Next Article in Journal
Kindergarten Children’s Perception about the Ecological Roles of Living Organisms
Next Article in Special Issue
Gender Balance in Mars Exploration: Lessons Learned from the Mars Science Laboratory
Previous Article in Journal
Language that Supports Sustainable Development: How to Write about People in Universal Design Policy
Previous Article in Special Issue
Equity or Stereotypes in Science Education? Perspectives from Pre-University Students
 
 
Font Type:
Arial Georgia Verdana
Font Size:
Aa Aa Aa
Line Spacing:
Column Width:
Background:
Article

Is It Time for a Revolution in Work‒Life Balance? Reflections from Spain

by
Rocío Rodríguez-Rivero
1,*,
Susana Yáñez
1,
Celia Fernández-Aller
2 and
Ruth Carrasco-Gallego
1
1
Department of Organization Engineering, Business Administration and Statistics, ETSI Industriales, Universidad Politécnica de Madrid, 28006 Madrid, Spain
2
Department of IT Systems, ETSI Sistemas Informáticos, Universidad Politécnica de Madrid, 28031 Madrid, Spain
*
Author to whom correspondence should be addressed.
Sustainability 2020, 12(22), 9563; https://doi.org/10.3390/su12229563
Submission received: 17 October 2020 / Revised: 12 November 2020 / Accepted: 14 November 2020 / Published: 17 November 2020
(This article belongs to the Special Issue Gender Diversity in STEM Disciplines)

Abstract

The COVID-19 crisis has taken the world by surprise, and its effects are widening pre-existing inequalities such as socioeconomical, educational, and digital divides. The gender gap is no exception, and research shows that lockdowns are strongly impacting women, who, on the whole, are more vulnerable to the effects of a crisis. This study analyzes the impact of the COVID-19 lockdown in Spain on families, from a gender perspective. To this end, 663 participants related to the STEM (Science, Technology, Engineering, and Mathematics) fields were recruited to participate in the research through their connection with the Equality Office of the major technical university of Spain, Universidad Politécnica de Madrid, which offers most engineering and architecture degrees. The results indicate that the great myths of gender inequality are still alive in Spain, and that a crisis of this nature can perpetuate them. However, the crisis also presents an opportunity for change. Will the STEM careers be prepared to take advantage of this opportunity, or will this crisis end up perpetuating their markedly masculine character? Are we ready for a revolution? The COVID-19 crisis and its learnings about the importance of care can open the path to change.

1. Introduction

The COVID-19 pandemic has disrupted global society. It has reached all countries, but, like all crises, it does not affect everyone equally. There are countries with infrastructures that are better prepared to deal with emergencies of this type. Likewise, and as seen in other crises, the pandemic has not affected men and women equally [1,2]. In this paper, the focus is not on the differences in COVID-19 mortality between men and women, which other studies have pursued [3,4]. Instead, the focus is on how the crisis has affected, and will affect, the position and future opportunities of women in Spanish society in STEM (Science, Technology, Engineering, and Mathematics) fields.
Work‒family balance and gender equality were among the most urgent societal challenges before the COVID-19 pandemic [5], even getting a mention in the 2030 Agenda for Sustainable Development. Changes in family composition and organization have occurred due to the entry of women into the labor market. Although work‒family balance affects men and women, it still primarily concerns women [6]. The work‒life balance and gender issues before lockdown were not ideal regarding women’s right to remunerated, outside-of-the-home work. This paper seeks to study the effects of this crisis in the working life of Spanish women in the STEM sector.
The paper considers a human rights-based approach to be complementary to a gender approach [7]. A comparison of women’s rights before and during the COVID-19 pandemic enables several conclusions to be drawn about the impact that COVID-19, and lockdown in particular, has had on women in Spain. This impact has been analyzed mainly through the distribution of time devoted to unpaid care work and the perception of work‒life balance during the lockdown.
In a gender analysis, the two main concerns are: (a) different levels of participation of men and women at home, in the economy, and in society; and (b) patterns of unequally distributed opportunities and power.
One main concern of feminism has been a woman’s position and the different demands on men and women’s time. This has not been equitable over history, as women have been disproportionately in charge of the household and childcare [8,9,10]. It is one of the factors that has prevented women from receiving promotions in their professions, and it has made it difficult for women to achieve power in the public sphere. This constitutes a violation of human rights, so this factor is at the heart of feminist concerns [11].
What this paper makes clear is that this problem persists today. Almost nothing has changed. An analysis of the results of this research has revealed that the distribution of the demands on the time of men and women is unfair to women. It leaves women in the difficult situation of having to cope with work and family duties at the same time. The lockdown has worsened women’s positions in this regard. On the one hand, most institutional resources supporting the balance of family and work, such as daycare and schools, have been temporarily unavailable. Residences for the elderly deserve a special mention here for the dramatic situation seen in some of them. In addition, most of the informal networks supporting work‒life balance, such as grandparents and other relatives, have not been able to provide support, as they represent an at-risk population themselves. Employees cannot attend their workplaces due to mobility restrictions or health situations. Families have been confronted with full care- and workloads, but with fewer resources available than ever before. In addition, the lockdown has brought about an increase in care workloads in households, as staying at home means more cleaning, cooking, and so on. “School from Home” has heavily relied on the (unpaid care) work of families to match the pace of pre-COVID-19 academic programs.
This article is organized as follows. The first section covers a literature review about the work‒life balance problem and the effects of major historical crises on women that have been similar to the current COVID-19 crisis. It considers the problem in the Spanish context. The section on methodology describes the distribution of a questionnaire and the characteristics of the sample of respondents, as well as the quantitative and qualitative techniques used for the analysis. The next section contains the results and a discussion of them. This includes confirmation that some traditional problems of family duties and women’s positions have become more important today. Finally, the conclusions section presents the study’s main questions, as well as suggestions on how to ensure that the current crisis will provide new opportunities and end the subservient role of women in working life.

1.1. Work‒Life Balance and Gender in Spain

Work‒family balance is defined as “an inter-role phenomenon” [12]. This means that individuals play different roles in their lives (a work role and a family role, in this case). They need to find an equilibrium in terms of the commitment, time, and energy necessary to work and care for family members and household chores [6], or in terms of time, satisfaction, and involvement in different life roles [13].
Although work‒family balance can be a problem for men and women who have a paid job, family, and different stressors they must face, it is still mainly a concern for women [6].
Equilibrium is found when the individual develops each role with the same level of attention, time, involvement, commitment, or satisfaction as with his or her work and family roles [13].
The prevailing research related to work‒family balance has considered a conflict perspective based on the scarcity hypothesis. This contends that people have limited time and energy and must choose the roles in which they will spend their time and energy, thereby causing conflict, stress, and diminution of their well-being [14]. However, there is another perspective in which work and family are not enemies, but allies. That is the enrichment perspective, and positive effects have been discovered by combining work and family roles [15].
The entry of women into the workforce has provoked changes in family composition and organization. The balance between work and family is one of society’s most pressing challenges [5]. Work‒family balance issues have gained increasing attention from scholars, at least in the literature dedicated to women’s entrepreneurship [6].

