Influences of Green Human Resources Management on Environmental Performance in Small Lodging Enterprises: The Role of Green Innovation
Abstract
1. Introduction
2. Review of Literature
2.1. GHRM and Green Innovation
2.2. GHRM and Environmental Performance
2.3. Green Innovation and Environmental Performance
2.4. The Role of Green Innovation in the Relationship between GHRM and Environmental Performance
3. Methodology
3.1. Research Population and Sample
3.2. Measure
3.3. Data Analysis
4. Results
4.1. The Profile of Respondents
4.2. Measurement Model
4.3. Structural Model
5. Discussion
6. Implications of the Study
7. Limitations and Opportunities for Further Research
Author Contributions
Funding
Conflicts of Interest
Abbreviations
| HRM | Human resources management |
| GHRM | Green human resources management |
| AMO theory | Ability, motivation, opportunity theory |
| RBV theory | Resource-based view theory |
| SEM | Structural equation modeling |
| UNSDGs | United nation sustainable development goals |
| SMEs | Small and medium enterprises |
| CMV | Common method variance |
| EFA | Exploratory factor analysis |
| M | Mean value |
| SD | Standard deviation |
| CFA | Confirmatory factor analysis |
| RMSEA | Square error of approximation |
| SRMR | Standardized root mean squared residual |
| CFI | Comparative fit index |
| CR | Composite reliability |
| AVE | Average variance extracted |
| MSV | Maximum shared value |
Appendix A
| Authors | Summary/Key Findings | Countries and Regions | Industry | Methodology |
|---|---|---|---|---|
| Melnyk et al. (2003) | The results showed that firms having gone through an environmental management system (EMS) certification experienced a greater impact on performance than other firms that have not certified their EMS. | United States of America | Manufacturing | ANOVA test/regression analysis |
| Chan (2005) | The results remind foreign-invested enterprises (FIEs) in China of the opportunities to enhance corporate environmental and financial performance through the adoption of environmental strategies. | People’s Republic of China (PRC) | General | Structural equation modeling/multi-group analyses |
| Chen et al. (2006) | The study found that the performances of the green product innovation and green process innovation were positively associated with the corporate competitive advantage. Investment in green product innovation and green process innovation is helpful to the businesses. | Taiwan Province, People’s Republic of China (PRC) | Manufacturing | ANOVA test |
| Verburg et al. (2007) | Organizations with observed HRM practices fitting the professional bundle score significantly higher on measures of firm performance, employees’ going beyond the contract, and firm innovativeness. | Generic | General | t-test/correlation analysis |
| Darnall et al. (2008) | The results showed that environmental Management Systems (EMSs) enhance an organization’s environmental performance. | United States of America | General | Literature review |
| Jiménez-Jiménez and Sanz-Valle (2008) | The major findings showed that innovation contributes positively to business performance and human resource management enhances innovation. | Spain | Industrial Firms | Structural equation modeling |
| Kammerer (2009) | Green innovation is considered a major tool for the success of their business performance. | Germany | Manufacturing | logit analysis |
| Dwyer et al. (2009) | Studies with a positive impact of the environment on financial performance are predominant. In addition, the findings show that the set of firms, industries and countries are varied. | United States of America | Manufacturing | Literature review |
| De Winne and Sels (2010) | The results showed that both human capital (of owners/managers and employees) and HRM are important determinants of innovation in startups. | Belgium | General | Structural equation modeling |
