Assessment of Soil Erosion in the Qinba Mountains of the Southern Shaanxi Province in China Using the RUSLE Model
Abstract
1. Introduction
2. Materials and Methods
2.1. Study Area
2.2. Data Sources and Processing
2.2.1. Model Structure
2.2.2. Data Sources
2.2.3. Data Processing
3. Results
3.1. Characteristics of Different Soil Erosion Intensity
3.2. Change Detection of Different Soil Erosion Intensities
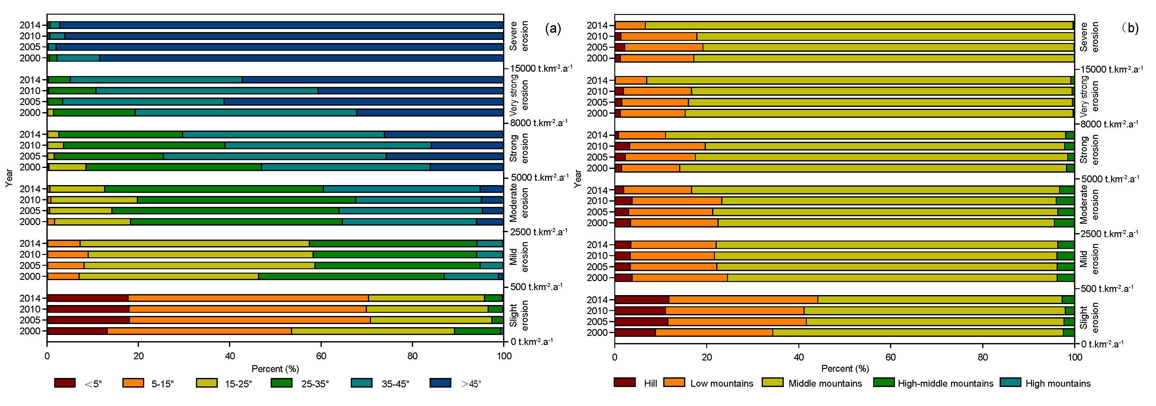
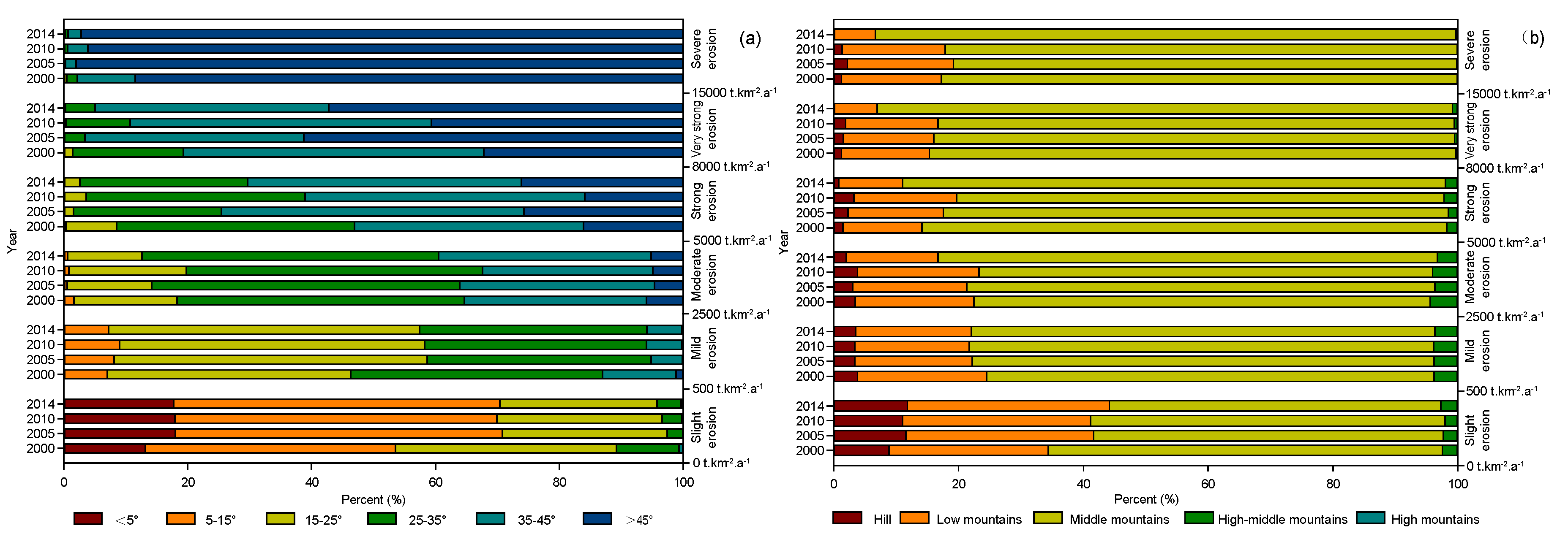
3.3. Distribution and Dynamic Changes of Soil Erosion Intensity on Slope Gradients
3.4. Distribution and Dynamic Changes of Soil Erosion Intensity at Different Elevations
3.5. Effects of Precipitation and Vegetation for Soil Erosion Changes
4. Discussion
5. Conclusions
Author Contributions
Funding
Acknowledgments
Conflicts of Interest
References
- Mukanov, Y.; Chen, Y.; Baisholanov, S.; Amanambu, A.C.; Issanova, G.; Abenova, A.; Fang, G.; Abayev, N. Estimation of annual average soil loss using the Revised Universal Soil Loss Equation (RUSLE) integrated in a Geographical Information System (GIS) of the Esil River basin (ERB), Kazakhstan. Acta Geophys. 2019, 67, 921–938. [Google Scholar] [CrossRef]
- Chen, T.; Niu, R.-Q.; Li, P.-X.; Zhang, L.-P.; Du, B. Regional soil erosion risk mapping using RUSLE, GIS, and remote sensing: A case study in Miyun Watershed, North China. Environ. Earth Sci. 2011, 63, 533–541. [Google Scholar] [CrossRef]
- Fang, G.; Yuan, T.; Zhang, Y.; Wen, X.; Lin, R. Integrated study on soil erosion using RUSLE and GIS in Yangtze River Basin of Jiangsu Province (China). Arab. J. Geosci. 2019, 12, 173. [Google Scholar] [CrossRef]
- Fu, B.; Liu, Y.; Lü, Y.; He, C.; Zeng, Y.; Wu, B. Assessing the soil erosion control service of ecosystems change in the Loess Plateau of China. Ecol. Complex. 2011, 8, 284–293. [Google Scholar] [CrossRef]
- Fu, B.J.; Zhao, W.W.; Chen, L.D.; Zhang, Q.J.; Lü, Y.H.; Gulinck, H.; Poesen, J. Assessment of soil erosion at large watershed scale using RUSLE and GIS: A case study in the Loess Plateau of China. Land Degrad. Dev. 2005, 16, 73–85. [Google Scholar] [CrossRef]
- Sun, W.; Shao, Q.; Liu, J. Soil erosion and its response to the changes of precipitation and vegetation cover on the Loess Plateau. J. Geogr. Sci. 2013, 23, 1091–1106. [Google Scholar] [CrossRef]
- Sun, W.; Shao, Q.; Liu, J.; Zhai, J. Assessing the effects of land use and topography on soil erosion on the Loess Plateau in China. CATENA 2014, 121, 151–163. [Google Scholar] [CrossRef]
- Duan, X.; Xie, Y.; Ou, T.; Lu, H. Effects of soil erosion on long-term soil productivity in the black soil region of northeastern China. CATENA 2011, 87, 268–275. [Google Scholar] [CrossRef]
