Operational Performance and Degradation Influenced Life Cycle Environmental–Economic Metrics of mc-Si, a-Si and HIT Photovoltaic Arrays in Hot Semi-arid Climates
Abstract
1. Background
- To perform the energy performance and possible degradation in energy for mc-Si, a-Si and HIT PV module technologies.
- To perform the life cycle assessment of the mc-Si, a-Si and HIT PV module technologies considering their energy performance with degradation rate under hot semi-arid climate of India.
- To identify the suitability of three different PV technologies operating under the same environmental conditions.
2. Literature Review
3. Description of the mc-Si, HIT and a-Si PV Systems
4. Operational Performance and Life Cycle Metrics
4.1. Performance Ratio (PR) and Degradation Rate (DR)
4.2. Energy Payback Time
4.3. Energy Production Factor (EPF)
4.4. Life Cycle Conversion Efficiency (LCCE)
4.5. CO2 Emission, Mitigation and Carbon Credit
4.6. Uniform End-of-Year Annual Cost
5. Methodology
6. Results and Discussion
7. Conclusions
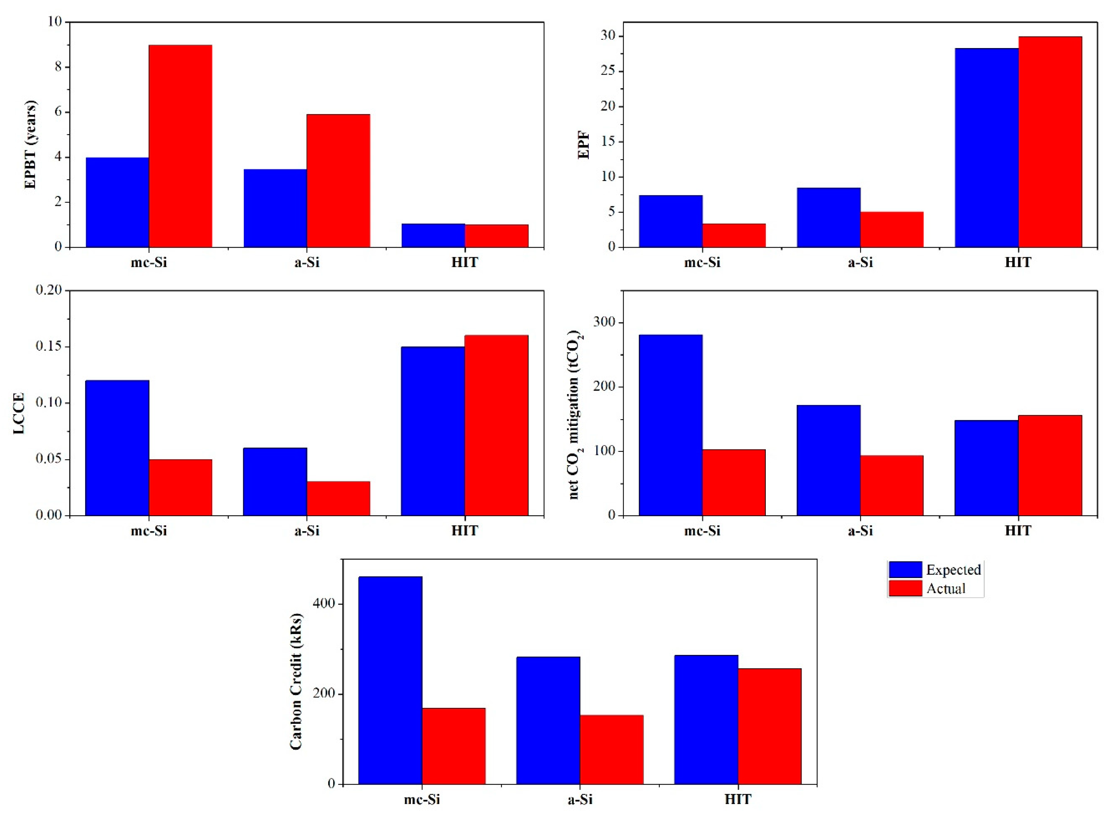
- The HIT PV module technology is a new emerging technology with short EPBT (1.0 years) in comparison to mc-Si (8.98 years) and a-Si (5.93 years) PV systems. Similarly, the HIT PV system performs better than mc-Si and a-Si technologies in term of EPF and LCCE.
