Threatened Status Assessment of Multiple Grassland Ecosystems and Conservation Strategies in the Xilin River Basin, NE China
Abstract
1. Introduction
2. Materials and Methods
2.1. The Study Area
2.2. Data
2.2.1. Ecosystem Classification Data
2.2.2. Other Data
2.3. Methods
2.3.1. Ecosystem Assessment System
- The absolute rate of decline
- Criterion A: reduction in geographic distribution
- Criterion B: restricted geographic distribution
- Criterion C: environmental degradation
- Criterion D: disruption of biotic processes and interactions
- Determining the threat level
2.3.2. Boreal Ecosystem Productivity Simulator (BEPS)
3. Results
3.1. Criterion A, Reduction in Geographic Distribution
Reduction from 2000 to 2050 (A2)
3.2. Criterion B, Restricted Geographic Distribution
3.2.1. EOO (B1)
3.2.2. AOO (B2)
3.2.3. Number of Locations (B3)
3.3. Criterion C, Environmental Degradation
Environmental Degradation from 2000 to 2050 (C2)
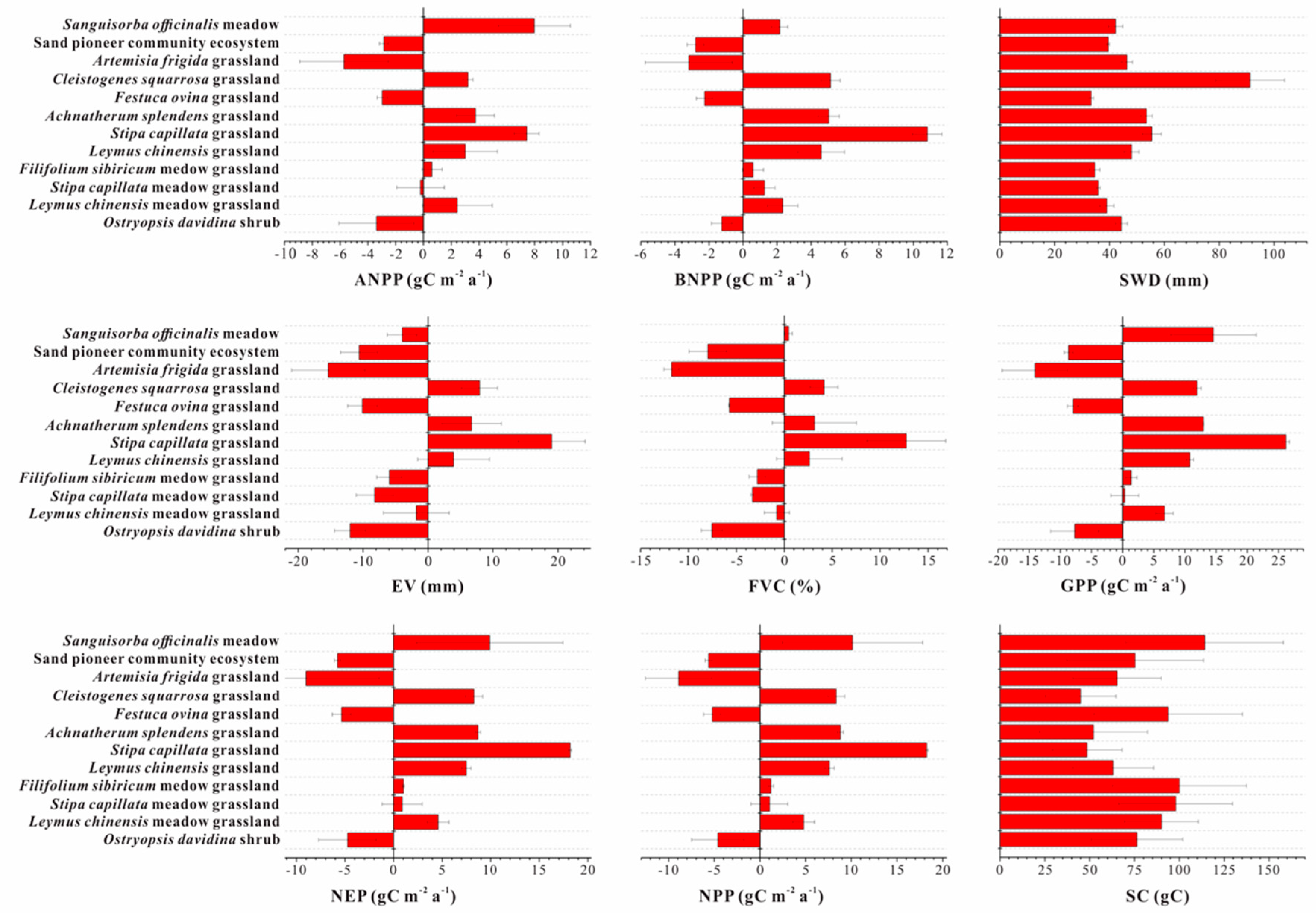
3.4. Criterion D, Disruption of Biotic Processes and Interactions
Disruption of Biotic Process and Interactions from 2000 to 2050 (D2)
3.5. Assessment Result of Twelve Ecosystems
4. Discussion
4.1. Implications and Limitations
4.2. Future Predictions and Conservation Strategy for Local Ecosystems
4.3. Biodiversity Conservation Based on the IUCN RLE in China
5. Conclusions
Author Contributions
Funding
Acknowledgments
Conflicts of Interest
References
- Rodríguez, J.P.; Rodríguez-Clark, K.M.; Baillie, J.E.; Ash, N.; Benson, J.; Boucher, T.; Brown, C.; Burgess, N.D.; Collen, B.E.; Jennings, M.; et al. Establishing IUCN red list criteria for threatened ecosystems. Conserv. Biol. 2011, 25, 21–29. [Google Scholar] [CrossRef] [PubMed]
