Asymmetric Impact of Institutional Quality on Tourism Inflows Among Selected Asian Pacific Countries
Abstract
1. Background and Motivation
2. Brief Literature Review on Institutional Quality and Tourism
3. Methodological Setting
3.1. Data and Variables
3.2. Panel Unit-Root
3.3. Pedroni Cointegration Test
3.4. Symmetric Panel with ARDL Modeling
3.5. Asymmetric Panel with ARDL Settings
3.6. Robustness with Panel Threshold Regression
4. Results and Discussion
4.1. Cointegration Testing
4.2. Symmetric and Asymmetric Relationship
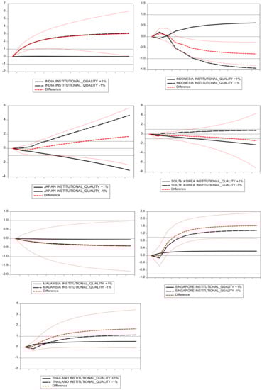
4.3. Identifying Linearities and Non-Linearities at Country-level
4.4. Identifying the Threshold Level
5. Conclusions
Author Contributions
Funding
Acknowledgments
Conflicts of Interest
References
- Pablo-Romero, M.D.P.; Molina, J.A. Tourism and economic growth: A review of empirical literature. Tour. Manag. Perspect. 2013, 8, 28–41. [Google Scholar] [CrossRef]
- Seetanah, B. Assessing the dynamic economic impact of tourism for island economies. Ann. Tour. Res. 2011, 38, 291–308. [Google Scholar] [CrossRef]
- Du, D.; Lew, A.A.; Ng, P.T. Tourism and economic growth. J. Travel Res. 2016, 55, 454–464. [Google Scholar] [CrossRef]
- Pratt, S. The economic impact of tourism in SIDS. Ann. Tour. Res. 2015, 52, 148–160. [Google Scholar] [CrossRef]
- Webster, C.; Ivanov, S. Transforming competitiveness into economic benefits: Does tourism stimulate economic growth in more competitive destinations? Tour. Manag. 2014, 40, 137–140. [Google Scholar] [CrossRef]
- Tang, C.F.; Tan, E.C. Does tourism effectively stimulate Malaysia’s economic growth? Tour. Manag. 2015, 46, 158–163. [Google Scholar] [CrossRef]
- Balli, E.; Sigeze, C.; Manga, M.; Birdir, S.; Birdir, K. The relationship between tourism, CO2 emissions and economic growth: A case of Mediterranean countries. Asia Pac. J. Tour. Res. 2019, 24, 219–232. [Google Scholar] [CrossRef]
- Remenyik, B.; Tóth, G.; Dávid, L.; Szücs, C.; Vasa, L.; Uakhitova, G. Lakes under Pressure: Data on the Development of Lake Tourism in Hungary. Available online: https://docplayer.net/21748706-Lakes-under-pressure-data-on-the-development-of-lake-tourism-in-hungary.html (accessed on 5 February 2020).
- Tóth, G.; Dávid, L.D.; Vasa, L. The role of transport in European tourism flows. Acta Geogr. Slov. 2014, 54, 311–320. [Google Scholar] [CrossRef]
- Máté, D. Impact of human capital on productivity growth in different labour-skilled branches. Acta Oecon. 2015, 65, 51–67. [Google Scholar] [CrossRef]
- World Tourism Organization. UNWTO Tourism Highlights 2017 Edition. Available online: https://www.unwto.org/archive/global/publication/unwto-tourism-highlights-2017 (accessed on 5 February 2020).
