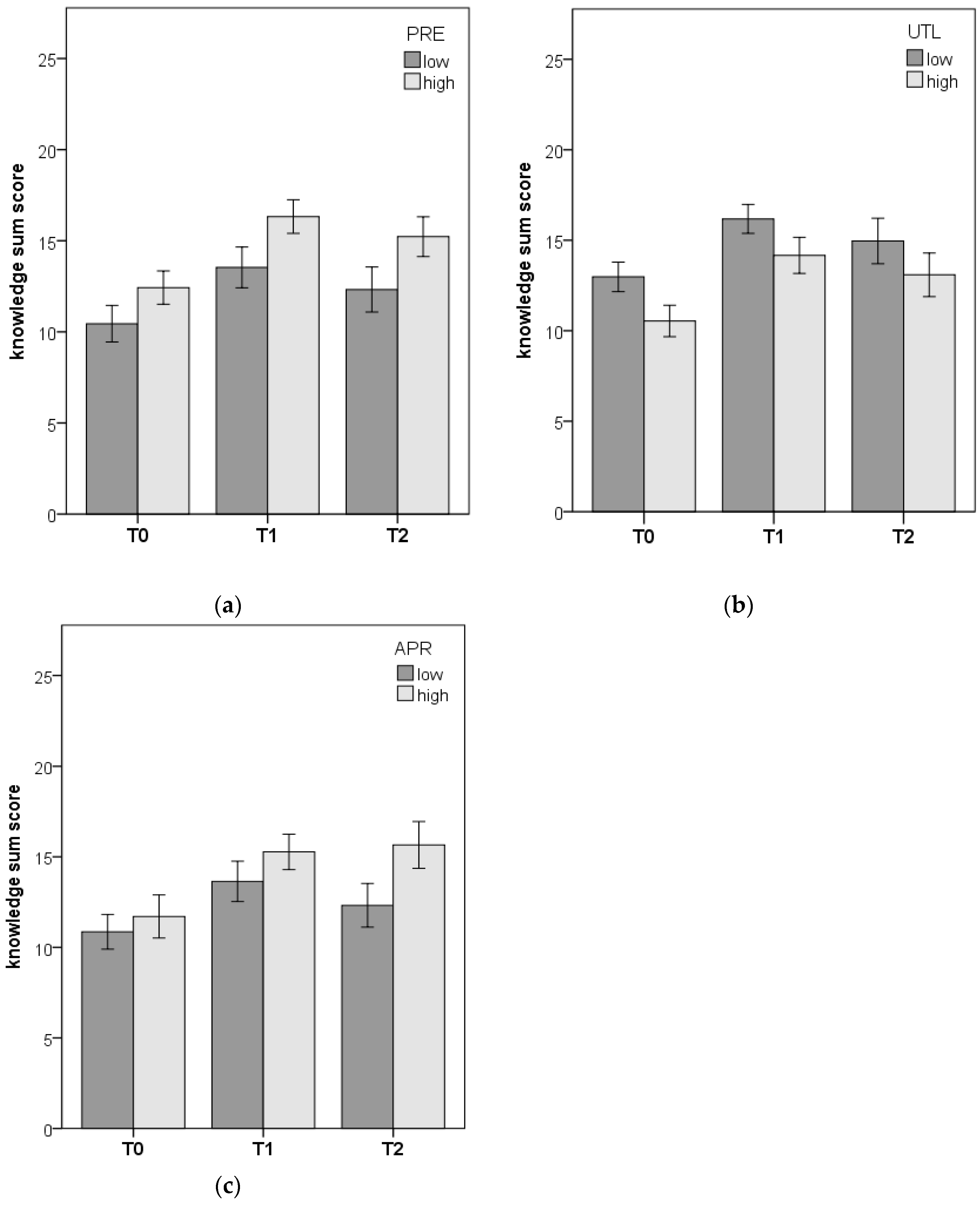
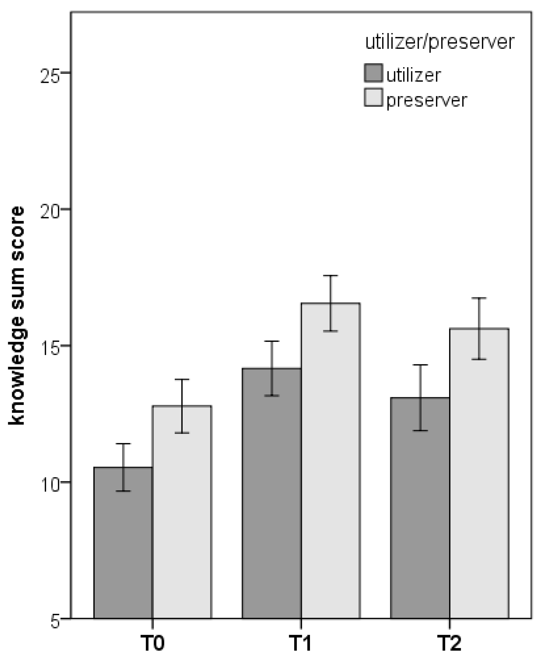
4.2. Relation between Knowledge and Environmental Values (RQ2)
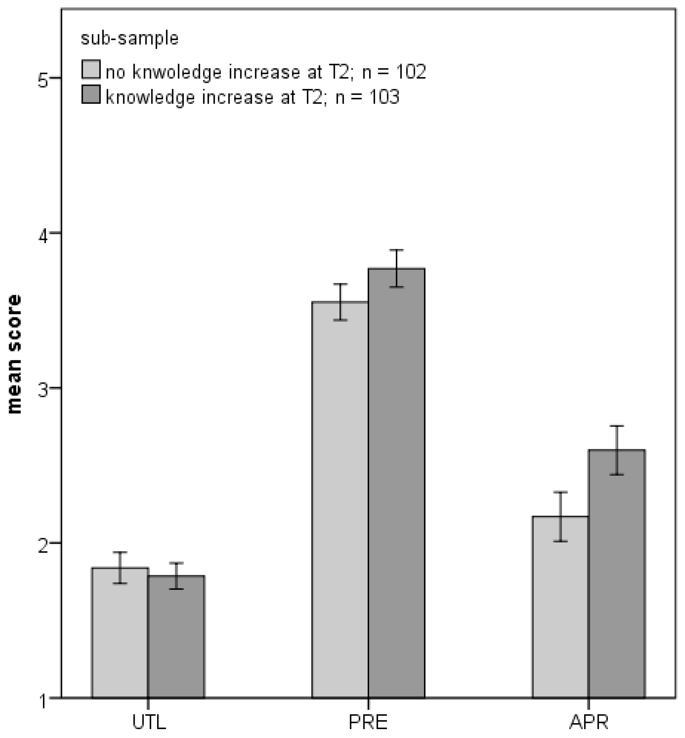
4.3. Characteristics and Results of the Sub-Sample with Knowledge Increase at T2
5. Discussion
6. Conclusions
Author Contributions
Funding
Acknowledgments
Conflicts of Interest
References
- Johnson, C.N.; Balmford, A.; Brook, B.W.; Buettel, J.C.; Galetti, M.; Guangchun, L.; Wilmshurst, J.M. Biodiversity losses and conservation responses in the Anthropocene. Science 2017, 356, 270–275. [Google Scholar] [CrossRef] [PubMed]
- Intergovernmental Science-Policy Platform on Biodiversity and Ecosystem Services, IPBES. Summary for Policymakers of the Global Assessment Report on Biodiversity and Ecosystem Services. 2019. Available online: https://zenodo.org/record/3553579/files/ipbes_global_assessment_report_summary_for_policymakers.pdf (accessed on 10 January 2020).