- Rodríguez, J.P.; Balch, J.K.; Rodríguez-Clark, K.M. Assessing extinction risk in the absence of species-level data: Quantitative criteria for terrestrial ecosystems. Conserv. Biol. 2007, 16, 183–209. [Google Scholar] [CrossRef]
- Bradley, B.A. Assessing ecosystem threats from global and regional change: Hierarchical modeling of risk to sagebrush ecosystems from climate change, land use and invasive species in Nevada, USA. Ecography 2010, 33, 198–208. [Google Scholar] [CrossRef]
- Barrett, S.; Yates, C.J. Risks to a mountain summit ecosystem with endemic biota in southwestern Australia. Austral Ecol. 2015, 40, 423–432. [Google Scholar] [CrossRef]
- Williams, R.J.; Wahren, C.H.; Stott, K.A.J.; Camac, J.S.; White, M.; Burns, E.; Harris, S.; Nash, M.; Morgan, J.W.; Venn, S.; et al. An International Union for the Conservation of Nature Red List ecosystems risk assessment for alpine snow patch herb fields, South-Eastern Australia. Austral Ecol. 2015, 40, 433–443. [Google Scholar] [CrossRef]
- Wardle, G.M.; Greenville, A.C.; Frank, A.S.; Tischler, M.; Emery, N.J.; Dickman, C.R. Ecosystem risk assessment of Georgina gidgee woodlands in central Australia. Austral Ecol. 2015, 40, 444–459. [Google Scholar] [CrossRef]
- Tozer, M.G.; Leishman, M.R.; Auld, T.D. Ecosystem risk assessment for Cumberland Plain Woodland, New South Wales, Australia. Austral Ecol. 2015, 40, 400–410. [Google Scholar] [CrossRef]
- International Union for Conservation of Nature and Natural Resources (IUCN). Available online: http://www.iucnredlistofecosystems.org/resources/outreach/progress-rle-2014%E2%80%9015/ (accessed on 2 March 2016).
