Socio-economic Study to Improve the Electrical Sustainability of the North Tower of Instituto Superior Técnico
Abstract
1. Introduction
2. CO2 Sources and Its Availability in Portugal
Possible Solution
3. The Future of Solar Panels
Organic Photovoltaic Urban Facades
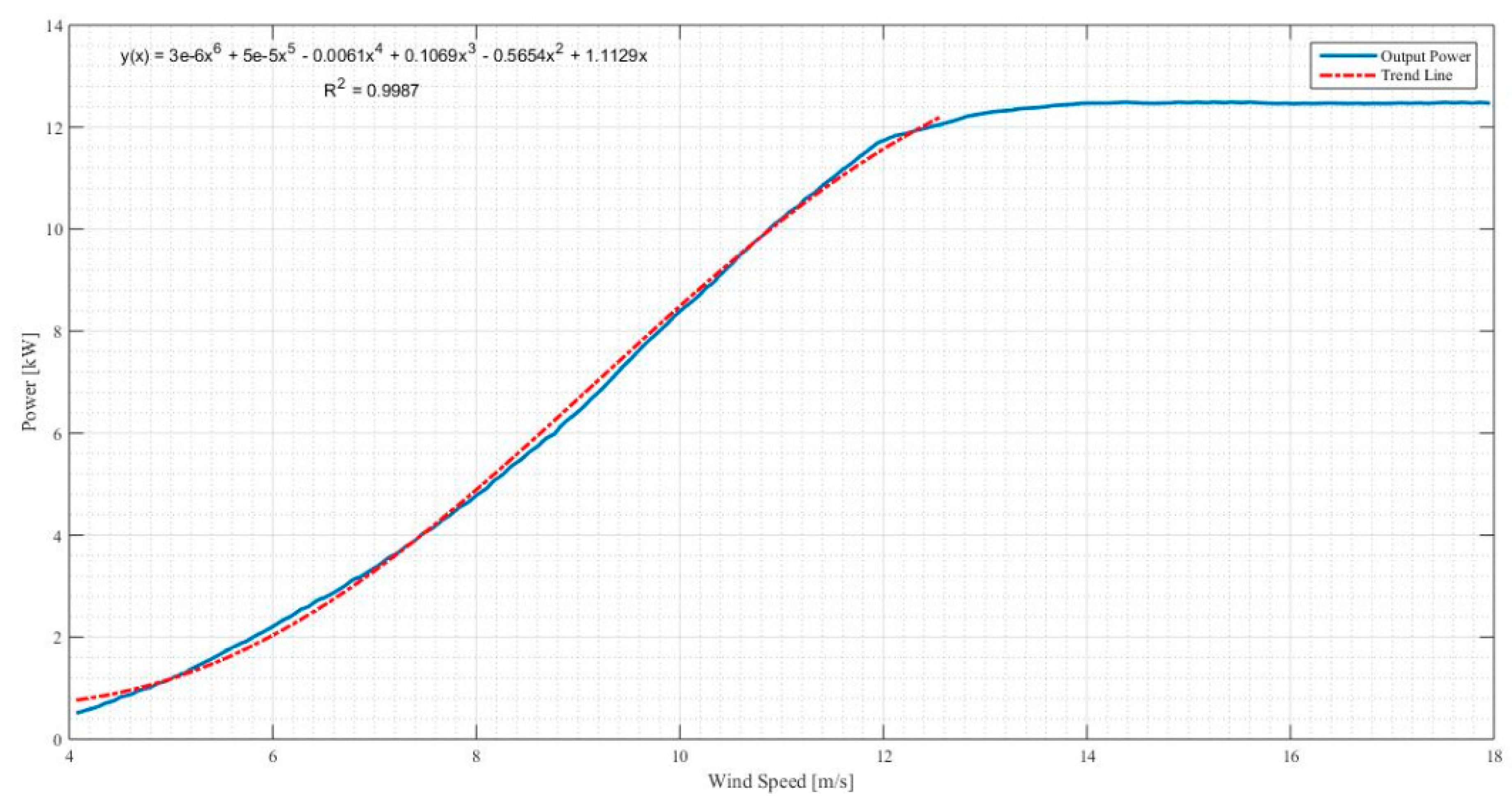
4. Wind Turbines
5. Design of an Autonomous Photovoltaic System the North Tower
5.1. Methedology
5.2. Sizing the Project
6. Economic Study of the Presented Solutions
7. Alternative for Overnight Energy Production
8. Socio-Economic Impacts
9. Conclusions
Supplementary Materials
Supplementary File 1Author Contributions
Funding
Acknowledgments
Conflicts of Interest
Appendix A
| Dimensions [mm] | |||||||
|---|---|---|---|---|---|---|---|
| PS−MC−SE | 1988 × 992 × 7.1 | 345 | 37.62 | 9.17 | 47.18 | 9.62 | −0.47 |
| PS−M−NX | 1100 × 1400 × 8.9 | 160 | 131 | 1.22 | 170 | 1.33 | −0.21 |
| PS−PC−SE | 1988 × 992 × 7.1 | 320 | 36.78 | 8.7 | 45.49 | 9.26 | −0.46 |
| Rated Power | 10 kW |
|---|---|
| Peak Power | 12.5 kW |
| Rated Wind Speed | 11 m/s |
| Start-up Wind | 3 m/s |
| Working Speed | 2.5−25 m/s |
| Survival Wind | 50 m/s |
| Blade Diameter | 7.62 m |
| Working Voltage | 300 |
| Output Voltage | 220 |
| Working Noise Power | 65 dB |
| Turbine Main Body Weight | 500 Kg |
| Generator Lifespan | 15 years |
References
- Ahmad, S.; Ariaratnam, S. A study of socioeconomic impacts of renewable energy projects in Afghanistan. Procedia Eng. 2016, 145, 995–1003. [Google Scholar]
- Bhandari, B.; Lee, K.T.; Chu, W.S.; Lee, C.S.; Song, C.K.; Bhandari, P.; Ahn, S.H. Socio-Economic Impact of Renewable Energy-Based Power System in Mountainous Village of Nepal. Int. J. Precis. Eng. Manuf. -Green Technol. 2017, 4, 37–44. [Google Scholar] [CrossRef]
