Variations in Soil Physico-Chemical Properties along Slope Position Gradient in Secondary Vegetation of the Hilly Region, Guilin, Southwest China
Abstract
1. Introduction
2. Materials and Methods
2.1. Study Area
2.2. Vegetation Investigation
2.3. Soil Sampling and Analysis
2.4. Statistical Analysis
3. Results
3.1. Descriptive Statistics of Soil Physico-Chemical Properties at Different Slope Positions
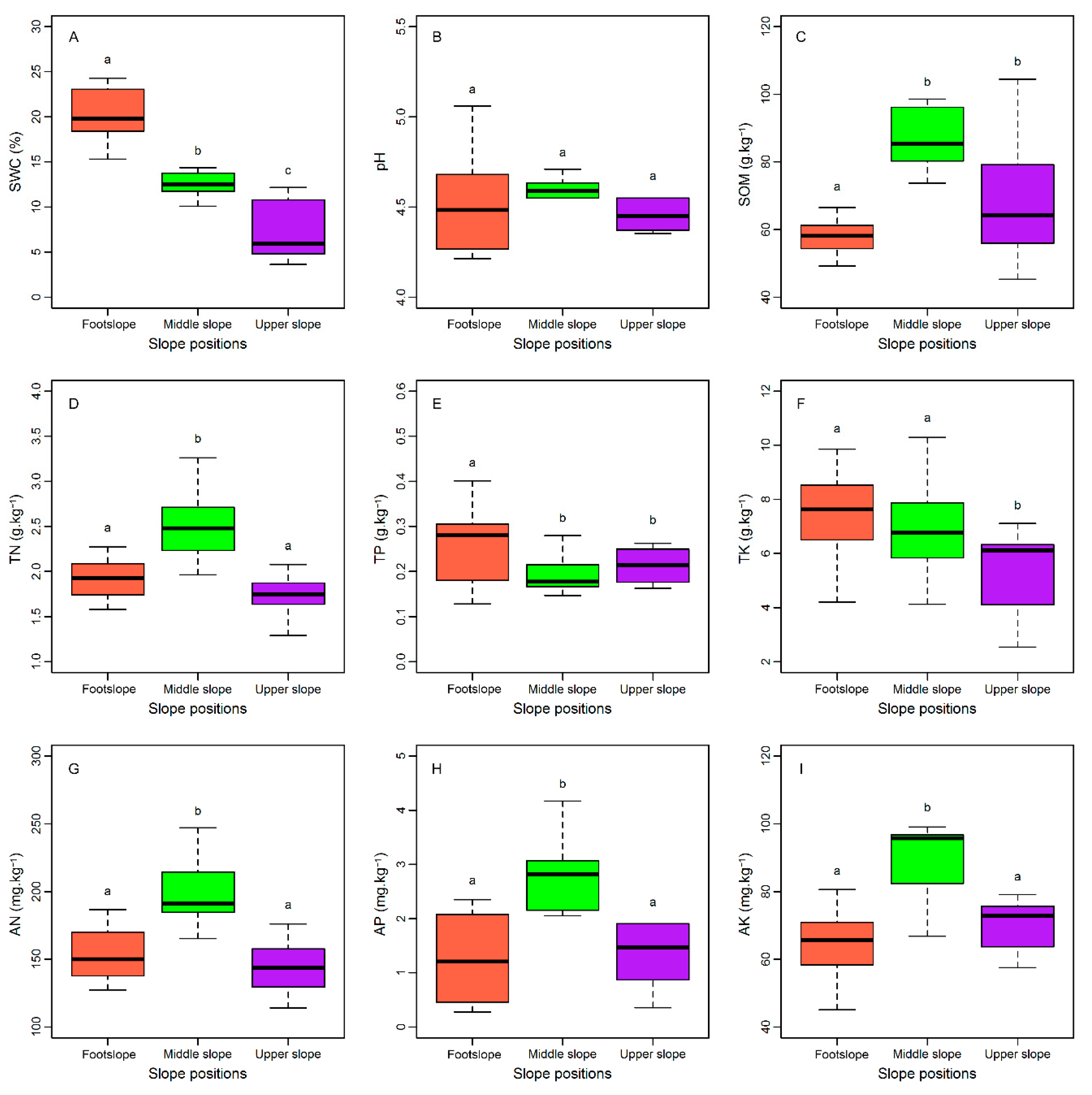
3.2. Comparison of Soil Physico-Chemical Properties at Different Slope Positions
3.3. Relationships between Soil Physico-Chemical Properties at Different Slope Positions
3.4. Principal Component Analysis of Soil Physico-Chemical Properties
4. Discussion
4.1. Basic Characteristics of Soil Physico-Chemical Properties at Different Slope Positions
4.2. Responses of Soil Physico-Chemical Properties to Different Slope Positions
4.3. Relationships between Soil Physico-Chemical Properties
4.4. Relationships between Different Samples and Soil Physico-Chemical Properties
5. Conclusions
Author Contributions
Funding
Acknowledgments
Conflicts of Interest
References
- Dominati, E.; Patterson, M.; Mackay, A. A framework for classifying and quantifying the natural capital and ecosystem services of soils. Ecol. Econ. 2010, 69, 1858–1868. [Google Scholar] [CrossRef]
- Robinson, D.A.; Panagos, P.; Borrelli, P. Soil natural capital in Europe; a framework for state and change assessment. Sci. Rep. 2017, 7, 6706. [Google Scholar] [CrossRef]
- Mobley, M.L. Monitoring Earth’s critical zone. Science 2009, 326, 1067–1068. [Google Scholar]
- Khan, F.; Hayat, Z.; Ahmad, W.; Ramzan, M.; Shah, Z.; Sharif, M.; Mian, I.A.; Hanif, M. Effect of slope position on physico-chemical properties of eroded soil. Soil Environ. 2013, 32, 22–28. [Google Scholar]
- Umali, B.P.; Oliver, D.P.; Forrester, S.; Chittleborough, D.J.; Hutson, J.L.; Kookana, R.S.; Ostendorf, B. The effect of terrain and management on the spatial variability of soil properties in an apple orchard. Catena 2012, 93, 38–48. [Google Scholar] [CrossRef]
- Tsui, C.C.; Chen, Z.S.; Hsieh, C.F. Relationships between soil properties and slope position in a lowland rain forest of southern Taiwan. Geoderma 2004, 123, 131–142. [Google Scholar] [CrossRef]