- Yang, X.M.; Zhang, X.P.; Deng, W.; Fang, H.J. Black soil degradation by rainfall erosion in Jilin, China. Land Degrad. Dev. 2003, 14, 409–420. [Google Scholar] [CrossRef]
- Lin, C.; Tu, S.; Huang, J.; Chen, Y. The effect of plant hedgerows on the spatial distribution of soil erosion and soil fertility on sloping farmland in the purple-soil area of China. Soil Tillage Res. 2009, 105, 307–312. [Google Scholar] [CrossRef]
- Feng, T.; Chen, H.; Polyakov, V.O.; Wang, K.; Zhang, X.; Zhang, W. Soil erosion rates in two karst peak-cluster depression basins of northwest Guangxi, China: Comparison of the RUSLE model with 137Cs measurements. Geomorphology 2016, 253, 217–224. [Google Scholar] [CrossRef]
- Huang, W.; Ho, H.C.; Peng, Y.; Li, L. Qualitative risk assessment of soil erosion for karst landforms in Chahe town, Southwest China: A hazard index approach. CATENA 2016, 144, 184–193. [Google Scholar] [CrossRef]
- Guo, B.; Zhou, Y.; Zhu, J.; Liu, W.; Wang, F.; Wang, L.; Jiang, L. An estimation method of soil freeze-thaw erosion in the Qinghai–Tibet Plateau. Nat. Hazards 2015, 78, 1843–1857. [Google Scholar] [CrossRef]
- Wang, Y.; Wang, G.; Hu, H.; Cheng, H. Erosion rates evaluated by the 137Cs technique in the high altitude area of the Qinghai–Tibet plateau of China. Environ. Geol. 2008, 53, 1743–1749. [Google Scholar] [CrossRef]
- El Kateb, H.; Zhang, H.; Zhang, P.; Mosandl, R. Soil erosion and surface runoff on different vegetation covers and slope gradients: A field experiment in Southern Shaanxi Province, China. CATENA 2013, 105, 1–10. [Google Scholar] [CrossRef]
- Li, J.; Ren, Z.; Zhou, Z. Ecosystem services and their values: A case study in the Qinba mountains of China. Ecol. Res. 2006, 21, 597–604. [Google Scholar] [CrossRef]
- Xi, Z.D.; Sun, H.; Li, X.L. Characteristics of soil erosion and its Space-time Distributive pattern in Southern Mountains of Shaanxi Province. Bull. Soil Water Conserv. 1997, 17, 1–6. [Google Scholar]
- Jia, T.M.; Du, S.T.; Zhou, L. Historical changes and eco-reestablishing strategy for Qinba mountain region. J. Northwest Sci-Tech Univ. Agric. For. (Soc. Sci.) 2002, 12–16. [Google Scholar]
- Wang, Z.J.; Su, Y.; Wang, Z.T. Characteristics of soil erosion in Wenchuanhe watershed of Hanjiang River based on GIS. J. Northwest For. Univ. 2016, 31, 199–205. [Google Scholar]
- Wang, L.; Huang, J.; Yun, D.; Hu, Y.; Han, P. Dynamic Assessment of Soil Erosion Risk Using Landsat TM and HJ Satellite Data in Danjiangkou Reservoir Area, China. Remote Sens. 2013, 5, 3826–3848. [Google Scholar] [CrossRef]