1.2. The Spanish Context

The inclusion of women in the labor market benefits for all of society. It causes changes in the family structure, but also in the labor structure of organizations, bringing about benefits such as innovation. According to Botella et al. [16], teams with a balanced composition of men and women have “increased creativity, the chance to experiment, the sharing of knowledge, and task fulfillment.”
In Spain, the percentage of women in the workforce has been growing. Women represented 34.3% of the workforce in 1990 and 53.1% in 2018 [17]. At the same time, the fertility rate has remained low. According to the World Bank, there were 1.36 births per woman in Spain in 1990 and 1.31 in 2018 [18].
Although there have been changes in society, inequality in the division of family work has been corroborated [6] and persists. Although the breadwinner model in which a man earns money is disappearing generally, it remains present in Spain. In fact, 57% of families in 2008 followed a male breadwinner model or a modified version of it [19]. According to Legazpe and Davia, Spanish women have improved in terms of their educational achievements and workforce participation in recent decades, but the traditional model of the distribution of domestic tasks still prevails and hinders the participation of women in the workforce [20].
Sevilla-Sanz et al. [21] examined the role of the “doing gender” hypothesis versus traditional models of the household to explain how a woman’s share of home labor varies with their relative earnings. The findings, using the 2002–2003 Spanish Time Use Survey (STUS) [22], support the doing gender hypothesis in regards to housework. The study found that a woman’s relative share of housework decreases when her earnings exceed those of her husband’s. In contrast, a woman’s share of childcare time remains constant regardless of her spouse’s share of the family’s earnings. This is not consistent with traditional theories of household work, or with the doing gender hypothesis. Nevertheless, it can be interpreted, in light of social norms, as suggesting that women specialize in this type of caring activity, regardless of their relative productivity or bargaining power.
Nowadays in Spain, “fathers tend to get more involved in childcare, but particularly in dual-earner couples, mothers devote more time to children” [20]. Although the wages earned by each member of the couple alter the power of negotiation, decisions about the distribution of household tasks and childcare depend on other factors such as the social context, social norms, ethical principles, patriarchal and gender-biased relationships and institutions, regulations, laws, and policies [20]. In Spain, household chores and childcare have traditionally been the responsibility of women. According to the Organization for Economic Co-operation and Development (OECD) database (Table 1) [17], women spend more time than men on unpaid work. Time spent on unpaid work includes routine housework, shopping, care for household members, childcare, adult care, care for non-household members, volunteering, travel related to household activities, and other unpaid activities.
The time spent on unpaid work hinders a woman’s participation in the workforce [6,20]. According to the OECD, “compared to men, women are less likely to work full-time, more likely to be employed in lower-paid occupations and less likely to progress in their careers” [17].
One explanation could be that, when there is a conflict between a woman’s roles as an employee and a member of a family, her commitment to her family is inflexible and usually independent of her work sphere. In contrast, men adjust their role in one sphere to compensate for the other more easily than women do [6].
Moreover, some factors complicate this scenario further, especially in Spanish families, including the following (which have been identified by Philips): (i) Spain’s workforce faces long workdays, and although work begins early and ends late, there are usually significant pauses for lunch; (ii) it is nearly impossible to find daycare centers for such long hours; and (iii) there are typically few part-time jobs in Spain [23].
Some other interesting figures that are related to these issues in Spain that the OECD [17] has made available are: (i) 21.6% of women and 6.2% of men were employed in part-time work in 2018; (ii) 27.7% of women and 26% of men were engaged in temporary employment in 2018 (temporary employees are those with a temporary or fixed-term job contract); and (iii) the gender wage gap, which is defined as the difference between male and female median wages divided by the male median wage, was 11.5% in 2014.
The literature includes an analysis of changes in family and gender roles in Spain within the process of individualization in Europe [24]. That study evaluated the extent to which institutional factors (family policies) and individual factors interact in the development of cultural models that depict the differences in family and labor strategies that citizens have adopted. To determine to what extent a transitional process is becoming an egalitarian family model, sociodemographic factors that explain the preference groups of labor and family lifestyle were analyzed in two countries with very different approaches to the balance between labor and family, Spain and Finland. Individual factors linked to population segments identified with an egalitarian approach to family roles and a traditional model of the family were clarified for these two countries. The research highlighted different variables that can explain the differences between family lifestyles in these two countries. In Spain, these included education and marital status, while in Finland age was found to be the variable that best explained the difference in the desired role for a female [24].
One of the barriers to achieving real equality in employment is the difference in unpaid working time (care for the household, family, and dependents). European women devote 26 hours per week to this, while this figure is only nine hours for men [25].
Botella et al. [16] have identified the technological sector as male-dominated and determined that work–life conflict is one of the factors preventing women from progressing in the information, communications, and technology (ITC) sector. This sector needs graduates in science, technology, engineering, and mathematics, but there are low rates of female enrollment in STEM disciplines: only 35% of higher-education STEM students are women [26]. The global figures are similar to those in Spain, as Table 2 shows.
The low number of female graduates in STEM disciplines is one of the main problems that needs to be addressed to close the gender gap in the technology sector [28]. Moreover, according to Botella et al. [16], the drop-out rate for women is enormous, not only during studies but also during the transition to the job market and during their STEM career. In addition to flexible work schedules, more inspiring female role models and support (for example, mentoring) during a professional career that will probably develop within a masculinized environment are needed.

1.3. Women, Employment, and Crisis

To discover the effects of the COVID-19 pandemic in this context, it is useful to look back at what occurred during other major crises, such as the financial crisis of 2008. The impact of these crises can be seen from the perspective of employment, and Ruberry and Fafferty [2] made three critical observations on women’s employment:
First, on the demand side, women are seen as a flexible labor supply. They occupy buffer positions that can be readjusted in line with demand. Hence, they hold more temporary or part-time jobs, which are easier to rearrange if the demand decreases. Also, this type of employment may be excluded from career ladders [2], a fact corroborated by a statistical study by Elliott and Stead [29] that revealed gender inequality persists at senior organizational levels. There have only been minimal improvements in women’s representation on the boards of directors of Financial Times Stock Exchange (FTSE) 100 companies.
Second, as regards their commitment to work, women may act as a flexible labor reserve that tends toward inactivity during periods of low economic demand. Távora and Rodríguez-Modroño [7] examined the financial crisis in 2008 in Spain and Portugal and its effect on the incorporation of women of lower educational levels into the labor market in situations where a spouse was fired or had their working hours reduced, leaving the household without adequate support. On the other hand, women are more likely to retreat into inactivity at times of low economic demand [2]. According to these authors, the good news is that women’s opinions are changing, and the share of women today who would prefer a full-time, permanent job is increasing. Women are thus more reluctant to serve as a flexible or contingency labor force.
Third, the state and its employment policies have the potential to change the public framework to promote women’s employment. In studying the economic crisis of 2008, these authors discovered that some sectors protect women more than others. For example, Public Administration is a pioneer sector in the implementation of work‒life balance policies. It employs more women on average than do other sectors because its types of jobs provide flexibility and thus guarantee both the right to work and care for the family. However, when these sectors are affected by a recession, women are the ones who are most affected.
The effect of a crisis on employment not only has economic implications, but also social implications, as discussed below.

1.4. The Social Effects of the COVID-19 Pandemic

Spain has been in a critical position since the COVID-19 crisis began, and there is real danger of arriving at a point of no return from which all progress that has been achieved in terms of gender issues would be lost. As the United Nations has stated, “With the spread of the COVID-19 pandemic, even the limited gains made in the past decades are at risk of being rolled back. The pandemic is deepening pre-existing inequalities, exposing vulnerabilities in social, political and economic systems. This, in turn, amplifies the impact of the pandemic” [30].
The Women’s Institute of Spain [31] has published some unsettling information. Unpaid care work has increased as children are out of school, older people have heightened care needs, and health services are overwhelmed. As the COVID-19 pandemic deepens, economic and social stresses, along with restricted movement and social isolation measures, are causing gender-based violence to increase exponentially. All these impacts are further amplified in contexts of fragility, conflict, and emergency, where social cohesion is already undermined, and institutional capacities and services are limited.
According to the United Nations, the unpaid care economy is a mainstay of the COVID-19 response. There are significant disparities in the gender distribution of unpaid care work. Prior to the COVID-19 pandemic, the amount of time women devoted to unpaid care and domestic work was three times that of men. “This unseen economy has a real impact on the formal economy and women’s lives” [30].
There has been a weakening of the two structural political coordinates that have supported women’s progress, namely, public jobs and public services. These are essential for the integration of women into the labor market and are clearly in decline and have been subordinated to objectives of fiscal consolidation. There has been a structural reduction in the size of the public sector and the provision of essential public services in education, health, and social services, which are all essential to women’s participation in the workforce.
Today, many measures have been designed to address issues of gender inequality in organizational contexts. These have focused mainly on women as beneficiaries, and are based primarily on the paradigm of a work‒family conflict. The reality of a double burden for women as a result of their involvement in both spheres in their daily lives seems inevitable. However, the limited use of gender-focused organizational policies to help resolve this conflict is questionable. Policy measures not only address certain realities, but also create the facts that they aim to address. For example, policy documents create the reality of work‒family conflict by positioning such a conflict as the last issue that needs to be resolved by specific measures [32,33]. The paradigm of work‒family conflict, although valuable, needs adjustment, because it is often detached from women’s lived experiences and does not operate with a multidimensional perspective on gender.