- Waters, C.N.; Zalasiewicz, J.; Summerhayes, C.; Barnosky, A.D.; Poirier, C.; Gałuszka, A.; Cearreta, A.; Edgeworth, M.; Ellis, E.C.; Ellis, M.; et al. The Anthropocene is functionally and stratigraphically distinct from the Holocene. Science 2016, 351, aad2622. [Google Scholar] [CrossRef] [PubMed]
- Samways, M.J. Translocating fauna to foreign lands: Here comes the Homogenocene. J. Insect Conserv. 1999, 3, 65–66. [Google Scholar]
- Lin, D.; Hanscom, L.; Murthy, A.; Galli, A.; Evans, M.; Neill, E.; Mancini, M.; Martindill, J.; Medouar, F.-Z.; Huang, S.; et al. Ecological Footprint Accounting for Countries: Updates and Results of the National Footprint Accounts, 2012–2018. Resources 2018, 7, 58. [Google Scholar] [CrossRef]
- Venter, O.; Sanderson, E.W.; Magrach, A.; Allan, J.R.; Beher, J.; Jones, K.R.; Possingham, H.P.; Laurance, W.F.; Wood, P.; Fekete, B.M.; et al. Sixteen years of change in the global terrestrial human footprint and implications for biodiversity conservation. Nat. Commun. 2016, 7, 12558. [Google Scholar] [CrossRef]
- Global Footprint Network. Open Data Platform. Available online: http://data.footprintnetwork.org/?_ga=2.76595989.1047388169.1578911331-1274720262.1578759986#/ (accessed on 13 January 2020).
- Cardinale, B.J.; Duffy, J.E.; Gonzalez, A.; Hooper, D.U.; Perrings, C.; Venail, P.; Narwani, A.; MacE, G.M.; Tilman, D.; Wardle, D.A.; et al. Biodiversity loss and its impact on humanity. Nature 2012, 486, 59–67. [Google Scholar] [CrossRef]
- Ehrlich, P.R.; Pringle, R.M. Where does biodiversity go from here? A grim business-as-usual forecast and a hopeful portfolio of partial solutions. Proc. Natl. Acad. Sci. USA 2008, 105, 11579–11586. [Google Scholar] [CrossRef]
- Buijs, A.E.; Fischer, A.; Rink, D.; Young, J.C. Looking beyond superficial knowledge gaps: Understanding public representations of biodiversity. Int. J. Biodivers. Sci. Manag. 2008, 4, 65–80. [Google Scholar] [CrossRef]
- European Comission. Special Eurobarometer 436—Attitudes of Europeans towards Biodiversity; European Comission: Brussels, Belgium, 2015. [Google Scholar]
- Hunter, L.M.; Brehm, J. Qualitative Insight into Public Knowledge of, and Concern with, Biodiversity. Hum. Ecol. 2003, 31, 309–320. [Google Scholar] [CrossRef]
- Lindemann-Matthies, P.; Bose, E. How Many Species Are There? Public Understanding and Awareness of Biodiversity in Switzerland. Hum. Ecol. 2008, 36, 731–742. [Google Scholar] [CrossRef]
- Schneiderhan-Opel, J.; Bogner, F.X. Between Environmental Utilization and Protection: Adolescent Conceptions of Biodiversity. Sustainability 2019, 11, 4517. [Google Scholar] [CrossRef]
- Gayford, C. Biodiversity Education: A teacher’s perspective. Environ. Educ. Res. 2000, 6, 347–361. [Google Scholar] [CrossRef]
- Bermudez, G.M.A.; Lindemann-Matthies, P. “What Matters Is Species Richness”—High School Students’ Understanding of the Components of Biodiversity. Available online: https://link.springer.com/article/10.1007/s11165-018-9767-y (accessed on 10 January 2020).