| De Saa-Perez and Díaz-Díaz (2010) | The results suggested that high commitment to human resource management (HRM) has a positive influence on organizational innovation in processes. Additionally, the formalization of the HR policy in a plan and job stability also increases innovation in processes. | Canary Islands | General | Negative binomial model |
| Jackson and Seo (2010) | GHRM scholars could contribute to improved organizational effectiveness and emphasis the green values and awareness of their employees about the environment to support green performance. | United States of America | General | Literature review |
| Chiou et al. (2011) | A prominent result of this study is that greening the supplier through green innovation contributes significant benefits to the environmental performance and competitive advantage of the firm. | Taiwan Province, People’s Republic of China (PRC) | General | Structural equation modeling |
| Wei et al. (2011) | Strategic human resources management (SHRM) has a positive impact on firms’ product innovation, and this relationship is stronger for firms with a developmental culture. | People’s Republic of China (PRC) | General | Multiple regression analysis |
| Lin et al. (2013) | The findings showed that market demand is positively correlated to both green product innovation and firm performance, while green product innovation performance is also positively correlated to firm performance. | Vietnam | Manufacturing | Regression analysis |
| de Burgos-Jiménez et al. (2013) | The results showed a positive effect of environmental protection on mid-term financial performance. Financial performance has a positive and significant correlation with environmental proactivity and environmental performance. | Wales | General | Regression analysis |
| Renwick et al. (2013) | Understanding how GHRM practices influence employee motivation to become involved in environmental activities lags behind that of how organizations develop green abilities and provide employees with opportunities to be involved in environmental management. Organizations are not using the full range of GHRM practices, and this may limit their effectiveness in efforts to improve EM. | Generic | General | Literature review |
| Chen and Chang (2013) | The results showed that green dynamic capabilities and green transformational leadership positively influence green creativity and green product development performance. Additionally, positive relationships between green product development performance and their two antecedents—green dynamic capabilities and green transformational leadership—are partially mediated by green creativity. | Taiwan Province, People’s Republic of China (PRC) | Electronics Industry | Structural equation modeling |
| Chen et al. (2015) | The major findings showed that market orientation positively affects environmental strategy, which, in turn, influences both environmental product quality and employees’ environmental involvement. These latter two variables consequently have a positive influence on environmental performance. | People’s Republic of China (PRC) | Manufacturing | Structural equation modeling |
| Fu et al. (2015) | Human resource management (HRM) practices, labeled high-performance work systems (HPWS), influences organizational innovation in professional service firms (PSFs). Moreover, employees’ innovative work behaviors mediate the relationship between HPWS and two types of PSFs’ innovation performance | Ireland | Accounting | Hierarchical regression analysis |
| Dubey et al. (2015) | The main results suggested that green performance relies on green products, services and process innovation. | India | Manufacturing | Hierarchical regression |
| Weng et al. (2015) | The major findings found that green innovation had a positive effect on environmental performance. | Taiwan Province, People’s Republic of China (PRC) | Manufacturing and service firms | Structural equation modeling |