- CO2 emission is found to be 78.68 tCO2, 74.05 tCO2 and 129.64 tCO2 for mc-Si, a-Si and HIT, respectively, considering the life of PV systems as 25 years. Therefore, the HIT PV system can provide higher CO2 mitigation and carbon credit earned than mc-Si and a-Si PV systems.
- The uniform end-of-year annual cost is higher for HIT technologies (6.63 RS/kWh) than mc-Si and a-Si.
- Life cycle cost analysis has been carried out by using the actual performance of installed PV technology. In fact, significant impacts on the life cycle metrics have been quantified using the expected PV energy data in the formulation of the life cycle metrics. This can lead to a corrected environ-economic assessment finalized to identify the more suitable PV module technology in a given climatic condition.
- A sensitivity analysis has also been carried out by varying the degradation rate and interest rate. When the degradation rate rises up to 1.5%/year over the lifetime, a decreasing of the EPF up to 19% can be found for mc-Si, a-Si and HIT technologies. Further, the LCCE and net CO2 emission can decrease up to 21% on average for three technologies.
Author Contributions
Funding
Acknowledgments
Conflicts of Interest
Abbreviations
| a-Si | Amorphous silicon |
| CdTe | Cadmium telluride |
| CIGS | Copper indium gallium selenide |
| CO2 | Carbon dioxide |
| c-Si | Crystalline silicon |
| DR | Degradation rate |
| EEOL | Primary energy demand for end-of-life management |
| Einput | Embodied energy |
| Einst | Primary energy demand to install the system |
| Emanuf | Primary energy demand to manufacture PV system |
| Emat | Primary energy demand to produce materials comprising PV system |
| Eout | PV energy output over the lifetime |
| Eout,y | Yearly PV energy output |
| EPBT | Energy payback time |
| EPF | Energy production factor |
| Esol | Annual solar irradiation |
| Etrans | Primary energy demand to transport materials used during the life cycle |
| FCR,i,n | Capital recovery factor |
| FSR,i,n | Sinking fund factor |
| HIT | Hetero-junction intrinsic thin layer |
| La | Domestic appliance losses |
| LCCE | Life cycle conversion efficiency |
| Lt | Transmission losses |
| mc-Si | Multi-crystalline silicon |
| NPV | Net Present Value |
| O&M | Annual cost for the operation and maintenance |
| P | Capital cost |
| PR | Performance ratio |
| R | Annual cost to replace of components |
| S | Costs for the decommissioning system |
| sc-Si | Mono-crystalline silicon |
| T | lifetime of the PV system |
| UAC | Uniform end-of-year annual cost |
| uncost | Annual uniform cost |
| ηPV | PV module energy efficiency |
References
- Paris Agreement. Available online: http://ec.europa.eu/clima/policies/international/negotiations/paris/index_en.htm (accessed on 15 December 2019).
- Burger, B.; Kiefer, K. Photovoltaics Report. 2019. Available online: https://www.ise.fraunhofer.de/content/dam/ise/de/documents/publications/studies/Photovoltaics-Report.pdf (accessed on 30 November 2019).
- Ministry of New and Renewable Energy, MNRE Repot 2018. Available online: https://mnre.gov.in/annual-report (accessed on 25 May 2019).
- Cumulative Achievement (Grid Interactive Solar Power) up to 31-12-018. Available online: http://www.mnre.gov.in/mission-and-vision-2/achievements/ (accessed on 31 December 2018).