- Kassas, M. Environmental Education: Biodiversity. Environmentalist 2002, 22, 345–351. [Google Scholar] [CrossRef]
- Secretariat of the Convention on Biological Diversity. The Convention on Biological Diversity from Conception to Implementation. CBD News Special Edition; Secretariat of the Convention on Biological Diversity: Montreal, QC, Canada, 2004. [Google Scholar]
- van Weelie, D.; Wals, A. Making biodiversity meaningful through environmental education. Int. J. Sci. Educ. 2002, 24, 1143–1156. [Google Scholar] [CrossRef]
- Menzel, S.; Bögeholz, S. The Loss of Biodiversity as a Challenge for Sustainable Development: How Do Pupils in Chile and Germany Perceive Resource Dilemmas? Res. Sci. Educ. 2008, 39, 429–447. [Google Scholar] [CrossRef]
- Ratcliffe, M.; Grace, M. Science Education for Citizenship: Teaching Socio-Scientific Issues; Open University Press: Maidenhead, UK, 2003. [Google Scholar]
- Grace, M. Teaching citizenship through science: Socio-scientific issues as an important component of citizenship. Prospero 2006, 12, 42–53. [Google Scholar]
- Filho, W.L.; Castro, P.; Bacelar-Nicolau, P.; Azul, A.M.; Azeiteiro, U.M. Biodiversity and Education for Sustainable Development (ESD): Tendencies and Perspectives. In Biodiversity and Education for Sustainable Development; Castro, P., Azeiteiro, U.M., Bacelar-Nicolau, P., Leal Filho, W., Azul, A.M., Eds.; Springer: New York, NY, USA, 2016; pp. 1–10. ISBN 978-3-319-32317-6. [Google Scholar]
- Navarro-Perez, M.; Tidball, K.G. Challenges of Biodiversity Education: A Review of Education Strategies for Biodiversity Education. Int. Electron. J. Environ. Educ. 2012, 2, 13–30. [Google Scholar]
- Schneiderhan-Opel, J.; Bogner, F.X. FutureForest—Promoting Biodiversity Literacy by Implementing Citizen Science in the Classroom. Am. Biol. Teach. 2020, 82. in press. [Google Scholar]
- Dickinson, J.L.; Shirk, J.; Bonter, D.; Bonney, R.; Crain, R.L.; Martin, J.; Phillips, T.; Purcell, K. The current state of citizen science as a tool for ecological research and public engagement in a nutshell. Front. Ecol. 2012. [Google Scholar] [CrossRef]
- Follett, R.; Strezov, V. An Analysis of Citizen Science Based Research: Usage and Publication Patterns. PLoS ONE 2015, 10, e0143687. [Google Scholar] [CrossRef]
- McKinley, D.C.; Miller-Rushing, A.J.; Ballard, H.L.; Bonney, R.; Brown, H.; Cook-Patton, S.C.; Evans, D.M.; French, R.A.; Parrish, J.K.; Phillips, T.B.; et al. Citizen science can improve conservation science, natural resource management, and environmental protection. Biol. Conserv. 2017, 208, 15–28. [Google Scholar] [CrossRef]
- Shirk, J.L.; Ballard, H.L.; Wilderman, C.C.; Phillips, T.; Wiggins, A.; Jordan, R.; McCallie, E.; Minarchek, M.; Lewenstein, B.V.; Krasny, M.E.; et al. Public Participation in Scientific Research. Ecol. Soc. 2012, 17, 20. [Google Scholar] [CrossRef]
- Wiggins, A.; Crowston, K. From Conservation to Crowdsourcing: A Typology of Citizen Science. IEEE 2011, 1–10. [Google Scholar] [CrossRef]
- Kullenberg, C.; Kasperowski, D. What Is Citizen Science?—A Scientometric Meta-Analysis. PLoS ONE 2016, 11, e0147152. [Google Scholar] [CrossRef] [PubMed]
- Pocock, M.J.O.; Chandler, M.; Bonney, R.; Thornhill, I.; Albin, A.; August, T.; Bachman, S.; Brown, P.M.J.; Cunha, D.G.F.; Grez, A.; et al. Chapter Six—A Vision for Global Biodiversity Monitoring With Citizen Science. In Next Generation Biomonitoring: Part 2; Bohan, D., Dumbrell, A., Woodward, G., Jackson, M., Eds.; Academic Press: Cambridge, MA, USA, 2018; pp. 169–223. ISBN 0065-2504. [Google Scholar]
