Biodeterioration Patterns and Their Interpretation for Potential Applications to Stone Conservation: A Hypothesis from Allelopathic Inhibitory Effects of Lichens on the Caestia Pyramid (Rome)
Abstract
1. Introduction
2. Materials and Methods
2.1. Evidence of the Diffuse Colonisation and BPs on the Pyramid During the Previous Centuries and Lichen Tracks
2.2. Hypothesis on the Aetiological Agent of the Weathering Patterns and Selection of Promising Bioactive Substances
3. Results and Discussion
3.1. Evidence of the Past Colonisation and BPs on the Pyramid, Including Lichens and Their Tracks
- blackish biofilms (BB), usually arising from cyanobacterial and fungal colonisations;
- lichen crusts (LC), as circular elements of lighter colour inside wide blackish areas;
- weeds, shrubs and arboreal flora (WS), detectable by a more complex organisation, with evident stems and leaves (sometimes also flowers). In these areas, the presence of mosses’ pulvines can also likely be expected.
3.2. Hypothesis on the Aetiological Agent of the Tracks
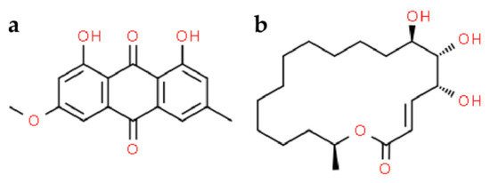
3.3. The selection of Promising Substances
4. Conclusions
Supplementary Materials
Author Contributions
Funding
Conflicts of Interest
References
- Caneva, G.; Nugari, M.P.; Salvadori, O. Plant Biology for Cultural Heritage: Biodeterioration and Conservation; The Getty Conservation Institute: Los Angeles, CA, USA, 2008. [Google Scholar]
- Di Carlo, E.; Barresi, G.; Palla, F. Biodeterioration. In Biotechnology and Conservation of Cultural Heritage; Palla, F., Barresi, G., Eds.; Springer International Publishing: Cham, Switzerland, 2017; pp. 1–30. [Google Scholar]
- Macedo, M.F.; Miller, A.Z.; Dionísio, A.; Saiz-Jimenez, C. Biodiversity of cyanobacteria and green algae on monuments in the Mediterranean Basin: An overview. Microbiology 2009, 155, 3476–3490. [Google Scholar] [CrossRef] [PubMed]
- Salvadori, O.; Casanova-Municchia, A. The Role of Fungi and Lichens in the Biodeterioration of Stone Monuments. Open Conf. Proc. J. 2016, 7, 39–54. [Google Scholar] [CrossRef]
- Seaward, M.R.D. Lichens as Subversive Agents of Biodeterioration. In Biodeterioration of Stone Surfaces; Seaward, M.R.D., St. Clair, L.L., Eds.; Springer: Dordrecht, The Netherlands, 2004; pp. 9–18. [Google Scholar]
- Seaward, M.R.D. Lichens as Agents of Biodeterioration. In Recent Advances in Lichenology; Upreti, D., Divakar, P., Shukla, V., Bajpai, R., Eds.; Springer India: New Delhi, India, 2015; Volume 3, pp. 189–211. [Google Scholar] [CrossRef]
- Carter, N.E.A.; Viles, H.A. Experimental investigations into the interactions between moisture, rock surface temperatures and an epilithic lichen cover in the bioprotection of limestone. Build. Environ. 2003, 38, 1225–1234. [Google Scholar] [CrossRef]
- Carter, N.E.A.; Viles, H.A. Bioprotection explored: The story of a little known earth surface process. Geomorphology 2005, 67, 273–281. [Google Scholar] [CrossRef]
- Bartoli, F.; Casanova Municchia, A.; Futagami, Y.; Kashiwadani, H.; Moon, K.H.; Caneva, G. Biological colonization patterns on the ruins of Angkor temples (Cambodia) in the biodeterioration vs bioprotection debate. Int. Biodeterior. Biodegrad. 2014, 96, 157–165. [Google Scholar] [CrossRef]
- Casanova Municchia, A.; Bartoli, F.; Taniguchi, Y.; Giordani, P.; Caneva, G. Evaluation of the biodeterioration activity of lichens in the Cave Church of Üzümlü (Cappadocia, Turkey). Int. Biodeterior. Biodegrad. 2018, 127, 160–169. [Google Scholar] [CrossRef]
