MPPT for a PV Grid-Connected System to Improve Efficiency under Partial Shading Conditions
Abstract
1. Introduction
- Model-based methods:
- Constant voltage
- Constant current
- Pilot cell
- Curve fitting
- Look up table
- Bisect search theorem
- Best fixed voltage
- Temperature parametric
- Linear reoriented coordinates method
- Analytical solution (AS) based method
- Gradient descent
- Heuristics methods:
- Perturbation and observation (P&O)
- Modified P&O
- Incremental conductance (IC)
- Modified IC
- Hill climbing (HC)
- Modified HC
- Comparison of three points with weighting
- Parasitic capacitance (PC) method
- Load current or voltage maximization (LCVM) method
- DP/dV or dP/dI feedback control
- Ripple correlation control
- Variable inductance
- Temperature parametric
- Beta (β) method
- Current sweep
- System oscillations
- PV output Senseless (POS)
- Intelligent prediction-based methods:
- Fuzzy logic control
- Artificial neural network (ANN)
- Adaptive neuro-fuzzy inference system ANFIS
- Particle swarm optimization (PSO) method
- Hybrid methods.
- 1-
- Stability: the response of the system should be as reliable as possible and a change in energy should be correctly detected.
- 2-
- Fast dynamic response: it is necessary that the MPPT control responds quickly to rapid irradiance changes in order to maximize the efficiency of the PV system.
- 3-
- Small steady-state error: for any MPPT method, after reaching the MPP, it is impossible to maintain the tracker at a fixed point. Therefore, it is important for the system to continue running to search that point and minimize the steady-state error.
- 4-
- Robustness: it is important to design an MPPT control system that is robust in the face of any disturbance, such as input noise, measurement error, or variation of system parameters.
- 5-
- Efficiency: it is important to have an MPPT control system that performs well, with the same efficiency, in both low irradiance and high irradiance conditions. Several MPPTs have low efficiency at low irradiance levels since the controller parameters are designed for rated power and high irradiance levels.
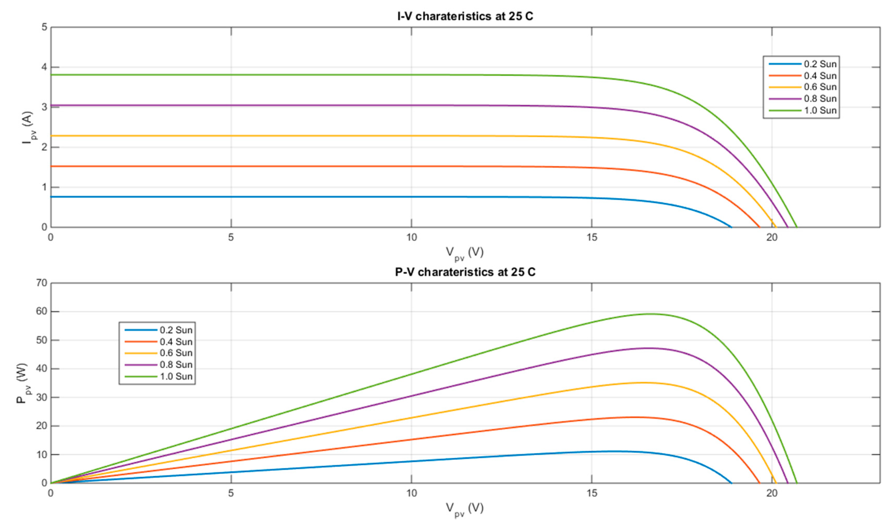
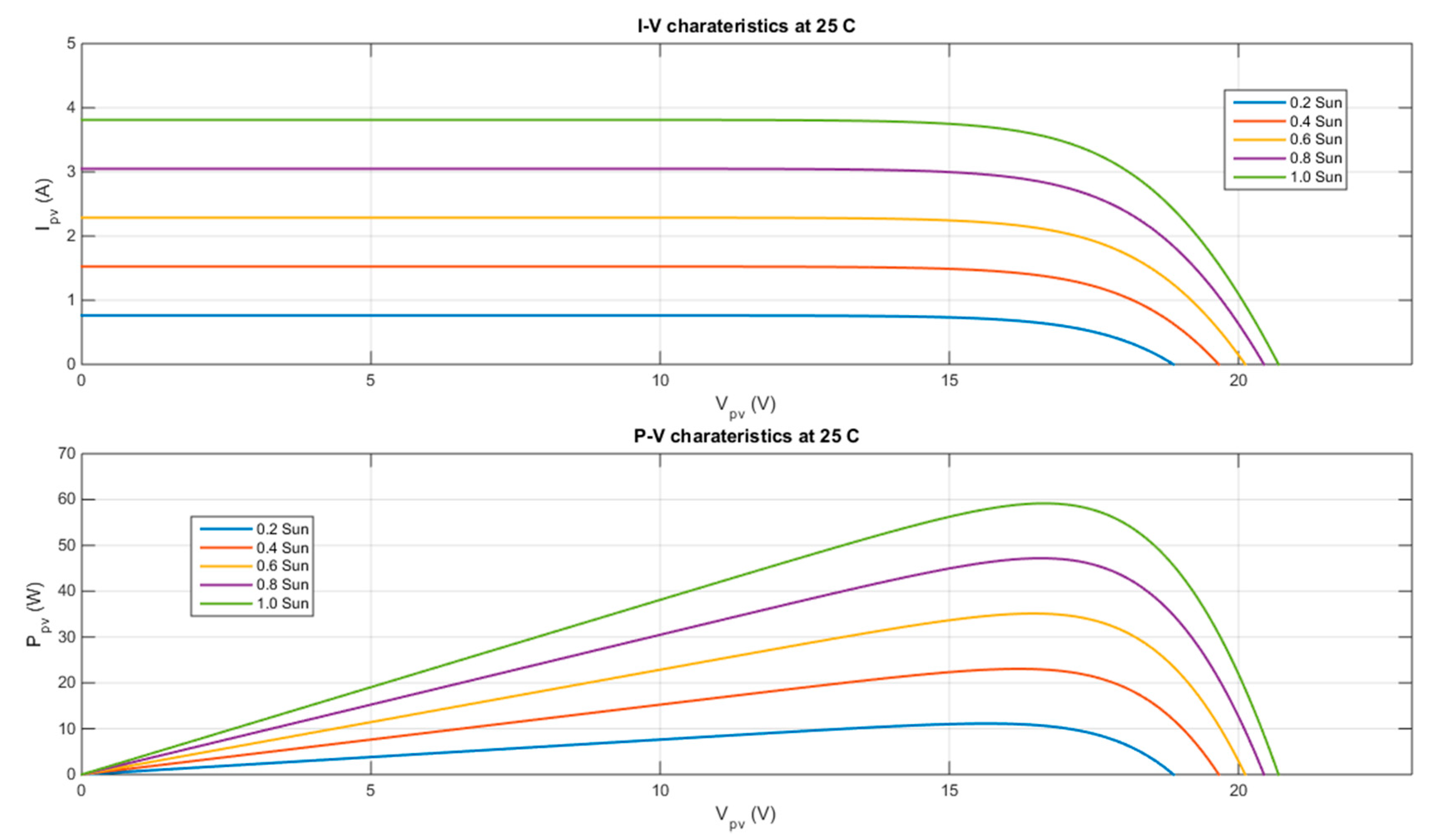
2. PV Model
3. Maximum Power Operation of Partial Shading Systems
4. MPPT Using the OGWO Method
4.1. Surrounding the Prey
4.2. Hunting for Prey
4.3. Attacking the Prey
5. System Description
6. Experimental Results
7. Conclusions
Author Contributions
Funding
Acknowledgments
Conflicts of Interest