- Matungwa, B. An Analysis of PV Solar Electrification on Rural Livelihood Transformation. A case of Kisiju-Pwani in Mkuranga District, Tanzania. Master’s Thesis, Centre for Development and the Environment, University of Oslo, Blindern, Norway, December 2014. [Google Scholar]
- Nyandega Onsomu, L. Socio-Economic Impacts of Photovoltaic Solar Installation and Use: A Case Study of Borabu Division in Myamira Country. Master’s Thesis, Department of Geography and Environmental Studies, University of Nairobi, Nairobi, Kenya, 2013. [Google Scholar]
- Furkan, D. The Analysis on Photovoltaic Electricity Generation Status, Potential and Policies of the Leading Countries in Solar Energy. Renew. Sustain. Energy Rev. 2011, 15, 713–720. [Google Scholar]
- Proena, E. Photovoltaic Solar Energy in Portugal. State-of-theart and Perspectives of Development; Young, M., Ed.; The Technical Writers Handbook: Mill Valley, CA, USA, 1989. [Google Scholar]
- Seixas, J.; Fortes, P.J.; Gouveia, P.; Simes, S.G. The Role of Electricity in the Decarbonization of the Portuguese Economy; CENSE Center for Sustainability and Environmental research, Faculdade de Ciências e Tecnologia, Universidade Nova de Lisboa: Lisbon, Portugal, 2017. [Google Scholar]
- Virgilio, R.P.P.C. Solar Energy in Portugal. Development Perspectives based on a Comparison with Germany; ISCTE Business School: Lisbon, Portugal, 2009. [Google Scholar]
- Transparent Solar Panels. Green Match, last Updated: 01 April 2019. Available online: https://www.greenmatch.co.uk/blog/2015/02/transparent-solar-panels (accessed on 21 September 2019).
- Husain, A.A.; Hasan, W.Z.W.; Shafie, S.; Hamidon, M.N.; Pandey, S.S. A review of transparent solar photovoltaic technologies. Ren. Sustain. Energy Rev. 2018, 94, 779–791. [Google Scholar] [CrossRef]
- Gray Modules: New Dimension in Organic Photovoltaics for Buildings. Available online: https://www.pv-magazine.com/press-releases/gray-modules-new-dimension-in-organic-photovoltaics-for-buildings_100022152/ (accessed on 15 August 2019).