2. Materials and Methods

2.1. Design and Procedure

A questionnaire was used as the primary research tool in this study. Since the researcher was not present during testing, it was necessary to design and confirm the accuracy of the questionnaire. The questionnaire was provided to a group of 10 people to determine their understanding of the questions. As a result of their feedback, more questions were included, such as each participant’s number of dependents outside of their household. The questionnaire was originally designed for a female audience working in STEM disciplines, but after receiving the feedback, it was made available to both men and women, and we even asked that it be completed by both members of a couple (in cases of participants living with a partner), in order to reveal any differences in point of view between the sexes.
The questionnaire consisted of three main sections (see Appendix A). The first section sought to determine characteristics, both personal and professional, of the respondent and his/her partner (if any). This involved 16 closed questions. The second section sought to learn the respondent’s perception of the hours that he or she devotes to work and to care. In addition, respondents were asked to indicate their agreement or disagreement with 10 statements concerning themselves and their partner (if any), always seeking to compare the respondent’s responses with their partner’s, if applicable. The level of agreement was measured by an extended Likert scale (from 1 to 7). The last section consisted of a final open-ended, voluntary question that asked the respondent’s opinion of their experience of confinement during lockdown.
Most statements to be evaluated by the Likert scale were inspired by recently expressed opinions, some of which emerged during this crisis. A summary appears in Table 3.
The questionnaire was distributed by the Equality Office of the Universidad Politécnica de Madrid, a technical university. This office was created in 2009 to comply with Organic Law 3/2007 [39], for the effective equality of women and men, as well as Organic Law 4/2007 [40], amending the Organic Law on Universities. The main objective of this office is to promote gender equality policies within the university.
In the text that was provided to them, respondents were asked to complete the questionnaire and, if they had a partner, to share it with him/her, to obtain as many answers and different points of view as possible. Although the target population was couples with children, the questionnaire was also open to those without a partner and/or children.

2.2. Participants

Of the approximately 4500 people who work at the Universidad Politécnica de Madrid, about 500 subscribe to the newsletter of the Equality Office, through which the survey was disseminated. Those who filled out the survey were asked to share it with their partner, if they had one. Thus, although it is difficult to determine the number of people who received the survey, the number of respondents was considered adequate for analysis. The total number of respondents was 663, of whom 64.3% were women. This is remarkable for a technological university where no more than 30% of staff are women. It is assumed that this is a highly important issue for women, which is why they wanted to participate while also sharing it with women they knew outside the university. The ages of the respondents fell into three different clusters of similar sizes. Most reported ages were between 30 and 60 years, accounting for 90.6% of responses. This sample fits the target audience of the research, which was people of working age, preferably living with a partner and dependents during the COVID-19 pandemic.
In regard to the maximum level of education that the respondents attained, 86.7% had university degrees. Of these, 64.4% were women (see Figure 1). This is the same percentage as the study, which corroborates the results of previous studies on women’s higher education in Spain that found female graduates to represent 53.7% of all university graduates, a figure that has been stable in recent years [41]. Also noteworthy is the high number of participants engaged in doctoral studies (27.75%), a much higher percentage than the national average of 10.8%, according to 2019 data from the Spanish National Statistical Institute (INE, for its initials in Spanish) [42]. Again, this is due to how respondents were recruited.
Of the professional sectors in which the respondents worked, education and research stand out. These accounted for almost half of the responses (48.6%), which can be explained by the academic environment in which the research was conducted. Among the remaining sectors, the engineering and construction sector led with 14.6% of responses, related to their connection to a technical university. Table 4 provides the genders, ages, and sector information of respondents.
With regard to the marital status of the respondents within the household, the vast majority of respondents (84.2%) had a partner of the opposite sex, with 14.6% being single (single, single-parent, widowed/widower, or divorced). Same-sex couples were a minority in this study (1.2%). The percentages of men or women in one or the other situation (a male couple or a female couple) were proportionate—around one-third of the sample in the case of men. For further details, see Table 5.
Finally, the number of dependents in the care of respondents was analyzed. Table 6 shows these results. More than half of the respondents (55.35%) had at least one child under 14 in their care. Only about a quarter of the sample (27.60%) had at least one child over 14 in their care at home. Respondents who had a dependent child with special needs (2.26%) or an older-age dependent (4.83%) were few. However, when asked about persons outside the home who were in need of care during lockdown, the number rose to more than a quarter of the sample (27.45%) with at least one dependent family member outside of the home.
With regard to the latter figures from Table 6, it should be specified that 5.73% of respondents reported living in a single-parent home, with 73.68% of them headed by a woman. These data from the study are in line with the data on the Spanish population that INE provided. It puts the number of single-parent households at 8.27%, with 81% of them headed by a woman [17].

2.3. Methods

The analysis of the responses in the two first sections was done quantitatively with the assistance of IBM SPSS software. The last section, with the open-ended question, was analyzed qualitatively, extracting the responses that occurred most frequently.
For the quantitative analysis, the sample was initially studied using a descriptive statistic to compare the relationship between the level of education and salary by gender. Then, a correlation analysis and analysis of variance (ANOVA) were undertaken. In addition, factorial models were used to discover relationships and behaviors among the variables, grouping by gender.
The qualitative analysis was systematically conducted according to content analysis [43], an extended method in social sciences [44,45]. Content analysis is a technique that is used to analyze the content of a text. The most important aspect in employing this technique is the coding of the text in various groups or categories. In this case, the codes were established after reading open-ended responses and their subsequent discussions and consensuses by the four authors. The final groups were eight in number: (i) teleworking means flexibility, (ii) lockdown is not real teleworking, (iii) lockdown means stress, (iv) working conditions are inappropriate, (v) parents as professors, (vi) demanding organizations, (vii) women as a full-time caretaker, and (viii) on-site professions.

3. Results

3.1. About the Participants: Proven Myths

Analysis of the sample using descriptive statistics confirmed that some classic gender problems persist in Spanish society today. A simple analysis of the sample showed that the wage gap between men and women continues, and that the difference in mean gross annual salary between women (2.30) and men (2.48) is statistically significant, with a confidence interval of 95%.
These differences appeared for all ages (Figure 2) and in almost all labor sectors (Figure 3) regardless of educational background (Figure 4), with some exceptions. For these three figures, the gross annual salary arithmetic means were grouped in ranges: (1) less than €20,000, (2) between €20,000 and €40,000, and (3) between €40,000 and €60,000.
When looking at the age data (Figure 2), it can be seen that, in the case of women, wages peak in their 30s, while for men wages peak at 40 years of age. This provides men with better positioning for 10 more years. The analysis of the data using SPSS by a univariate linear model with the dependent variable fixed as the salary level and fixed factors for gender and age showed no interaction between the gender and age groups. This means that gender influenced salary at all ages with a confidence level of 95%.
Regarding the labor sectors, exceptions could be identified in the cultural/sports and engineering/construction sectors.
As for the educational background, women had an average annual salary that was higher (by 1.1 percentage points) than that of men only in the case of maximum educational level (doctorate). The opposite was true at lower levels of education: the average wage of women was much lower than that of men (by 7.5 points). The majority of those who had earned doctorates worked in public administration (83%), where the salary ranges are very well defined and reaching them depends only on academic merit and the number of years worked. This explains why the salary levels may have been very similar (and even higher for women) in public administration, in that women have more opportunities and are less frequently hindered in their ascent by the decisions of direct superiors.
In this case, conducting the analysis again with a univariate linear model revealed that there was no relationship between gender and educational level. That is, for both sexes, educational level affected wage level with a 95% confidence level. After segmenting the sample by sex and comparing the t-tests for independent samples, it was discovered that the difference between the gender averages was significant only for the level of professional training to the detriment of women, who received a lower salary than men. In the case of the basic study sample, the results were the same. However, because there were only five people, the results were not statistically significant.

3.2. Time Spent on Household Chores and Care

Work‒family conflict arises when people are engaged in both paid labor and domestic work. The most remarkable finding here, with almost half of the respondents in the sample reporting to be teleworking at home during lockdown (47.6%), is the different perceptions of time spent caring for the home and family by men and women currently living together. In this regard, Table 7 shows that women perceived that they spent more than 35% of their available (nonworking) time on care before lockdown, but that this increased to more than 50% after they began working from home. Both figures exceeded the time that their partners spent on care. Men, on the other hand, perceived that both they and their partners spent less than 20% of their nonworking time before lockdown on care, increasing it in both cases to less than 35%, but with the man spending more time on care than his partner.
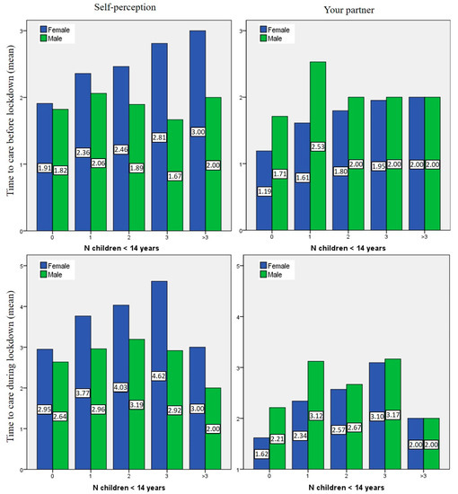
Further analysis of couples with children under 14 (see Figure 5) confirms what is indicated in Table 7 and also provides some interesting details. For instance, although there is a tendency for women to increase the time spent at home as the number of children increases, this is not the case for men. (In Figure 5 and Figure 6, it is necessary to clarify that in the partner column, women are assessing men and vice versa.)
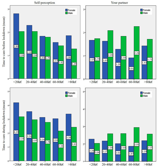
Something very similar can be seen in Figure 6, where the same comparison is made but in consideration of salary level. In this case, we assume that salary can be equated with the level of work responsibility. Although this seems contrary to what happened with the number of children, there is a tendency to reduce the hours devoted to care as the salary level increases. This occurs with both sexes, but is more marked in the case of women. The exceptions are those with the highest salaries. This may simply have been due to the small number of people at that level (barely 4.2%). As revealed in the previous analysis, both sexes perceived that their partner to do less work than they do at home.