- Tang, X.; Yao, X. Do financial structures affect exchange rate and stock price interaction? Evidence from emerging markets. Emerg. Mark. Rev. 2018, 34, 64–76. [Google Scholar] [CrossRef]
- Crotti, R.; Misrahi, T. The Travel & Tourism Competitiveness Report 2017—Paving the Way for A More Sustainable and Inclusive Future; Word Econmic Forum: Geneva, Italy, 2017; pp. 1–387. [Google Scholar]
- Li, C.; Pervaiz, K.; Asif Khan, M.; Ur Rehman, F.; Oláh, J. On the Asymmetries of Sovereign Credit Rating Announcements and Financial Market Development in the European Region. Sustainability 2019, 11, 6636. [Google Scholar] [CrossRef]
- Rehman, F.U.; Khan, M.; Khan, M.A.; Pervaiz, K.; Liaqat, I. The Causal, Linear and Nonlinear Nexus Between Sectoral FDI and Infrastructure in Pakistan: Using A New Global Infrastructure Index. Res. Int. Bus. Financ. 2019, 52, 101129. [Google Scholar] [CrossRef]
- Shin, Y.; Yu, B.; Greenwood-Nimmo, M. Modelling Asymmetric Cointegration and Dynamic Multipliers in a Nonlinear ARDL Framework. In Festschrift in Honor of Peter Schmidt; Springer: Berlin, Germany, 2014; pp. 281–314. [Google Scholar]
- North, D. Institutions, Institutional Change and Economic Performance; Cambridge University Press: New York, NY, USA, 1990. [Google Scholar]
- Acemoglu, D.; Johnson, S.; Robinson, J.A. Reversal of fortune: Geography and institutions in the making of the modern world income distribution. Q. J. Econ. 2002, 117, 1231–1294. [Google Scholar] [CrossRef]
- Acemoglu, D.; Johnson, S.; Robinson, J.A. The colonial origins of comparative development: An empirical investigation. Am. Econ. Rev. 2001, 91, 1369–1401. [Google Scholar] [CrossRef]
- Khan, M.A.; Máté, D.; Abdulahi, M.E.; Sadaf, R.; Khan, M.A.; Popp, J.; Oláh, J. Do institutional quality, innovation and ICT technologies promote financial market development? Eur. J. Int. Manag. 2020. [Google Scholar] [CrossRef]
- Khan, M.A.; Ilyas, R.M.A.; Hashmi, S.H. Cointegration between Institutional Quality and Stock Market Development. NUML Int. J. Bus. Manag. 2018, 13, 90–103. [Google Scholar]
- Dutt, P.; Traca, D. Corruption and bilateral trade flows: Extortion or evasion? Rev. Econ. Stat. 2010, 92, 843–860. [Google Scholar] [CrossRef]
- Tang, C.F. The impacts of governance and institutions on inbound tourism demand: Evidence from a dynamic panel data study. Asia Pac. J. Tourism Res. 2018, 23, 1000–1007. [Google Scholar] [CrossRef]
- Mura, L. Enterpreneurship internationalization—Case of Slovak family businesses. Ad Alta J. Interdiscip. Res. 2019, 9, 222–226. [Google Scholar]
- Lee, S. Research note: Quality of government and tourism destination competitiveness. Tour. Econ. 2015, 21, 881–888. [Google Scholar] [CrossRef]
- De Vita, G.; Kyaw, K.S. Tourism specialization, absorptive capacity, and economic growth. J. Travel Res. 2016, 56, 423–435. [Google Scholar] [CrossRef]
- Seetanah, B.; Durbarry, R.; Ragodoo, J.N. Using the panel cointegration approach to analyse the determinants of tourism demand in South Africa. Tour. Econ. 2010, 16, 715–729. [Google Scholar] [CrossRef]