| O’Donohue and Torugsa (2016) | The findings revealed that Green HRM positively moderates the association between proactive environmental management and financial performance. | Australia | Manufacturing | Structural equation modeling |
| Guerci et al. (2016) | The results showed that green HRM practices (i.e., green hiring, green training and involvement, and green performance management and compensation) play in mediating the relation between pressures on environmental issues from two specific external stakeholders (i.e., customers and regulatory stakeholders) and environmental performance. | Italy | Manufacturing | Structural equation modeling |
| Jabbour and de Sousa (2016) | The study showed that green HRM objectives, obligations, and assessment improve enterprises’ green performance. | Generic | General | Literature review |
| Kratzer et al. (2017) | The major results revealed that enterprises’ green innovation might be anticipated as proactive practices to increase green performance. | Russia | Manufacturing | Tukey’s post hoc test |
| Adegbile et al. (2017) | The study showed that green innovation is related to an enterprise’s green management agenda, which encourages green performance. | Generic | General | Literature review |
| Albort-Morant et al. (2017) | The empirical results showed that both absorptive capacity and relationship learning exert a significant positive effect on the dependent variable and that relationship learning moderates the link between absorptive capacity and green innovation performance. | Spain | Manufacturing | Structural equation modeling |
| Del Giudice et al. (2018) | The results supported that innovation has a better performance than their competitors, as they influence their capabilities and resources to identify the needs of customers quickly and effectively and add key benefits and resources to the organization | Generic | General | Literature review |
| Allameh (2018) | The main findings showed that the three dimensions of social capital, namely the structural, relational, and cognitive social capital, had positive effects on knowledge sharing; knowledge sharing had positive effects on three components of intellectual capital (human capital, structural capital and relational capital); and intellectual capital dimensions, which in turn, lead to innovation. | Iran | Hotel industry | Structural equation modeling |
| Jia et al. (2018) | Drawing from the ability–motivation–opportunity (AMO) theory, the study showed that transformational leaders could inspire employees’ green passion through influencing GHRM and ultimately positively affect employees’ green creativity. | People’s Republic of China (PRC) | Medical Firms | Structural equation modeling/mediation test |
| Singh and El-Kassar (2019) | The study recommended that the integration of green supply chain management, green human resource management practices, and big data management to enhance firms’ sustainable capabilities that lead to better sustainable performance. | Saudi Arabia, United Arab Emirates, Egypt, and Lebanon | General | Structural equation modeling |
| El-Kassar and Singh (2019) | The major findings supported that green innovation is considered a major tool for the success of their business performance | MENA region andGCC | General | Structural equation modeling |
| Oliva et al. (2019) | The results suggested that green performance depends on green products, services and process innovation. | Brazil | General | Semi-structured interview |
| Zhou et al. (2018) | The findings revealed that green transformational leadership is positively related to green product development performance. Moreover, both green transformational leadership and individual green values have positive influences on green psychological climate, which leads to the promotion of green product development performance in the organization. | Generic | General | Correlation analysis/mediation test |