- Bland, L.M.; Nicholson, E.; Miller, R.M.; Andrade, A.; Carré, A.; Etter, A.; Ferrer-Paris, J.R.; Herrera, B.; Kontula, T.; Lindgaard, A.; et al. Impacts of the IUCN Red List of Ecosystems on conservation policy and practice. Conserv. Lett. 2019, 12, e12666. [Google Scholar] [CrossRef]
- Lytras, M.D.; Visvizi, A.; Sarirete, A. Clustering smart city services: Perceptions, expectations, responses. Sustainability 2019, 11, 1669. [Google Scholar] [CrossRef]
- Visvizi, A.; Lytras, M.D. Smart Cities: Issues and Challenges: Mapping Political, Social and Economic Risks and Threats; Elsevier: Amsterdam, The Netherlands, 2019; pp. 350–372. [Google Scholar]
- Visvizi, A.; Lytras, M.D.; Mudri, G. Smart Villages in the EU and Beyond; Emerald Publishing: Bingley, UK, 2019; pp. 20–27. [Google Scholar]
- Liu, J.; Chen, J.M.; Cihlar, J.; Park, W.M. A process-based boreal ecosystem productivity simulator using remote sensing inputs. Remote Sens. Environ. 1997, 62, 158–175. [Google Scholar] [CrossRef]
- Ministry of Environmental Protection of the People’s Republic of China (MEPPRC). China National Biodiversity Conservation Strategy and Action Plan (2011–2030); Biodiversity Office: Beijing, China, 2010. [Google Scholar]
- Ma, J. Ecosystem Assessment of Ebinur Watershed Natural Reserve. Sci. Technol. Innov. Her. 2013, 8, 46–47. [Google Scholar]
- Xiao, J.M.; Yang, S.Y. Application of the PSR Model to the Assessment of Island Ecosystem. J. Xiamen Uni. (Nat. Sci.) 2007, 46(z1), 191–196. [Google Scholar] [CrossRef]
- Di, B.F.; Yang, Z.; Ai, N. Evaluation on Degraded Ecosystem in Jinshajiang Xerothermic Valley Using RS and GIS-A Case Study of Yuanmou County in Yunnan. Sci. Geogr. Sin. 2005, 25, 450–484. [Google Scholar]
- Cai, K.; Qin, C.Y.; Li, J.Y.; Zhang, Y.; Niu, Z.C.; Li, X.W. Preliminary study on phytoplanktonic index of biotic integrity (P-IBI) assessment for lake ecosystem health: A case of Taihu Lake in Winter. Acta Ecol. Sin. 2012, 36, 1431–1441. [Google Scholar]
- Yan, Z.C.C.S.L.; Jie, L.Q.J.X.D. Ecosystem Assessment of Xarxili Natural Reserve in Xinjiang. Sci. Technol. Innov. Her. 2013, 146–149. [Google Scholar] [CrossRef]
- Tan, J.; Li, A.; Lei, G. Establish IUCN Red List of ecosystems in Southwestern China based on remote sensing data. In Proceedings of the IEEE International Geoscience and Remote Sensing Symposium (IGARSS), Beijing, China, 10–15 July 2016; pp. 1307–1310. [Google Scholar]
- Tan, J.; Li, A.; Lei, G.; Bian, J.; Chen, G.; Ma, K. Preliminary assessment of ecosystem risk based on IUCN criteria in a hierarchy of spatial domains: A case study in Southwestern China. Biol. Conserv. 2017, 215, 152–161. [Google Scholar] [CrossRef]
- Zhu, C.; Fang, Y.; Zhou, K.X.; Mu, S.J.; Jiang, J.L. IUCN Red List of Ecosystems, a new tool for biodiversity conservation. Acta Ecol. Sin. 2015, 35, 2826–2836. [Google Scholar]
- He, C.; Tian, J.; Gao, B.; Zhao, Y. Differentiating climate-and human-induced drivers of grassland degradation. in the Liao River Basin, China. Environ. Monit. Assess. 2015, 187, 4199. [Google Scholar] [CrossRef]
- Ren, H.; Zheng, S.; Bai, Y. Effects of grazing on foliage biomass allocation of grassland communities in XRB, Inner Mongolia. J. Plant Ecol. (Chin. Ver.) 2009, 33, 1065–1074. [Google Scholar]
- Tong, C.; Yong, W.; Wu, Y.; Zhao, L.; Jiang, C.; Yong, S. Change in the spatial structure of grassland vegetation in the XRB from 1985 to 1999. Acta Sci. Nat. Uni. NeiMonggol (Nat. Sci. Ed.) 2001, 3, 562–566. [Google Scholar]
- Han, Y.; Niu, J.; Zhang, Q.; Dong, J.; Zhang, X.; Kang, S. The changing of vegetation pattern and its driven forces of grassland in XRB in thirty years. Chin. J. Grassl. 2014, 36, 70–77. [Google Scholar]
- Zhang, X.; Niu, J.; Buyantuev, A.; Zhang, Q.; Dong, J.; Kang, S.; Zhang, J. Understanding grassland degradation and restoration from the perspective of ecosystem services: A case study of the XRB in Inner Mongolia, china. Sustainability 2016, 8, 594. [Google Scholar] [CrossRef]
- Chen, S.; Liu, J.; Zhuang, D.; Xiao, X.M.; Boles, S. Quantifying land use and land cover change in XRB using multi-temporal Landsat TM/ETM sensor data. Acta Geogr. Sin. Chin. Ed. 2003, 58, 45–52. [Google Scholar]
- Zhang, X.; Niu, J.; Zhang, Q.; Dong, J.; Zhang, J. Soil conservation function and its spatial distribution of grassland ecosystems in XRB, Inner Mongolia. Acta Pratacultuae Sinica 2005, 24, 12–20. [Google Scholar]
- Xi, X.K.; Zhu, Z.; Hao, X. Grassland Plant Communities Classification and Diversity Analysis in the XRB. Ecol. Environ. Sci. 2016, 25, 1320–1326. [Google Scholar]
- Hao, R.; He, J.L.; Dan, S.; Liu, Y.P.; Liang, Z.Q. Effects of vegetation restoration methods on soil and water conservation of degraded grassland in Xilinhe River watershed. Grassl. Turf. 2016, 36, 52–57. [Google Scholar] [CrossRef]
- IUCN Habitats Classification Scheme Version 3. Available online: http://www.iucnredlist.org/technical-documents/classification-schemes/habitats-classification-scheme-ver3 (accessed on 25 May 2016).