- Renard, K.G.; Foster, G.R.; Weesies, G.A.; Mccool, D.K.; Yoder, D.C. Predicting soil erosion by water: A guide to conservation planning with the Revised Universal Soil Loss Equation (RUSLE). In Agriculture Handbook; U.S. Department of Agriculture (USDA): Washington, DC, USA, 1997. [Google Scholar]
- Wischmeier, W.H.; Smith, D.D. Predicting rainfall erosion losses: A guide to conservation planning [USA]. In Agriculture Handbook; U.S. Department of Agriculture (USDA): Washington, DC, USA, 1978; p. 537. [Google Scholar]
- Nearing, M.A.; Foster, G.R.; Lane, L.J.; Finkner, S.C. A Process-Based Soil Erosion Model for USDA-Water Erosion Prediction Project. Trans. Am. Soc. Agric. Eng. 1989, 32, 1587–1593. [Google Scholar] [CrossRef]
- Kirkby, M.; Jones, R.J.A.; Irvine, B.; Gobin, A.G.G.; Cerdan, O.; Rompaey, V.J.J.; Bissonais, Y.L.; Daroussin, J.; King, D.; Montanarella, L. Pan-European Soil Erosion Risk Assessment for Europe: The PESERA Map, version 1 October 2003. Explanation of Special Publication Ispra 2004 No. 73 (S.P.I.04.73); European Communities: Luxembourg, 2004; Volume 39, pp. 36–40. [Google Scholar]
- Cilek, A.; Berberoglu, S.; Kirkby, M.; Irvine, B.; Donmez, C.; Erdogan, M.A. Erosion Modelling In A Mediterranean Subcatchment Under Climate Change Scenarios Using Pan-European Soil Erosion Risk Assessment (PESERA). Int. Arch. Photogramm. Remote Sens. Spat. Inf. Sci. 2015, XL-7/W3, 359–365. [Google Scholar] [CrossRef]
- Karamesouti, M.; Petropoulos, G.P.; Papanikolaou, I.D.; Kairis, O.; Kosmas, K. Erosion rate predictions from PESERA and RUSLE at a Mediterranean site before and after a wildfire: Comparison & implications. Geoderma 2016, 261, 44–58. [Google Scholar]
- Thomas, J.; Joseph, S.; Thrivikramji, K.P. Assessment of soil erosion in a tropical mountain river basin of the southern Western Ghats, India using RUSLE and GIS. Geosci. Front. 2018, 9, 893–906. [Google Scholar] [CrossRef]
- Alkharabsheh, M.M.; Alexandridis, T.K.; Bilas, G.; Misopolinos, N.; Silleos, N. Impact of Land Cover Change on Soil Erosion Hazard in Northern Jordan Using Remote Sensing and GIS. Procedia Environ. Sci. 2013, 19, 912–921. [Google Scholar] [CrossRef]
- Zhang, H.; Yang, Q.; Li, R.; Liu, Q.; Moore, D.; He, P.; Ritsema, C.J.; Geissen, V. Extension of a GIS procedure for calculating the RUSLE equation LS factor. Comput. Geosci. 2013, 52, 177–188. [Google Scholar] [CrossRef]
- De Vente, J.; Poesen, J.; Verstraeten, G.; Govers, G.; Vanmaercke, M.; Van Rompaey, A.; Arabkhedri, M.; Boix-Fayos, C. Predicting soil erosion and sediment yield at regional scales: Where do we stand? Earth-Sci. Rev. 2013, 127, 16–29. [Google Scholar] [CrossRef]
