Development and Investigation of a New Low-Cement-Consumption Concrete—Preplaced Aggregate Concrete
Abstract
1. Introduction
2. Materials and Methods
2.1. Material Properties
2.2. Mixture Proportions and Specimens Preparation
2.3. Testing Method
3. Results and Discussion
3.1. Mechanical Properties of PAC
3.1.1. Cubic Compressive Strength
3.1.2. Splitting Tensile Strength
3.1.3. Elastic Modulus
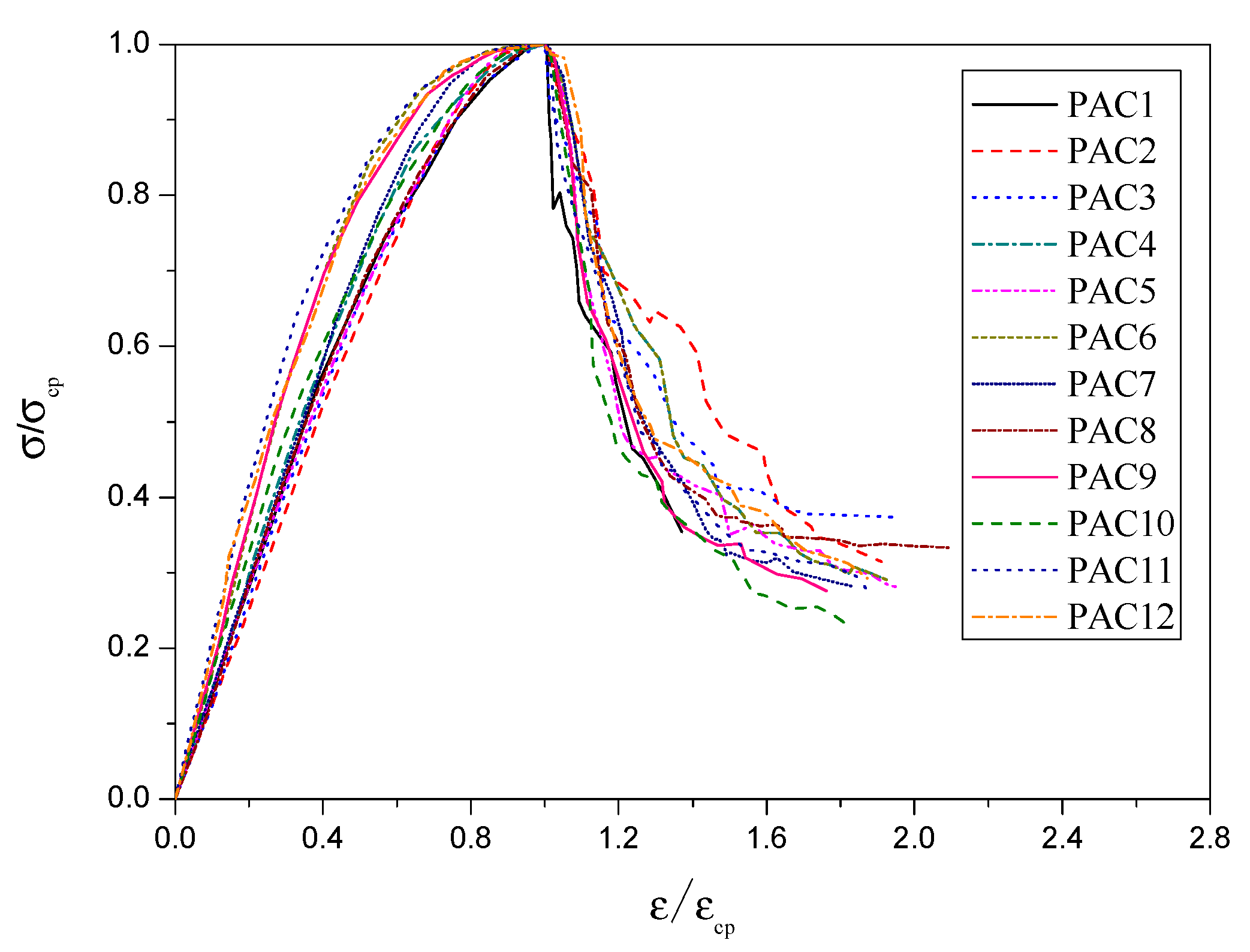
3.1.4. Experimental Stress–Strain Curves
3.1.5. Stress–Strain Relationship of PAC
3.2. Failure Mechanism of PAC
3.3. Discussion
4. Conclusions
- (1)
- The increase of W/B and S/B led to a decrease of cubic compressive strength, splitting tensile strength and elastic modulus of PAC. The relationship between cubic compressive strength and splitting tensile strength of PAC was similar to that of NC. At a similar compressive strength, up to a 20% increase of the elastic modulus of PAC could be achieved as compared with NC.