- Hewig, G.H.; Höbner, H.-P. Analysis of hot-spot-effects in encapsulated photovoltaic generators by laser scan and partial shadowing. In Fourth EC Photovoltaic Solar Energy Conference; Springer: Dordrecht, The Netherlands, 1982; pp. 291–295. [Google Scholar]
- Jordan, D.C.; Kurtz, S.R. Photovoltaic Degradation Rates—An Analytical Review. Available online: https://www.nrel.gov/docs/fy12osti/51664.pdf (accessed on 30 November 2019).
- Nishimura, K.; Hondo, H.; Uchiyama, Y. Derivation of energy-embodiment functions to estimate the embodied energy from the material content. Energy 1996, 21, 1247–1256. [Google Scholar] [CrossRef]
- Schaefer, H.; Hagedorn, G. Hidden energy and correlated environmental characteristics of P.V. power generation. Renew. Energy 1992, 2, 159–166. [Google Scholar] [CrossRef]
- Pacca, S.; Sivaraman, D.; Keoleian, G.A. Parameters affecting the life cycle performance of PV technologies and systems. Energy Policy 2007, 35, 3316–3326. [Google Scholar] [CrossRef]
- Ito, M.; Kato, K.; Komoto, K.; Kichimi, T.; Kurokawa, K. A comparative study on cost and life cycle analysis for 100 MW very large scale PV (VLS-PV) systems in deserts using m-Si, a-Si, CdTe and CIS modules. Prog. Photovolt. 2008, 15, 17–30. [Google Scholar] [CrossRef]
- Kato, K.; Murata, A.; Sakuta, K. An evaluation on the life cycle of photovoltaic energy system considering production energy of off-grade silicon. Sol. Energy Mater. Sol. Cells 1997, 47, 95–100. [Google Scholar] [CrossRef]
- Kannan, R.; Leong, K.C.; Osman, R.; Ho, H.K.; Tso, C.P. Life cycle assessment study of solar PV systems: An example of a 2.7 kW distributed solar PV system in Singapore. Sol. Energy 2006, 80, 555–563. [Google Scholar] [CrossRef]
- Battisti, R.; Corrado, A. Evaluation of technical improvements of photovoltaic systems through life cycle assessment methodology. Energy 2005, 30, 952–967. [Google Scholar] [CrossRef]
- Ito, M.; Kato, K.; Sugihara, H.; Kichimi, T.; Song, J.; Kurokawa, K. A preliminary study on potential for very large-scale photovoltaic power generation (VLS-PV) system in the Gobi desert from economic and environmental viewpoints. Sol. Energy Mater. Sol. Cells 2003, 75, 507–517. [Google Scholar] [CrossRef]
- Akinyele, D.; Rayudu, R.; Nair, N. Life cycle impact assessment of photovoltaic power generation from crystalline silicon-based solar modules in Nigeria. Renew. Energy 2017, 101, 537–549. [Google Scholar] [CrossRef]
- Sharma, R.; Tiwari, G. Life cycle assessment of stand-alone photovoltaic (SAPV) system under on-field conditions of New Delhi, India. Energy Policy 2013, 63, 272–282. [Google Scholar] [CrossRef]
- Sherwani, A.; Usmani, J. Varun Life cycle assessment of solar PV based electricity generation systems: A review. Renew. Sustain. Energy Rev. 2010, 14, 540–544. [Google Scholar] [CrossRef]
- Rajput, P.; Tiwari, G.; Sastry, O. Thermal modelling with experimental validation and economic analysis of mono crystalline silicon photovoltaic module on the basis of degradation study. Energy 2017, 120, 731–739. [Google Scholar] [CrossRef]
- De Wild-Scholten, M. (Mariska) Energy payback time and carbon footprint of commercial photovoltaic systems. Sol. Energy Mater. Sol. Cells 2013, 119, 296–305. [Google Scholar] [CrossRef]
- Slesser, M.; Hounam, I. Solar energy breeders. Nature 1976, 262, 244–245. [Google Scholar] [CrossRef]