| Kim et al. (2019) | The findings show that green human resource management enhances employees’ organizational commitment, their eco-friendly behavior, and hotels’ environmental performance. | Thailand | Hotel industry | Structural equation modeling |
| Singh et al. (2020) | The results suggested that GHRM practices mediate the influence of green transformational leadership on green innovation. Furthermore, GHRM indirectly through green innovation influences a firm’s environmental performance. | United Arab Emirates (UAE) | Manufacturing | Structural equation modeling |
References
- Kim, Y.J.; Kim, W.G.; Choi, H.-M.; Phetvaroon, K. The effect of green human resource management on hotel employees’ eco-friendly behavior and environmental performance. Int. J. Hosp. Manag. 2019, 76, 83–93. [Google Scholar] [CrossRef]
- Singh, S.K.; Del Giudice, M.; Chierici, R.; Graziano, D. Green innovation and environmental performance: The role of green transformational leadership and green human resource management. Technol. Forecast. Soc. Chang. 2020, 150, 119762. [Google Scholar] [CrossRef]
- Kim, C.G.; Choi, Y.S. A high performance parallel DCT with OpenCL on heterogeneous computing environment. Multimed. Tools Appl. 2013, 64, 475–489. [Google Scholar] [CrossRef]
- Paillé, P.; Chen, W.S.C.; Boiral, O.; Jin, J. The Impact of Human Resource Management on Environmental Performance: An Employee-Level Study. J. Bus. Ethics 2014, 121, 451–466. [Google Scholar] [CrossRef]
- Renwick, D.W.S.; Redman, T.; Maguire, S. Green Human Resource Management: A Review and Research Agenda. Int. J. Manag. Rev. 2012, 15, 1–14. [Google Scholar] [CrossRef]
- Muller-Carmem, M.; Jackson, S.; Jabbour, C.J.; Renwick, D. Green human resource management. Z. Pers. 2010, 24, 95–96. [Google Scholar]
- Albort-Morant, G.; Leal-Rodríguez, A.L.; De Marchi, V. Absorptive capacity and relationship learning mechanisms as complementary drivers of green innovation performance. J. Knowl. Manag. 2018, 22, 432–452. [Google Scholar] [CrossRef]
- Gunasekaran, A.; Spalanzani, A. Sustainability of manufacturing and services: Investigations for research and applications. Int. J. Prod. Econ. 2012, 140, 35–47. [Google Scholar] [CrossRef]
- Wei, L.; Liu, J.; Herndon, N.C. SHRM and product innovation: Testing the moderating effects of organizational culture and structure in Chinese firms. Int. J. Hum. Resour. Manag. 2011, 22, 19–33. [Google Scholar] [CrossRef]
- Jimenez-Jimenez, D.; Sanz-Valle, R. Could HRM support organizational innovation? Int. J. Hum. Resour. Manag. 2008, 19, 1208–1221. [Google Scholar] [CrossRef]
- Albort-Morant, G.; Henseler, J.; Leal-Millán, A.; Carrión, G.A.C. Mapping the Field: A Bibliometric Analysis of Green Innovation. Sustainability 2017, 9, 1011. [Google Scholar] [CrossRef]
- Allameh, S.M. Antecedents and consequences of intellectual capital: The role of social capital, knowledge sharing and innovation. J. Intellect. Cap. 2018, 19, 858–874. [Google Scholar] [CrossRef]
- Thomas, R.; Shaw, G.; Page, S.J. Understanding small firms in tourism: A perspective on research trends and challenges. Tour. Manag. 2011, 32, 963–976. [Google Scholar] [CrossRef]
- Sobaih, A.E.E. Human resource management in hospitality firms in Egypt: Does size matter? Tour. Hosp. Res. 2018, 18, 38–48. [Google Scholar] [CrossRef]
- Appelbaum, E.; Bailey, T.; Berg, P.; Kalleberg, A.L.; Bailey, T.A. Manufacturing Advantage: Why High-Performance Work Systems Pay Off; Cornell University Press: Ithaca, NY, USA, 2000. [Google Scholar]
- Barney, J. Firm resources and sustained competitive advantage. J. Manag. 1991, 17, 99–120. [Google Scholar] [CrossRef]
- Boiral, O.; Heras-Saizarbitoria, I.; Brotherton, M.-C. Assessing and Improving the Quality of Sustainability Reports: The Auditors’ Perspective. J. Bus. Ethics 2019, 155, 703–721. [Google Scholar] [CrossRef]
