Black Soldier Fly School Workshops as Means to Promote Circular Economy and Environmental Awareness
Abstract
1. Introduction
- Is the provided support sufficient for students to fulfil the required tasks properly?
- Does participating in the project has an impact on students’ attitude towards insects?
2. Materials and Methods
- A complete list of all required materials together with graphical assembly instructions for the parts produced by the laser cutter (Supplementary Materials 1).
- A 12-page booklet summarizing information on the development of the worldwide food and feedstock market, on ‘organic waste and its potential in ‘circular economy’ and on the biology of H. illucens (Supplementary Materials 2).
- Vector-based digital drawing interchange format (DXF) files for laser cutting a house-like exterior surrounding the inner plastic container of the BSFL-rearing system (Supplementary Materials 3AB).
- A pre-formatted laboratory journal for uniform documentation of the experiment (Supplementary Materials 4).
- Material for working stations: ‘Legal situation of insect-based food and feed’ and ‘The development stages of H. illucens’ (Supplementary Materials 5).
2.1. Design and Assembly of the BSFL Rearing System
2.2. Workshops at Schools
- First stage: Legal framework of insect-based food and feed.Task: Pupils studied reports and worksheets on the legal framework and had to respond to written questions.
- Second stage: The development stages of Hermetia illucens.Task: Pupils used simple incident light microscopes to magnify all stages from egg to adult. Worksheets outlining important morphological traits helped for exact observation.
- Third stage: Methods and set-up of feeding experiments.Task: Briefing on hygienic requirements and good scientific working practice.
2.3. Questionnaire Survey
2.4. School Setting
2.5. Accompanying Research
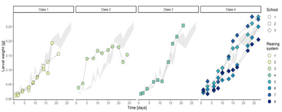
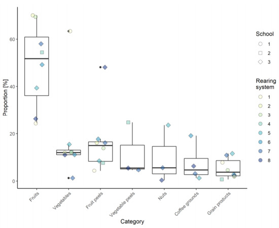
3. Results
3.1. Students Willingness to Fulfil Required Work Tasks
3.2. Students Attitude towards Insects
3.3. Teachers Feedback
4. Discussion
5. Conclusions
Supplementary Materials
Author Contributions
Funding
Acknowledgments
Conflicts of Interest
References
- Cerritos, R. Insects as food: An ecological, social and economical approach. CAB Rev. Perspect. Agric. Vet. Sci. Nutr. Nat. Resour. 2009, 4, 1–10. [Google Scholar] [CrossRef]
- Halloran, A.; Vantomme, P. The Contribution of Insects to Food Security, Livelihoods and the Environment; FAO: Rome, Italy; Available online: http://www.fao.org/forestry/edibleinsects/en/ (accessed on 1 March 2015).
- Looy, H.; Dunkel, F.V.; Wood, J.R. How then shall we eat? Insect-eating attitudes and sustainable foodways. Agric. Hum. Values 2014, 31, 131–141. [Google Scholar] [CrossRef]
- Van Huis, A.; Dicke, M.; Van Loon, J.J.A. Insects to feed the world. J. Insects Food Feed 2015, 1, 3–5. [Google Scholar] [CrossRef]
- Mancini, S.; Sogari, G.; Menozzi, D.; Nuvoloni, R.; Torracca, B.; Moruzzo, R.; Paci, G. Factors predicting the intention of eating an insect-based product. Foods 2019, 8, 270. [Google Scholar] [CrossRef]
- Megido, R.C.; Gierts, C.; Blecker, C.; Brostaux, Y.; Haubruge, É.; Alabi, T.; Francis, F. Consumer acceptance of insect-based alternative meat products in Western countries. Food Qual. Prefer. 2016, 52, 237–243. [Google Scholar] [CrossRef]
- Tan, H.S.G.; House, J. Consumer acceptance of insects as food: Integrating psychological and socio-cultural perspectives. In Edible Insects in Sustainable Food Systems; Springer International Publishing: Berlin, Germany, 2018; pp. 375–386. [Google Scholar]
- House, J. Consumer acceptance of insect-based foods in the Netherlands: Academic and commercial implications. Appetite 2016, 107, 47–58. [Google Scholar] [CrossRef]
- Dobermann, D.; Swift, J.A.; Field, L.M. Opportunities and hurdles of edible insects for food and feed. Nutr. Bull. 2017, 42, 293–308. [Google Scholar] [CrossRef]
- Verbeke, W.; Spranghers, T.; De Clercq, P.; De Smet, S.; Sas, B.; Eeckhout, M. Insects in animal feed: Acceptance and its determinants among farmers, agriculture sector stakeholders and citizens. Anim. Feed Sci. Technol. 2015, 204, 72–87. [Google Scholar] [CrossRef]
- Proteinsect. PROteINSECT—Enabling the Exploitation of Insects as a Sustainable Source of Protein for Animal Feed and Human Nutrition. Available online: http://www.proteinsect.eu/ (accessed on 1 March 2015).