- EOS/MODIS of NASA. Available online: http://edcimswww.cr.usgs.gov/pub/imswelcome/ (accessed on 23 April 2016).
- Chinese Meteorological Data Sharing Service Network. Available online: http://cdc.cma.gov.cn (accessed on 25 June 2016).
- Geographical Information Monitoring Cloud Platform. Available online: www.dsac.cn (accessed on 27 August 2016).
- Bland, L.M.; Keith, D.A.; Miller, R.M.; Murray, N.J.; Rodríguez, J.P. Guidelines for the Application of IUCN Red List of Ecosystems Categories and Criteria, Version 1.1; International Union for the Conservation of Nature: Gland, Switzerland, 2017. [Google Scholar]
- Auld, T.D.; Leishman, M.R. Ecosystem risk assessment for Gnarled Mossy Cloud Forest, Lord Howe Island, Australia. Austral Ecol. 2015, 40, 364–372. [Google Scholar] [CrossRef]
- Rodríguez, J.P.; Keith, D.A.; Rodríguez-Clark, K.M.; Murray, N.J.; Nicholson, E.; Regan, T.J.; Miller, R.M.; Barrow, E.G.; Bland, L.M.; Boe, K.; et al. A practical guide to the application of the IUCN Red List of Ecosystems criteria. Philos. Trans. Royal Soc. B Biol. Sci. 2015, 370, 20140003. [Google Scholar] [CrossRef]
- Lal, R. Soil carbon sequestration impacts on global climate change and food security. Science 2004, 304, 1623–1627. [Google Scholar] [CrossRef]
- Cui, B.; Yang, Q.; Yang, Z.; Zhang, K. Evaluating the ecological performance of wetland restoration in the Yellow River Delta, China. Ecol. Eng. 2009, 35, 1090–1103. [Google Scholar] [CrossRef]
- Zhang, F.; Tiyip, T.; Ding, J.; Sawut, M.; Johnson, V.C.; Tashpolat, N.; Gui, D. Vegetation fractional coverage change in a typical oasis region in Tarim River Watershed based on remote sensing. J. Arid Land 2013, 5, 89–101. [Google Scholar] [CrossRef]
- Davidson, E.A.; Verchot, L.V.; Cattanio, J.H.; Ackerman, I.L.; Carvalho, J.E.M. Effects of soil water content on soil respiration in forests and cattle pastures of eastern Amazonia. Biogeochemistry 2000, 48, 53–69. [Google Scholar] [CrossRef]
- Liu, Z.; Zhou, Y.; Ju, W.; Gao, P. Simulation of soil water content in farm lands with the BEPS ecological model. Trans. Chin. Soc. Agric. Eng. 2011, 27, 67–72. [Google Scholar]
- Lu, W.; Fan, W.Y.; Tian, T. Parameter optimization of BEPS model based on the flux data of the temperate deciduous broad-leaved forest in Northeast China. J. Appl. Ecol. 2016, 27, 1353–1358. [Google Scholar]
- Keith, D.A.; Rodríguez, J.P.; Brooks, T.M.; Burgman, M.A.; Barrow, E.G.; Bland, L.; Comer, P.J.; Franklin, J.; Link, J.; McCarthy, M.A.; et al. The IUCN red list of ecosystems: Motivations, challenges, and applications. Conserv. Lett. 2015, 8, 214–226. [Google Scholar] [CrossRef]
- Wang, X.X.; Sun, T.; Zhu, Q.J.; Liu, X.; Chen, S.H. Spatio-temporal variation of net primary productivity estimated with BEPS model in the urban area. J. Arid Land Resour. Environ. 2014, 28, 1–5. [Google Scholar] [CrossRef]
- Liu, H.L.; Xu, X.M.; Jiao, R.; Liang, W.T. 2016. Relationship between annual precipitation and vegetation cover in the XRB. Sci-tech Paper 2016, 9, 289–290. [Google Scholar]