- Bos-Nehles, A.C.; Van Riemsdijk, M.J.; Looise, J.K. Employee Perceptions of Line Management Performance: Applying the AMO Theory to Explain the Effectiveness of Line Managers’ HRM Implementation. Hum. Resour. Manag. 2013, 52, 861–877. [Google Scholar] [CrossRef]
- Sobaih, A.E.E.; Ibrahim, Y.; Gabry, G. Unlocking the black box: Psychological contract fulfillment as a mediator between HRM practices and job performance. Tour. Manag. Perspect. 2019, 30, 171–181. [Google Scholar] [CrossRef]
- Gerhart, B. Human resources and business performance: Findings, unanswered questions, and an alternative approach. Manag. Rev. 2005, 16, 174–185. [Google Scholar] [CrossRef]
- Del Giudice, M.; Carayannis, E.G.; Palacios-Marqués, D.; Soto-Acosta, P.; Meissner, D. The human dimension of open innovation. Manag. Decis. 2018, 56, 1159–1166. [Google Scholar] [CrossRef]
- Verburg, R.M.; Den Hartog, N.D.; Koopman, P.L. Configurations of human resource management practices: A model and test of internal fit. Int. J. Hum. Resour. Manag. 2007, 18, 184–208. [Google Scholar] [CrossRef]
- Barney, J.B. Resource-based theories of competitive advantage: A ten-year retrospective on the resource-based view. J. Manag. 2001, 27, 643–650. [Google Scholar] [CrossRef]
- Jackson, S.E.; Seo, J. The greening of strategic HRM scholarship. Organ. Manag. J. 2010, 7, 278–290. [Google Scholar] [CrossRef]
- Jabbour, C.J.C.; de Sousa Jabbour, A.B.L. Green human resource management and green supply chain management: Linking two emerging agendas. J. Clean. Prod. 2016, 112, 1824–1833. [Google Scholar] [CrossRef]
- Chen, Y.-S.; Chang, C.-H. The Determinants of Green Product Development Performance: Green Dynamic Capabilities, Green Transformational Leadership, and Green Creativity. J. Bus. Ethics 2013, 116, 107–119. [Google Scholar] [CrossRef]
- Guerci, M.; Longoni, A.; Luzzini, D. Translating stakeholder pressures into environmental performance—The mediating role of green HRM practices. Int. J. Hum. Resour. Manag. 2015, 27, 262–289. [Google Scholar] [CrossRef]
- Jia, J.; Liu, H.; Chin, T.; Hu, D. The continuous mediating effects of GHRM on employees’ green passion via transformational leadership and green creativity. Sustainability 2018, 10, 3237. [Google Scholar] [CrossRef]
- O’Donohue, W.; Torugsa, N. The moderating effect of ‘Green’ HRM on the association between proactive environmental management and financial performance in small firms. Int. J. Hum. Resour. Manag. 2015, 27, 239–261. [Google Scholar] [CrossRef]
- Zhou, S.; Zhang, D.; Lyu, C.; Zhang, H. Does Seeing “Mind Acts Upon Mind” Affect Green Psychological Climate and Green Product Development Performance? The Role of Matching Between Green Transformational Leadership and Individual Green Values. Sustainability 2018, 10, 3206. [Google Scholar] [CrossRef]
- Chen, Y.-S.; Lai, S.-B.; Wen, C.-T. The Influence of Green Innovation Performance on Corporate Advantage in Taiwan. J. Bus. Ethics 2006, 67, 331–339. [Google Scholar] [CrossRef]
- Melnyk, S.A.; Sroufe, R.; Calantone, R.J. Assessing the impact of environmental management systems on corporate and environmental performance. J. Oper. Manag. 2003, 21, 329–351. [Google Scholar] [CrossRef]
- Adegbile, A.; Sarpong, D.; Meissner, D. Strategic Foresight for Innovation Management: A Review and Research Agenda. Int. J. Innov. Technol. Manag. 2017, 14, 1750019. [Google Scholar] [CrossRef]
- Weng, H.H.R.; Chen, J.S.; Chen, P.C. Effects of green innovation on environmental and corporate performance: A stakeholder perspective. Sustainability 2015, 7, 4997–5026. [Google Scholar] [CrossRef]
- Kratzer, J.; Meissner, D.; Roud, V. Open innovation and company culture: Internal openness makes the difference. Technol. Forecast. Soc. Chang. 2017, 119, 128–138. [Google Scholar] [CrossRef]
- Lin, R.J.; Tan, K.H.; Geng, Y. Market demand, green product innovation, and firm performance: Evidence from Vietnam motorcycle industry. J. Clean. Prod. 2013, 40, 101–107. [Google Scholar] [CrossRef]