- Nguyen, T.T.X.; Tomberlin, J.K.; Vanlaerhoven, S. Ability of black soldier fly (Diptera: Stratiomyidae) larvae to recycle food waste. Environ. Entomol. 2015, 44, 406–410. [Google Scholar] [CrossRef]
- May, B.M. The occurrence in New Zealand and the life-history of the soldier fly Hermetia illucens (L.)(Diptera: Stratiomyidae). N. Z. J. Sci. 1961, 4, 55–65. [Google Scholar]
- Marshall, S.A.; Woodley, N.E.; Hauser, M. The historical spread of the Black Soldier Fly, Hermetia illucens (L.)(Diptera, Stratiomyidae, Hermetiinae), and its establishment in Canada. J. Entomol. Soc. Ont. 2015, 146, 51–54. [Google Scholar]
- Sheppard, D.C.; Newton, G.L.; Thompson, S.A.; Savage, S. A value added manure management system using the black soldier fly. Bioresour. Technol. 1994, 50, 275–279. [Google Scholar] [CrossRef]
- Sheppard, D.C.; Tomberlin, J.K.; Joyce, J.A.; Kiser, B.C.; Sumner, S.M. Rearing methods for the black soldier fly (Diptera: Stratiomyidae). J. Med. Entomol. 2002, 39, 695–698. [Google Scholar] [CrossRef] [PubMed]
- Tomberlin, J.K.; Adler, P.H.; Myers, H.M. Development of the black soldier fly (Diptera: Stratiomyidae) in relation to temperature. Environ. Entomol. 2009, 38, 930–934. [Google Scholar] [CrossRef] [PubMed]
- Holmes, L.A.; Vanlaerhoven, S.L.; Tomberlin, J.K. Relative humidity effects on the life history of Hermetia illucens (Diptera: Stratiomyidae). Environ. Entomol. 2012, 41, 971–978. [Google Scholar] [CrossRef]
- Diener, S.; Zurbrügg, C.; Tockner, K. Conversion of organic material by black soldier fly larvae: Establishing optimal feeding rates. Waste Manag. Res. 2009, 27, 603–610. [Google Scholar] [CrossRef]
- Gobbi, P.; Martinez-Sanchez, A.; Rojo, S. The effects of larval diet on adult life-history traits of the black soldier fly, Hermetia illucens (Diptera: Stratiomyidae). Eur. J. Entomol. 2013, 110, 461. [Google Scholar] [CrossRef]
- Tomberlin, J.K.; Sheppard, D.C. Factors influencing mating and oviposition of black soldier flies (Diptera: Stratiomyidae) in a colony. J. Entomol. Sci. 2002, 37, 345–352. [Google Scholar] [CrossRef]
- Barragan-Fonseca, K.B.; Dicke, M.; Van Loon, J.J.A. Nutritional value of the black soldier fly (Hermetia illucens L.) and its suitability as animal feed—A review. J. Insects Food Feed 2017, 3, 105–120. [Google Scholar] [CrossRef]
- Zhu, F.-X.; Wang, W.-P.; Hong, C.-L.; Feng, M.-G.; Xue, Z.-Y.; Chen, X.-Y.; Yao, Y.-L.; Yu, M. Rapid production of maggots as feed supplement and organic fertilizer by the two-stage composting of pig manure. Bioresour. Technol. 2012, 116, 485–491. [Google Scholar] [CrossRef]
- St-Hilaire, S.; Cranfill, K.; McGuire, M.A.; Mosley, E.E.; Tomberlin, J.K.; Newton, L.; Sealey, W.; Sheppard, C.; Irving, S. Fish offal recycling by the black soldier fly produces a foodstuff high in omega-3 fatty acids. J. World Aquac. Soc. 2007, 38, 309–313. [Google Scholar] [CrossRef]
- Klammsteiner, T.; Walter, A.; Bogataj, T.; Heussler, C.D.; Stres, B.; Steiner, F.M.; Schlick-Steiner, B.C.; Arthofer, W.; Insam, H. The core gut microbiome of Black Soldier Fly (Hermetia illucens) larvae raised on low-bioburden diets. Front. Microbiol. 2020, 11, 993. [Google Scholar] [CrossRef] [PubMed]
- Hem, S.; Toure, S.; Sagbla, C.; Legendre, M. Bioconversion of palm kernel meal for aquaculture: Experiences from the forest region (Republic of Guinea). Afr. J. Biotechnol. 2008, 7, 1192–1198. [Google Scholar]