- Morse, G.; Harding, R.; Blouin, N.; Buerckstrummer, H.; Pron, A.; Wieder, S.; Mueller, D.; Berny, S. Organic Photovoltaic Applications for IoT, Architecture, and Wearables. Mater. Matters 2017, 12, 3. [Google Scholar]
- Casini, M. Small vertical axis wind turbines for energy efficiency of buildings. J. Clean Energy Technol. 2016, 4. [Google Scholar] [CrossRef]
- Wind Energy: Building-Integrated Turbines. Available online: https://www.ctcn.org/collection/climatetechwiki (accessed on 20 September 2019).
- Fonseca, A.C.A. Projeto de arquitetura para minimizar as operações de manuteno. Dissertação para obtenção do Grau de Mestre em Construção e Reabilitação. Master’s Thesis, Instituto Superior Técnico, Portugal, Lisboa, January 2013. [Google Scholar]
- Solar Panel Maintenance Cost. Available online: https://www.fixr.com/costs/solar-panel-maintenance (accessed on 18 October 2019).
- Average Solar Panel Maintenance Cost. Available online: https://www.thumbtack.com/p/solar-panel-maintenance-cost (accessed on 21 October 2019).















| Fixed Expenditure (€/Day) | Full Hours (€/kWh) | Empty Hours (€/kWh) | Peak Hours (€/kWh) |
|---|---|---|---|
| 1.8868 | 0.3010 | 0.1442 | 0.0731 |
| Equipment | Unit Cost | Total Cost | Return |
|---|---|---|---|
| PS−M−NX panels | 285 €/ m2 | 137,000 € | - |
| PS−MC−SE panels | 0.188 €/W | 28,000 € | - |
| Batteries | 2416 € | 1,752,000 € | - |
| Charge Controller | 1183.7 € | 5918.5 € | - |
| Inverter | 4820.69 € | 24,103.45 € | - |
| Cables | 1.23 €/m | 6798 € | - |
| Protections | 2700 | 13,500 € | - |
| TOTAL | - | 1,967,000 € | 5.4 years |
| Equipment | Unit Cost | Total Cost | Return |
|---|---|---|---|
| PS−PC−SE panels | 0.206 €/W | 123,000 € | - |
| PS−MC−SE panels | 0.188 €/W | 28,000 € | - |
| Batteries | 2416 € | 1,752,000 € | - |
| Charge Controller | 1183.7 € | 5918.5 € | - |
| Inverter | 4820.69 € | 24,103.45 € | - |
| Cables | 1.23 €/m | 6798 € | - |
| Protections | 2700 | 13,500 € | - |
| TOTAL | - | 1,953,000 € | 5.3 years |
© 2020 by the authors. Licensee MDPI, Basel, Switzerland. This article is an open access article distributed under the terms and conditions of the Creative Commons Attribution (CC BY) license (http://creativecommons.org/licenses/by/4.0/).
Share and Cite
Durão, B.; N. Torres, J.P.; F. Fernandes, C.A.; Marques Lameirinhas, R.A. Socio-economic Study to Improve the Electrical Sustainability of the North Tower of Instituto Superior Técnico. Sustainability 2020, 12, 1923. https://doi.org/10.3390/su12051923
Durão B, N. Torres JP, F. Fernandes CA, Marques Lameirinhas RA. Socio-economic Study to Improve the Electrical Sustainability of the North Tower of Instituto Superior Técnico. Sustainability. 2020; 12(5):1923. https://doi.org/10.3390/su12051923
Chicago/Turabian StyleDurão, Beatriz, João Paulo N. Torres, Carlos A. F. Fernandes, and Ricardo A. Marques Lameirinhas. 2020. "Socio-economic Study to Improve the Electrical Sustainability of the North Tower of Instituto Superior Técnico" Sustainability 12, no. 5: 1923. https://doi.org/10.3390/su12051923
APA StyleDurão, B., N. Torres, J. P., F. Fernandes, C. A., & Marques Lameirinhas, R. A. (2020). Socio-economic Study to Improve the Electrical Sustainability of the North Tower of Instituto Superior Técnico. Sustainability, 12(5), 1923. https://doi.org/10.3390/su12051923