- Yimer, F.; Ledin, S.; Abdelkadir, A. Soil property variations in relation to topographic aspect and vegetation community in the south-eastern highlands of Ethiopia. For. Ecol. Manag. 2006, 232, 90–99. [Google Scholar] [CrossRef]
- Hook, P.B.; Burke, I.C. Biogeochemistry in a shortgrass landscape: Control by topography, soil texture, and microclimate. Ecology 2000, 81, 2686–2703. [Google Scholar] [CrossRef]
- Lozano-García, B.; Parras-Alcántara, L.; Brevik, E.C. Impact of topographic aspect and vegetation (native and reforested areas) on soil organic carbon and nitrogen budgets in Mediterranean natural areas. Sci. Total Environ. 2016, 544, 963–970. [Google Scholar] [CrossRef] [PubMed]
- Sun, F.X.; Lu, Y.H.; Fu, B.J.; Ma, Z.M.; Yao, X.L. Spatial explicit soil moisture analysis: Pattern and its stability at small catchment scale in the loess hilly region of China. Hydrol. Process 2014, 28, 4091–4109. [Google Scholar] [CrossRef]
- Zhang, X.Y.; Liu, M.Z.; Zhao, X.; Li, Y.Q.; Zhao, W.; Li, A.; Chen, S.; Chen, S.P.; Han, X.G.; Huang, J.H. Topography and grazing effects on storage of soil organic carbon and nitrogen in the northern China grasslands. Ecol. Indic. 2018, 93, 45–53. [Google Scholar] [CrossRef]
- Begum, F.; Bajracharya, R.M.; Sharma, S.; Sitaula, B.K. Influence of slope aspect on soil physico-chemical and biological properties in the mid hills of central Nepal. Int. J. Sustain. Dev. World 2010, 17, 438–443. [Google Scholar] [CrossRef]
- Khormali, F.; Ayoubi, S.; Foomani, F.K.; Fatemi, A.; Hemmati, K. Tea yield and soil properties as affected by slope position and aspect in Lahijan area, Iran. Int. J. Plant Prod. 2007, 1, 245–259. [Google Scholar]
- Carroll, C.; Merton, L.; Burger, P. Impact of vegetative cover and slope on runoff, erosion, and water quality for field plots on a range of soil and spoil materials on central Queensland coal mines. Soil Res. 2000, 38, 313–328. [Google Scholar] [CrossRef]
- Turner, C.L.; Blair, J.M.; Schartz, R.J.; Neel, J.C. Soil N and plant responses to fire, topography and supplemental N in tallgrass praire. Ecology 1997, 78, 1832–1843. [Google Scholar] [CrossRef]
- Burke, I.C.; Lauenroth, W.K.; Riggle, R.; Brannen, P. Spatail variability of soil properties in the shortgrass steppe: The relative importance of topography, grazing, microsite, and plant species in controlling spatial patterns. Ecosystems 1999, 2, 422–438. [Google Scholar] [CrossRef]