- Caneva, G.; Salvadori, O.; Ricci, S.; Ceschin, S. Ecological analysis and biodeterioration processes over time at the Hieroglyphic Stairway in the Copàn (Honduras) archaeological site. Plant Biosyst. 2005, 139, 295–310. [Google Scholar] [CrossRef]
- Caneva, G.; Bartoli, F.; Savo, V.; Futagami, Y.; Strona, G. Combining Statistical Tools and Ecological Assessments in the Study of Biodeterioration Patterns of Stone Temples in Angkor (Cambodia). Sci. Rep. 2016, 6, 32601. [Google Scholar] [CrossRef]
- Danin, A.; Garty, J. Distribution of cyanobacteria and lichens on hillsides of the Negev Highlands and their impact on biogenic weathering. Z. Geomorph. N. F. 1983, 27, 423–444. [Google Scholar]
- Danin, A.; Gerson, R.; Garty, J. Weathering patterns on hard limestone and dolomite by endolithic lichens and cyanobacteria: supporting evidence for eolian contribution to terra rossa soil. Soil Sci. 1983, 136, 213–217. [Google Scholar] [CrossRef]
- Danin, A. Palaeoclimates in Israel: Evidence from Weathering Patterns of Stones In and Near Archaeological Sites. BASOR 1985, 259, 33–43. [Google Scholar] [CrossRef]
- Caneva, G.; Danin, A.; Ricci, S.; Conti, C. The pitting of Trajan’s column, Rome: An ecological model of its origin. In Conservazione del Patrimonio culturale II, Contributi Centro Linceo Interdisciplinare Beniamino Segre; Accademia Nazionale dei Lincei: Rome, Italy, 1994. [Google Scholar]
- Caneva, G.; Nugari, M.P.; Ricci, S.; Salvadori, O. Pitting of marble Roman monuments and the related microflora. In Proceedings of the VII International Symposium on Deterioration and Conservation of Stone, Lisbon, Portugal, 15–18 June 1992; pp. 521–530. [Google Scholar]
- Camuffo, D. Reconstructing the climate and the air pollution of Rome during the life of the Trajan Column. Sci. Total Environ. 1993, 128, 205–226. [Google Scholar] [CrossRef]
- Caneva, G.; Gori, E.; Montefinale, T. Biodeterioration of monuments in relation to climatic changes in Rome between 19–20th centuries. Sci. Total Environ. 1995, 167, 205–214. [Google Scholar] [CrossRef]
- Monge-Nájera, J.; Morera-Brenes, B. Biodeterioration and Biodegradation of Roman Monuments: A Comparison of the Current Status of 18th Century Paintings by The Canalettos. Int. J. Conserv. Sci. 2014, 5, 3–8. [Google Scholar]
- Pinna, D.; Salvadori, O.; Tretiach, M. An anatomical investigation of calcicolous endolithic lichens from the Trieste karst (NE Italy). Plant Biosyst. 1998, 132, 183–195. [Google Scholar] [CrossRef]
- Edwards, H.G.M.; Russell, N.C.; Seaward, M.R.D. Calcium oxalate in lichen biodeterioration studied using FT-Raman spectroscopy. Spectrochim. Acta Part A 1997, 53, 99–105. [Google Scholar] [CrossRef]
- Edwards, H.G.M.; Seaward, M.R.D.; Attwood, S.J.; Little, S.J.; de Oliveira, L.F.C.; Tretiach, M. FT-Raman spectroscopy of lichens on dolomitic rocks: an assessment of metal oxalate formation. Analyst 2003, 128, 1218–1221. [Google Scholar] [CrossRef] [PubMed]
- Caneva, G. Ecological approach to the genesis of calcium oxalate patinas on stone monuments. Aerobiologia 1993, 9, 149–156. [Google Scholar] [CrossRef]
- Lokajová, V.; Bačkorová, M.; Bačkor, M. Allelopathic effects of lichen secondary metabolites and their naturally occurring mixtures on cultures of aposymbiotically grown lichen photobiont Trebouxia erici (Chlorophyta). S. Afr. J. Bot. 2014, 93, 86–91. [Google Scholar] [CrossRef]