- Sulungaowa, B.; Suya, B. Influence of Climatic Variation on the Evolution of Landscape Pattern of XRB. Meteor. J. Inn. Mong. 2015, 23–27. [Google Scholar]
- Tong, C.; Xi, F.J.; Yang, J.R.; Yong, W.Y.; Zhang, P.; Yong, S.P. Remote sensing monitoring on degraded steppe and determination of reasonable grazing intensity for the restoration of steppe in middle reach of Xilin river basin. Acta Pratacult. Sin. 2003, 12, 78–83. [Google Scholar]
- Keith, D.A.; Rodriguez, J.P.; Barrow, E.G. A framework for monitoring the status of Australia’s ecosystems based on IUCN’s new global standard. In Valuing Nature: Protected Areas and Ecosystem Services; Australian Committee for IUCN Inc.: Sydney, Australia, 2015; pp. 62–68. Available online: www.aciucn.org.au (accessed on 3 February 2020).
- Zheng, Y.Q.; Zhang, C.H. Current status and progress of studies in biological invasion of exotic trees. Sci. Silvae Sin. 2006, 42, 114–122. [Google Scholar]
- Wang, Z.; Jiang, M.K.; Zhu, G.Q.; Tao, S.M.; Zhou, H.L. Comparison of Chinese nature reserve classification with IUCN protected area categories. Rural Eco-Environ. 2004, 20, 72–76. [Google Scholar]
- Murray, N.J.; Ma, Z.; Fuller, R.A. Tidal flats of the Yellow Sea: A review of ecosystem status and anthropogenic threats. Austral Ecol. 2015, 40, 472–481. [Google Scholar] [CrossRef]
- Visvizi, A.; Lytras, M.D. Smart cities research and debate: What is in there? In Smart Cities: Issues and Challenges: Mapping Political, Social and Economic Risks and Threats; Elsevier: Amsterdam, The Netherlands, 2019; pp. 1–14. [Google Scholar]








| Subcriterion | Time Frame | CR | EN | VU |
|---|---|---|---|---|
| A2 | 2000 to 2050 | Decline ≥ 80% | Decline ≥ 50% | Decline ≥ 30% |
| C2 | 2000 to 2050 | d1 and extent ≥ 80% | d1 and extent ≥ 50% or d2 and extent ≥ 80% | d1 and extent ≥ 30% or d2 and extent ≥ 50% or d3 and extent ≥ 80% |
| D2 | 2000 to 2050 | d1 and extent ≥ 80% | d1 and extent ≥ 50% or d2 and extent ≥ 80% | d1 and extent ≥ 30% or d2 and extent ≥ 50% or d3 and extent ≥ 80% |
| Description of Measure | ||||
| B1 | EOO | ≤2000 | ≤20,000 | ≤50,000 |
| B2 | AOO | ≤2 | ≤20 | ≤50 |
| B3 | Locations of ecosystems | 1 | ≤5 | ≤10 |
| Inputs | Outputs | Description | Criterion |
|---|---|---|---|
| Remote sensing data, soil data, meteorological data | SWD SC | Soil health and quality [33,34]. | C |
| VFC EV NPP BNPP ANPP GPP NEP | VFC reflects soil carbon, sequestration and water conservation [34]. Primary productivity is the foundation that sustains the abiotic processes in ecosystems and it can be expressed by ANPP, BNPP, GPP, NPP, and NEP [36]. | D |
| Ecosystem Type | B1, Extent of Occurrence (km2) | B2, Area of Occupancy (100 km2) | B3, Number of Locations |
|---|---|---|---|
| Stipa capillata grassland | 31,154 | 178 | >10 |
| Artemisia frigida grassland | 8364 | 26 | <10 |
| Cleistogenes squarrosa grassland | 8663 | 32 | >10 |
| Filifolium sibiricum meadow grassland | 12,706 | 61 | >10 |
| Leymus chinensis grassland | 27,265 | 101 | >10 |
| Leymus chinensis meadow grassland | 12,829 | 41 | >10 |
| Ostryopsis davidina shrub | 9612 | 64 | >10 |
| Stipa capillata meadow grassland | 19,175 | 53 | >10 |