- Kováčik, P.; Kozánek, M.; Taká, P.; Galliková, M.; Varga, L. The effect of pig manure fermented by larvae of house flies on the yield parameters of sunflowers (Helianthus annus L.). Acta Univ. Agric. Silvic. Mendel. Brun. 2014, 58, 147–154. [Google Scholar]
- Choi, Y.-C.; Choi, J.-Y.; Kim, J.-G.; Kim, M.-S.; Kim, W.-T.; Park, K.-H.; Bae, S.-W.; Jeong, G.-S. Potential usage of food waste as a natural fertilizer after digestion by Hermetia illucens (Diptera: Stratiomyidae). Int. J. Indust. Entomol. 2009, 19, 171–174. [Google Scholar]
- Klammsteiner, T.; Turan, v.; Juárez, M.F.-D.; Oberegger, S.; Insam, H. Suitability of Black Soldier Fly Frass as Soil Amendment and Implication for Organic Waste Hygienization. Agronomy 2020, 10, 1578. [Google Scholar] [CrossRef]
- Dierenfeld, E.S.; King, J. Digestibility and mineral availability of Phoenix worms, Hermetia illucens, ingested by mountain chicken frogs, Leptodactylus fallax. J. Herpetol. Med. Surg. 2008, 18, 100–105. [Google Scholar] [CrossRef]
- Hale, O.M. Dried Hermetia illucens larvae (Diptera: Stratiomyidae) as a feed additive for poultry. Ga. Entomol. Soc. J. 1973, 8, 16–20. [Google Scholar]
- Newton, G.L.; Booram, C.V.; Barker, R.W.; Hale, O.M. Dried Hermetia illucens larvae meal as a supplement for swine. J. Anim. Sci. 1977, 44, 395–400. [Google Scholar] [CrossRef]
- Bondari, K.; Sheppard, D.C. Soldier fly larvae as feed in commercial fish production. Aquaculture 1981, 24, 103–109. [Google Scholar] [CrossRef]
- Newton, G.L.; Sheppard, D.C.; Watson, D.W.; Burtle, G.J.; Dove, C.R.; Tomberlin, J.K.; Thelen, E.E. The black soldier fly, Hermetia illucens, as a manure management/resource recovery tool. In Proceedings of the State of the Science, Animal Manure and Waste Management, San Antonio, TX, USA, 5–7 January 2005. [Google Scholar]
- Klammsteiner, T.; Walter, A.; Pan, H.; Gassner, M.; Heussler, C.D.; Schermer, M.; Insam, H. On Everyone’s lips: Insects for food and feed. In Proceedings of the 5th Austrian Citizen Science Conference 2019 (ACSC2019), Obergurgl, Austria, 26 June 2019; SISSA Medialab: Trieste, Italy, 2020; Volume 366, p. 006. [Google Scholar]
- Bradley, S.W.; Sheppard, D.C. House fly oviposition inhibition by larvae of Hermetia illucens, the black soldier fly. J. Chem. Ecol. 1984, 10, 853–859. [Google Scholar] [CrossRef] [PubMed]
- Sadler, T.D.; Burgin, S.; McKinney, L.; Ponjuan, L. Learning science through research apprenticeships: A critical review of the literature. J. Res. Sci. Teach. Off. J. Natl. Assoc. Res. Sci. Teach. 2010, 47, 235–256. [Google Scholar] [CrossRef]
- Heussler, C.D.; Walter, A.; Oberkofler, H.; Insam, H.; Arthofer, W.; Schlick-Steiner, B.C.; Steiner, F.M. Influence of three artificial light sources on oviposition and half-life of the Black Soldier Fly, Hermetia illucens (Diptera: Stratiomyidae): Improving small-scale indoor rearing. PLoS ONE 2018, 13, e0197896. [Google Scholar] [CrossRef] [PubMed]
- Chaiklin, H. Attitudes, behavior, and social practice. J. Soc. Soc. Welf. 2011, 38, 31. [Google Scholar]
- Matthews, R.W.; Flage, L.R.; Matthews, J.R. Insects as teaching tools in primary and secondary education. Annu. Rev. Entomol. 1997, 42, 269–289. [Google Scholar] [CrossRef]