3.3. Perception of the Work‒Life Balance during Lockdown

The perception of the work‒life balance was evaluated by means of an analysis of responses concerning the degree of agreement with the 10 statements that the extended Likert scale (1–7) measured. Following an initial descriptive analysis, it was noted (see Table 8) that the highest average (around 5 out of 7) was the perception that the organization had facilitated the work‒life balance during the lockdown, as well as the desire to telework in the post-lockdown future. The remaining means are close to the midpoint.
After the descriptive analysis, an ANOVA was made for each of the 10 variables of interest. These variables are represented in this case by the statements with which the respondents agreed or disagreed. In this case, gender was the grouping variable or factor. To conduct this analysis, it was assumed that the population averages were equal. Once it had been shown that the Levene test was fulfilled, the intraclass significance level of the F statistic was evaluated. If this was less than or equal to 0.05, the hypothesis of equality of means was rejected, and it could be said that there were significant differences between the groups (men and women, in this case).
This analysis also considered whether the significance level, if less than 0.01, was based on the results. It is here that there were considerable differences between averages. An example of this is for the statement “I feel like my partner is carrying the burden of household and caretaking”, where men left the primary responsibility of household chores to their partners. This contrasts with the results for the perception of time that was devoted to care. However, it confirms that, in addition to the time given, there was a mental organizational burden involved in providing care. At the same line, a significant difference was seen for the statement “I’ve experienced more arguments with my partner due to the sharing of tasks and care”, which received higher scores from women. Both scores are in line with the results obtained for “My partner has kept his/her work schedule unchanged”, where women indicated again that, although they had adapted their plans, their partners had not been as flexible, which led to more arguments and an imbalance in burden-sharing. This is also consistent with “I have substantially changed my work schedule to make it compatible with housework and care”, which was also significant, but with a smaller confidence interval.
On the other hand, it must be noted that there were no significant differences between men and women for the statement “My work requires more attention than my partner’s”. Although the salaries of women were lower than those of men, they perceived their work to be meaningful, and also agreed that “My company/organization facilitates work‒life balance during lockdown”. The latter belief means that the model of the man as the breadwinner may be disappearing in the organizational culture and is being replaced by opportunities for care that are more equal in nature.
Also significant was the fact that women were “more afraid of losing their jobs as a result of this crisis”. In fact, in this study, 6.3% of respondents had already lost their jobs due to the crisis, although 71.4% of these respondents who lost their jobs had permanent contracts. 73.3% of them were women.

3.4. Will the Future be Open to Teleworking?

A striking result of this study is that, despite the particular circumstances of teleworking with children at home and no possible outside help, both men and women reported wanting to continue teleworking after the crisis.
Before the COVID-19 crisis, Spain adhered to the European average for teleworking, with 4% of people working from home every day, and 6% if teleworking once a week is included [34]. These numbers are far from those for countries such as Denmark or the Netherlands. In any case, the figures for Spain have increased dramatically. In this study, 79.03% of the people surveyed were teleworking. This figure is also consistent with the fact that 86.88% of those surveyed had university degrees, given that there was a strong relationship between access to teleworking and better-paid professions. Of those who teleworked, 62.4% were women, a figure that is similar to their percentage of the sample.
Figure 7 shows that, regardless of the mode of work during the lockdown, the time that women devoted to the care of home and children was higher than that given by men. The only exception is when the work was on-site. Then, the time devoted to care was more similar, or even greater for men. However, it was a tiny subsample (9.5%). In any case, no difference was statistically significant on this occasion. It should be noted that Figure 7 includes the Record of Temporary Employment Regulation (RTER), an extraordinary measure taken during the COVID-19 pandemic.

3.5. Qualitative Analysis of the Experience of Lockdown

Qualitative analysis by content analysis techniques has made it possible to group the 164 open-ended responses into eight large blocks. Table 9 presents these blocks with the number of times that a particular response was repeated, and some examples.
These blocks allow a person to identify important ideas, which include the fact that, although teleworking is highly valued because it offers flexibility and self-management in times of confinement, it is not ideal since children are at home and demand attention, while outside the home an extraordinary and very emotional situation is unfolding.
The recent experience in Spain has shown that supervising children’s studies has been one of the most challenging responsibilities for people working from home. Also, a group of respondents had suffered stress because of the lockdown and the death of relatives.
Organizations have had to manage quickly to maintain activity during lockdown. As a result, working conditions have not been the best. Organizations have been very demanding during lockdown, causing employees to feel stress. In most cases, companies are trying to maximize profits with minimal resources. An agreement between a company and an employee should have been reached. In looking to the future, respondents believed that alternating teleworking with face-to-face work would be the best solution for their work‒life balance and could help to address other problems in large cities, such as pollution.
On the role of women, it was thought that women traditionally devote more time to childcare and household tasks. An analysis of the responses in this section found that the percentage of women who found there to be difficulties teleworking under COVID-19 pandemic circumstances (82.2%) or had suffered stress (75.86%) was higher. So, it can be said that this crisis has affected women more than men. However, the problem of assuming the role of teacher as an additional task affected both parents (65% of women and 35% of men) proportionally to the gender composition in the sample.

4. Discussion

This study proves that some of the great problems surrounding gender persist today in Spanish society. There is still a salary gap between men and women at practically all levels, but it is more important the lower level of education. These results support those of Távora and Rodríguez-Modroño [19], who showed that women with lower levels of education are the most vulnerable to discrimination.
Another persisting problem is that of the time dedicated to household chores, which was perceived to be more important to the women in this study, confirming what other studies had already pointed out: that women play a double role [36,46], and that this has been exacerbated during the COVID-19 crisis [34]. However, perhaps one of the most interesting results of this research is the different perceptions of men and women regarding time spent on care, as the problem of workload in the home is shown to represent a difference in perception, with the man perceiving that while his partner traditionally spends more time on care, both spend an equal amount of time on care during confinement. However, women noted that, both before and during lockdown, they spent more time on care at home than their partners did. These differences in perception may be due to what is known as mental workload [36,47]. This is associated mainly with women, who, even when they are not performing care tasks, are often thinking about them.
This study has also shown that the higher the income, the less time is spent on care. These results are consistent with those of previous studies, such as that of Sevilla-Sanz et al. [21], which established 10 years ago that the amount of time women devote to the home decreases with their relative income.
The difference in workload was reflected in the Likert analysis, in which men recognized that a greater burden of the household and care was falling to women. This confirmed that, in addition to the actual time spent, the mental burden, which results in more stress and a greater frequency of arguments, must be considered. These reflections support what other studies had already concluded (e.g., [36]), that this burden leads to higher stress, which can generate episodes of emotional crisis and depression among women. In addition, according to the results, women are more concerned about losing their jobs. Again, this fits with the pressure that women face and their occupational vulnerability, which has been highlighted in previous studies [2,19].
One of the problems that makes women more vulnerable in a crisis is that they are seen as an additional and flexible labor force, whose services can more easily be dispensed with. This not only places women outside the core workforce, but also forces them into lower-quality jobs [48].
This research seems to depict a time warp in that the results are very similar to those that have obtained in previous decades [2,20,47,48]. Technology advances very quickly and has allowed for teleworking, while society seems to be progressing more slowly. Gender equality has achieved great success in the first decades of the 21st century in Spain. Its achievements include a law for the equality of women and men [39] and extensions of paternity leave. Nevertheless, results at the professional level and in the domestic sphere have been barely noticeable, as this study shows.