Nomenclature
| Iph | the photocurrent |
| Id | the diode saturation current |
| A | diode ideality factor of a solar cell |
| Voc | cell open voltage |
| VOC | PV array open voltage |
| Isc | cell short-circuit current |
| ISC | PV array short-circuit current |
| Ns | number of series solar cells |
| Np | number of parallel solar cells |
| Io | diode saturation current |
| k | Boltzmann constant |
| q | charge [C] |
| Rsh | the parallel resistance |
| SN | the unit solar irradiance |
| B | the manufacturing constant |
| It | short-circuit current temperature coefficient at surface temperature rise [A/K] |
| T | ambient temperature [K] |
| Tc | solar cell temperature [K] |
| Tr | solar cell reference temperature [K] |
| Io | reverse saturation current [A] at solar cell operating temperature |
| Eg | energy band gap (Si PN junction energy gap, 1.12 [eV]) |
References
- Abo-Khalil, A.G.; Berrouche, Y.; Barhoumi, E.M.; Baseer, A.M.; Praveen, R.P.; Awan, A.B. A low-cost PMSG topology and control strategy for small-scale wind power generation systems. Int. J. Eng. Sci. Res. Technol. 2016, 5, 585–592. [Google Scholar]
- Morimoto, S.; Nakayama, H.; Sanada, M.; Takeda, Y. Sensorless output maximization control for variable-speed wind generation system using IPMSG. IEEE Trans. Ind. Appl. 2005, 41, 60–67. [Google Scholar] [CrossRef]
- Li, H.; Chen, Z. Overview of different wind generator systems and their comparisons. IET Renew. Power Gener. 2008, 2, 123–138. [Google Scholar] [CrossRef]
- Kim, H.S.; Lu, D.D. Review on Wind Turbine Generators and Power Electronic Converters with the Grid-Connection Issues. In Proceedings of the 2010 20th Australasian Universities Power Engineering Conference, Christchurch, New Zealand, 5–8 December 2010. [Google Scholar]
- Abo-Khalil, A.G.; Awan, A.B. Comparative Study of Passive and Active Islanding Detection Methods for PV Grid-Connected Systems. Sustainability 2018, 10, 1798. [Google Scholar] [CrossRef]
- Karami, N.; Moubayed, N.; Outbib, R. General review and classification of different MPPT Techniques. Renew. Sustain. Energy Rev. 2017, 68, 1–18. [Google Scholar] [CrossRef]
- Ahmed, J.; Salam, Z. An Enhanced Adaptive P&O MPPT for Fast and Efficient Tracking under Varying Environmental Conditions. IEEE Trans. Sustain. Energy 2018, 9, 1487–1496. [Google Scholar] [CrossRef]
- Elgendy, M.A.; Zahawi, B.; Atkinson, D. Assessment of Perturb and Observe MPPT Algorithm Implementation Techniques for PV Pumping Applications. IEEE Trans. Sustain. Energy 2012, 3, 21–33. [Google Scholar] [CrossRef]