- Xu, W.; Wan, S. Water- and plant-mediated responses of soil respiration to topography, fire, and nitrogen fertilization in a semiarid grassland in northern China. Soil Biol. Biochem. 2008, 40, 679–687. [Google Scholar] [CrossRef]
- Tateno, R.; Takeda, H. Forest structure and tree species distribution in relation to topography-mediated heterogeneity of soil nitrogen and light at the forest floor. Ecol. Res. 2003, 18, 559–571. [Google Scholar] [CrossRef]
- Sariyildiz, T.; Anderson, J.M.; Kucuk, M. Effects of tree species and topography on soil chemistry, litter quality, and decomposition in Northeast Turkey. Soil Biol. Biochem. 2005, 37, 1695–1706. [Google Scholar] [CrossRef]
- Xing, S.H.; Chen, C.R.; Zhang, H.; Zhou, B.Q.; Nang, Z.M.; Xu, Z.H. Genotype and slope position control on the availability of soil soluble organic nitrogen in tea plantations. Biogeochemistry 2010, 103, 245–261. [Google Scholar] [CrossRef]
- Feng, T.J.; Wei, W.; Chen, L.D.; Rodrigo-Comino, J.; Die, C.; Feng, X.R.; Ren, K.M.; Brevik, E.C.; Yu, Y. Assessment of the impact of different vegetation patterns on soil erosion processes on semiarid loess slopes. Earth Surf. Process. Landf. 2018, 43, 1860–1870. [Google Scholar] [CrossRef]
- Chen, Z.S.; Hsieh, C.F.; Jiang, F.Y.; Hsieh, T.H.; Sun, I.F. Relationship of soil properties to topography and vegetation in a subtropical rain forest in southern Taiwan. Plant Ecol. 1997, 132, 229–241. [Google Scholar] [CrossRef]
- Gou, Y.; Chen, H.; Wu, W.; Liu, H.B. Effects of slope position, aspect and cropping system on soil nutrient variability in hilly areas. Soil Res. 2015, 53, 338–348. [Google Scholar] [CrossRef]
- Pierson, F.B.; Mulla, D.J. Aggregate stability in the Palouse region of Washington: Effect of landscape position. Soil Sci. Soc. Am. J. 1990, 54, 1407–1412. [Google Scholar] [CrossRef]
- Moorman, T.B.; Cambardella, C.A.; James, D.E.; Karlen, D.L.; Kramer, L.A. Quantification of tillage and landscape effects on soil carbon in small Iowa watersheds. Soil Tillage Res. 2004, 78, 225–236. [Google Scholar] [CrossRef]