- Yap, G.; Saha, S. Do political instability, terrorism, and corruption have deterring effects on tourism development even in the presence of UNESCO heritage? A cross-country panel estimate. Tour. Anal. 2013, 18, 587–599. [Google Scholar] [CrossRef]
- Slusarczyk, B.; Smolag, K.; Kot, S. The supply chain of a tourism product. Actual Probl. Econ. 2016, 179, 197–207. [Google Scholar]
- Khan, M.A.; Khan, M.A.; Abdulahi, M.E.; Liaqat, I.; Shah, S.S.H. Institutional quality and financial development: The United States perspective. J. Multinatl. Financ. Manag. 2019, 49, 67–80. [Google Scholar] [CrossRef]
- Khan, M.A.; Kong, D.; Xiang, J.; Zhang, J. Impact of Institutional Quality on Financial Development: Cross-Country Evidence based on Emerging and Growth-Leading Economies. Emerg. Mark. Finance and Trade 2019, 56, 1–17. [Google Scholar] [CrossRef]
- Balaguer, J.; Cantavella-Jorda, M. Tourism as a long-run economic growth factor: The Spanish case. Appl. Econ. 2002, 34, 877–884. [Google Scholar] [CrossRef]
- Habibi, F. The determinants of inbound tourism to Malaysia: A panel data analysis. Curr. Issues Tour. 2017, 20, 909–930. [Google Scholar] [CrossRef]
- Kadir, N.; Karim, M.Z.A. Demand for Tourism in Malaysia by UK and US Tourists: A Cointegration and Error Correction Model Approach. In Advances in Tourism Economics: New Developments; Matias, Á., Nijkamp, P., Sarmento, M., Eds.; Physica-Verlag HD: Heidelberg, Germany, 2009; pp. 51–71. [Google Scholar]
- Ooi, C.-A.; Hooy, C.-W.; Mat Som, A.P. Tourism crisis and state level tourism demand in Malaysia. Int. J. Bus. Soc. 2013, 14, 376–389. [Google Scholar]
- Salleh, N.H.M.; Othman, R.; Noor, A.H.S.M.; Hasim, M.S. Malaysian tourism demand from the Middle East market: A preliminary analysis. Int. J. West Asian Stud. 2010. [Google Scholar] [CrossRef]
- Salleh, N.H.M.; Othman, R.; Ramachandran, S. Malaysia’s tourism demand from selected countries: The ARDL approach to cointegration. Int. J. Econ. Manag. 2007, 1, 345–363. [Google Scholar]
- Tang, C.F.; Tan, E.C. The determinants of inbound tourism demand in Malaysia: Another visit with non-stationary panel data approach. Anatolia 2016, 27, 189–200. [Google Scholar] [CrossRef]
- Tan, A.Y.; McCahon, C.; Miller, J. Stability of inbound tourism demand models for Indonesia and Malaysia: The pre-and postformation of tourism development organizations. J. Hosp. Tour. Res. 2002, 26, 361–378. [Google Scholar] [CrossRef]
- Nonthapot, S. Mediation between tourism contribution and economic growth in the greater Mekong subregion. Asia Pac. J. Tour. Res. 2016, 21, 157–171. [Google Scholar] [CrossRef]
- Kurowska-Pysz, J.; Szczepańska-Woszczyna, K.; Štverková, H.; Kašík, J. The catalysts of cross-border cooperation development in Euroregions. Pol. J. Manag. Stud. 2018, 18, 180–193. [Google Scholar] [CrossRef]
- Valaskova, K.; Kliestik, T.; Kovacova, M. Management of financial risks in Slovak enterprises using regression analysis. Oeconomia Copernic. 2018, 9, 105–121. [Google Scholar] [CrossRef]
- Ghalia, T.; Fidrmuc, J.; Samargandi, N.; Sohag, K. Institutional quality, political risk and tourism. Tour. Manag. Perspect. 2019, 32, 100576. [Google Scholar] [CrossRef]
- Yeh, C.M. Does board governance matter for foreign institutional investors to invest in listed tourism firms? Tour. Manag. 2018, 68, 66–78. [Google Scholar] [CrossRef]