- Femia, N.; Petrone, G.; Spagnuolo, G.; Vitelli, M. Optimization of Perturb and Observe Maximum Power Point Tracking Method. IEEE Trans. Power Electron. 2005, 20, 963–973. [Google Scholar] [CrossRef]
- Safari, A.; Mekhilef, S. Incremental conductance MPPT method for PV systems. In Proceedings of the 2011 24th Canadian Conference on Electrical and Computer Engineering (CCECE), Niagara Falls, ON, Canada, 8–11 May 2011; pp. 345–347. [Google Scholar]
- Hussein, K.H.; Muta, I.; Hoshino, T.; Osakada, M. Maximum Photovoltaic Power Tracking: An Algorithm for Rapidly Changing Atmospheric Conditions. IEE Proc. Gener. Transm. Distrib. 1995, 142, 59–64. [Google Scholar] [CrossRef]
- Abo-Khalil, A.G.; Lee, D.C.; Choi, J.W.; Kim, H.-G. Maximum Power Point Tracking Controller Connecting PV System to Grid. J. Power Electron. 2006, 6, 226–234. [Google Scholar]
- Byunggyu, Y.U.; Abo-Khalil, A.G.; Matsui, M.; Yu, G. Sensorless Fuzzy Logic Controller for Maximum Power Point Tracking of Grid- Connected PV system. In Proceedings of the 12th International Conference on Electrical Machines and Systems ICEMS, Tokyo, Japan, 15–18 November 2009. [Google Scholar]
- Kottas, T.L.; Boutalis, Y.S.; Karlis, A.D. New maximum power point tracker for PV arrays using fuzzy controller in close cooperation with fuzzy cognitive networks. IEEE Trans. Energy Convers. 2006, 21, 793–803. [Google Scholar] [CrossRef]
- Al-Amoudi, A.; Zhang, L.L. Application of Radial Basis Function Networks for Solar-Array Modeling and Maximum Power-Point Prediction. IEE Proc. Gener. Transm. Distrib. 2000, 147, 310–316. [Google Scholar] [CrossRef]
- Syafaruddin, E.; Hiyama, T. Artificial neural network-polar coordinated fuzzy controller based maximum power point tracking control under partially shaded conditions. IET Renew. Power Gener. 2009, 3, 239–253. [Google Scholar] [CrossRef]
- Veerachary, M.; Senjyu, T.; Uezato, K. Neural-network-based maximum-power-point tracking of coupled-inductor interleaved-boost converter-supplied PV system using fuzzy controller. IEEE Trans. Ind. Electron. 2003, 50, 749–758. [Google Scholar] [CrossRef]
- Hohm, D.P.; Ropp, M.E. Comparative study of maximum power point tracking algorithms. Prog. Photovolt. Res. Appl. 2003, 11, 47–62. [Google Scholar] [CrossRef]
- Eltamaly, A.M.; Al-Saud, M.S.; Abo-Khalil, A.G.; Farah, H. Simulation and Experimental Validation of Fast Adaptive Particle Swarm Optimization Strategy for Photovoltaic Global Peak Tracker under Dynamic Partial Shading. Renew. Sustain. Energy Rev. 2020, 124, 109719. [Google Scholar] [CrossRef]