- Panagos, P.; Borrelli, P.; Poesen, J.; Ballabio, C.; Lugato, E.; Meusburger, K.; Montanarella, L.; Alewell, C. The new assessment of soil loss by water erosion in Europe. Environ. Sci. Policy 2015, 54, 438–447. [Google Scholar] [CrossRef]
- Ganasri, B.P.; Ramesh, H. Assessment of soil erosion by RUSLE model using remote sensing and GIS—A case study of Nethravathi Basin. Geosci. Front. 2016, 7, 953–961. [Google Scholar] [CrossRef]
- Borrelli, P.; Robinson, D.A.; Fleischer, L.R.; Lugato, E.; Ballabio, C.; Alewell, C.; Meusburger, K.; Modugno, S.; Schütt, B.; Ferro, V.; et al. An assessment of the global impact of 21st century land use change on soil erosion. Nat. Commun. 2017, 8, 2013. [Google Scholar] [CrossRef]
- Fayas, C.M.; Abeysingha, N.S.; Nirmanee, K.G.S.; Samaratunga, D.; Mallawatantri, A. Soil loss estimation using rusle model to prioritize erosion control in KELANI river basin in Sri Lanka. Int. Soil Water Conserv. Res. 2019, 7, 130–137. [Google Scholar] [CrossRef]
- Wijesundara, N.C.; Abeysingha, N.S.; Dissanayake, D.M.S.L.B. GIS-based soil loss estimation using RUSLE model: A case of Kirindi Oya river basin, Sri Lanka. Modeling Earth Syst. Environ. 2018, 4, 251–262. [Google Scholar] [CrossRef]
- Pal, S.C.; Chakrabortty, R. Simulating the impact of climate change on soil erosion in sub-tropical monsoon dominated watershed based on RUSLE, SCS runoff and MIROC5 climatic model. Adv. Space Res. 2019, 64, 352–377. [Google Scholar] [CrossRef]
- Dabral, P.P.; Baithuri, N.; Pandey, A. Soil Erosion Assessment in a Hilly Catchment of North Eastern India Using USLE, GIS and Remote Sensing. Water Resour. Manag. 2008, 22, 1783–1798. [Google Scholar] [CrossRef]
- Phinzi, K.; Ngetar, N.S. The assessment of water-borne erosion at catchment level using GIS-based RUSLE and remote sensing: A review. Int. Soil Water Conserv. Res. 2019, 7, 27–46. [Google Scholar] [CrossRef]
- Zhang, W.B.; Xie, Y.; Liu, B.Y. Rainfall Erosivity Estimation Using Daily Rainfall Amounts. Sci. Geogr. Sin. 2002, 6, 53–56. [Google Scholar]
- Williams, J.R.; Jones, C.A.; Dyke, P.T. A Modeling Approach to Determining the Relationship Between Erosion and Soil Productivity. Trans. ASAE 1984, 27, 129–144. [Google Scholar] [CrossRef]
- Mccool, D.K.; Foster, G.R.; Mutchler, C.K.; Meyer, L.D. Revised Slope Length Factor for the Universal Soil Loss Equation. Trans. ASAE 1989, 30, 1387–1396. [Google Scholar] [CrossRef]
- Liu, B.Y.; Nearing, M.A.; Shi, P.J.; Jia, Z.W. Slope Length Effects on Soil Loss for Steep Slopes. Soil Sci. Soc. Am. J. 2000, 64, 1759–1763. [Google Scholar] [CrossRef]