- Rezaei, H.; Jafarzadeh, A.A.; Alijanpour, A.; Shahbazi, F.; Kamran, K.V. Effect of slope position on soil properties and types along an elevation gradient of Arasbaran Forest, Iran. Int. J. Adv. Sci. Eng. Inf. Technol. 2015, 5, 449–456. [Google Scholar] [CrossRef]
- Gisilanbe, S.A.; Philip, H.J.; Solomon, R.I.; Okorie, E.E. Variation in soil physical and chemical properties as affected by three slope positions and their management implications in Ganye, North-Eastern Nigeria. Asian. J. Soil Sci. Plant Nutr. 2017, 2, 1–13. [Google Scholar] [CrossRef]
- Li, Z.W.; Zeng, G.M.; Zhang, H.; Yang, B.; Jiao, S. The integrated eco-environment assessment of the red soil hilly region based on GIS—A case study in Changsha City, China. Ecol. Model. 2007, 202, 540–546. [Google Scholar] [CrossRef]
- Chen, J.; Xiao, H.B.; Li, Z.W.; Liu, C.; Wang, D.Y.; Wang, L.X.; Tang, C.J. Threshold effects of vegetation coverage on soil erosion control in small watersheds of the red soil hilly region in china. Ecol. Eng. 2019, 132, 109–114. [Google Scholar] [CrossRef]
- Hou, X.L.; Han, H.; Tigabu, M.; Cai, L.P.; Meng, F.R.; Liu, A.Q.; Ma, X.Q. Changes in soil physico-chemical properties following vegetation restoration mediate bacterial community composition and diversity in Changting, China. Ecol. Eng. 2019, 138, 171–179. [Google Scholar] [CrossRef]
- Soil Survey Staff. Keys to Soil Taxonomy, 12th ed.; USDA-Natural Resources Conservation Service: Washington, DC, USA, 2014. [Google Scholar]
- Marriott, C.A.; Hudson, G.; Hamilton, D.; Neilson, R.; Boag, B.; Handley, L.L.; Wishart, J.; Scrimgeour, C.M.; Robinson, D. Spatial variability of soil total C and N and their stable isotopes in an upland Scottish grassland. Plant Soil 1997, 196, 151–162. [Google Scholar] [CrossRef]
- Bao, S.D. Soil Agricultural and Chemical Analysis, 3rd ed.; China Agriculture Press: Beijing, China, 2008. [Google Scholar]
- R Development Core Team. R: A Language and Environment for Statistical Computing, 3.4.2 ed.; R Foundation for Statistical Computing: Vienna, Austria, 2017. [Google Scholar]
- Oksanen, J.; Blanchet, F.G.; Friendly, M.; Kindt, R.; Legendre, P.; McGlinn, D.; Minchin, P.R.; O’ Hara, R.B.; Simpson, G.L.; Solymos, P.; et al. Vegan: Community Ecology Package. R package version 2.4-0. 2016. Available online: https://cran.r-project.org/src/contrib/Archive/vegan_2.4-0.tar.gz (accessed on 25 May 2017).