- Molnár, K.; Farkas, E. Current Results on Biological Activities of Lichen Secondary Metabolites: A Review. Z. Naturforsch. C. 2010, 65, 157–173. [Google Scholar] [CrossRef]
- Prashith Kekuda, T.R.; Vinayaka, K.S.; Sachin, M.B. Chemistry, ethnobotanical uses and biological activities of the lichen genus Heterodermia trevis. (Physciaceae; Lecanorales; Ascomycota): A comprehensive review. J. Appl. Pharm. Sci. 2018, 8, 148–155. [Google Scholar] [CrossRef][Green Version]
- Yamamoto, Y.; Hara, K.; Kawakami, H.; Komine, M. Lichen Substances and Their Biological Activities. In Recent Advances in Lichenology; Upreti, D., Divakar, P., Shukla, V., Bajpai, R., Eds.; Springer: New Delhi, India, 2015; Volume 2, pp. 181–199. [Google Scholar] [CrossRef]
- Lawrey, J.D. Biology of Lichenized Fungi; Praeger Publishers: New York, NY, USA, 1984. [Google Scholar]
- Favero-Longo, S.E.; Piervittori, R. Lichen-plant interactions. J. Plant Interact. 2010, 5, 163–177. [Google Scholar] [CrossRef]
- Lawrey, J.D. Biotic Interactions in Lichen Community Development: A Review. Lichenologist 1991, 23, 205–214. [Google Scholar] [CrossRef]
- Lawrey, J.D. Lichen Allelopathy—A Review. Allelopath. ACS Symp. Ser. 1994, 582, 26–38. [Google Scholar] [CrossRef]
- Ascaso, C.; Galvan, J. Studies on the pedogenetic action of lichen acids. Pedobiologia 1976, 16, 321–331. [Google Scholar]
- Turci, F.; Favero-Longo, S.E.; Tomatis, M.; Martra, G.; Castelli, D.; Piervittori, R.; Fubini, B. A Biomimetic Approach to the Chemical Inactivation of Chrysotile Fibres by Lichen Metabolites. Chem. Eur. J. 2007, 13, 4081–4093. [Google Scholar] [CrossRef]
- Gazzano, C.; Favero-Longo, S.E.; Iacomussi, P.; Piervittori, R. Biocidal effect of lichen secondary metabolites against rock-dwelling microcolonial fungi, cyanobacteria and green algae. Int. Biodeterior. Biodegrad. 2013, 84, 300–306. [Google Scholar] [CrossRef]
- Caneva, G.; Nugari, M.P.; Pinna, D.; Salvadori, O. Il Controllo del Degrado Biologico: i Biocidi Nel Restauro dei Materiali Lapidei; Nardini Editore: Fiesole, Italy, 1996. [Google Scholar]
- Pinna, D. Coping with Biological Growth on Stone Heritage Objects: Methods, Products, Applications, and Perspectives; Apple Academic Press: Waretown, NJ, USA, 2017. [Google Scholar]
- Fidanza, M.R.; Caneva, G. Natural biocides for the conservation of stone cultural heritage: A review. J. Cult. Herit. 2019, 38, 271–286. [Google Scholar] [CrossRef]
- Claridge, A.; Toms, J.; Cubberley, T. Rome: An Oxford Archaeological Guide, 2nd ed.; Oxford University Press: Oxford, UK, 2010. [Google Scholar]
- Franzini, M.; Lezzerini, M. The Triassic marble from the Punta Bianca promontory (La Spezia, Italy). Did Roman quarrying of “Lunensis marble” begin here? Period. Mineral. 2002, 71, 137–144. [Google Scholar]
- Serra, J. Sul restauro della Piramide di C. Cestio nel 1663. Bollettino dell’Istituto Centrale del Restauro 1957, 31, 173–181. [Google Scholar]
- Saiz-Jimenez, C. Microbial melanins in stone monuments. Sci. Total Environ. 1995, 167, 273–286. [Google Scholar] [CrossRef]
- Golubić, S.; Pietrini, A.M.; Ricci, S. Euendolithic activity of the cyanobacterium Chroococcus lithophilus Erc. In biodeterioration of the Pyramid of Caius Caestius, Rome, Italy. Int. Biodeterior. Biodegrad. 2015, 100, 7–16. [Google Scholar] [CrossRef]