- De Burgos-Jiménez, J.; Vázquez-Brust, D.; Plaza-Úbeda, J.A.; Dijkshoorn, J. Environmental protection and financial performance: An empirical analysis in Wales. Int. J. Oper. Prod. Manag. 2013, 33, 981–1018. [Google Scholar] [CrossRef]
- Chan, R.Y. Does the natural-resource-based view of the firm apply in an emerging economy? A survey of foreign invested enterprises in China. J. Manag. Stud. 2005, 42, 625–672. [Google Scholar] [CrossRef]
- Chen, Y.; Tang, G.; Jin, J.; Li, J.; Paillé, P. Linking market orientation and environmental performance: The influence of environmental strategy, employee’s environmental involvement, and environmental product quality. J. Bus. Ethics 2015, 127, 479–500. [Google Scholar] [CrossRef]
- Dubey, R.; Gunasekaran, A.; Ali, S.S. Exploring the relationship between leadership, operational practices, institutional pressures and environmental performance: A framework for green supply chain. Int. J. Prod. Econ. 2015, 160, 120–132. [Google Scholar] [CrossRef]
- Darnall, N.; Jolley, G.J.; Handfield, R. Environmental management systems and green supply chain management: Complements for sustainability? Bus. Strat. Environ. 2008, 17, 30–45. [Google Scholar] [CrossRef]
- Oliva, F.L.; Semensato, B.I.; Prioste, D.B.; Winandy, E.J.L.; Bution, J.L.; Couto, M.H.G.; Bottacin, M.A.; MacLennan, M.L.F.; Teberga, P.M.F.; Santos, R.F.; et al. Innovation in the main Brazilian business sectors: Characteristics, types and comparison of innovation. J. Knowl. Manag. 2019, 23, 135–175. [Google Scholar] [CrossRef]
- Chiou, T.-Y.; Chan, H.K.; Lettice, F.; Chung, S.H. The influence of greening the suppliers and green innovation on environmental performance and competitive advantage in Taiwan. Transp. Res. Part E Logist. Transp. Rev. 2011, 47, 822–836. [Google Scholar] [CrossRef]
- Fu, N.; Flood, P.C.; Bosak, J.; Morris, T.; O’Regan, P. How do high performance work systems influence organizational innovation in professional service firms? Empl. Relat. 2015, 37, 209–231. [Google Scholar] [CrossRef]
- De Winne, S.; Sels, L. Interrelationships between human capital, HRM and innovation in Belgian start-ups aiming at an innovation strategy. Int. J. Hum. Resour. Manag. 2010, 21, 1863–1883. [Google Scholar] [CrossRef]
- De Saá-Pérez, P.; Díaz-Díaz, N.L. Human resource management and innovation in the Canary Islands: An ultra-peripheral region of the European Union. Int. J. Hum. Resour. Manag. 2010, 21, 1649–1666. [Google Scholar] [CrossRef]
- Singh, S.K.; El-Kassar, A.-N. Role of big data analytics in developing sustainable capabilities. J. Clean. Prod. 2019, 213, 1264–1273. [Google Scholar] [CrossRef]
- El-Kassar, A.-N.; Singh, K.S. Green innovation and organizational performance: The influence of big data and the moderating role of management commitment and HR practices. Technol. Forecast. Soc. Chang. 2019, 144, 483–498. [Google Scholar] [CrossRef]
- Kammerer, D. The effects of customer benefit and regulation on environmental product innovation. Ecol. Econ. 2009, 68, 2285–2295. [Google Scholar] [CrossRef]
- Ibeh, K.; Brock, J.K.-U.; Zhou, Y.J. The drop and collect survey among industrial populations: Theory and empirical evidence. Ind. Mark. Manag. 2004, 33, 155–165. [Google Scholar] [CrossRef]
- Sun, L.-Y.; Aryee, S.; Law, K.S. High-Performance Human Resource Practices, Citizenship Behavior, and Organizational Performance: A Relational Perspective. Acad. Manag. J. 2007, 50, 558–577. [Google Scholar] [CrossRef]
- Daily, B.F.; Bishop, J.W.; Massoud, J.A. The role of training and empowerment in environmental performance. Int. J. Oper. Prod. Manag. 2012, 32, 631–647. [Google Scholar] [CrossRef]
- Armstrong, J.S.; Overton, T.S. Estimating nonresponse bias in mail surveys. J. Mark. Res. 1977, 14, 396–402. [Google Scholar] [CrossRef]
- Podsakoff, P.M.; MacKenzie, S.B.; Podsakoff, N.P. Sources of Method Bias in Social Science Research and Recommendations on How to Control It. Annu. Rev. Psychol. 2012, 63, 539–569. [Google Scholar] [CrossRef]