- Alsema, E.A. Energy pay-back time and CO2 emissions of PV systems. Prog. Photovolt. Res. Appl. 2000, 8, 17–25. [Google Scholar] [CrossRef]
- Rodrigues, S.; Torabikalaki, R.; Faria, F.; Cafôfo, N.; Chen, X.; Ivaki, A.R.; Mata-Lima, H.; Morgado-Dias, F. Economic feasibility analysis of small scale PV systems in different countries. Sol. Energy 2016, 131, 81–95. [Google Scholar] [CrossRef]
- Mason, J.E.; Fthenakis, V.M.; Hansen, T.; Kim, H.C. Energy payback and life-cycle CO2 emissions of the BOS in an optimized 3·5 MW PV installation. Prog. Photovolt. Res. Appl. 2006, 14, 179–190. [Google Scholar] [CrossRef]
- Agrawal, S.; Tiwari, G. Performance analysis in terms of carbon credit earned on annualized uniform cost of glazed hybrid photovoltaic thermal air collector. Sol. Energy 2015, 115, 329–340. [Google Scholar] [CrossRef]
- Bouaichi, A.; Merrouni, A.A.; Hajjaj, C.; Messaoudi, C.; Ghennioui, A.; Benlarabi, A.; Ikken, B.; El Amrani, A.; Zitouni, H. In-situ evaluation of the early PV module degradation of various technologies under harsh climatic conditions: The case of Morocco. Renew. Energy 2019, 143, 1500–1518. [Google Scholar] [CrossRef]
- Louwen, A.; Van Sark, W.G.J.H.M.; Schropp, R.E.I.; Turkenburg, W.C.; Faaij, A.P.C. Life-cycle greenhouse gas emissions and energy payback time of current and prospective silicon heterojunction solar cell designs. Prog. Photovolt. Res. Appl. 2015, 23, 1406–1428. [Google Scholar] [CrossRef]
- Singh, D.; Tiwari, G. Effect of energy matrices on life cycle cost analysis of partially covered photovoltaic compound parabolic concentrator collector active solar distillation system. Desalination 2016, 397, 75–91. [Google Scholar] [CrossRef]
- Kamthania, D.; Tiwari, G. Energy metrics analysis of semi-transparent hybrid PVT double pass facade considering various silicon and non-silicon based PV module Hyphen is accepted. Sol. Energy 2014, 100, 124–140. [Google Scholar] [CrossRef]
- Kalogirou, S. Economic analysis of solar energy systems using spreadsheets. Renew. Energy 1996, 9, 1303–1307. [Google Scholar] [CrossRef]
- Watt, M.E.; Johnson, A.J.; Ellis, M.; Outhred, H.R. Life-cycle air emissions from PV power systems. Prog. Photovolt. Res. Appl. 1998, 6, 127–136. [Google Scholar] [CrossRef]
- Fthenakis, V.; Frischknecht, R.; Raugei, R.; Kim, H.C.; Alsema, E.; Held, M.; de Wild-Scholten, M. Methodology Guidelines on Life Cycle Assessment of Photovoltaic Electricity. Available online: http://www.iea-pvps.org/fileadmin/dam/public/report/technical/rep12_11.pdf (accessed on 25 December 2018).
- Rajput, P.; Malvoni, M.; Kumar, N.M.; Sastry, O.; Tiwari, G. Risk priority number for understanding the severity of photovoltaic failure modes and their impacts on performance degradation. Case Stud. Therm. Eng. 2019, 16, 100563. [Google Scholar] [CrossRef]
- Kumar, N.M.; Prabaharan, N.; Jerin, R.A. and Jayakumar, A. Impact of performance degradation and capital subsidy on the revenue of rooftop PV system. Int. J. Renew. Energy Res. 2019, 9, 128–136. [Google Scholar]
- Raugei, M.; Frischknecht, R.; Olson, C.; Sinha, P.; Heath, G. Methodological Guidelines on Net Energy Analysis of Photovoltaic Electricity. Available online: https://nachhaltigwirtschaften.at/resources/iea_pdf/reports/iea_pvps_task12_methodological_guidelines_on_net_energy_analysis_of_photovoltaic_electricity.pdf (accessed on 16 December 2018).
