Mechanisms of Grazing Management in Heterogeneous Swards
Abstract
1. Introduction
2. Materials and Methods
2.1. Model Description
2.2. Simulations
3. Results
3.1. Functional Response and Sward Heterogeneity
3.2. Spatio-Temporal Distribution of Grazing
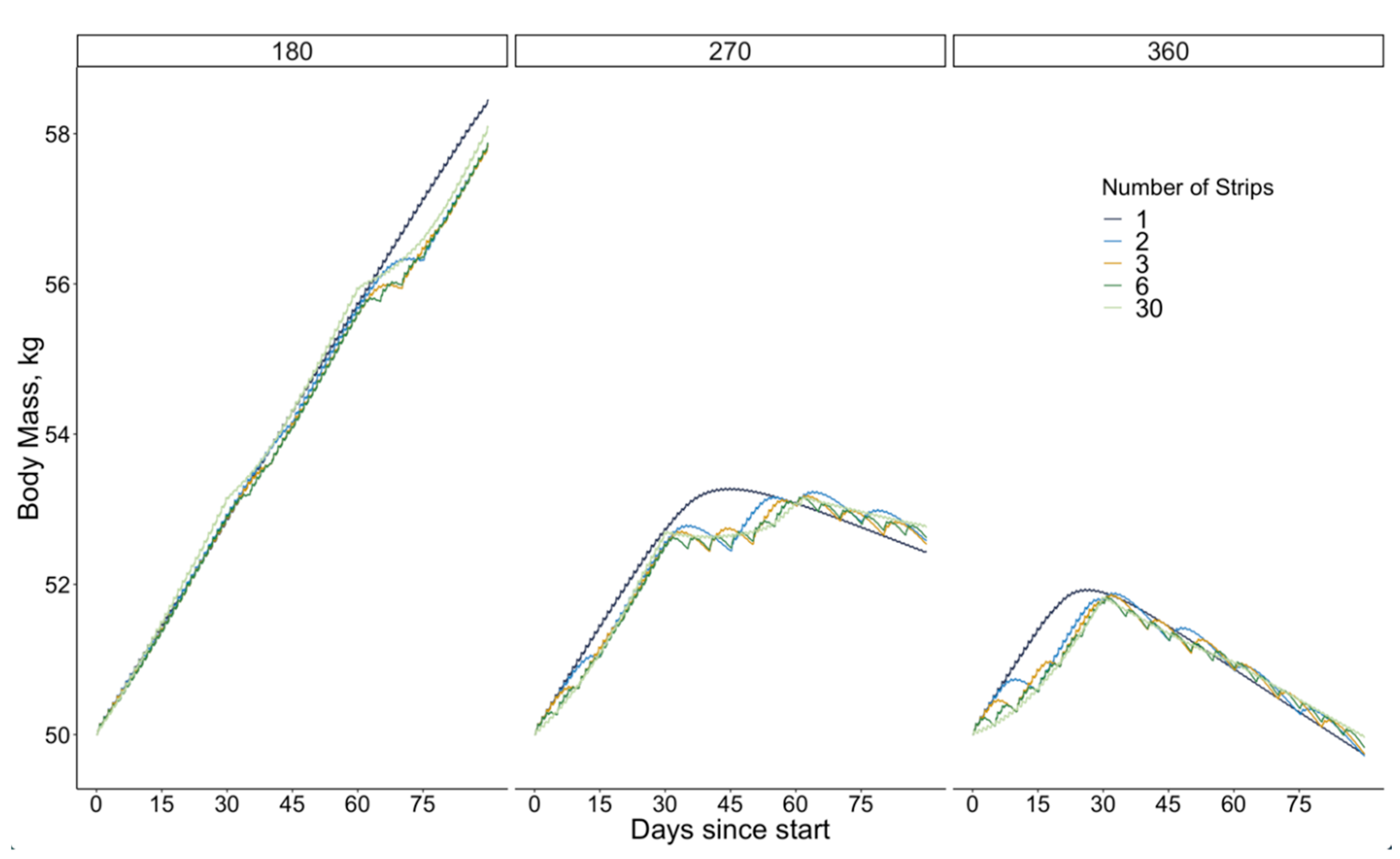
3.3. Herbage Allowance and Paddock Size
4. Discussion
4.1. Functional Response and Sward Heterogeneity
4.2. Spatio-Temporal Distribution of Grazing
4.3. Herbage Allowance and Paddock Size
5. Conclusions
Author Contributions
Funding
Acknowledgments
Conflicts of Interest
Appendix A

References
- Laca, E.A. New approaches and tools for grazing management. Rangel. Ecol. Manag. 2009, 62, 407–417. [Google Scholar] [CrossRef]
- Benvenutti, M.A.; Cangiano, C.A. Características de las Pasturas y su Relación con el Comportamiento Ingestivo y Consumo en Pastoreo. In Producción Animal en Pastoreo; Cangiano, C.A., Brizuela, M.A., Eds.; Ediciones INTA: Buenos Aires, Argentina, 2011; pp. 259–290. [Google Scholar]
- Carvalho, P.C.F. Harry Stobbs Memorial Lecture: Can grazing behavior support innovations in grassland management? Trop. Grassl. 2013, 1, 137–155. [Google Scholar] [CrossRef]
- Hutchings, N.J.; Gordon, I.J. A dynamic model of herbivore-plant interactions on grasslands. Ecol. Model. 2001, 136, 209–222. [Google Scholar] [CrossRef]
- Gordon, I.J.; Benvenutti, M. Food in 3D: How Ruminant Livestock Interact with Sown Sward Architecture at the Bite Scale. In Feeding in Domestic Vertebrates: From Structure to Behaviour; Bell, V., Ed.; CABI Publishing: Wallingford, CT, USA, 2006; pp. 263–277. [Google Scholar]
- Oñatibia, G.R.; Aguiar, M.R. Paddock size mediates the heterogeneity of grazing impacts on vegetation. Rangel. Ecol. Manag. 2018, 71, 470–480. [Google Scholar] [CrossRef]
- Larson-Praplan, S.; George, M.R.; Buckhouse, J.C.; Laca, E.A. Spatial and temporal domains of scale of grazing cattle. Anim. Prod. Sci. 2015, 55, 284–297. [Google Scholar] [CrossRef]