- (2)
- Twelve types of PAC specimens had a similar stress–strain curve. A steeper descent stage of stress–strain curve of PAC as compared to NC was obtained. At the similar compressive strength, the peak strain of PAC was less than that of NC. Guo’s model with suitable values of parameters a and b could be used to describe the stress–strain relationship of PAC.
- (3)
- Compared with NC, at a similar compressive strength, 15–20% reduction of cement content of PAC could be achieved, in general. With the wide popularization and application of precast concrete structures in China, replacing NC by PAC in precast concrete structures would obtain great environmental and economic benefits and help promote further green and low-carbon development of precast concrete structures.
Author Contributions
Funding
Conflicts of Interest
References
- Rajabi, A.M.; Moaf, F.O. Simple empirical formula to estimate the main geomechanical parameters of preplaced aggregate concrete and conventional concrete. Constr. Build. Mater. 2017, 146, 485–492. [Google Scholar] [CrossRef]
- ACI committee 304. Guide for Measuring, Mixing, Transporting, and Placing Concrete; American Concrete Institute: Farmington Hills, MI, USA, 2005. [Google Scholar]
- Nehdi, M.L.; Najjar, M.F.; Soliman, A.M.; Azabi, T.M. Novel eco-efficient Two-Stage Concrete incorporating high volume recycled content for sustainable pavement construction. Constr. Build. Mater. 2017, 146, 9–14. [Google Scholar] [CrossRef]
- Felekoğlu, B. Optimization of self-compacting filling grout mixtures for repair purposes. Constr. Build. Mater. 2008, 22, 660–667. [Google Scholar] [CrossRef]
- Mirza, J.; Mirza, M.S.; Roy, V.; Saleh, K. Basic rheological and mechanical properties of high-volume fly ash grouts. Constr. Build. Mater. 2002, 16, 353–363. [Google Scholar] [CrossRef]
- Abdelgader, H.S.; Górsk, J. Stress–strain Relations and Modulus of Elasticity of Two-Stage Concrete. J. Mater. Civ. Eng. 2003, 15, 329–334. [Google Scholar] [CrossRef]
- Najjar, M.F.; Nehdi, M.L.; Soliman, A.M.; Azabi, T.M. Damage mechanisms of two-stage concrete exposed to chemical and physical sulfate attack. Constr. Build. Mater. 2017, 137, 141–152. [Google Scholar] [CrossRef]
- Najjar, M.F.; Soliman, A.M.; Nehdi, M.L. Critical overview of two-stage concrete: Properties and applications. Constr. Build. Mater. 2014, 62, 47–58. [Google Scholar] [CrossRef]
- Yoon, J.Y.; Kim, J.H. Mechanical properties of preplaced lightweight aggregates concrete. Constr. Build. Mater. 2019, 216, 440–449. [Google Scholar] [CrossRef]
- Lee, S.; Jang, S.Y.; Kim, C.Y.; Ahn, E.J.; Kim, S.P.; Gwon, S.; Shin, M. Effects of Redispersible Polymer Powder on Mechanical and Durability Properties of Preplaced Aggregate Concrete with Recycled Railway Ballast. Int. J. Concr. Struct. Mater. 2018, 12, 1–17. [Google Scholar] [CrossRef]
- Bras, A.; Gião, R.; Lúcio, V.; Chastre, C. Development of an injectable grout for concrete repair and strengthening. Cem. Concr. Compos. 2013, 37, 185–195. [Google Scholar] [CrossRef]