- Rajput, P.; Tiwari, G.; Sastry, O.; Bora, B.; Sharma, V. Degradation of mono-crystalline photovoltaic modules after 22 years of outdoor exposure in the composite climate of India. Sol. Energy 2016, 135, 786–795. [Google Scholar] [CrossRef]
- Kumar, N.M.; Gupta, R.P.; Mathew, M.; Jayakumar, A.; Singh, N.K. Performance, energy loss, and degradation prediction of roof-integrated crystalline solar PV system installed in Northern India. Case Stud. Therm. Eng. 2019, 13, 100409. [Google Scholar] [CrossRef]
- Malvoni, M.; Leggieri, A.; Maggiotto, G.; Congedo, P.M.; De Giorgi, M.G. Long term performance, losses and efficiency analysis of a 960 kWP photovoltaic system in the Mediterranean climate. Energy Convers. Manag. 2017, 145, 169–181. [Google Scholar] [CrossRef]
- Kumar, N.M.; Subathra, M. Three years ahead solar irradiance forecasting to quantify degradation influenced energy potentials from thin film (a-Si) photovoltaic system. Results Phys. 2019, 12, 701–703. [Google Scholar] [CrossRef]
- Jordan, D.; Kurtz, S. Analytical improvements in PV degradation rate determination. In Proceedings of the 2010 35th IEEE Photovoltaic Specialists Conference, Honolulu, HI, USA, 20–25 June 2010; pp. 002688–002693. [Google Scholar]
- Phinikarides, A.; Makrides, G.; Georghiou, G.E. Comparison of Analysis Methods for the Calculation of Degradation Rates of Different Photovoltaic Technologies. 2013. Available online: http://www.eupvsec-proceedings.com/proceedings?paper=25035 (accessed on 26 August 2019).
- Kumar, N.M.; Malvoni, M. A preliminary study of the degradation of large-scale c-Si photovoltaic system under four years of operation in semi-arid climates. Results Phys. 2019, 12, 1395–1397. [Google Scholar] [CrossRef]
- Makrides, G.; Zinsser, B.; Georghiou, G.E.; Schubert, M.; Werner, J.H. Degradation of Different Photovoltaic Technologies under Field Conditions. In Proceedings of the 2010 35th IEEE Photovoltaic Specialists Conference; Institute of Electrical and Electronics Engineers (IEEE), Honolulu, HI, USA, 20–25 June 2010; pp. 002332–002337. [Google Scholar]
- Bouaichi, A.; El Amrani, A.; Ouhadou, M.; Lfakir, A.; Messaoudi, C. In-situ performance and degradation of three different photovoltaic module technologies installed in arid climate of Morocco. Energy 2020, 190, 116368. [Google Scholar] [CrossRef]
- Tiwari, G.N. Solar Energy: Fundamentals, Design, Modelling and Applications; CRC Press: Boca Raton, FL, USA, 2002. [Google Scholar]
- Tiwari, G.N.; Ghosal, M.K. Renewable Energy Resources: Basic Principles and Applications; Narosa Publishing House: New Delhi, India, 2005. [Google Scholar]
- Nawaz, I.; Tiwari, G.N. Embodied energy analysis of photovoltaic (PV) system based macro and micro level. Energy Policy 2006, 34, 3144–3152. [Google Scholar] [CrossRef]
- Elzen Den, M.G.J.; Hof, A.D.; Beltran, A.M.; Grassi, G.; Roelfsema, M.; Van Ruijven, B.; Van Vliet, J.; Van Vuuren, D.P. The Copenhagen accord: Abatement costs and carbon prices resulting from the submissions. Environ. Sci. Policy 2011, 14, 28–39. [Google Scholar] [CrossRef]
- Panasonic HIT® Solar Module Achieved World’s Highest Output Temperature Coefficient1 at −0.258%/°C. Available online: https://news.panasonic.com/global/press/data/2017/05/en170524-2/en170524-2.html (accessed on 1 November 2019).