- Luo, F.; Moyle, B.D.; Bao, J.; Zhong, Y. The role of institutions in the production of space for tourism: National Forest Parks in China. For. Policy Econ. 2016, 70, 47–55. [Google Scholar] [CrossRef]
- Badola, R.; Hussain, S.A.; Dobriyal, P.; Manral, U.; Barthwal, S.; Rastogi, A.; Gill, A.K. Institutional arrangements for managing tourism in the Indian Himalayan protected areas. Tour. Manag. 2018, 66, 1–12. [Google Scholar] [CrossRef]
- Balli, F.; Balli, H.O.; Louis, R.J. The impacts of immigrants and institutions on bilateral tourism flows. Tour. Manag. 2016, 52, 221–229. [Google Scholar] [CrossRef]
- Durana, P.; Kral, P.; Stehel, V.; Lazaroiu, G.; Sroka, W. Quality Culture of Manufacturing Enterprises: A possible way to adaptation to Industry 4.0. Soc. Sci. 2019, 8, 124. [Google Scholar] [CrossRef]
- Máté, D. Human capital, unions and productivity in a labour-skilled sectoral approach. Soc. Econ. 2014, 36, 369–385. [Google Scholar] [CrossRef]
- Saha, S.; Yap, G. The moderation effects of political instability and terrorism on tourism development: A cross-country panel analysis. J. Travel Res. 2014, 53, 509–521. [Google Scholar] [CrossRef]
- Demir, E.; Gozgor, G. Does freedom of the press enhance inbound tourism? Curr. Issues Tour. 2019, 22, 2550–2565. [Google Scholar] [CrossRef]
- Gozgor, G.; Lau, C.K.M.; Zeng, Y.; Lin, Z. The effectiveness of the legal system and inbound tourism. Ann. Tour. Res. 2019, 76, 24–35. [Google Scholar] [CrossRef]
- Levin, A.; Lin, C.-F.; Chu, C.-S.J. Unit root tests in panel data: Asymptotic and finite-sample properties. J. Econom. 2002, 108, 1–24. [Google Scholar] [CrossRef]
- Im, K.S.; Pesaran, M.H.; Shin, Y. Testing for unit roots in heterogeneous panels. J. Econom. 2003, 115, 53–74. [Google Scholar] [CrossRef]
- Pesaran, M.H. A simple panel unit root test in the presence of cross-section dependence. J. Appl. Econom. 2007, 22, 265–312. [Google Scholar] [CrossRef]
- Huang, J.; Liu, Q.; Cai, X.; Hao, Y.; Lei, H. The effect of technological factors on China’s carbon intensity: New evidence from a panel threshold model. Energy Policy 2018, 115, 32–42. [Google Scholar] [CrossRef]
- Hansen, B.E. Sample splitting and threshold estimation. Econometrica 2000, 68, 575–603. [Google Scholar] [CrossRef]
- Hansen, B.E. Threshold effects in non-dynamic panels: Estimation, testing, and inference. J. Econom. 1999, 93, 345–368. [Google Scholar] [CrossRef]
- Mariyakhan, K.; Mohamued, E.A.; Asif Khan, M.; Popp, J.; Oláh, J. Does the Level of Absorptive Capacity Matter for Carbon Intensity? Evidence from the USA and China. Energies 2020, 13, 407. [Google Scholar] [CrossRef]
- De Bruyn, C.; Meyer, N.; Meyer, D.F. Assessing the dynamic economic impact of tourism in a developing region in South Africa. J. Econ. Beh. Stud. 2018, 10, 274–283. [Google Scholar]
- Meyer, D.F.; Meyer, N. The role of tourism on Local Economic Development: A comparative study. Afr. J. Phys. Health Educ. Recreat. Danc. 2015, A2, 197–214. [Google Scholar]



| Variable | Data Source | Mean | Std.Dev. | Min | Max |
|---|---|---|---|---|---|
| Tourism_Arrivals | WDI World Bank | 22.908 | 0.852 | 20.482 | 24.94 |