- Borcard, D.; Gillet, F.; Legendre, P. Numerical Ecology with R, 2nd ed.; Springer Press: New York, NY, USA, 2018. [Google Scholar]
- Chinese National Soil Survey Office (CNSSO). China Soil; China Agriculture Press: Beijing, China, 1998. [Google Scholar]
- Feng, G.; Ai, X.R.; Zang, R.G.; Ding, Y. Soil characteristics under different community types in the subtropical evergreen and deciduous broad-leaved mixed forest in southwest Hubei. J. Nat. Res. 2016, 31, 1173–1184. [Google Scholar]
- Zhang, N.; Wang, X.H.; Zheng, Z.M.; Ma, Z.P.; Yang, Q.S.; Fang, X.F.; Xie, Y.B. Spatial heterogeneity of soil properties and its relationships with terrain factors in broadleaved forest in Tiantong of Zhejiang Province, East China. Chin. J. Appl. Ecol. 2012, 23, 2361–2369. [Google Scholar]
- Ma, Q.; Zhao, G.X. Effects of different land use types on soil nutrients in intensive agricultural region. J. Nat. Res. 2010, 25, 1834–1844. [Google Scholar]
- Zhang, S.L.; Jiang, L.L.; Liu, X.B.; Zhang, X.Y.; Fu, S.C.; Dai, L. Soil nutrient variance by slope position in a Mollisol farmland area of Northeast China. Chin. Geogr. Sci. 2015, 26, 508–517. [Google Scholar] [CrossRef]
- McNab, W.H. A topographic index to quantify the effect of mesoscale landform on site productivity. Can. J. For. Res. 1993, 23, 1100–1107. [Google Scholar] [CrossRef]
- Galicia, L.; Lopez-Blanco, J.; Zarco-Arista, E.A.; Filips, V.; Garcıa-Oliva, F. The relationship between solar radiation interception and soil water content in a tropical deciduous forest in Mexico. Catena 1999, 36, 153–164. [Google Scholar] [CrossRef]
- Wang, L.; Wei, S.P.; Robert, H.; Shao, M.A. Effects of vegetation and slope aspect on water budget in the hill and gully region of the Loess Plateau of China. Catena 2011, 87, 90–100. [Google Scholar] [CrossRef]
- Ebel, B.A. Simulated unsaturated flow processes after wildfire and interactions with slope aspect. Water Resour. Res. 2013, 49, 8090–8107. [Google Scholar] [CrossRef]
- Holland, P.; Steyn, D. Vegetational responses to latitudinal variations in slope angle and aspect. J. Biogeogr. 1975, 2, 179–183. [Google Scholar] [CrossRef]
- Daws, M.I.; Mullins, C.E.; Burslem, D.F.; Paton, S.R.; Dalling, J.W. Topographic position affects the water regime in a semideciduous tropical forest in Panamá. Plant Soil 2002, 238, 79–89. [Google Scholar] [CrossRef]
- Méndez-Toribio, M.; Ibarra-Manríquez, G.; Navarrete-Segueda, A.; Paz, H. Topographic position, but not slope aspect, drives the dominance of functional strategies of tropical dry forest trees. Environ. Res. Lett. 2017, 12, 085002. [Google Scholar] [CrossRef]
- Zhu, Q.; Nie, X.F.; Zhou, X.B.; Liao, K.H.; Li, H. Soil moisture response to rainfall at different topographic positions along a mixed land-use hillslope. Catena 2014, 119, 61–70. [Google Scholar] [CrossRef]
- Wei, X.R.; Shao, M.A.; Fu, X.L.; Horton, R. Changes in soil organic carbon and total nitrogen after 28 years grassland afforestation: Effects of tree species, slope position, and soil order. Plant Soil 2010, 331, 165–179. [Google Scholar] [CrossRef]