| Characterization | Instrument | Accuracy |
|---|---|---|
| I-V Characteristics | Campbell Scientific data logger CR-1000 | Voltage < ±1%, |
| Current < ±1% | ||
| Irradiance ±3% | ||
| Temperature ±5% | ||
| MS-802-C | Pyranometer | Sensitivity–7 μV/W/m2 |
| Impedance–650 Ohm | ||
| Linearity–±0.5% from 0 to 2800 W/m2 |
| Components | Items | Quantity | Total Weight | Embodied Energy Density (MJ/Kg) | Total Embodied Energy MJ/kWh | |
|---|---|---|---|---|---|---|
| PV module (Silicon purification, Processing Cell fabrication and Module assembly) | mc-Si | 10.00 | 22.77 m2 | 20,720.70 | 20,720.70 | |
| PV module supported stand | Mild steel | 1.00 | 80.00 | 34.20 | 2736.00 | 760.00 |
| Nuts/bolts/screws | 54.00 | 1.50 | 31.06 | 46.599 | 12.94 | |
| Paints | 2.00 | 1.00 L | 90.40 | 90.40 | 25.11 | |
| Cable | Copper wire | 4.00 | 110.19 | 440.76 | 122.43 | |
| Total embodied energy in kWh | 21,641.18 | |||||
| Components | Items | Quantity | Total Weight | Embodied Energy Density (MJ/Kg) | Total Embodied Energy MJ/kWh | |
|---|---|---|---|---|---|---|
| PV module (Silicon purification, Processing Cell fabrication and Module assembly) | a-Si | 16.00 | 26.98 m2 | 378.00 | 10,198.44 | |
| PV module supported stand | Mild steel | 1.00 | 100.00 | 34.20 | 3420.00 | 950.00 |
| Nuts/bolts/screws | 64.00 | 2.0 | 31.06 | 62.12 | 17.25 | |
| Paints | 2.00 | 1L | 90.40 | 90.4 | 25.11 | |
| Cable | Copper wire | 4.00 | 110.19 | 440.76 | 122.43 | |
| Total embodied energy in kWh | 11,313.23 | |||||
| Components | Items | Quantity | Total Weight | Embodied Energy Density (MJ/Kg) | Total Embodied Energy MJ/kWh | |
|---|---|---|---|---|---|---|
| PV module (Silicon purification, Processing Cell fabrication and Module assembly) | HIT | 8.00 | 9.36 m2 | 1862.24 | 1862.24 | |
| PV module supported stand | Mild steel | 1.00 | 70.00 | 34.20 | 2394.00 | 665.00 |
| Nuts/bolts/screws | 36.00 | 1.20 | 31.06 | 37.27 | 10.35 | |
| Paints | 2.00 | 1.00 L | 90.40 | 90.40 | 25.11 | |
| Cable | Copper wire | 3.00 | 110.19 | 330.57 | 91.82 | |
| Total embodied energy in kWh | 2654.92 | |||||
| Cost Component (Rs) | mc-Si | a-Si | HIT |
|---|---|---|---|
| PV modules | 67,200 | 48,000 | 142,800 |
| Standing | 3200 | 4000 | 2800 |
| Cable | 2800 | 2800 | 2800 |
| Total cost | 73,200 | 54,800 | 148,400 |
| Life Cycle Indicators | Units | mc-Si | a-Si | HIT |
|---|---|---|---|---|
| Total surface modules | m2 | 22.77 | 26.98 | 9.36 |
| Nominal power | kWp | 1.60 | 1.20 | 1.68 |
| Module efficiency | % | 15.8 | 7.6 | 17.3 |
| Actual annual energy output | kWh | 2408.41 | 1904.81 | 2648.30 |
| PR | % | 86.8 | 91.5 | 90.9 |
| Energy output over the lifetime | kWh | 72252 | 57144 | 79449 |
| Embody energy | kWh | 21,641.18 | 11,313.23 | 2654.92 |
| EPBT | year | 8.98 | 5.93 | 1.0 |
| EPF | - | 3.34 | 5.05 | 29.93 |
| LCCE | - | 0.04 | 0.03 | 0.16 |