5. Conclusions

From the results of this study, it is possible to conclude that the COVID-19 pandemic has deepened the gender gap in general, and the ICT gender gap in particular (as the sample was composed of STEM students and professionals). Improvements in the participation of men and women in the daily tasks at home, during teleworking, would be desirable. When considering the question of why women are underrepresented in technology, a survey from Isaca.org [49] found that there was a lack of balance between work and personal life (14%). This is one of the factors that must be considered when trying to reduce the ICT gender gap. Similar conclusions can be drawn from other studies [50].
Every crisis brings opportunities, but in this case, for whom? History has taught us that significant crises have impacted women and their working conditions more severely than men [19,29]. Moreover, women are not sufficiently represented in decision-making at present, and the narratives used to address the pandemic are mainly masculine (e.g., the world is at war, it is necessary to defeat the virus, etc.). The lack of feminine leadership is a global problem that requires work by administrations at an international level, as it affects not only Spain, but also most countries.
Perhaps this crisis can provide an opportunity for women by revaluing the sectors that are devoted to caring, which have been proven to be indispensable and are largely feminized. However, while teleworking has many advantages, it also limits social interaction. Women began to enter the workforce 150 years ago during the Industrial Revolution. The COVID-19 pandemic has brought women back home, and teleworking may perpetuate that situation. This could become a spiral in that girls who see their mothers at home may emulate them and perpetuate the model, causing the role of dedicated caregiver to continue.
As indicated in this paper, women more easily adopt a caregiving role, regardless of the importance of their work outside the home, as reflected by their income. However, caring takes time, and it comes at the cost of professional development. This would again create a vicious cycle of small advances and setbacks in terms of gender equality.
To move forward, narratives that support gender equality are needed, and post-COVID-19 scenarios could present opportunities. Masculine or war narratives contrast with the need for care and the knowledge necessary to address the current pandemic (ecofeminism and environmentalism are also participants). Science and technology have proven to be good allies for this transformation to digital and sustainable narratives. Are these narratives preparing the field for the post-COVID society? Should women be told that, under a reconstruction scenario (financial crisis, job scarcity, etc.), they should contribute from home? Is this what a society needs to ensure resilience to future pandemics or other crises (such as the climate emergency)? Do women have a political and social role to play in defining a future sustainable society?
This article shows that there is much to be done. Answering these questions requires the situation to be viewed through the lens of feminism. The vicious cycle can only be broken by a revolution, and “the revolution has to be feminist, or it won’t happen at all,” as Dolera [51] entitled her book.
As has been shown, there is still much to do. This article proposes future avenues of research, some of which have their own limitations. One avenue to explore would be to ask those people who responded to the questionnaire during lockdown how their return to work has gone down the line, as well as to extend the sample to other countries, as the actions should be undertaken at an international level. Another avenue of research would be to identify specific lines of action for organizations willing to listen to their employees, while yet another would be to identify future lines of work that could alleviate the possible effect of a future crisis on women, a goal that could be achieved with the help of companies willing to participate from a commitment to social responsibility. This could be very beneficial to women and could help avoid a return to the problems of the past.

Author Contributions

Conceptualization, R.R.-R.; methodology, R.R.-R., S.Y., and R.C.-G.; formal analysis, R.R.-R.; investigation, R.R.-R., S.Y., and C.F.-A.; writing—original draft preparation, R.R.-R., S.Y., and C.F.-A.; writing—review and editing, R.R.-R., S.Y., and C.F.-A.; supervision, R.R.-R., S.Y., C.F.-A., and R.C.-G. All authors have read and agreed to the published version of the manuscript.

Funding

This research received no external funding.

Acknowledgments

The authors want to thank the Equality Office of the Universidad Politécnica de Madrid for its involvement in the dissemination of the survey. Special thanks also to Jesús Juan and Teresa Sánchez for their guidance on both the quantitative and the qualitative data analysis.

Conflicts of Interest

The authors declare no conflict of interest.

Appendix A

General Personal Information
The following questions are intended to provide an overview of your personal and professional situation:
Gender:
Female ☐Male ☐Other ☐
Please, if you marked other in the previous question, specify:
Age:
Under 20 ☐20‒29 years old ☐30‒39 years old ☐
40‒49 years old ☐50‒59 years old ☐Over 60 ☐
Family life:
Heterosexual couple ☐Male couple ☐Female couple ☐Single ☐
Number of dependents in the care of the respondent:
1 ☐ 2 ☐ 3 ☐ 4 ☐ More than 4 ☐
Number of children under 14:
1 ☐ 2 ☐ 3 ☐ 4 ☐ More than 4 ☐
Number of children over 14:
1 ☐ 2 ☐ 3 ☐ 4 ☐ More than 4 ☐
Number of adult dependents at home in the care of the respondent:
1 ☐ 2 ☐ 3 ☐ 4 ☐ More than 4 ☐
Number of people with special needs at home in the care of the respondent:
1 ☐ 2 ☐ 3 ☐ 4 ☐ More than 4 ☐
Number of adult dependents outside the home in the care of the respondent:
1 ☐ 2 ☐ 3 ☐ 4 ☐ More than 4 ☐
Number of people with special needs outside the home in the care of the respondent:
1 ☐ 2 ☐ 3 ☐ 4 ☐ More than 4 ☐
Maximum level of formal education:
Basic studies ☐High school ☐Vocational training ☐
University degree ☐Master’s degree ☐Doctorate ☐
Maximum level of formal education of your partner:
No partner ☐Basic studies ☐High school ☐Vocational training ☐
University degree ☐Master’s degree ☐Doctorate ☐
Professional sector before lockdown:
Engineering/Construction ☐Biology/Health ☐Consulting/Banking ☐
Education/Research ☐Administration ☐Service/Tourism/Trade ☐
Culture/Sports/Social affairs ☐Industry ☐ICT ☐
Other ☐
Please, if you marked other in the previous question, specify:
Type of company before lockdown:
Own company ☐Start-up ☐SME ☐
Company with more than 500 employees ☐Multinational ☐Public administration ☐
NGO/Foundation ☐Other ☐
If you wish, you can include the name of your company for future studies:
Employment status before lockdown:
Temporary contract ☐Permanent contract ☐Self-employment ☐
Civil Servant ☐Out of work ☐Off work ☐
Partner’s employment status before lockdown:
Temporary contract ☐Permanent contract ☐Self-employment ☐Civil Servant ☐
Out of work ☐Off work ☐No partner ☐
Salary range (gross/year) before lockdown
Under €20,000 ☐Between €20,000 and €40,000 ☐Between €40,000 and €60,000 ☐
Between €60,000 and €80,000 ☐More than €80,000 ☐
Salary range (gross/year) of your partner before lockdown
Under €20,000 ☐Between €20,000 and €40,000 ☐Between €40,000 and €60,000 ☐
Between €60,000 and €80,000 ☐More than €80,000 ☐No partner ☐
Work situation during lockdown:
On-site ☐Teleworking ☐RTER * ☐Out of work ☐Off work ☐
* RTER: Record of Temporary Employment Regulation
Work situation of your partner during lockdown:
On-site ☐Teleworking ☐RTER * ☐Out of work ☐Off work ☐No partner ☐
* RTER: Record of Temporary Employment Regulation
Personal Perception of the Situation Generated by the Lockdown
The following questions are the main block of this research and are aimed at finding out your perception of the balance between family/care and work life in the current lockdown. Please answer honestly.
Perception of the period of time available (awake) dedicated to care during lockdown:
Under 20% ☐Between 20% and 35% ☐Between 35% and 50% ☐
Between 50% and 65% ☐Between 65% and 80% ☐More than 80% ☐
Perception of the period of time available (awake) dedicated to care before lockdown:
Under 20% ☐Between 20% and 35% ☐Between 35% and 50% ☐
Between 50% and 65% ☐Between 65% and 80% ☐More than 80% ☐
Perception of the period of time available (awake) dedicated by your partner to care during lockdown:
Under 20% ☐Between 20% and 35% ☐Between 35% and 50% ☐
Between 50% and 65% ☐Between 65% and 80% ☐More than 80% ☐
No partner ☐
Perception of the period of time available (awake) dedicated by your partner to care before lockdown:
Under 20% ☐Between 20% and 35% ☐Between 35% and 50% ☐
Between 50% and 65% ☐Between 65% and 80% ☐More than 80% ☐
No partner ☐
Evaluate the following statements according to your degree of agreement with them:
Scale 1 (strongly disagree) to 7 (strongly agree)
I have prioritized household and care tasks over my work.1 ☐2 ☐3 ☐4 ☐5 ☐6 ☐7 ☐
I feel like my partner is carrying the burden of household and caretaking.1 ☐2 ☐3 ☐4 ☐5 ☐6 ☐7 ☐
I have substantially changed my work schedule to make it compatible with housework and care.1 ☐2 ☐3 ☐4 ☐5 ☐6 ☐7 ☐
My work performance has been adversely affected by the lockdown.1 ☐2 ☐3 ☐4 ☐5 ☐6 ☐7 ☐
My partner has kept his/her work schedule unchanged.1 ☐2 ☐3 ☐4 ☐5 ☐6 ☐7 ☐
My company/organization facilitates work‒life balance during lockdown.1 ☐2 ☐3 ☐4 ☐5 ☐6 ☐7 ☐
My work requires more attention than my partner’s.1 ☐2 ☐3 ☐4 ☐5 ☐6 ☐7 ☐
I’ve experienced more arguments with my partner due to the sharing of tasks and care.1 ☐2 ☐3 ☐4 ☐5 ☐6 ☐7 ☐
I’m afraid of losing my job in the near future because of this crisis.1 ☐2 ☐3 ☐4 ☐5 ☐6 ☐7 ☐
I would like my company/organization to allow me to continue teleworking after the crisis.1 ☐2 ☐3 ☐4 ☐5 ☐6 ☐7 ☐