- García-Ruiz, R.; Ochoa, V.; Vinegla, B.; Hinojosa, M.B.; Pena-Santiago, R.; Liebanas, G.; Linares, J.C.; Carreira, J.A. Soil enzymes, nematode community and selected physico-chemical properties as soil quality indicators in organic and conventional olive oil farming: Influence of seasonality and site features. Appl. Soil Ecol. 2009, 41, 305–314. [Google Scholar] [CrossRef]
- Loveland, P.; Webb, J. Is there a critical level of organic matter in the agricultural soils of temperate regions: A review. Soil Tillage Res. 2003, 70, 1–18. [Google Scholar] [CrossRef]
- Six, J.; Conant, R.T.; Paul, E.A.; Paustian, K. Stabilization mechanisms of soil organic matter: Implications for C-saturation of soils. Plant Soil 2002, 241, 155–176. [Google Scholar] [CrossRef]
- Liu, Y.; He, N.P.; Wen, X.F.; Yu, G.R.; Gao, Y.; Jia, Y.L. Patterns and regulating mechanisms of soil nitrogen mineralization and temperature sensitivity in Chinese terrestrial ecosystems. Agric. Ecosyst. Environ. 2016, 215, 40–46. [Google Scholar] [CrossRef]
- Simek, M.; Cooper, J.E. The influence of soil pH on denitrification: Progress towards the understanding of this interaction over the last 50 years. Eur. J. Soil Sci. 2002, 53, 345–354. [Google Scholar] [CrossRef]
- Yu, Y.C.; Yang, J.Y.; Zeng, S.C.; Wu, D.M.; Jacobs, D.F.; Sloan, J.L. Soil pH, organic matter, and nutrient content change with the continuous cropping of Cunninghamia lanceolata, plantations in South China. J. Soil Sediments 2017, 17, 2230–2238. [Google Scholar] [CrossRef]
- Sarooshi, R.; Weir, R.; Barchia, I. Soil pH, extractable phosphorus, and exchangeable cations as affected by rates of fertiliser nitrogen, phosphorus, and potassium applied over several years to Valencia orange trees. Aust. J. Exp. Agric. 1994, 34, 419–425. [Google Scholar] [CrossRef]
- Baribault, T.W.; Finley, K.A.O. Tropical tree growth is correlated with soil phosphorus, potassium, and calcium, though not for legumes. Ecol. Monogr. 2012, 82, 189–203. [Google Scholar] [CrossRef]
- Pietsch, D.; Mabit, L. Terrace soils in the Yemen Highlands: Using physical, chemical and radiometric data to assess their suitability for agriculture and their vulnerability to degradation. Geoderma 2012, 185–186, 48–60. [Google Scholar] [CrossRef]
- Zhang, Y.; Tigabu, M.; Yi, Z.G.; Li, H.T.; Zhuang, Z.; Yang, Z.; Ma, X.Q. Soil parent material and stand development stage effects on labile soil C and N pools in Chinese fir plantations. Geoderma 2019, 338, 247–258. [Google Scholar] [CrossRef]
- Lever, J.; Krzywinski, M.; Altman, N. Principal component analysis. Nat. Methods 2017, 14, 641–642. [Google Scholar] [CrossRef]




| Slope Positions | Geographic Position | Elevation Range (m) | Slope Degree Range (°) | Number of Plots | Dominant Species |
|---|---|---|---|---|---|