- Abdelgader, H.S.; Najjar, M.F.; Azabi, T.M. Study of underwater concrete using two-stage (pre-placed aggregate) concrete in Libya. Struct. Concr. 2010, 11, 161–165. [Google Scholar] [CrossRef]
- Coo, M.; Pheeraphan, T. Effect of sand, fly ash, and coarse aggregate gradation on preplaced aggregate concrete studied through factorial design. Constr. Build. Mater. 2015, 93, 812–821. [Google Scholar] [CrossRef]
- Bras, A.; Henriques, F.M.A. Natural hydraulic lime based grouts-The selection of grout injection parameters for masonry consolidation. Constr. Build. Mater. 2012, 26, 135–144. [Google Scholar] [CrossRef]
- Feng, N.Q.; Shi, Y.X.; Hao, T.Y. Influence of ultrafine powder on the fluidity and strength of cement paste. Adv. Cem. Res. 2000, 12, 89–95. [Google Scholar] [CrossRef]
- Khan, M.I.; Lynsdale, C.J. Strength, permeability, and carbonation of high-performance concrete. Cem. Concr. Res. 2002, 32, 123–131. [Google Scholar] [CrossRef]
- Murali, G.; Asrani, N.P.; Ramkumar, V.R.; Siva, A.; Haridharan, M.K. Impact Resistance and Strength Reliability of Novel Two-Stage Fibre-Reinforced Concrete. Arab. J. Sci. Eng. 2019, 44, 4477–4490. [Google Scholar] [CrossRef]
- Abdelgader, H.S.; Elgalhud, A.A. Effect of grout proportions on strength of two-stage concrete. Struct. Concr. 2008, 9, 163–170. [Google Scholar] [CrossRef]
- Coo, M.; Pheeraphan, T. Effect of sand, fly ash and limestone powder on preplaced aggregate concrete mechanical properties and reinforced beam shear capacity. Constr. Build. Mater. 2016, 120, 581–592. [Google Scholar] [CrossRef]
- Abdelgader, H.S. Effect of quantity of sand on the compressive strength of two-stage concrete. Magaz. Concr. Res. 1996, 177, 353–360. [Google Scholar] [CrossRef]
- Ostrowski, K.; Sadowski, Ł.; Stefaniuk, D.; Wałach, D.; Gawenda, T.; Oleksik, K.; Usydus, I. The Effect of the Morphology of Coarse Aggregate on the Properties of Self-Compacting High-Performance Fibre-Reinforced Concrete. Materials 2018, 11, 1372. [Google Scholar] [CrossRef]
- Ostrowski, K.; Stefaniuk, D.; Sadowski, Ł.; Krzywiński, K.; Gicala, M.; Różańska, M. Potential use of granite waste sourced from rock processing for the application as coarse aggregate in high-performance self-compacting concrete. Constr. Build. Mater. 2020, 238, 1–14. [Google Scholar] [CrossRef]
- Xu, L.; Pan, J.L.; Cai, J.M. Seismic performance of precast RC and RC/ECC composite columns with grouted sleeve connections. Eng. Struct. 2019, 188, 104–110. [Google Scholar] [CrossRef]
- Guo, S.K.; Ding, R.; Fan, J.S.; Nie, X.; Zhang, J. Experimental study on seismic performance of precast LSECC/RC composite joints with U-shaped LSECC beam shells. Eng. Struct. 2019, 189, 618–634. [Google Scholar]
- Zhi, Q.; Guo, Z.; Xiao, Q.; Yuan, F.; Song, J. Quasi-static test and strut-and-tie modeling of precast concrete shear walls with grouted lap-spliced connections. Constr. Build. Mater. 2017, 150, 190–203. [Google Scholar] [CrossRef]