- Chandler, M.; See, L.; Copas, K.; Bonde, A.M.Z.; López, B.C.; Danielsen, F.; Legind, J.K.; Masinde, S.; Miller-Rushing, A.J.; Newman, G.; et al. Contribution of citizen science towards international biodiversity monitoring. Biol. Conserv. 2017, 213, 280–294. [Google Scholar] [CrossRef]
- Amano, T.; Lamming, J.D.L.; Sutherland, W.J. Spatial Gaps in Global Biodiversity Information and the Role of Citizen Science. BioScience 2016, 66, 393–400. [Google Scholar] [CrossRef]
- Theobald, E.J.; Ettinger, A.K.; Burgess, H.K.; DeBey, L.B.; Schmidt, N.R.; Froehlich, H.E.; Wagner, C.; HilleRisLambers, J.; Tewksbury, J.; Harsch, M.A.; et al. Global change and local solutions: Tapping the unrealized potential of citizen science for biodiversity research. Biol. Conserv. 2015, 181, 236–244. [Google Scholar] [CrossRef]
- Bonney, R.; Cooper, C.B.; Dickinson, J.; Kelling, S.; Phillips, T.; Rosenberg, K.V.; Shirk, J. Citizen Science: A Developing Tool for Expanding Science Knowledge and Scientific Literacy. BioScience 2017, 59, 977–984. [Google Scholar] [CrossRef]
- Wals, A.E.J.; Brody, M.; Dillon, J.; Stevenson, R.B. Convergence between Science and Environmental Education. Science 2014, 344, 583–584. [Google Scholar] [CrossRef]
- Peter, M.; Diekötter, T.; Kremer, K. Participant Outcomes of Biodiversity Citizen Science Projects: A Systematic Literature Review. Sustainability 2019, 11, 2780. [Google Scholar] [CrossRef]
- Jordan, R.C.; Gray, S.A.; Howe, D.V.; Brooks, W.R.; Ehrenfeld, J.G. Knowledge gain and behavioral change in citizen-science programs. Conserv. Biol. 2011, 25, 1148–1154. [Google Scholar] [CrossRef] [PubMed]
- Kelemen-Finan, J.; Scheuch, M.; Winter, S. Contributions from citizen science to science education: An examination of a biodiversity citizen science project with schools in Central Europe. Int. J. Sci. Educ. 2018, 40, 2078–2098. [Google Scholar] [CrossRef]
- Shah, H.R.; Martinez, L.R. Current Approaches in Implementing Citizen Science in the Classroom. J. Microbiol. Biol. Educ. 2016, 17, 17–22. [Google Scholar] [CrossRef] [PubMed]
- Hiller, S.E.; Kitsantas, A. The Effect of a Horseshoe Crab Citizen Science Program on Middle School Student Science Performance and STEM Career Motivation. Sch. Sci. Math. 2014, 114, 302–311. [Google Scholar] [CrossRef]
- Kaiser, F.G.; Roczen, N.; Bogner, F.X. Competence formation in environmental education: Advancing ecology-specific rather than general abilities. Umweltpsychologie 2008, 12, 56–70. [Google Scholar]
- Bord, R.J.; O’Connor, R.E.; Fisher, A. In what sense does the public need to understand global climate change? Public Underst. Sci. 2000, 9, 205–218. [Google Scholar] [CrossRef]
- Hogan, K. Small groups’ ecological reasoning while making an environmental management decision. J. Res. Sci. Teach. 2002, 39, 341–368. [Google Scholar] [CrossRef]
- Roczen, N.; Kaiser, F.G.; Bogner, F.X.; Wilson, M. A Competence Model for Environmental Education. Environ. Behav. 2014, 46, 972–992. [Google Scholar] [CrossRef]
- Bogner, F.X.; Wiseman, M. Toward Measuring Adolescent Environmental Perception. Eur. Psychol. 1999, 4, 139–151. [Google Scholar] [CrossRef]
- Wiseman, M.; Bogner, F.X. A higher-order model of ecological values and its relationship to personality. Personal. Individ. Differ. 2003, 34, 783–794. [Google Scholar] [CrossRef]
- Borchers, C.; Boesch, C.; Riedel, J.; Guilahoux, H.; Ouattara, D.; Randler, C. Environmental Education in Côte d’Ivoire/West Africa: Extra-Curricular Primary School Teaching Shows Positive Impact on Environmental Knowledge and Attitudes. Int. J. Sci. Educ. Part B 2014, 4, 240–259. [Google Scholar] [CrossRef]
- Johnson, B.; Manoli, C.C. The 2-MEV scale in the United States: A measure of children’s environmental attitudes based on the theory of ecological attitude. J. Environ. Educ. 2010, 42, 84–97. [Google Scholar] [CrossRef]