- Salancik, G.; Pfeffer, J. An examination of need-satisfaction models of job attitudes. Adm. Sci. Q. 1977, 22, 427–456. [Google Scholar] [CrossRef]
- Bryman, A.; Cramer, D. Quantitative Data Analysis with IBM SPSS 17, 18& 19: A Guide for Social Scientists; Routledge: Abingdon, UK, 2012. [Google Scholar]
- Hair, J.; Black, W.; Babin, B.; Anderson, R. Multivariate Data Analysis, 7th ed.; Pearson: Harlow, UK, 2014. [Google Scholar]
- Fornell, C.; Larcker, D.F. Structural equation models with unobservable variables and measurement error: Algebra and statistics. J. Mark. Res. 1981, 18, 1–22. [Google Scholar] [CrossRef]
- Anderson, J.C.; Gerbing, D.W. Structural equation modeling in practice: A review and recommended two-step approach. Psychol. Bull. 1988, 103, 411. [Google Scholar] [CrossRef]
- Tabachnick, B.; Fidell, L. Using Multivariate Statistics, 5th ed.; Pearson: New York, NY, USA, 2007. [Google Scholar]
- Kelloway, E.K. Structural equation modelling in perspective. J. Organ. Behav. 1995, 16, 215–224. [Google Scholar] [CrossRef]
- Zhao, X.; Lynch, J., Jr.; Chen, Q. Reconsidering Baron and Kenny: Myths and truths about mediation analysis. J. Consum. Res. 2010, 37, 197–206. [Google Scholar] [CrossRef]
- Dwyer, R.; Lamond, D.; Molina-Azorín, J.F.; Claver-Cortés, E.; López-Gamero, M.D.; Tarí, J.J. Green management and financial performance: A literature review. Manag. Decis. 2009, 47, 1080–1100. [Google Scholar]
- Morgan, R.M.; Hunt, S.D. The commitment-trust theory of relationship marketing. J. Mark. 1994, 58, 20–38. [Google Scholar] [CrossRef]



| Dimensions and Variables | Factor Loading | t-Value | M | SD |
|---|---|---|---|---|
| Green Abilities [5,51], (a = 0.958), (CR = 0.956, AVE = 0.785, MSV = 0.245) | ||||
| GR_ABl.1: Great effort goes in to select the right person | 0.887 | f | 4.12 | 0.955 |
| GR_ABl.2: Hiring only those who possess environmental values | 0.839 | 26.963 | 4.04 | 0.873 |
| GR_ABl.3: Considerable importance given to green staffing process | 0.796 | 24.355 | 4.05 | 0.935 |
| GR_ABl.4: Every employee undergoes mandatory environmental training | 0.937 | 34.836 | 4.10 | 0.964 |
| GR_ABl.5: Environmental training is designed to enhance employee’s environmental skills and knowledge | 0.953 | 36.461 | 4.13 | 0.896 |
| GR_ABl.6: Employees use environmental training in their jobs. | 0.893 | 30.867 | 4.15 | 0.878 |
| Green Motivation [5,51], (a = 0.957), (CR = 0.959, AVE = 0.855, MSV = 0.295) | ||||
| GR_MO.1: Performance appraisal records environmental performance | 0.952 | f | 4.14 | 0.892 |
| GR_MO.2: Performance appraisal includes environmental incidents, responsibilities, concerns and policy | 0.899 | 35.274 | 4.12 | 1.030 |
| GR_MO.3: Employee gets reward for environmental management | 0.917 | 37.595 | 4.16 | 0.907 |
| GR_MO.4: Employee gets reward for acquiring specific environmental competencies | 0.929 | 42.619 | 4.15 | 0.872 |
| Green Opportunities (Sun et al., 2007; and 5), (a = 0.935), (CR = 0.939, AVE = 0.838, MSV = 0.295) | ||||
| GR_OP.1: Employees are involved in becoming environmentally friendly | 0.959 | f | 4.21 | 0.926 |
| GR_OP.2: Using teamwork for resolving environmental issues | 0.845 | 30.014 | 4.27 | 0.820 |
| GR_OP.3: Employees discuss environmental issues in team meetings | 0.938 | 42.151 | 4.17 | 0.983 |
| Green Innovation [31], (a = 0.945), (CR = 0.945, AVE = 0.811, MSV = 0.391) | ||||
| GR_IN.1: My hotel uses materials that produce the least pollution | 0.915 | f | 3.93 | 0.916 |
| GR_IN.2: My hotel uses materials that consume less energy and resources | 0.904 | 33.700 | 3.95 | 0.937 |
| GR_IN.3: My hotel uses materials that design environment-friendly product | 0.854 | 29.273 | 3.95 | 0.926 |
| GR_IN.4: My hotel uses materials that are easy to recycle, reuse, and decompose | 0.927 | 36.147 | 4.06 | 0.889 |
| Environmental Performance [32,52] (a = 0.971) (CR = 0.972, AVE = 0.875, MSV = 0.524) | ||||