- Ji, Y.B.; Li, K.J.; Liu, G.W.; Shrestha, A.; Jing, J.X. Comparing greenhouse gas emissions of precast in-situ and conventional construction methods. J. Clean. Prod. 2018, 173, 124–134. [Google Scholar] [CrossRef]
- Wang, C.L.; Liu, Y.; Zheng, X.L.; Wu, J. Experimental investigation of a precast concrete connection with all-steel bamboo-shaped energy dissipaters. Eng. Struct. 2019, 178, 298–308. [Google Scholar] [CrossRef]
- GB 175-2007. Common Portland Cement; China Standards Press: Beijing, China, 2007. (In Chinese) [Google Scholar]
- ASTM C938-2010. Standard Practice for Proportioning Grout Mixtures for Preplaced-Aggregate Concrete; ASTM International: West Conshohocken, PA, USA, 2010. [Google Scholar]
- GB50081-2002. Standard for Test Method of Mechanical Properties on Ordinary Concrete; China Architecture and Building Press: Beijing, China, 2003. (In Chinese) [Google Scholar]
- Guo, H.; Tao, J.L.; Chen, Y.; Li, D.; Jia, B.; Zhai, Y. Effect of steel and polypropylene fibers on the quasi-static and dynamic splitting tensile properties of high-strength concrete. Constr. Build. Mater. 2019, 224, 504–514. [Google Scholar] [CrossRef]
- Gaedicke, C.; Torres, A.; Huynh, K.C.T.; Marines, A. A method to correlate splitting tensile strength and compressive strength of pervious concrete cylinders and cores. Constr. Build. Mater. 2016, 125, 271–278. [Google Scholar] [CrossRef]
- GB50010-2010. Code for Design of Concrete Structures; China Architecture and Building Press: Beijing, China, 2010. (In Chinese) [Google Scholar]
- Farhan, N.A.; Sheikh, M.N.; Hadi, M.N.S. Investigation of engineering properties of normal and high strength fly ash based geopolymer and alkali-activated slag concrete compared to ordinary Portland cement concrete. Constr. Build. Mater. 2019, 196, 26–42. [Google Scholar] [CrossRef]
- Nematzadeh, M.; Salari, A.; Ghadami, J.; Naghipour, M. Stress–strain behavior of freshly compressed concrete under axial compression with a practical equation. Constr. Build. Mater. 2016, 115, 402–423. [Google Scholar] [CrossRef]
- Lim, J.C.; Ozbakkaloglu, T. Stress–strain model for normal- and light-weight concretes under uniaxial and triaxial compression. Constr. Build. Mater. 2014, 71, 492–509. [Google Scholar] [CrossRef]
- Samani, A.K.; Attard, M.M. A stress–strain model for uniaxial and confined concrete under compression. Eng. Struct. 2012, 41, 335–349. [Google Scholar] [CrossRef]
- Guo, Z.H.; Shi, X.D. Reinforced Concrete Theory and Analysis; Tsinghua University Press: Beijing, China, 2009; p. 17. [Google Scholar]
- Xiao, J.Z.; Zhang, K.J.; Akbarnezhad, A. Variability of stress–strain relationship for recycled aggregate concrete under uniaxial compression loading. J. Clean. Prod. 2018, 181, 753–771. [Google Scholar] [CrossRef]