- Giovagnoli, A.; Nugari, M.P.; Pietrini, A.M. The Ice Clean system for removing biological patina: The case of Piramide of Caio Cestio in Rome. In Proceedings of the International Conference on non-destructive investigations and microanalysis for the diagnostics and conservation of cultural and environmental heritage (ART 2011), Florence, Italy, 13–15 April 2011. Foresti, Brescia, Italy. [Google Scholar]
- Nimis, P.L.; Monte, M.; Tretiach, M. Flora e vegetazione lichenica di aree archeologiche del Lazio. Studia Geobot. 1987, 7, 3–161. [Google Scholar]
- Bartoli, A. I licheni del Colosseo. Allionia 1997, 35, 59–67. [Google Scholar]
- Fiorini Mazzanti, E. Florula del Colosseo. Atti dell’Accademia Pontificia dei Nuovi Lincei 1875, 31, 157–162. [Google Scholar]
- Nimis, P.L. The Lichens of Italy. A Second Annotated Catalogue; EUT: Trieste, Italy, 2016. [Google Scholar]
- ITALIC. ITALIC—The Information System on Italian Lichens, version 5.0.; University of Trieste: Trieste, Italy, 2017. [Google Scholar]
- Smith, C.W.; Aptroot, A.; Coppins, B.J.; Fletcher, A.; Gilbert, O.L.; James, P.W.; Wolseley, P.A. The Lichens of Great Britain and Ireland, 2nd ed.; British Lichen Society: London, UK, 2009. [Google Scholar]
- Culberson, C.F. Chemical and Botanical Guide to Lichen Products, Reprint; Otto Koeltz Science Publishers: Koenigstein, Germany, 1979. [Google Scholar]
- Favero-Longo, S.E.; Tonon, C.; Fidanza, M.R.; Caneva, G. Long-Lasting Allelopathic Effect of Circinaria-secreted Aspicilin on Carbonate Substrates. In Unlocking the Inner Lichen, Proceedings of the International Association for Lichenology 9th Symposium, Bonito, Brazil, 2–7 August 2020; IAL: Bonito, Brazil, 2020. [Google Scholar]
- Kim, S.; Thiessen, P.A.; Bolton, E.E.; Chen, J.; Fu, G.; Gindulyte, A.; Han, L.; He, J.; He, S.; Shoemaker, B.A.; et al. PubChem Substance and Compound databases. Nucleic Acids Res. 2016, 44, D1202–D1213. [Google Scholar] [CrossRef] [PubMed]
- Mitchell, R.; Gu, J.D. Changes in the biofilm microflora of limestone caused by atmospheric pollutants. Int. Biodeterior. Biodegrad. 2000, 46, 299–303. [Google Scholar] [CrossRef]
- Caneva, G.; Pacini, A.; Cutini, M.; Merante, A. The Colosseum floras as bio-indicators of the climatic changes in Rome. Clim. Change 2005, 70, 431–443. [Google Scholar] [CrossRef]
- Moonen, A.C.; Ercoli, L.; Mariotti, M.; Masoni, A. Climate change in Italy indicated by agrometeorological indices over 122 years. Agric. For. Meteorol. 2002, 111, 13–27. [Google Scholar] [CrossRef]
- Arup, U.; Søchting, U.; Frödén, P. A new taxonomy of the family Teloschistaceae. Nord. J. Bot. 2013, 31, 16–83. [Google Scholar] [CrossRef]
- Nordin, A.; Savić, S.; Tibell, L. Phylogeny and taxonomy of Aspicilia and Megasporaceae. Mycologia 2010, 102, 1339–1349. [Google Scholar] [CrossRef] [PubMed]
- Frank-Kamenetskaya, O.V.; Ivanyuk, G.Y.; Zelenskaya, M.S.; Izatulina, A.R.; Kalashnikov, A.O.; Vlasov, D.Y.; Polyanskaya, E.I. Calcium Oxalates in Lichens on Surface of Apatite-Nepheline Ore (Kola Peninsula, Russia). Minerals 2019, 9, 656. [Google Scholar] [CrossRef]
- Benatti, M.N.; Gernert, M.; Schmitt, I. Parmotrema hydrium, a new species of Parmeliaceae in southeastern Brazil. Acta Bot. Bras. 2013, 27, 810–814. [Google Scholar] [CrossRef]
- Banfield, J.F.; Barker, W.W.; Welch, S.A.; Taunton, A. Biological impact on mineral dissolution: Application of the lichen model to understanding mineral weathering in the rhizosphere. In Proceedings of the National Academy of Sciences, Irvine, CA, USA, 8–9 November 1998. [Google Scholar]