- Milfont, T.L.; Duckitt, J. The structure of environmental attitudes: A first- and second-order confirmatory factor analysis. J. Environ. Psychol. 2004, 24, 289–303. [Google Scholar] [CrossRef]
- Bogner, F.X.; Wiseman, M. Environmental Perspectives of Danish and Bavarian Pupils: Towards a methodological framework. Scand. J. Educ. Res. 1997, 41, 53–71. [Google Scholar] [CrossRef]
- Bogner, F.X.; Wiseman, M. Environmental perception of French and some Western European secondary school students. Eur. J. Psychol. Educ. 2002, 17, 3–18. [Google Scholar] [CrossRef]
- Rokeach, M. Beliefs, attitudes and values; a theory of organization and change; Jossey-Bass: Francisco, CA, USA, 1968. [Google Scholar]
- Bogner, F.X. Environmental Values (2-MEV) and Appreciation of Nature. Sustainability 2018, 10, 350. [Google Scholar] [CrossRef]
- Kibbe, A.; Bogner, F.X.; Kaiser, F.G. Exploitative vs. appreciative use of nature—Two interpretations of utilization and their relevance for environmental education. Stud. Educ. Eval. 2014, 41, 106–112. [Google Scholar] [CrossRef]
- Brügger, A.; Kaiser, F.G.; Roczen, N. One for All? Eur. Psychol. 2011, 16, 324–333. [Google Scholar] [CrossRef]
- Boeve-de Pauw, J.; van Petegem, P. The Effect of Flemish Eco-Schools on Student Environmental Knowledge, Attitudes, and Affect. Int. J. Sci. Educ. 2011, 33, 1513–1538. [Google Scholar] [CrossRef]
- Fremerey, C.; Bogner, F.X. Cognitive learning in authentic environments in relation to green attitude preferences. Stud. Educ. Eval. 2015, 44, 9–15. [Google Scholar] [CrossRef]
- Thorn, C.; Bogner, F. How Environmental Values Predict Acquisition of Different Cognitive Knowledge Types with Regard to Forest Conservation. Sustainability 2018, 10, 2188. [Google Scholar] [CrossRef]
- Hebert, P.D.N.; Cywinska, A.; Ball, S.L.; DeWaard, J.R. Biological identifications through DNA barcodes. Proc. Biol. Sci. 2003, 270, 313–321. [Google Scholar] [CrossRef] [PubMed]
- Deci, E.L.; Vallerand, R.J.; Pelletier, L.G.; Ryan, R.M. Motivation and Education: The Self-Determination Perspective. Educ. Psychol. 1991, 26, 325–346. [Google Scholar] [CrossRef]
- Cook, T.D.; Campbell, D.T.; Shadish, W. Experimental and Quasi-Experimental Designs for Generalized Causal Inference; Houghton Mifflin: Boston, MA, USA, 2002; ISBN 0395615569. [Google Scholar]
- Field, A. Discovering Statistics Using SPSS, 3rd ed.; SAGE Publications, Inc.: London, UK, 2009; ISBN 9781847879066. [Google Scholar]
- Schumm, M.F.; Bogner, F.X. The impact of science motivation on cognitive achievement within a 3-lesson unit about renewable energies. Stud. Educ. Eval. 2016, 50, 14–21. [Google Scholar] [CrossRef]
- Schönfelder, M.L.; Bogner, F.X. Two ways of acquiring environmental knowledge: By encountering living animals at a beehive and by observing bees via digital tools. Int. J. Sci. Educ. 2017, 39, 723–741. [Google Scholar] [CrossRef]
- Fančovičová, J.; Prokop, P. Plants have a chance: Outdoor educational programmes alter students’ knowledge and attitudes towards plants. Environ. Educ. Res. 2011, 17, 537–551. [Google Scholar] [CrossRef]
- Schmid, S. Does Inquiry-Learning Support Long-Term Retention of Knowledge? Int. J. Learn. Teach. Educ. Res. 2015, 10, 51–70. [Google Scholar]
- Marth, M.; Bogner, F.X. Does the issue of bionics within a student-centered module generate long-term knowledge? Stud. Educ. Eval. 2017, 55, 117–124. [Google Scholar] [CrossRef]
- Dieser, O.; Bogner, F.X. How individual environmental values influence knowledge acquisition of adolescents within a week-long outreach biodiversity module. J. Glob. Res. Educ. Soc. Sci. 2017, 9, 213–224. [Google Scholar]