| CO2 emission | Kg | 44.1 | 23.1 | 5.4 |
| net CO2 mitigation | tCO2 | 103 | 93 | 157 |
| Carbon credit | € | 2168 | 1963 | 3290 |
| RS | 169,118.0 | 153,145.0 | 256,609.0 |
| Cost Parameters | Units | mc-Si | a-Si | HIT |
|---|---|---|---|---|
| Capital cost | Rs | 73,200 | 54,800 | 148,400 |
| Maintenance cost | RS | 7320 | 5480 | 14,840 |
| Replacement cost | RS | - | - | - |
| Decommissioning cost | RS | 3660 | 2740 | 7420 |
| NVP | RS | 102,480 | 76,720 | 207,760 |
| Uncost | RS | 409,920 | 306,880 | 831,040 |
| UAC | RS/kWh | 5.67 | 5.37 | 10.46 |
| Technology | Location | Total Capacity of Installed PV Module (kW) | Lifetime (Years) | Energy Payback Time (Years) | CO2 Mitigation (tCO2) | Ref. |
|---|---|---|---|---|---|---|
| a-Si | US | 33 | 20 | 3.2 | 34.3 | [9] |
| a-Si | China | 100 × 103 | 30 | 2.2 | 15.6 | [10] |
| mc-Si | Japan | 3 | 20 | 15.5 | 91 | [11] |
| mc-Si | Singapore | 10.6 | 25 | 4.47 | 165 | [12] |
| mc-Si | UK | 14.4 | 30 | 8 | 44 | [26] |
| mc-Si | US | 33 | 20 | 5.7 | 72.4 | [9] |
| mc-Si | China | 100 × 103 | 30 | 1.5 | 9.4 | [10] |
| mc-Si | Italy | 1 | 20 | 3.3 | 26.4 | [13] |
| mc-Si | Greece | 3 | 20 | 2.9 | 104 | [14] |
| mc-Si | China | 100 × 103 | 30 | 1.7 | 12 | [15] |
| mc-Si | India | 1.6 | 30 | 2.9 | 14.3 | Present study |
| a-Si | India | 1.2 | 30 | 4.2 | 16.2 | |
| HIT | India | 1.68 | 30 | 1.9 | 10.4 |
© 2020 by the authors. Licensee MDPI, Basel, Switzerland. This article is an open access article distributed under the terms and conditions of the Creative Commons Attribution (CC BY) license (http://creativecommons.org/licenses/by/4.0/).
Share and Cite
Rajput, P.; Malvoni, M.; Manoj Kumar, N.; Sastry, O.S.; Jayakumar, A. Operational Performance and Degradation Influenced Life Cycle Environmental–Economic Metrics of mc-Si, a-Si and HIT Photovoltaic Arrays in Hot Semi-arid Climates. Sustainability 2020, 12, 1075. https://doi.org/10.3390/su12031075
Rajput P, Malvoni M, Manoj Kumar N, Sastry OS, Jayakumar A. Operational Performance and Degradation Influenced Life Cycle Environmental–Economic Metrics of mc-Si, a-Si and HIT Photovoltaic Arrays in Hot Semi-arid Climates. Sustainability. 2020; 12(3):1075. https://doi.org/10.3390/su12031075
Chicago/Turabian StyleRajput, Pramod, Maria Malvoni, Nallapaneni Manoj Kumar, O. S. Sastry, and Arunkumar Jayakumar. 2020. "Operational Performance and Degradation Influenced Life Cycle Environmental–Economic Metrics of mc-Si, a-Si and HIT Photovoltaic Arrays in Hot Semi-arid Climates" Sustainability 12, no. 3: 1075. https://doi.org/10.3390/su12031075
APA StyleRajput, P., Malvoni, M., Manoj Kumar, N., Sastry, O. S., & Jayakumar, A. (2020). Operational Performance and Degradation Influenced Life Cycle Environmental–Economic Metrics of mc-Si, a-Si and HIT Photovoltaic Arrays in Hot Semi-arid Climates. Sustainability, 12(3), 1075. https://doi.org/10.3390/su12031075