| Tourism_Revenues | WDI World Bank | 15.857 | 0.919 | 13.574 | 17.973 |
| Institutional_Quality | Fraser Institute | 7.101 | 1.180 | 4.090 | 9.190 |
| Institutional_Quality_POS | Fraser Institute | 1.550 | 0.860 | 0.000 | 3.790 |
| Institutional_Quality_NEG | Fraser Institute | −0.541 | 0.438 | −1.713 | 0.000 |
| Gross_Domestic_Product_Per_Capita | WDI World Bank | 8.552 | 1.577 | 5.524 | 10.963 |
| International_Trade | WDI World Bank | 4.251 | 0.969 | 2.299 | 6.040 |
| Real_Exchange_Rate | WDI World Bank | 3.634 | 2.568 | 0.199 | 9.502 |
| Total_Coast | CIA, World Fact-Book | 8.425 | 1.672 | 5.263 | 10.91 |
| Coast_Per_KM2 | CIA, World Fact-Book | 2.887 | 0.297 | 2.294 | 3.303 |
| Land_Area | WDI World Bank | 12.108 | 3.147 | 6.507 | 16.055 |
| Surface_Area | WDI World Bank | 12.14 | 3.156 | 6.522 | 16.073 |
| Number_of_Heritage | CIA, World Fact-Book | 2.749 | 1.253 | 1.000 | 7.000 |
| Levin-Lin-Chu | Im, Pesaran, and Shin | |||
|---|---|---|---|---|
| Variables | Level | 1st Difference | Level | 1st Difference |
| Tourism_Arrivals | −0.748 | −18.941 *** | −1.442 | −4.948 *** |
| Tourism_Revenues | −0.408 | −13.559 *** | −1.028 | −5.051 *** |
| Institutional_Quality | −2.575 *** | - | −1.028 | −2.522 *** |
| Gross_Domestic_Product_Per_Capita | −2.507 ** | - | −1.801 | −4.253 *** |
| Total_Coast | −2.832 ** | - | −2.610 ** | - |
| Coast_Per_KM2 | −5.342 *** | - | −3.610 *** | - |
| International_Trade | −0.961 | −11.181 *** | −1.792 | −4.708 *** |
| Rearl_Exchange_Rate | −4.222 *** | - | −1.829 | −4.133 *** |
| Land_Area | −2.162 | −7.873 *** | −1.515 | −4.712 *** |
| Surface_Area | −4.882 *** | - | −1.841 | −5.749 *** |
| Number_of_Heritage | −0.197 | −8.344 *** | −1.847 | −4.074 *** |
| Model (1) | Model (2) | |||
|---|---|---|---|---|
| Test Statistics | Within Panel | Between-Group | Within Panel | Between-Group |
| v | −5.969 | −6.829 | ||
| rho | −3.610 | −4.699 | −3.784 | −4.778 |
| t | −3.437 | −4.574 | −3.884 | −4.359 |
| ADF | −2.807 | −2.314 | −3.198 | −2.290 |
| Dependent Variable: Tourism_Inflows | Symmetric | Asymmetric | ||
|---|---|---|---|---|
| (1) | (2) | (3) | (4) | |
| Variables | Tourism Arrivals | Tourism Revenues | Tourism Arrivals | Tourism Revenues |
| Long Run Estimation | ||||
| Institutional_Quality | −0.625 | −0.995 | ||
| (−1.65) | (−1.41) | |||
| Institutional_Quality_Pos | −1.06 *** | −0.039 | ||
| (−3.66) | (−0.13) | |||
| Institutional_Quality_Neg | −1.65 | −0.756 ** | ||
| (−1.38) | (−2.27) | |||
| Gross_Domestic_Product_Per_Capita | 1.077 ** | 1.221 ** | −0.504 | 0.783 *** |
| (2.39) | (2.17) | (−0.62) | (3.69) | |
| International_Trade | 0.293 | 0.670 | −0.740 * | −0.009 |
| (0.70) | (1.21) | (−1.71) | (−0.03) | |
| Real_Exchange_Rate | 1.040 ** | 1.297 * | 0.618 | 1.067 * |
| (2.47) | (1.76) | (1.13) | (1.66) | |
| Land_Area | 27.127 | −135.772 | 141.574 | 86.266 |
| (1.44) | (−0.95) | (1.01) | (1.02) | |
| Surface_Area | 119.830 | 53.322 | −672.338 | 24.905 |
| (1.02) | (0.99) | (−1.00) | (0.91) | |
| Number_of_Heritage | 0.138 | 0.145* | −0.090 | 0.063 |
| (1.10) | (1.71) | (−0.89) | (1.08) | |
| Error Correction Term | −0.300 *** | −0.315 *** | −0.413 *** | −0.466 *** |
| (−3.27) | (−5.56) | (−3.90) | (−7.90) | |