| Sanguisorba officinalis meadow grassland | 4199 | 36 | <10 |
| Achnatherum splendens grassland | 22,882 | 118 | >10 |
| Sand pioneer community ecosystem | 6234 | 41 | <10 |
| Festuca ovina grassland | 1501 | 19 | <5 |
| Ecosystem Type | Sub-Criterion | Threat Level of Each Criterion | Overall | |||
|---|---|---|---|---|---|---|
| A | B | C | D | |||
| Stipa capillata grassland | 1 | VU | LC | DD | DD | VU |
| 2 | DD | LC | LC | LC | ||
| 3 | DD | LC | DD | DD | ||
| Artemisia frigida grassland | 1 | LC | VU | DD | DD | EN |
| 2 | DD | VU | LC | EN | ||
| 3 | DD | VU | DD | DD | ||
| Cleistogenes squarrosa grassland | 1 | LC | VU | DD | DD | VU |
| 2 | DD | VU | LC | LC | ||
| 3 | DD | LC | DD | DD | ||
| Filifolium sibiricum meadow grassland | 1 | LC | LC | DD | DD | LC |
| 2 | DD | LC | LC | LC | ||
| 3 | DD | LC | DD | DD | ||
| Leymus chinensis grassland | 1 | LC | LC | DD | DD | LC |
| 2 | DD | LC | LC | LC | ||
| 3 | DD | LC | DD | DD | ||
| Leymus chinensis meadow grassland | 1 | LC | LC | DD | DD | VU |
| 2 | DD | VU | LC | LC | ||
| 3 | DD | LC | DD | DD | ||
| Ostryopsis davidina shrub | 1 | LC | VU | DD | DD | VU |
| 2 | DD | LC | LC | VU | ||
| 3 | DD | LC | DD | DD | ||
| Stipa capillata meadow grassland | 1 | LC | LC | DD | DD | VU |
| 2 | DD | LC | LC | VU | ||
| 3 | DD | LC | DD | DD | ||
| Sanguisorba officinalis meadow | 1 | LC | VU | DD | DD | VU |
| 2 | DD | VU | LC | LC | ||
| 3 | DD | VU | DD | DD | ||
| Achnatherum splendens grassland | 1 | VU | LC | DD | DD | VU |
| 2 | DD | LC | LC | LC | ||
| 3 | DD | LC | DD | DD | ||
| Sand pioneer community ecosystem | 1 | VU | VU | DD | DD | VU |
| 2 | DD | VU | LC | LC | ||
| 3 | DD | VU | DD | DD | ||
| Festuca ovina grassland | 1 | LC | VU | DD | DD | EN |
| 2 | DD | EN | LC | EN | ||
| 3 | DD | EN | DD | DD | ||
© 2020 by the authors. Licensee MDPI, Basel, Switzerland. This article is an open access article distributed under the terms and conditions of the Creative Commons Attribution (CC BY) license (http://creativecommons.org/licenses/by/4.0/).
Share and Cite
Meng, X.; Huang, H.; Guo, L.; Wang, D.; Han, R.; Zhou, K. Threatened Status Assessment of Multiple Grassland Ecosystems and Conservation Strategies in the Xilin River Basin, NE China. Sustainability 2020, 12, 1084. https://doi.org/10.3390/su12031084
Meng X, Huang H, Guo L, Wang D, Han R, Zhou K. Threatened Status Assessment of Multiple Grassland Ecosystems and Conservation Strategies in the Xilin River Basin, NE China. Sustainability. 2020; 12(3):1084. https://doi.org/10.3390/su12031084
Chicago/Turabian StyleMeng, Xia, Huasheng Huang, Luo Guo, Dan Wang, Rui Han, and Kexin Zhou. 2020. "Threatened Status Assessment of Multiple Grassland Ecosystems and Conservation Strategies in the Xilin River Basin, NE China" Sustainability 12, no. 3: 1084. https://doi.org/10.3390/su12031084
APA StyleMeng, X., Huang, H., Guo, L., Wang, D., Han, R., & Zhou, K. (2020). Threatened Status Assessment of Multiple Grassland Ecosystems and Conservation Strategies in the Xilin River Basin, NE China. Sustainability, 12(3), 1084. https://doi.org/10.3390/su12031084