- Golick, D.A.; Heng-Moss, T.M. Insects as educational tools: An online course teaching the use of insects as instructional tools. Am. Entomol. 2013, 59, 183–187. [Google Scholar] [CrossRef]
- Ernst, C.; Vinke, K.; Giberson, D.; Buddle, C.M. Insects in education: Creating tolerance for some of the world’s smallest citizens. Manag. Insects Recreat. Tour. 2013, 289–305. [Google Scholar]
- Cinici, A. From caterpillar to butterfly: A window for looking into students’ ideas about life cycle and life forms of insects. J. Biol. Educ. 2013, 47, 84–95. [Google Scholar] [CrossRef]
- Shepardson, D.P. Bugs, butterflies, and spiders: Children’s understandings about insects. Int. J. Sci. Educ. 2002, 24, 627–643. [Google Scholar] [CrossRef]
- Schlegel, J.; Breuer, G.; Rupf, R. Local insects as flagship species to promote nature conservation? A survey among primary school children on their attitudes toward invertebrates. Anthrozoös 2015, 28, 229–245. [Google Scholar]
- Breuer, G.B.; Schlegel, J.; Kauf, P.; Rupf, R. The Importance of Being Colorful and Able to Fly: Interpretation and implications of children’s statements on selected insects and other invertebrates. Int. J. Sci. Educ. 2015, 37, 2664–2687. [Google Scholar] [CrossRef]
- Brewer, C.A.; Smith, D. Vision and Change in Undergraduate Biology Education: A Call to Action; American Association for the Advancement of Science: Washington, DC, USA, 2011. [Google Scholar]
- Čičková, H.; Newton, G.L.; Lacy, R.C.; Kozánek, M. The use of fly larvae for organic waste treatment. Waste Manag. 2015, 35, 68–80. [Google Scholar] [CrossRef] [PubMed]
- Liu, Z.; Minor, M.; Morel, P.C.H.; Najar-Rodriguez, A.J. Bioconversion of three organic wastes by black soldier fly (Diptera: Stratiomyidae) larvae. Environ. Entomol. 2018, 47, 1609–1617. [Google Scholar] [CrossRef] [PubMed]




Publisher’s Note: MDPI stays neutral with regard to jurisdictional claims in published maps and institutional affiliations. |
© 2020 by the authors. Licensee MDPI, Basel, Switzerland. This article is an open access article distributed under the terms and conditions of the Creative Commons Attribution (CC BY) license (http://creativecommons.org/licenses/by/4.0/).
Share and Cite
Walter, A.; Klammsteiner, T.; Gassner, M.; Heussler, C.D.; Kapelari, S.; Schermer, M.; Insam, H. Black Soldier Fly School Workshops as Means to Promote Circular Economy and Environmental Awareness. Sustainability 2020, 12, 9574. https://doi.org/10.3390/su12229574
Walter A, Klammsteiner T, Gassner M, Heussler CD, Kapelari S, Schermer M, Insam H. Black Soldier Fly School Workshops as Means to Promote Circular Economy and Environmental Awareness. Sustainability. 2020; 12(22):9574. https://doi.org/10.3390/su12229574
Chicago/Turabian StyleWalter, Andreas, Thomas Klammsteiner, Magdalena Gassner, Carina Desirée Heussler, Suzanne Kapelari, Markus Schermer, and Heribert Insam. 2020. "Black Soldier Fly School Workshops as Means to Promote Circular Economy and Environmental Awareness" Sustainability 12, no. 22: 9574. https://doi.org/10.3390/su12229574
APA StyleWalter, A., Klammsteiner, T., Gassner, M., Heussler, C. D., Kapelari, S., Schermer, M., & Insam, H. (2020). Black Soldier Fly School Workshops as Means to Promote Circular Economy and Environmental Awareness. Sustainability, 12(22), 9574. https://doi.org/10.3390/su12229574