References

  1. Rubery, J. Women and Recession; Routledge: London, UK, 1998. [Google Scholar]
  2. Rubery, J.; Rafferty, A. Women and recession revisited. Work Employ Soc. 2013, 27, 414–432. [Google Scholar] [CrossRef]
  3. Chen, N.; Zhou, M.; Dong, X.; Qu, J.; Gong, F.; Han, Y.; Qiu, Y.; Wang, J.; Liu, Y.; Wei, Y.; et al. Epidemiological and clinical characteristics of 99 cases of 2019 novel coronavirus pneumonia in Wuhan, China: A descriptive study. Lancet 2020, 395, 507–513. [Google Scholar] [CrossRef]
  4. Liu, S.; Zhang, M.; Yang, L.; Li, Y.; Wang, L.; Huang, Z.; Wang, L.; Chen, Z.; Zhou, M. Prevalence and patterns of tobacco smoking among Chinese adult men and women: Findings of the 2010 national smoking survey. J. Epidemiol. Commun. H 2017, 71, 154–161. [Google Scholar] [CrossRef] [PubMed]
  5. Spagnoli, P.; Lo Presti, A.; Buono, C. The “dark side” of organisational career growth: Gender differences in work–family conflict among Italian employed parents. Int. J. Manpower 2019, 41, 152–167. [Google Scholar] [CrossRef]
  6. Cesaroni, F.M.; Pediconi, M.G.; Sentuti, A. It’s always a women’s problem! micro-entrepreneurs, work-family balance and economic crisis. Admin. Sci. 2018, 8, 74. [Google Scholar] [CrossRef]
  7. Uvin, P. From the right to development to the rights-based approach: How human rights entered development. Dev. Pract. 2007, 7, 597–606. [Google Scholar] [CrossRef]
  8. Power, K The COVID-19 pandemic has increased the care burden of women and families. Sustain. Sci. Pract. Policy 2020, 16, 67–73. [CrossRef]
  9. Meraviglia, C.; Dudka, A. The gendered division of unpaid labor during the Covid-19 crisis: Did anything change? Evidence from Italy. Int. J. Sociol. 2020. [Google Scholar] [CrossRef]
  10. Fisher, J.; Languilaire, J.C.; Lawthom, R.; Nieuwenhuis, R.; Petts, R.J.; Runswick-Cole, K.; Yerkes, M.A. Community, work, and family in times of COVID-19. Commun. Work Fam. 2020, 23, 247–252. [Google Scholar] [CrossRef]
  11. Borelli, J.; Nelson, C.; River, L.; Birken, S.; Moss-Racusin, C. Gender differences in work-family guilt in parents of young children. Sex Roles 2017, 76, 356–368. [Google Scholar] [CrossRef]
  12. Marks, S.R.; MacDermid, S.M. Multiple roles and the self: A theory of role balance. J. Marriage Fam. 1996, 58, 417–432. [Google Scholar] [CrossRef]
  13. Greenhaus, J.H.; Collins, K.M.; Shaw, J.D. The relation between work-family balance and quality of life. J. Vocat. Behav. 2003, 63, 510–531. [Google Scholar] [CrossRef]
  14. Greenhaus, J.H.; Beutell, N.J. Sources of conflict between work and family roles. Acad. Manag. Rev. 1985, 10, 76–88. [Google Scholar] [CrossRef]
  15. Greenhaus, J.H.; Powell, G.N. When work and family are allies: A theory of work-family enrichment. Acad. Manag. Rev. 2006, 31, 72–92. [Google Scholar] [CrossRef]
  16. Botella, C.; Rueda, S.; López-Iñesta, E.; Marzal, P. Gender diversity in stem disciplines: A multiple factor problem. Entropy 2019, 21, 30. [Google Scholar] [CrossRef]
  17. Organization for Economic Cooperation and Development (OECD). OECD Gender Equality. 2019. Available online: http://www.oecd.org/gender/data/ (accessed on 17 May 2020).
  18. World Bank. World Bank Data (Gender). 2019. Available online: https://data.worldbank.org/topic/gender.21 (accessed on 17 May 2020).
  19. Távora, I.; Rodríguez-Modroño, P. The impact of the crisis and austerity on low educated working women: The cases of spain and portugal. Gend. Work Organ. 2018, 25, 621–636. [Google Scholar] [CrossRef]
  20. Legazpe, N.; Davia, M.A. Women’s employment and childcare choices in Spain through the great recession. Fem. Econ. 2019, 25, 173–198. [Google Scholar] [CrossRef]
  21. Sevilla-Sanz, A.; Gimenez-Nadal, J.I.; Fernández, C. Gender roles and the division of unpaid work in spanish households. Fem. Econ. 2010, 16, 137–184. [Google Scholar] [CrossRef]
  22. Spanish National Statistical Institute (INE, Its Initials in Spanish). Encuesta de Empleo del Tiempo 2002–2003 [2002–3 Spanish Time Use Survey]. 2003. Available online: https://www.ine.es/daco/daco42/empleo/dacoeet.htm (accessed on 14 July 2020).
  23. Philips, K. Women’s labor force participation in Spain: An analysis from dictatorship to democracy. Honor. Program. Theses 2010, 86, 1–39. [Google Scholar]
  24. Moreno Mínguez, A. Family and gender roles in Spain from a comparative perspective. Eur. Soc. 2010, 12, 85–111. [Google Scholar] [CrossRef]
  25. Castaño, C. Los derechos sexuales y reproductivos son derechos humanos [Sexual and reproductive rights are human rights]. Revista Con La A 2020, 68, 1–3. [Google Scholar]
  26. United Nations Educational, Scientific, and Cultural Organization (UNESCO). Cracking the Code: Girls’ and Womens’ Education in Science, Technology, Engineering and Mathematics (STEM); Technical Report; UNESCO: Paris, France, 2017; ISBN 978-92-3-100233-5. Available online: http://unesdoc.unesco.org/images/0025/002534/253479e.pdf (accessed on 5 October 2020).
  27. Spanish Ministry of Universities. Data and Figures System Spanish University Publication 2019–2020. Available online: https://www.ciencia.gob.es/stfls/MICINN/Universidades/Ficheros/Estadisticas/Informe_Datos_Cifras_Sistema_Universitario_Espanol_2019-2020.pdf (accessed on 5 October 2020).
  28. Tazo, M.I.; Boyano, A.; Fernandez-Gámez, U.; Calleja-Ochoa, A. The gender perspective of professional competencies in industrial engineering studies. Sustainability 2020, 12, 2945. [Google Scholar] [CrossRef]
  29. Elliott, C.; Stead, V. Constructing women’s leadership representation in the UK Press during a time of financial crisis: Gender capitals and dialectical tensions. Organ. Studies 2018, 39, 19–45. [Google Scholar] [CrossRef]
  30. United Nations. United Nations Policy Brief: The Impact of COVID-19 on Women. 2020. Available online: https://www.un.org/sites/un2.un.org/files/policy_brief_on_covid_impact_on_women_9_april_2020.pdf (accessed on 30 May 2020).
  31. Women’s Institute of Spain. Mujeres y Hombres en España 2019 [Men and Women in Spain 2019]. Available online: https://www.ine.es/ss/Satellite?L=es_ES&c=INEPublicacion_C&cid=1259924822888&p=1254735110672&pagename=ProductosYServicios%2FPYSLayout&param1=PYSDetalleGratuitas&param4=Ocultar (accessed on 3 October 2020).
  32. Eurofound. Living, Working and COVID-19, COVID-19 Series. Publications Office of the European Union: Luxembourg. Available online: https://www.eurofound.europa.eu/publications/report/2020/living-working-and-covid-19 (accessed on 30 September 2020).
  33. Margherita, A.; O’Dorchai, S.; Bosch, J. Reconciliation between Work, Private and Family Life in the European Union; Eurostat Office for Official Publications of the European Communities: Luxembourg, 2009. [Google Scholar]
  34. Andrew, A.; Cattan, S.; Costa Dias, M.; Farquharson, C.; Kraftman, L.; Krutikova, S.; Phimister, A.; Sevilla, A. How are Mothers and Fathers Balancing Work and Family under Lock-Down; Briefing Note BN290; Institute for Fiscal Studies IFS: Lodon, UK, 2020; ISBN 978-1-912805-80-8. [Google Scholar]
  35. Grünberg, L.; Matei, S. Why the paradigm of work-family conflict is no longer sustainable: Towards more empowering social imaginaries to understand women’s identities. Gend. Work Organ. 2020, 27, 289–309. [Google Scholar] [CrossRef]
  36. Xu, X.; Peng, Y.; Zhao, P.; Hayes, R.; Jimenez, W.P. Fighting for time: Spillover and crossover effects of long work hours among dual-earner couples. Stress Health 2019, 35, 491–502. [Google Scholar] [CrossRef]
  37. French, K.A.; Dumani, S.; Allen, T.D.; Shockley, K.M. A meta-analysis of work-family conflict and social support. Psychol. Bull. 2018, 144, 284–314. [Google Scholar] [CrossRef]
  38. Gallego, C.; Riera, M. La productividad del Trabajo y la Conciliación Laboral; Labour Productivity and Work-Life Balance, 2020; EAE Business School: Barcelona, Spain, 2020; ISBN 978-84-17476-72-4. [Google Scholar]
  39. Government of Spain. Organic Low 3/2007 for the Effective Equality of Women and Men. 2007. Available online: https://www.boe.es/buscar/pdf/2007/BOE-A-2007-6115-consolidado.pdf (accessed on 14 July 2020).
  40. Government of Spain. Organic Low 4/2007 about Universities. 2007. Available online: https://boe.es/buscar/doc.php?id=BOE-A-2007-7786 (accessed on 14 July 2020).
  41. Spanish National Statistical Institute (INE, its initials in Spanish). Mujeres Graduadas en Educación superior [Female Higher Education Graduates]. 2020. Available online: https://www.ine.es/ss/Satellite?L=es_ES&c=INESeccion_C&cid=1259925481157&p=1254735110672&pagename=ProductosYServicios%2FPYSLayout&param1=PYSDetalle&param3=1259924822888 (accessed on 14 July 2020).
  42. Spanish National Statistical Institute (INE, Its Initials in Spanish). España en Cifras. [Spain in Figures]. 2020. Available online: https://www.ine.es/prodyser/espa_cifras/2019/32/ (accessed on 14 July 2020).
  43. Weber, R. Basic Content Analysis; Sage: London, UK, 1990. [Google Scholar]
  44. Pitt, L.; Abratt, R.; Bendixen, M.; Ankomah Opoku, R. Communicating brand personality: Are the web sites doing the talking for food SMEs? Qual. Mark. Res. Int. J. 2007, 10, 362–374. [Google Scholar] [CrossRef]
  45. Sánchez-Chaparro, T.; Gómez-Frías, V.; González-Benito, O. Competitive implications of quality assurance processes in higher education. The case of higher education in engineering in France. Econ. Res.-Ekon. Istraz. 2019, 33, 2825–2843. [Google Scholar] [CrossRef]
  46. Hakim, C. Feminism, Research Evidence and the Politics of Work–Life Balance. Available online: http://eprints.lse.ac.uk/25028/ (accessed on 14 July 2020).
  47. Roxburgh, S. “There just aren’t enough hours in the day”: The mental health consequences of time pressure. J. Health Soc. Behav. 2004, 45, 115–131. [Google Scholar] [CrossRef]
  48. Galli, D.; Felstead, A.; Green, F. Changing Patterns of Task Discretion in Britain. Work Employ Soc. 2004, 18, 243–266. [Google Scholar] [CrossRef]
  49. ISACA. Isaca.org. The Future TechWorkforce: Breaking the Gender Barriers. Available online: http://www.isaca.org/info/2017-women-in-technology-survey/index.html (accessed on 21 September 2020).
  50. Institute for Women and Equal Opportunities-RED.ES. Las Mujeres en la Economía Digital Española. Trayectorias Inspiradoras [Women in the Spanish Digital Economy. Inspiring Trajectories]. Available online: https://www.inmujer.gob.es/diseno/novedades/LAS_MUJERES_EN_LA_ECONOMIA_DIGITAL_ESPANOLA.pdf (accessed on 14 May 2020).
  51. Dolera, L. Morder la Manzana: La Revolución Será Feminista o no Será [Biting the Apple: The Revolution Will be Feminist, or it won’t be]; Planeta: Barcelona, Spain, 2018. [Google Scholar]
Figure 1. The maximum level of study by gender of respondents.
Figure 1. The maximum level of study by gender of respondents.
Sustainability 12 09563 g001
Figure 2. Respondents’ annual gross salary by age and gender. Arithmetic means are grouped in ranges: Group 1 means earned less than €20,000, Group 2 earned between €20,000 and €40,000, and Group 3 earned between €40,000 and €60,000.