| Footslope | 25°05’23.33” N 110°17’37.48” E | 195–209 | 13–18 | 10 | Pinus massoniana var. Massoniana − Rhododendron molle + Ficus hirta |
| Middle slope | 25°05’16.96” N 110°17’38.68” E | 270–285 | 7–12 | 9 | Pinus massoniana var. Massoniana − Melastoma candidum + Schima superba |
| Upper slope | 25°05’06.17” N 110°17’43.65” E | 355–372 | 17–21 | 9 | Pinus massoniana var. Massoniana − Melastoma candidum + Schima superba |
| Slope Positions | Soil Physico-C hemical Properties | Minimum | Maximum | Mean | Median | Variance | Standard Deviation | Skewness Coefficient | Kurtosis Coefficient | Coefficient of Variance (%) |
|---|---|---|---|---|---|---|---|---|---|---|
| Footslope | Soil water content (SWC, %) | 15.31 | 24.29 | 20.38 | 19.78 | 8.85 | 2.97 | −0.06 | −1.44 | 14.59 |
| Soil pH (pH) | 4.21 | 5.06 | 4.52 | 4.48 | 0.09 | 0.29 | 0.51 | −1.27 | 6.47 | |
| Soil organic matter (SOM, g kg−1) | 41.17 | 77.51 | 58.35 | 58.15 | 94.02 | 9.70 | 0.18 | −0.36 | 16.62 | |
| Soil total nitrogen (TN, g kg−1) | 1.58 | 2.27 | 1.91 | 1.93 | 0.05 | 0.23 | 0.02 | −1.44 | 12.21 | |
| Soil total phosphorus (TP, g kg−1) | 0.13 | 0.40 | 0.27 | 0.28 | 0.01 | 0.09 | 0.01 | −1.40 | 33.76 | |
| Soil total potassium (TK, g kg−1) | 4.20 | 9.86 | 7.42 | 7.63 | 2.62 | 1.62 | −0.49 | −0.72 | 21.83 | |
| Soil available nitrogen (AN, mg kg−1) | 127.31 | 186.67 | 154.68 | 150.00 | 432.27 | 20.79 | 0.26 | −1.46 | 13.44 | |
| Soil available phosphorus (AP, mg kg−1) | 0.28 | 4.53 | 1.45 | 1.21 | 1.68 | 1.29 | 1.19 | 0.42 | 89.51 | |
| Soil available potassium (AK, mg kg−1) | 45.09 | 92.02 | 66.14 | 65.77 | 183.31 | 13.54 | 0.32 | −0.82 | 20.47 | |
| Middle slope | Soil water content (SWC, %) | 10.08 | 20.81 | 13.39 | 12.52 | 9.42 | 3.07 | 1.38 | 0.96 | 22.92 |
| Soil pH (pH) | 4.36 | 4.71 | 4.58 | 4.59 | 0.01 | 0.10 | −0.95 | 0.20 | 2.15 | |
| Soil organic matter (SOM, g kg−1) | 73.66 | 98.55 | 86.51 | 85.40 | 88.19 | 9.39 | −0.03 | −1.68 | 10.86 | |
| Soil total nitrogen (TN, g kg−1) | 1.96 | 3.26 | 2.49 | 2.48 | 0.16 | 0.39 | 0.46 | −0.91 | 15.80 | |
| Soil total phosphorus (TP, g kg−1) | 0.09 | 0.28 | 0.18 | 0.18 | 0.00 | 0.05 | −0.01 | −0.65 | 28.88 | |
| Soil total potassium (TK, g kg−1) | 4.13 | 10.28 | 6.90 | 6.77 | 4.29 | 2.07 | 0.18 | −1.33 | 30.00 | |
| Soil available nitrogen (AN, mg kg−1) | 165.34 | 247.01 | 198.11 | 191.30 | 598.69 | 24.47 | 0.59 | −0.74 | 12.35 | |
| Soil available phosphorus (AP, mg kg−1) | 0.38 | 4.17 | 2.68 | 2.82 | 1.21 | 1.10 | −0.63 | −0.37 | 41.19 | |
| Soil available potassium (AK, mg kg−1) | 66.86 | 99.07 | 88.34 | 95.79 | 151.17 | 12.30 | −0.72 | −1.32 | 13.92 | |
| Upper slope | Soil water content (SWC, %) | 3.63 | 12.15 | 7.09 | 5.92 | 10.52 | 3.24 | 0.48 | −1.70 | 45.75 |
| Soil pH (pH) | 4.35 | 4.94 | 4.53 | 4.45 | 0.05 | 0.21 | 0.85 | −1.00 | 4.71 | |
| Soil organic matter (SOM, g kg−1) | 45.28 | 174.18 | 79.16 | 64.13 | 1577.80 | 39.72 | 1.41 | 0.76 | 50.18 | |
| Soil total nitrogen (TN, g kg−1) | 1.29 | 4.26 | 1.99 | 1.75 | 0.77 | 0.88 | 1.81 | 1.97 | 44.02 | |