- Zhou, Z.C.; Shangguan, Z.P.; Zhao, D. Modeling vegetation coverage and soil erosion in the Loess Plateau Area of China. Ecol. Model. 2006, 198, 263–268. [Google Scholar] [CrossRef]
- Cai, C.F.; Ding, S.W.; Shi, Z.H.; Huang, L.; Zhang, G.Y. Study of Applying USLE and Geographical Information System IDRISI to Predict Soil Erosion in Small Watershed. J. Soil Water Conserv. 2000, 14, 19–24. [Google Scholar]
- Duan, X.; Gu, Z.; Li, Y.; Xu, H. The spatiotemporal patterns of rainfall erosivity in Yunnan Province, southwest China: An analysis of empirical orthogonal functions. Glob. Planet Chang. 2016, 144, 82–93. [Google Scholar] [CrossRef]
- Lai, C.; Chen, X.; Wang, Z.; Wu, X.; Zhao, S.; Wu, X.; Bai, W. Spatio-temporal variation in rainfall erosivity during 1960–2012 in the Pearl River Basin, China. CATENA 2016, 137, 382–391. [Google Scholar] [CrossRef]
- Wang, Z.-J.; Jiao, J.-Y.; Rayburg, S.; Wang, Q.-L.; Su, Y. Soil erosion resistance of “Grain for Green” vegetation types under extreme rainfall conditions on the Loess Plateau, China. CATENA 2016, 141, 109–116. [Google Scholar] [CrossRef]
- Dimotta, A.; Cozzi, M.; Romano, S.; Lazzari, M. Soil Loss, Productivity and Cropland Values GIS-Based Analysis and Trends in the Basilicata Region (Southern Italy) from 1980 to 2013, Cham, 2016; Springer International Publishing: Cham, Switzerland, 2016; pp. 29–45. [Google Scholar]
- Dimotta, A.; Lazzari, M.; Cozzi, M.; Romano, S. Soil Erosion Modelling on Arable Lands and Soil Types in Basilicata, Southern Italy, Cham, 2017; Springer International Publishing: Cham, Switzerland, 2017; pp. 57–72. [Google Scholar]
- Lazzari, M.; Gioia, D.; Piccarreta, M.; Danese, M.; Lanorte, A. Sediment yield and erosion rate estimation in the mountain catchments of the Camastra artificial reservoir (Southern Italy): A comparison between different empirical methods. CATENA 2015, 127, 323–339. [Google Scholar] [CrossRef]
- Zhao, X.; Wu, P.; Gao, X.; Persaud, N. Soil Quality Indicators in Relation to Land Use and Topography in a Small Catchment on the Loess Plateau of China. Land Degrad. Dev. 2015, 26, 54–61. [Google Scholar] [CrossRef]
- Römermann, C.; Dutoit, T.; Poschlod, P.; Buisson, E. Influence of former cultivation on the unique Mediterranean steppe of France and consequences for conservation management. Biol. Conserv. 2005, 121, 21–33. [Google Scholar] [CrossRef]
- Zhao, W.Z.; Xiao, H.L.; Liu, Z.M.; Li, J. Soil degradation and restoration as affected by land use change in the semiarid Bashang area, northern China. CATENA 2005, 59, 173–186. [Google Scholar] [CrossRef]