- Musulla, S.; Kumari Y, B.; Madala, M.; Rao, S.; Naresh, V.V. Alternative total synthesis of (+)-aspicilin. Synth. Commun. 2018, 48, 1657–1662. [Google Scholar] [CrossRef]
- Basile, A.; Rigano, D.; Loppi, S.; Di Santi, A.; Nebbioso, A.; Sorbo, S.; Conte, B.; Paoli, L.; De Ruberto, F.; Molinari, A.M.; et al. Antiproliferative, Antibacterial and Antifungal Activity of the Lichen Xanthoria parietina and Its Secondary Metabolite Parietin. Int. J. Mol. Sci. 2015, 16, 7861–7875. [Google Scholar] [CrossRef] [PubMed]
- Ranković, B.; Kosanić, M. Lichens as a Potential Source of Bioactive Secondary Metabolites. In Lichen Secondary Metabolites; Ranković, B., Ed.; Springer: Cham, Switzerland, 2015; pp. 1–26. [Google Scholar]
- Furmanek, Ł.; Czarnota, P.; Seaward, M.R.D. Antifungal activity of lichen compounds against dermatophytes: A review. J. Appl. Microbiol. 2019, 127, 308–325. [Google Scholar] [CrossRef] [PubMed]
- Shukla, V.; Joshi, G.P.; Rawat, M.S.M. Lichens as a potential natural source of bioactive compounds: A review. Phytochem. Rev. 2010, 9, 303–314. [Google Scholar] [CrossRef]
- Goga, M.; Elečko, J.; Marcinčinová, M.; Ručová, D.; Bačkorová, M.; Bačkor, M. Lichen Metabolites: An Overview of Some Secondary Metabolites and Their Biological Potential. In Co-Evolution of Secondary Metabolites; Springer: Cham, Switzerland, 2018; pp. 1–36. [Google Scholar]
- Araújo, A.A.S.; de Melo, M.G.D.; Rabelo, T.K.; Nunes, P.S.; Santos, S.L.; Serafini, M.R.; Santos, M.R.V.; Quintans-Júnior, L.J.; Gelain, D.P. Review of the biological properties and toxicity of usnic acid. Nat. Prod. Res. 2015, 29, 2167–2180. [Google Scholar] [CrossRef]
- Bhattacharyya, S.; Deep, P.R.; Singh, S.; Nayak, B. Lichen Secondary Metabolites and Its Biological Activity. Am. J. PharmTech Res. 2016, 6, 29–44. [Google Scholar]
- Le Pogam, P.; Boustie, J. Xanthones of Lichen Source: A 2016 Update. Molecules 2016, 21, 294. [Google Scholar] [CrossRef]
- Gauslaa, Y.; McEvoy, M. Seasonal changes in solar radiation drive acclimation of the sun-screening compound parietin in the lichen Xanthoria parietina. Basic Appl. Ecol. 2005, 6, 75–82. [Google Scholar] [CrossRef]






| Archive | Number of Records |
|---|---|
| Archivi Alinari | 31 |
| Archivio Fotografico Giuseppe Primoli | 8 |
| Biblioteca Nazionale Centrale di Roma | 1 |
| Bibliothèque Nationale de France | 1 |
| CeDOT—Centro di Documentazione e Osservazione del Territorio dell’Università degli Studi Roma Tre | 1 |
| Cimitero Acattolico di Roma | 6 |
| CROMA—Centro per lo Studio di Roma dell’Università degli Studi Roma Tre | 13 |
| Deutsches Archäologisches Institut | 20 |
| ICCD—Istituto Centrale per il Catalogo e la Documentazione del Ministero per i beni e le attività culturali e per il turismo | 29 |
| Species | pH | Solar Irradiation | Aridity | Eutrophication | Poleotolerance |
|---|---|---|---|---|---|
| Calogaya pusilla | 3–5 | 4–5 | 4–5 | 2–3 | 1–3 |
| Caloplaca erythrocarpa | 4–5 | 4–5 | 4 | 2–3 | 1–2 |
| Caloplaca teicholyta | 3–4 | 3–4 | 3 | 3–4 | 2–3 |
| Circinaria calcarea | 4–5 | 3–5 | 4 | 2–3 | 1–2 |
| Circinaria hoffmanniana | 3–5 | 3–5 | 3–4 | 3–5 | 1–3 |
| Variospora aurantia | 4–5 | 4–5 | 4–5 | 3–4 | 1–3 |
| Variospora flavescens | 4–5 | 3–5 | 3–4 | 3–4 | 1–3 |
| Xanthocarpia ochracea | 5 | 2–4 | 3 | 1–2 | 1–3 |
| Lichen Compounds | Candidate Coloniser(s) of the Pyramid | Biological Activity | Reference | ||
|---|---|---|---|---|---|
| Category | Metabolite | Formula | |||