Figure 2. Respondents’ annual gross salary by age and gender. Arithmetic means are grouped in ranges: Group 1 means earned less than €20,000, Group 2 earned between €20,000 and €40,000, and Group 3 earned between €40,000 and €60,000.
Sustainability 12 09563 g002
Figure 3. Respondents’ annual gross salary by sector and gender. Arithmetic means are grouped in ranges: Group 1 earned less than €20,000, Group 2 earned between €20,000 and €40,000, and Group 3 earned between €40,000 and €60,000.
Figure 3. Respondents’ annual gross salary by sector and gender. Arithmetic means are grouped in ranges: Group 1 earned less than €20,000, Group 2 earned between €20,000 and €40,000, and Group 3 earned between €40,000 and €60,000.
Sustainability 12 09563 g003
Figure 4. Respondents’ annual gross salary by highest level of education and gender. Arithmetic means are grouped in ranges: Group 1 earned less than €20,000, Group 2 earned between €20,000 and €40,000, and Group 3 earned between €40,000 and €60,000.
Figure 4. Respondents’ annual gross salary by highest level of education and gender. Arithmetic means are grouped in ranges: Group 1 earned less than €20,000, Group 2 earned between €20,000 and €40,000, and Group 3 earned between €40,000 and €60,000.
Sustainability 12 09563 g004
Figure 5. Perceptions of time spent on care by couples with children under 14 years of age.
Figure 5. Perceptions of time spent on care by couples with children under 14 years of age.
Sustainability 12 09563 g005
Figure 6. Perceptions of time spent on caring among couples by gross salary.
Figure 6. Perceptions of time spent on caring among couples by gross salary.
Sustainability 12 09563 g006
Figure 7. Time dedicated to household tasks by gender and method of working.
Figure 7. Time dedicated to household tasks by gender and method of working.
Sustainability 12 09563 g007
Table 1. Distribution of time spent in work by gender according to the Organization for Economic Co-operation and Development (OECD) [17].
Table 1. Distribution of time spent in work by gender according to the Organization for Economic Co-operation and Development (OECD) [17].
IndicatorTime Spent in Unpaid WorkTime Spent in Paid WorkTime Spent in Total Work
SexMenWomenMenWomenMenWomen
UnitMinutes per dayMinutes per dayMinutes per day
Spain145.9289.1236.2166.8382.1455.9
OECD Average135.8262.4317.4217.7453.2480.1
Note: The age group assessed was 15‒64, and the data were from 2019.
Table 2. Students enrolled in Spain by branch of education and sex (2018‒2019) [27].
Table 2. Students enrolled in Spain by branch of education and sex (2018‒2019) [27].
WomenMen
Undergraduate degree55.2%44.8%
Social and legal sciences59.8%40.2%
Engineering and architecture24.8%75.2%
Arts and humanities61.6%38.4%
Health sciences70.3%29.7%
Sciences51.0%49.0%
Master’s degree 54.4%45.6%
Social and legal sciences58.8%41.2%
Engineering and architecture29.2%70.8%
Arts and humanities61.4%38.6%
Health sciences72.8%27.2%
Sciences48.2%51.8%
PhD 51.1%49.9%
Social and legal sciences50.2%49.8%
Engineering and architecture29.4%70.6%
Arts and humanities53.6%46.4%
Health sciences62.6%37.4%
Sciences47.7%52.3%
Table 3. Statements from articles during the COVID-19 pandemic.
Table 3. Statements from articles during the COVID-19 pandemic.
Statement Source
I have prioritized household and care tasks over my work.In fact, a man living in a trade-off situation between the two spheres usually manages to “adjust one sphere to compensate for the other” more efficiently and unvarying. At the same time, for a woman, it is more difficult because her commitment to the family is inflexible and is often considered independent of her work commitment [6].
Compared to fathers, mothers are spending less time on paid work, but more time on household responsibilities [34].
I feel like my partner is carrying the burden of the household and caretaking.Women are subjected to a double burden, at work and home [35].
I have substantially changed my work schedule to make it compatible with housework and care.There was a positive association between husbands’ work hours and the increase in their wives’ housework hours, but no significant relationship between wives’ work hours and their husbands’ housework hours [36].
My work performance has been adversely affected by the lockdown.Balancing work and family is perceived as a complex and challenging problem to solve, which causes anxiety, dissatisfaction, stress, and lower performance [6].
My partner has kept his work schedule unchanged.Males are the ‘core’ workforce [2].
My company/organization facilitates work‒life balance during lockdown.Work‒family support by organizations is related to lower work‒family conflict [37].
My work requires more attention than my partner’s.Mothers’ employment is more dependent on opportunities to work part-time in schedules that match childcare hours [19].
I’ve experienced more arguments with my partner due to the sharing of tasks and care.There was work fatigue for both members of the couple, generating work‒family conflict [36].
I’m afraid of losing my job in the near future because of this crisis.Gender may exacerbate vulnerability related to the crisis [19].
Women may act as a flexible labor reserve [2]. Mothers are more likely to have quit or lost their jobs or to have been furloughed since the start of the lockdown [34].
I would like my company/organization to allow me to continue teleworking after the pandemic.Measures such as teleworking are necessary, as the possibility of workers reconciling work and family life is proving to be beneficial to the productivity of companies [38].
Table 4. Sample main features: age, gender, and professional sector.
Table 4. Sample main features: age, gender, and professional sector.
AdmBioConCulEduIndInfEngSerOthTotal
n%
20‒29 yearsFemale0202520214185.7
Male002090080120
30‒39 yearsFemale315101043310265913430
Male011003114143165
40‒49 yearsFemale672095711320121215733.9
Male11913426111368
50‒59 yearsFemale10333672382310426.7
Male1031590261073
>60 yearsFemale20001000101143.6
Male100080010010
Totaln242957263221138972534663100
%3.64.48.63.948.61.75.714.63.85.1100
Note: Professional sectors have been codified as follows: Administration (Adm); Biology/health (Bio); Consulting/banking (Con); Culture/sports/social affairs (Cul); Education/research (Edu); Industry (Ind); Information and communication technologies (Inf); Engineering/construction (Eng); Services/trade/tourism (Ser); Other (Oth).
Table 5. Sample marital status and gender.
Table 5. Sample marital status and gender.
SingleHeterosexual CoupleMale CoupleFemale CoupleTotal
Femalen5936205426
% gender13.8%85.0%0%1.2%100%
% status60.8%64.9%0%100.0%64.3%
Malen3819630237
% gender16.0%82.7%1.3%0%100%
% status39.2%35.1%100%0%35.7%
Totaln9755835663
% gender14.6%84.2%0.5%0.8%100%
% status100%100%100%100%100%
Table 6. Percentage of dependents in the care of the respondents by gender.
Table 6. Percentage of dependents in the care of the respondents by gender.
N Dependents
0123>3
N children < 14 yearsFemale41.8%24.2%28.9%4.9%0.2%
Male49.8%20.7%24.1%5.1%0.4%
N children > 14 yearsFemale70.9%16.7%9.4%2.8%0.2%
Male75.1%11.4%11.8%0.8%0.8%
N older peopleFemale94.8%4.0%0.9%0.2%0.1%
Male95.8%4.2%0.0%0.0%0.0%
N special needsFemale97.4%2.3%0.2%0.0%0.0%
Male97.9%2.1%0.0%0.0%0.0%
N older people outside the homeFemale70.0%14.6%9.6%5.4%0.5%
Male77.2%14.3%5.9%0.8%1.7%
Table 7. Perceptions of time spent on home and family care.
Table 7. Perceptions of time spent on home and family care.
GenderTime Spent on Care Prior to LockdownTime Spent on Care during LockdownTime Spent on Care Prior to Lockdown by Your PartnerTime Spent on Care during Lockdown by Your Partner
FemaleMean2.233.541.512.14
N426426426426
Standard deviation1.2801.4661.1071.495
MaleMean1.882.851.972.56
N237237237237
Standard deviation1.0391.2661.4641.590
TotalMean2,103.291.672.29
N663663663663
Standard deviation1.2101.4361.2641.541
Note: The percentage bands of time spent have been translated into a numerical scale, 1–6, for comparison.
Table 8. Evaluation of opinions by ANOVA with the gender factor.
Table 8. Evaluation of opinions by ANOVA with the gender factor.
StatementGenderNMeanStandard DeviationFSig.
I have prioritized household and care tasks over my work.Female4253.361.7482.3510.126
Man2373.151.578
Total6623.281.691
I feel like my partner is carrying the burden of household and caretaking.Female3702.541.45051.9640.000 **
Male2033.541.789
Total5732.901.647
I have substantially changed my work schedule to make it compatible with housework and care.Female4224.082.1294.1750.041 *
Male2343.732.006
Total6563.952.091
My work performance has been adversely affected by the lockdown.Female4183.512.0700.0310.860
Male2353.491.984
Total6533.502.038
My partner has kept his/her work schedule unchanged.Female3644.532.0138.5530.004 **
Male1993.992.187
Total5634.342.090
My company/organization facilitates work‒life balance during lockdown.Female4144.931.7660.2810.596
Male2325.011.731
Total6464.961.752
My work requires more attention than my partner’s.Female3663.981.7870.6490.421
Male2043.851.953
Total5703.931.848
I’ve experienced more arguments with my partner due to the sharing of tasks and care.Female3673.461.99414.7720.000 **
Male2032.811.818
Total5703.231.956
I’m afraid of losing my job in the near future because of this crisis.Female4183.371.9445.6980.017 *
Male2363.001.877
Total6543.241.927
I would like my company/organization to allow me to continue teleworking after the pandemic.Female4195.241.7500.0110.918
Male2345.231.684
Total6535.241.726
Note: * significance level < 0.05; ** significance level < 0.01.
Table 9. Blocks and number of times the main ideas were expressed.
Table 9. Blocks and number of times the main ideas were expressed.
BlockTimes (%)Example
Teleworking means flexibility26.08“the freedom to adapt my schedule to my needs”
Lockdown is not real teleworking27.95“working at home in the presence of small children is not teleworking”
Lockdown means stress18.01“to the difficult situation at home, we have to add the emotional situation because of worry about the pandemic”
Working conditions are inappropriate8.70“organizations were not prepared for teleworking and households were not prepared for two people teleworking at the same time”
Parents as professors12.42“the most overwhelming thing has been having to play the role of teacher for the children”
Demanding organizations11.81“from my job, more work is demanded of me”
Women as a full-time caretaker7.45“women end up giving up on maintaining our work rhythms, not because of a natural tendency to care, but because our male partners generally earn much more”
On-site professions4.97“there are jobs that are 100% in-person; it is impossible to telework and difficult to find a work‒life balance”
Publisher’s Note: MDPI stays neutral with regard to jurisdictional claims in published maps and institutional affiliations.