| Short-Run Estimation | ||||
| ∆Institutional_Quality_Pos | 0.014 | 0.023 | −0.072 | −0.013 |
| (0.32) | (0.31) | (−1.20) | (−0.27) | |
| ∆Institutional_Quality_Neg | 0.199 ** | −0.037 ** | ||
| (2.23) | (−2.41) | |||
| ∆Gross_Domesticproduct_Per_Capita | 0.224 | 0.273* | 0.136 | 0.127 |
| (1.19) | (1.89) | (0.80) | (0.65) | |
| ∆International_Trade | 0.081 * | 0.136 ** | 0.101 | 0.160 |
| (1.66) | (2.06) | (1.25) | (1.40) | |
| ∆Real_Exchange_Rate | 0.181 | 0.141 | 0.201 | −0.464 ** |
| (0.52) | (0.32) | (0.49) | (−2.21) | |
| ∆Land_Area | 4.929 | 2.588 | −22.608 | −32.180 |
| (0.39) | (0.25) | (−1.21) | (−1.16) | |
| ∆Surface_Area | −27.551 | −8.757 | −9.008 | −4.212 |
| (−1.02) | (−0.80) | (−1.05) | (−0.58) | |
| ∆Number_of_Heritage | −0.005 | −0.018 | −0.002 | −0.018 |
| (−0.48) | (−1.37) | (−0.23) | (−1.26) | |
| Constant | −198.134 | −278.189 | 311.089 | −816.061 |
| (−1.14) | (−0.77) | (0.47) | (−1.27) | |
| Wald test (long-run) | 1.95 * | 2.55 *** | ||
| Wald test (short-run) | 10.61 *** | 5.11 *** | ||
| S.No. | Countries | (1) | (2) | (3) | (4) |
|---|---|---|---|---|---|
| Linearities | Non-linearities | ||||
| (Tourism_Revenues) | (Tourism_Arrivals) | (Tourism_Revenues) | (Tourism_Arrivals) | ||
| 1 | China | Yes | Yes | No | No |
| 2 | Hong Kong | No | Yes | Yes | No |
| 3 | India | Yes | No | No | Yes |
| 4 | Indonesia | No | No | Yes | Yes |
| 5 | Japan | No | No | Yes | Yes |
| 6 | Malaysia | No | No | Yes | Yes |
| 7 | South Korea | No | Yes | Yes | No |
| 8 | Singapore | No | No | Yes | Yes |
| 9 | Thailand | No | No | Yes | Yes |
| Threshold | Threshold Value | F-stat | p-Value | Critical Value at 10% | Critical Value at 5% | Critical Value at 1% |
|---|---|---|---|---|---|---|
| Single | 7.52 | 11.79 | 0.044 | 9.969 | 11.211 | 13.717 |
| Double | 7.47 | 6.50 | 0.344 | 9.513 | 10.908 | 14.113 |
| Triple | 6.64 | 4.83 | 0.548 | 9.334 | 11.076 | 13.604 |
© 2020 by the authors. Licensee MDPI, Basel, Switzerland. This article is an open access article distributed under the terms and conditions of the Creative Commons Attribution (CC BY) license (http://creativecommons.org/licenses/by/4.0/).
Share and Cite
Khan, M.A.; Popp, J.; Talib, M.N.A.; Lakner, Z.; Khan, M.A.; Oláh, J. Asymmetric Impact of Institutional Quality on Tourism Inflows Among Selected Asian Pacific Countries. Sustainability 2020, 12, 1223. https://doi.org/10.3390/su12031223
Khan MA, Popp J, Talib MNA, Lakner Z, Khan MA, Oláh J. Asymmetric Impact of Institutional Quality on Tourism Inflows Among Selected Asian Pacific Countries. Sustainability. 2020; 12(3):1223. https://doi.org/10.3390/su12031223
Chicago/Turabian StyleKhan, Muhammad Asif, József Popp, Mirza Nouman Ali Talib, Zoltán Lakner, Muhammad Atif Khan, and Judit Oláh. 2020. "Asymmetric Impact of Institutional Quality on Tourism Inflows Among Selected Asian Pacific Countries" Sustainability 12, no. 3: 1223. https://doi.org/10.3390/su12031223
APA StyleKhan, M. A., Popp, J., Talib, M. N. A., Lakner, Z., Khan, M. A., & Oláh, J. (2020). Asymmetric Impact of Institutional Quality on Tourism Inflows Among Selected Asian Pacific Countries. Sustainability, 12(3), 1223. https://doi.org/10.3390/su12031223