| Polydroxylated macrolide | Aspicilin | C18H32O5 | Circinaria calcarea, Circinaria hoffmaniana | * Antibacterial activity, and phytotoxicity (inhibition of cholesterol biosynthesis and microfilament formation, antimalarial) | [62] |
| Antraquinones | Parietin (e.g.) | C16H12O5 | Calogaya pusilla, Caloplaca erythrocarpa, Caloplaca teicholyta, Flavoplaca granulosa, Placolecis opaca (medulla), Variospora aurantia, Variospora flavescens, Xanthocarpia ochracea | ** antibacterial agent, antifungal agent, (apoptosis inducer, antineoplastic agent, hepatoprotective agent, anti-inflammatory agent) | [63] |
| Depsidones | Norstictic acid | C18H12O9 | Diplotomma venustum | * antimicrobial (antioxidant, anticancer) | [64] |
| Psoromic acid | C18H14O8 | Protoparmeliopsis versicolor (medulla) | * antifungal activity (apoptotic activity) | [65,66] | |
| Depsides | Lecanoric acid | C16H14O7 | Diploschistes diacapsis | * antibacterial, and antifungal (antitumor, antioxidant) | [67] |
| Diploschistesic acid | C16H14O8 | Diploschistes diacapsis | not reported (at the best of our knowledge) | - | |
| Furandiones | Usnic acid | C18H16O7 | Protoparmeliopsis versicolor (cortex) | * antibacterial, antifungal (antiviral, antitumour, antioxidant, antipyretic, analgetic, anti-inflammatory, hepatotoxic, antiviral) | [63,68] |
| Pulvinic acid derivatives | Calycin (e.g.) | C18H10O5 | Candelariella medians | ** (antioxidant, photoprotection) | [69] |
| Xanthones | Arthothelin | C14H7Cl3O5 | Myriolecis pruinosa | ** antimicrobial (antioxidant, cytotoxic) | [70] |
| 2.7-dichloronorlichexanthone | C14H8Cl2O5 | Myrolecis pruinosa | |||
| Terpenoids | Zeorin | C30H52O2 | Protoparmeliopsis versicolor (medulla) | * antibacterial, antifungal (antioxidant) | [64] |
| Aliphatic compounds | Murolic acid | C21H36O5 | Protoparmeliopsis versicolor (medulla) | not reported (at the best of our knowledge) | - |
© 2020 by the authors. Licensee MDPI, Basel, Switzerland. This article is an open access article distributed under the terms and conditions of the Creative Commons Attribution (CC BY) license (http://creativecommons.org/licenses/by/4.0/).
Share and Cite
Caneva, G.; Fidanza, M.R.; Tonon, C.; Favero-Longo, S.E. Biodeterioration Patterns and Their Interpretation for Potential Applications to Stone Conservation: A Hypothesis from Allelopathic Inhibitory Effects of Lichens on the Caestia Pyramid (Rome). Sustainability 2020, 12, 1132. https://doi.org/10.3390/su12031132
Caneva G, Fidanza MR, Tonon C, Favero-Longo SE. Biodeterioration Patterns and Their Interpretation for Potential Applications to Stone Conservation: A Hypothesis from Allelopathic Inhibitory Effects of Lichens on the Caestia Pyramid (Rome). Sustainability. 2020; 12(3):1132. https://doi.org/10.3390/su12031132
Chicago/Turabian StyleCaneva, Giulia, Maria Rosaria Fidanza, Chiara Tonon, and Sergio Enrico Favero-Longo. 2020. "Biodeterioration Patterns and Their Interpretation for Potential Applications to Stone Conservation: A Hypothesis from Allelopathic Inhibitory Effects of Lichens on the Caestia Pyramid (Rome)" Sustainability 12, no. 3: 1132. https://doi.org/10.3390/su12031132
APA StyleCaneva, G., Fidanza, M. R., Tonon, C., & Favero-Longo, S. E. (2020). Biodeterioration Patterns and Their Interpretation for Potential Applications to Stone Conservation: A Hypothesis from Allelopathic Inhibitory Effects of Lichens on the Caestia Pyramid (Rome). Sustainability, 12(3), 1132. https://doi.org/10.3390/su12031132