- Eltamaly, A.M.; Al-Saud, M.S.; Abo-Khalil, A.G. Performance Improvement of PV Systems’ Maximum Power Point Tracker Based on a Scanning PSO Particle Strategy. Sustainability 2020, 12, 1185. [Google Scholar] [CrossRef]
- Eltamaly, A.M.; Al-Saud, M.S.; Abokhalil, A.G.; Farh, H.M. Photovoltaic maximum power point tracking under dynamic partial shading changes by novel adaptive particle swarm optimization strategy. Trans. Inst. Meas. Control. 2019, 42, 104–115. [Google Scholar] [CrossRef]
- Eltamaly, A.M.; Al-Saud, M.S.; Abokhalil, A.G. A novel scanning bat algorithm strategy for maximum power point tracker of partially shaded photovoltaic energy systems. Ain Shams Eng. J. 2020, 11, 1093–1103. [Google Scholar] [CrossRef]
- Eltamaly, A.M.; Al-Saud, M.S.; Abo-Khalil, A.G. A Novel Bat Algorithm Strategy for Maximum Power Point Tracker of Photovoltaic Energy Systems under Dynamic Partial Shading. IEEE Access 2020, 8, 10048–10060. [Google Scholar] [CrossRef]
- Sundareswaran, K.; Vigneshkumar, V.; Sankar, P.; Simon, S.P.; Nayak, P.S.R.; Palani, S. Development of an Improved P&O Algorithm Assisted Through a Colony of Foraging Ants for MPPT in PV System. IEEE Trans. Ind. Inform. 2016, 12, 187–200. [Google Scholar] [CrossRef]
- Abo-Khalil, A.G. Maximum Power Point Tracking for a PV System Using Tuned Support Vector Regression by Particle Swarm Optimization. J. Eng. Res. 2020, 8, 139–152. [Google Scholar] [CrossRef]
- Yu, B.; Abo-Khalil, A.G.; So, J.; Yu, G. Support vector regression based maximum power point tracking for PV grid-connected system. In Proceedings of the 2009 34th IEEE Photovoltaic Specialists Conference (PVSC), Philadelphia, PA, USA, 7–12 June 2009; pp. 002037–002042. [Google Scholar]
- Eltamaly, A.M.; Farh, H.M.H. Dynamic global maximum power point tracking of the PV systems under variant partial shading using hybrid GWO-FLC. Sol. Energy 2019, 177, 306–316. [Google Scholar] [CrossRef]
- Abo-Khalil, A.G. Sensorless Gradient Approximation Controller for Maximum Power point Tracking of Grid Connected PV System. In Proceedings of the Middle East Power System Conference MEPCON 2015, Al Mansoura, Egypt, 15–17 December 2015. [Google Scholar]
- Abo-Khalil, A.G.; Yu, B. Current estimation based maximum power point tracker of grid connected PV system. In Proceedings of the 2013 IEEE 10th International Conference on Power Electronics and Drive Systems (PEDS), Kitakyushu, Japan, 22–25 April 2013; pp. 948–952. [Google Scholar]