- Liefländer, A.K.; Bogner, F.X. Educational impact on the relationship of environmental knowledge and attitudes. Environ. Educ. Res. 2016, 24, 611–624. [Google Scholar] [CrossRef]
- Sturm, H.; Bogner, F.X. Student-oriented versus Teacher-centred: The effect of learning at workstations about birds and bird flight on cognitive achievement and motivation. Int. J. Sci. Educ. 2008, 30, 941–959. [Google Scholar] [CrossRef]
- Scharfenberg, F.-J.; Bogner, F.X.; Klautke, S. The suitability of external control-groups for empirical control purposes: A cautionary story in science education research. Electron. J. Res. Sci. Math. Educ. 2006, 11, 22–36. [Google Scholar]
- Schweiger, W.; Brosius, H.-B. Von der ‘Gentomate’ zur Gentechnikakzeptanz. Eine Panelstudie zu Einstellungseffekten eines rollenden Genlabors an Gymnasien [From the ‘gene tomato’ to acceptance of gene technology. A panel study on effects of a mobile gene technology lab at secondary schools on attitudes]; Gesellschaft für Strahlenschutzforschung: Neuherberg, Germany, 1999. [Google Scholar]
- Schumm, M.F.; Bogner, F.X. How Environmental Attitudes Interact with Cognitive Learning in a Science Lesson Module. Educ. Res. Int. 2016, 2016, 6136527. [Google Scholar] [CrossRef]






| Sub-Module | Item Example | Item Difficulty |
|---|---|---|
| ecosystem services | Which protection cannot be provided by forests?
| 0.55 |
| DNA barcoding | The overriding goal of DNA barcoding is...
| 0.44 |
| species identification | A diverse community of soil biota provides for...
| 0.72 |
| biodiversity threats | You should advise a forester for the future to...
| 0.62 |
| Sub-Module | Knowledge Differences between Test Times | |||||
|---|---|---|---|---|---|---|
| T1–T0 | T2–T1 | T2–T0 | ||||
| MD | p | MD | p | MD | p | |
| ecosystem services | 0.89 | <0.001 | −0.35 | 0.001 | 0.54 | <0.001 |
| DNA barcoding | 0.33 | 0.005 | 0.41 | 0.002 | 0.74 | <0.001 |
| species identification | 0.96 | <0.001 | −0.48 | <0.001 | 0.47 | <0.001 |
| biodiversity threats | 1.06 | <0.001 | −0.21 | n.s. | 0.85 | <0.001 |
| Knowledge | T0 | T1 | T2 |
|---|---|---|---|
| UTL | |||
| r | −0.272 *** | −0.249 ** | −0.220 * |
| p | <0.0001 | <0.0001 | 0.002 |
| PRE | |||
| r | 0.214 * | 0.264 ** | 0.280 *** |
| p | 0.003 | <0.0001 | <0.0001 |
| APR | |||
| r | 0.066 | 0.180 | 0.287 *** |
| p | n.s. | n.s. | <0.0001 |
© 2020 by the authors. Licensee MDPI, Basel, Switzerland. This article is an open access article distributed under the terms and conditions of the Creative Commons Attribution (CC BY) license (http://creativecommons.org/licenses/by/4.0/).
Share and Cite
Schneiderhan-Opel, J.; Bogner, F.X. The Relation between Knowledge Acquisition and Environmental Values within the Scope of a Biodiversity Learning Module. Sustainability 2020, 12, 2036. https://doi.org/10.3390/su12052036
Schneiderhan-Opel J, Bogner FX. The Relation between Knowledge Acquisition and Environmental Values within the Scope of a Biodiversity Learning Module. Sustainability. 2020; 12(5):2036. https://doi.org/10.3390/su12052036
Chicago/Turabian StyleSchneiderhan-Opel, Jennifer, and Franz X. Bogner. 2020. "The Relation between Knowledge Acquisition and Environmental Values within the Scope of a Biodiversity Learning Module" Sustainability 12, no. 5: 2036. https://doi.org/10.3390/su12052036
APA StyleSchneiderhan-Opel, J., & Bogner, F. X. (2020). The Relation between Knowledge Acquisition and Environmental Values within the Scope of a Biodiversity Learning Module. Sustainability, 12(5), 2036. https://doi.org/10.3390/su12052036