| Soil total phosphorus (TP, g kg−1) | 0.16 | 0.26 | 0.21 | 0.21 | 0.00 | 0.04 | −0.04 | −1.99 | 19.03 | |
| Soil total potassium (TK, g kg−1) | 2.54 | 7.11 | 5.37 | 6.10 | 2.78 | 1.67 | −0.51 | −1.48 | 31.07 | |
| Soil available nitrogen (AN, mg kg−1) | 114.01 | 253.45 | 152.79 | 143.60 | 1833.40 | 42.82 | 1.28 | 0.55 | 28.02 | |
| Soil available phosphorus (AP, mg kg−1) | 0.36 | 10.48 | 2.87 | 1.47 | 12.37 | 3.52 | 1.22 | −0.23 | 122.54 | |
| Soil available potassium (AK, mg kg−1) | 57.52 | 115.18 | 73.70 | 72.83 | 294.52 | 17.16 | 1.39 | 0.94 | 23.29 |
| Soil Physico-Chemical Properties | Principal Components | |||
|---|---|---|---|---|
| PC1 | PC2 | PC3 | PC4 | |
| Soil water content (SWC) | −0.2819 | 1.0665 | −0.0275 | 0.4477 |
| Soil pH (pH) | −0.2560 | 0.4605 | −0.8252 | −0.7234 |
| Soil organic matter (SOM) | 1.2214 | −0.1717 | −0.0572 | −0.0273 |
| Soil total nitrogen (TN) | 1.2307 | 0.1679 | −0.1392 | −0.0223 |
| Soil total phosphorus (TP) | −0.3187 | 0.9196 | 0.1383 | −0.6287 |
| Soil total potassium (TK) | 0.1117 | 0.5313 | 1.1127 | 0.0061 |
| Soil available nitrogen (AN) | 1.1572 | 0.2826 | −0.2226 | −0.0362 |
| Soil available phosphorus (AP) | −0.2191 | −0.5870 | 0.4825 | −0.8494 |
| Soil available potassium (AK) | 1.0965 | 0.1822 | 0.2784 | −0.3633 |
| Eigenvalue | 3.3803 | 1.7279 | 1.3403 | 1.1403 |
| Proportion explained (%) | 37.56 | 19.20 | 14.89 | 12.67 |
| Cumulative proportion (%) | 37.56 | 56.76 | 71.65 | 84.32 |
© 2020 by the authors. Licensee MDPI, Basel, Switzerland. This article is an open access article distributed under the terms and conditions of the Creative Commons Attribution (CC BY) license (http://creativecommons.org/licenses/by/4.0/).
Share and Cite
Liu, R.; Pan, Y.; Bao, H.; Liang, S.; Jiang, Y.; Tu, H.; Nong, J.; Huang, W. Variations in Soil Physico-Chemical Properties along Slope Position Gradient in Secondary Vegetation of the Hilly Region, Guilin, Southwest China. Sustainability 2020, 12, 1303. https://doi.org/10.3390/su12041303
Liu R, Pan Y, Bao H, Liang S, Jiang Y, Tu H, Nong J, Huang W. Variations in Soil Physico-Chemical Properties along Slope Position Gradient in Secondary Vegetation of the Hilly Region, Guilin, Southwest China. Sustainability. 2020; 12(4):1303. https://doi.org/10.3390/su12041303
Chicago/Turabian StyleLiu, Runhong, Yuanfang Pan, Han Bao, Shichu Liang, Yong Jiang, Hongrun Tu, Juanli Nong, and Wanqing Huang. 2020. "Variations in Soil Physico-Chemical Properties along Slope Position Gradient in Secondary Vegetation of the Hilly Region, Guilin, Southwest China" Sustainability 12, no. 4: 1303. https://doi.org/10.3390/su12041303
APA StyleLiu, R., Pan, Y., Bao, H., Liang, S., Jiang, Y., Tu, H., Nong, J., & Huang, W. (2020). Variations in Soil Physico-Chemical Properties along Slope Position Gradient in Secondary Vegetation of the Hilly Region, Guilin, Southwest China. Sustainability, 12(4), 1303. https://doi.org/10.3390/su12041303