- Abo-Khalil, A.G. Gradient Approximation Based Maximum Power Point Tracking for PV Grid Connected System. In Proceedings of the 9th Power Electronics and Drive Systems Conference PEDS, Singapore, 5–8 December 2011. [Google Scholar]
- Wu, T.; Xu, S. A novel grey wolf optimizer for global optimization problems. In Proceedings of the 2016 IEEE Advanced Information Management, Communicates, Electronic and Automation Control Conference (IMCEC), Xi’an, China, 3–5 October 2016; pp. 1266–1270. [Google Scholar]
- Mirjalili, S.; Mohammad, S.; Lewis, A. Grey Wolf Optimizer. Adv. Eng. Softw. 2014, 69, 46–61. [Google Scholar] [CrossRef]
- Eltamaly, A.M.; Al-Saud, M.S.; Sayed, K.; Abo-Khalil, A.G. Sensorless Active and Reactive Control for DFIG Wind Turbines Using Opposition-Based Learning Technique. Sustainability 2020, 12, 3583. [Google Scholar] [CrossRef]













| Maximum power | 60 W |
| MPP voltage (Vmp) | 17.2 V |
| MPP current (Imp) | 3.5 A |
| Open-circuit voltage (Voc) | 21.5 V |
| Short-circuit current (Isc) | 3.85 A |
| Grid voltage | 220 V |
| Grid frequency | 60 Hz |
| Filter inductance | 3 mH |
| DC = link capacitor | 330 uF |
Publisher’s Note: MDPI stays neutral with regard to jurisdictional claims in published maps and institutional affiliations. |
© 2020 by the authors. Licensee MDPI, Basel, Switzerland. This article is an open access article distributed under the terms and conditions of the Creative Commons Attribution (CC BY) license (http://creativecommons.org/licenses/by/4.0/).
Share and Cite
Almutairi, A.; Abo-Khalil, A.G.; Sayed, K.; Albagami, N. MPPT for a PV Grid-Connected System to Improve Efficiency under Partial Shading Conditions. Sustainability 2020, 12, 10310. https://doi.org/10.3390/su122410310
Almutairi A, Abo-Khalil AG, Sayed K, Albagami N. MPPT for a PV Grid-Connected System to Improve Efficiency under Partial Shading Conditions. Sustainability. 2020; 12(24):10310. https://doi.org/10.3390/su122410310
Chicago/Turabian StyleAlmutairi, Abdulaziz, Ahmed G. Abo-Khalil, Khairy Sayed, and Naif Albagami. 2020. "MPPT for a PV Grid-Connected System to Improve Efficiency under Partial Shading Conditions" Sustainability 12, no. 24: 10310. https://doi.org/10.3390/su122410310
APA StyleAlmutairi, A., Abo-Khalil, A. G., Sayed, K., & Albagami, N. (2020). MPPT for a PV Grid-Connected System to Improve Efficiency under Partial Shading Conditions. Sustainability, 12(24), 10310. https://doi.org/10.3390/su122410310