- Wang, Z.J.; Su, Y. Spatio temporal characteristics of land use change in southern Shaanxi Province in recent 20 years based on RS and GIS. J. Nat. Disaters 2017, 26, 164–174. [Google Scholar]
- Wu, X.; Wang, X. Spatial Influence of Geographical Factors on Soil Erosion in Fuyang County, China. Procedia Environ. Sci. 2011, 10, 2128–2133. [Google Scholar] [CrossRef][Green Version]









| Erosion Intensity | 2000 | 2005 | 2010 | 2014 | ||||
|---|---|---|---|---|---|---|---|---|
| Area (km2) | Percent (%) | Area (km2) | Percent (%) | Area (km2) | Percent (%) | Area (km2) | Percent (%) | |
| Slight | 328.54 | 46.77 | 240.77 | 34.28 | 240.62 | 34.26 | 244.68 | 34.83 |
| Mild | 266.72 | 37.97 | 307.87 | 43.83 | 298.03 | 42.43 | 321.39 | 45.75 |
| Moderate | 89.30 | 12.71 | 136.49 | 19.43 | 140.58 | 20.01 | 120.92 | 17.21 |
| Strong | 14.87 | 2.12 | 15.77 | 2.25 | 20.35 | 2.90 | 13.56 | 1.93 |
| Very strong | 3.00 | 0.43 | 1.52 | 0.22 | 2.80 | 0.40 | 1.98 | 0.28 |
| Severe | 0.07 | 0.01 | 0.02 | 0.00 | 0.05 | 0.01 | 0.03 | 0.00 |
| Periods | Asp (t.km−2. a−1) | AR (t.km−2. a−1) | AC (t.km−2. a−1) | AR-Asp (t.km−2. a−1) | AC-Asp (t.km−2. a−1) | CRR (%) | CRC (%) | CR (%) | CC (%) |
|---|---|---|---|---|---|---|---|---|---|
| 2000–2005 | 1443.49 | 1751.02 | 1385.90 | 307.53 | −57.60 | 21.30 | −3.99 | 84.22 | 15.78 |
| 2005–2010 | 1710.49 | 1781.07 | 1716.50 | 70.58 | 6.00 | 4.13 | 0.35 | 92.16 | 7.84 |
| 2010–2014 | 1771.98 | 1665.97 | 1758.34 | −106.02 | −13.65 | −5.98 | −0.77 | 88.60 | 11.40 |
| 2000–2014 | 1443.49 | 1711.73 | 1380.83 | 268.24 | −62.66 | 18.58 | −4.34 | 81.06 | 19.84 |
© 2020 by the authors. Licensee MDPI, Basel, Switzerland. This article is an open access article distributed under the terms and conditions of the Creative Commons Attribution (CC BY) license (http://creativecommons.org/licenses/by/4.0/).
Share and Cite
Wang, Z.; Su, Y. Assessment of Soil Erosion in the Qinba Mountains of the Southern Shaanxi Province in China Using the RUSLE Model. Sustainability 2020, 12, 1733. https://doi.org/10.3390/su12051733
Wang Z, Su Y. Assessment of Soil Erosion in the Qinba Mountains of the Southern Shaanxi Province in China Using the RUSLE Model. Sustainability. 2020; 12(5):1733. https://doi.org/10.3390/su12051733
Chicago/Turabian StyleWang, Zhijie, and Yuan Su. 2020. "Assessment of Soil Erosion in the Qinba Mountains of the Southern Shaanxi Province in China Using the RUSLE Model" Sustainability 12, no. 5: 1733. https://doi.org/10.3390/su12051733
APA StyleWang, Z., & Su, Y. (2020). Assessment of Soil Erosion in the Qinba Mountains of the Southern Shaanxi Province in China Using the RUSLE Model. Sustainability, 12(5), 1733. https://doi.org/10.3390/su12051733