Share and Cite

MDPI and ACS Style

Rodríguez-Rivero, R.; Yáñez, S.; Fernández-Aller, C.; Carrasco-Gallego, R. Is It Time for a Revolution in Work‒Life Balance? Reflections from Spain. Sustainability 2020, 12, 9563. https://doi.org/10.3390/su12229563

AMA Style

Rodríguez-Rivero R, Yáñez S, Fernández-Aller C, Carrasco-Gallego R. Is It Time for a Revolution in Work‒Life Balance? Reflections from Spain. Sustainability. 2020; 12(22):9563. https://doi.org/10.3390/su12229563

Chicago/Turabian Style

Rodríguez-Rivero, Rocío, Susana Yáñez, Celia Fernández-Aller, and Ruth Carrasco-Gallego. 2020. "Is It Time for a Revolution in Work‒Life Balance? Reflections from Spain" Sustainability 12, no. 22: 9563. https://doi.org/10.3390/su12229563

APA Style

Rodríguez-Rivero, R., Yáñez, S., Fernández-Aller, C., & Carrasco-Gallego, R. (2020). Is It Time for a Revolution in Work‒Life Balance? Reflections from Spain. Sustainability, 12(22), 9563. https://doi.org/10.3390/su12229563

Note that from the first issue of 2016, this journal uses article numbers instead of page numbers. See further details here.

Article Metrics

Back to TopTop