- EN 1992-1-1:2004. Eurocode 2: Design of Concrete Structures: Part 1-1. General Rules and Rules for Buildings; European Committee for Standardization (CEN): Brussels, Belgium, 2004. [Google Scholar]
- Guo, Z.H.; Zhang, X.Q.; Zhang, D.C.; Wang, R.Q. Experimental investigation of the complete stress–strain curve of concrete. J. Build. Struct. 1982, 3, 1–12. [Google Scholar]
- Chen, X.D.; Wu, S.X.; Zhou, J.K. Experimental study and analytical formulation of mechanical behavior of concrete. Constr. Build. Mater. 2013, 47, 662–670. [Google Scholar] [CrossRef]



















| Chemical Analysis (%) | Ordinary Portland Cement |
|---|---|
| CaO | 60.32 |
| SiO2 | 22.34 |
| Al2O3 | 4.55 |
| Fe2O3 | 4.18 |
| MgO | 2.05 |
| SO3 | 2.87 |
| K2O | 0.51 |
| Na2O | 0.41 |
| Loss on ignition | 2.77 |
| Specific gravity | 3.13 |
| Fineness (m2/kg) | 334 |
| Type of Concrete | Weight per Cubic Meter (kg/m3) | Water–Binder Ratios (W/B) | Sand–Binder Ratios (S/B) | ||||
|---|---|---|---|---|---|---|---|
| Cement | Sand | Coarse Aggregate | Water Reducer | Water | |||
| PAC1 | 385 | 578 | 1360 | 5.78 | 116 | 0.30 | 1.5 |
| PAC2 | 365 | 639 | 1360 | 5.48 | 110 | 1.75 | |
| PAC3 | 330 | 660 | 1360 | 4.98 | 100 | 2 | |
| PAC4 | 370 | 555 | 1360 | 4.44 | 130 | 0.35 | 1.5 |
| PAC5 | 352 | 616 | 1360 | 4.22 | 123 | 1.75 | |
| PAC6 | 320 | 640 | 1360 | 3.84 | 112 | 2 | |
| PAC7 | 355 | 533 | 1360 | 2.84 | 142 | 0.40 | 1.5 |
| PAC8 | 340 | 595 | 1360 | 2.72 | 136 | 1.75 | |
| PAC9 | 310 | 620 | 1360 | 2.48 | 124 | 2 | |
| PAC10 | 340 | 510 | 1360 | 2.05 | 154 | 0.45 | 1.5 |
| PAC11 | 327 | 572 | 1360 | 1.97 | 147 | 1.75 | |
| PAC12 | 300 | 600 | 1360 | 1.80 | 135 | 2 | |
| Parameters | PAC1 | PAC2 | PAC3 | PAC4 | PAC5 | PAC6 | PAC7 | PAC8 | PAC9 | PAC10 | PAC11 | PAC12 |
|---|---|---|---|---|---|---|---|---|---|---|---|---|
| a | 1.47 | 1.39 | 1.56 | 1.39 | 1.49 | 1.78 | 1.64 | 1.55 | 1.8 | 1.93 | 2.05 | 2.2 |
| b | 16 | |||||||||||
© 2020 by the authors. Licensee MDPI, Basel, Switzerland. This article is an open access article distributed under the terms and conditions of the Creative Commons Attribution (CC BY) license (http://creativecommons.org/licenses/by/4.0/).
Share and Cite
Lv, J.; Zhou, T.; Li, K. Development and Investigation of a New Low-Cement-Consumption Concrete—Preplaced Aggregate Concrete. Sustainability 2020, 12, 1080. https://doi.org/10.3390/su12031080
Lv J, Zhou T, Li K. Development and Investigation of a New Low-Cement-Consumption Concrete—Preplaced Aggregate Concrete. Sustainability. 2020; 12(3):1080. https://doi.org/10.3390/su12031080
Chicago/Turabian StyleLv, Jing, Tianhua Zhou, and Kunlun Li. 2020. "Development and Investigation of a New Low-Cement-Consumption Concrete—Preplaced Aggregate Concrete" Sustainability 12, no. 3: 1080. https://doi.org/10.3390/su12031080
APA StyleLv, J., Zhou, T., & Li, K. (2020). Development and Investigation of a New Low-Cement-Consumption Concrete—Preplaced Aggregate Concrete. Sustainability, 12(3), 1080. https://doi.org/10.3390/su12031080