| EN_P.1: Environmental activities significantly reduced overall costs | 0.865 | f | 4.07 | 1.057 |
| EN_P.2: Environmental activities significantly reduced the lead times | 0.965 | 35.253 | 4.11 | 0.999 |
| EN_P.3: Environmental activities significantly improved product/process quality | 0.945 | 33.496 | 4.07 | 1.064 |
| EN_P.4: Environmental activities significantly improved the reputation of my hotel | 0.925 | 31.864 | 4.11 | 0.999 |
| EN_P.5: Environmental activities significantly reduced waste within the entire value chain process | 0.974 | 36.105 | 4.10 | 1.004 |
| Frequency | Percentage | ||
|---|---|---|---|
| Gender | Male | 490 | 93.3 |
| Female | 35 | 6.7 | |
| Age | Less than 30 years | 75 | 14.3 |
| 30 to 45 years | 95 | 18 | |
| 46 to 60 years | 250 | 47.7 | |
| More than 60 years | 102 | 20 | |
| Education level | High school degree | 155 | 29.5 |
| University graduate | 297 | 56.6 | |
| Post-graduate | 73 | 19.9 | |
| Number of employees | 5 employees or less | 85 | 16.2 |
| 6 to 10 employees | 106 | 20.2 | |
| 11 to 25 employees | 304 | 57.9 | |
| 26 to 50 employees | 30 | 5.7 | |
| Type of employees | Salary employees | 155 | 29.5 |
| Hourly employees | 370 | 70.5 | |
| Years in operation | Less than 10 years | 98 | 18.7 |
| 10 to 20 years | 360 | 68.6 | |
| Over 20 years | 67 | 12.7 | |
| 1 | 2 | 3 | 4 | 5 | |
|---|---|---|---|---|---|
| Green innovation | 0.900 | ||||
| Green abilities | 0.553 | 0.886 | |||
| Green motivation | 0.396 | 0.334 | 0.924 | ||
| Green opportunities | 0.466 | 0.486 | 0.543 | 0.915 | |
| Environmental performance | 0.625 | 0.724 | 0.438 | 0.447 | 0.936 |
| Hypotheses | The Research Structural Model | ||||
|---|---|---|---|---|---|
| Beta (β) | C-R (t-Value) | SMC | Hypotheses Results | ||
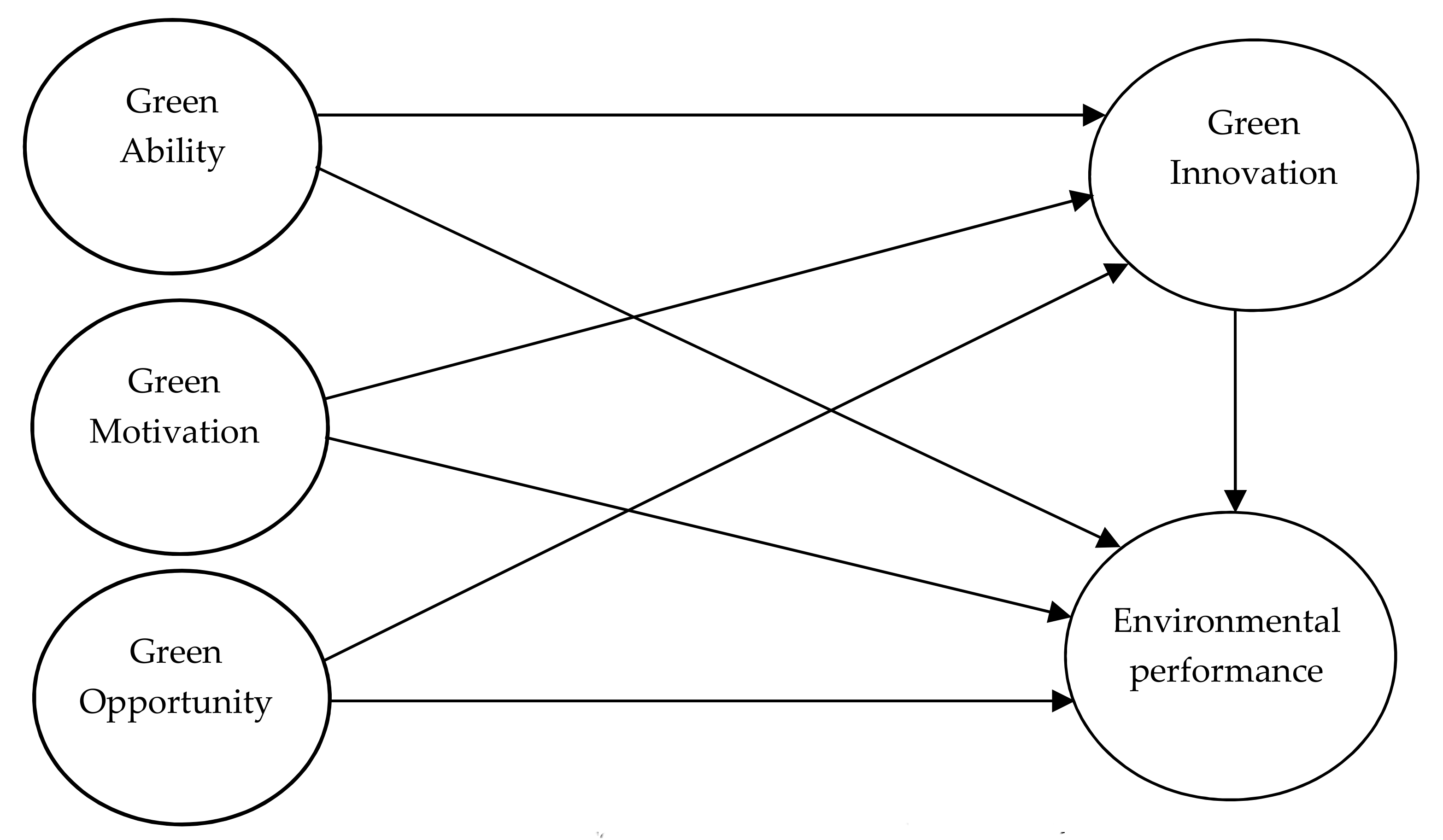
| H1 | Green abilities → Green innovation | 0.45 *** | 10.712 | - | Supported |
| H2 | Green motivation → Green innovation | 0.35 *** | 9.078 | - | Supported |
| H3 | Green opportunities → Green innovation | 0.32 *** | 8.868 | - | Supported |
| H4 | Green abilities → Environmental performance | 0.28 *** | 5.573 | - | Supported |
| H5 | Green motivation → Environmental performance | 0.25 *** | 4.864 | - | Supported |
| H6 | Green opportunities → Environmental performance | 0.20 *** | 4.562 | - | Supported |
| H7 | Green innovation → Environmental performance | 0.55 *** | 13.907 | - | Supported |
| Green innovation | - | - | 0.43 | - | |
| Environmental performance | - | - | 0.48 | - | |
Publisher’s Note: MDPI stays neutral with regard to jurisdictional claims in published maps and institutional affiliations. |
© 2020 by the authors. Licensee MDPI, Basel, Switzerland. This article is an open access article distributed under the terms and conditions of the Creative Commons Attribution (CC BY) license (http://creativecommons.org/licenses/by/4.0/).
Share and Cite
Sobaih, A.E.E.; Hasanein, A.; Elshaer, I. Influences of Green Human Resources Management on Environmental Performance in Small Lodging Enterprises: The Role of Green Innovation. Sustainability 2020, 12, 10371. https://doi.org/10.3390/su122410371
Sobaih AEE, Hasanein A, Elshaer I. Influences of Green Human Resources Management on Environmental Performance in Small Lodging Enterprises: The Role of Green Innovation. Sustainability. 2020; 12(24):10371. https://doi.org/10.3390/su122410371
Chicago/Turabian StyleSobaih, Abu Elnasr E., Ahmed Hasanein, and Ibrahim Elshaer. 2020. "Influences of Green Human Resources Management on Environmental Performance in Small Lodging Enterprises: The Role of Green Innovation" Sustainability 12, no. 24: 10371. https://doi.org/10.3390/su122410371
APA StyleSobaih, A. E. E., Hasanein, A., & Elshaer, I. (2020). Influences of Green Human Resources Management on Environmental Performance in Small Lodging Enterprises: The Role of Green Innovation. Sustainability, 12(24), 10371. https://doi.org/10.3390/su122410371