- Garcia, F.; Carrère, P.; Soussana, J.F.; Baumont, R. Characterisation by fractal analysis of foraging paths of ewes grazing heterogeneous swards. Appl. Anim. Behav. Sci. 2005, 93, 19–37. [Google Scholar] [CrossRef]
- Cid, M.S.; Brizuela, M.A. Heterogeneity in tall fescue pastures created and sustained by cattle grazing. Rangel. Ecol. Manag. 1998, 51, 644–649. [Google Scholar] [CrossRef]
- Nunes, P.A.D.A.; Bredemeier, C.; Bremm, C.; Caetano, L.A.M.; de Almeida, G.M.; de Souza Filho, W.; Anghinoni, I.; Carvalho, P.C.D.F. Grazing intensity determines pasture spatial heterogeneity and productivity in an integrated crop-livestock system. Grassl. Sci. 2019, 65, 49–59. [Google Scholar] [CrossRef]
- Parsons, A.J.; Carrère, P.; Schwinning, S. Dynamics of Heterogeneity in A Grazed Sward. In Grassland Ecophysiology and Grazing Ecology; Lemaire, G., Hodgson, J., Moraes, A., Nabinger, C., Carvalho, P.C.F., Eds.; CABI Publishing: Wallingford, CT, USA, 2000; pp. 289–316. [Google Scholar]
- Semmartin, M.; Oesterheld, M. Effects of grazing pattern and nitrogen availability on primary productivity. Oecologia 2001, 126, 225–230. [Google Scholar] [CrossRef]
- Parsons, A.J.; Dumont, B. Spatial heterogeneity and grazing processes. Anim. Res. 2003, 52, 161–179. [Google Scholar] [CrossRef]
- Noy-Meir, I. Stability of grazing systems: An application of predator-prey graphs. J. Ecol. 1975, 63, 459–481. [Google Scholar] [CrossRef]
- Ungar, E.D. Perspectives on the concept of rangeland carrying capacity, and their exploration by means of Noy-Meir’s two-function model. Agric. Syst. 2019, 173, 403–413. [Google Scholar] [CrossRef]
- Ungar, E.D.; Noy-Meir, I. Herbage intake in relation to availability and sward structure: Grazing processes and optimal foraging. J. Appl. Ecol. 1988, 25, 1045–1062. [Google Scholar] [CrossRef]
- Parsons, A.J.; Thornley, J.H.; Newman, J.; Penning, P.D. A mechanistic model of some physical determinants of intake rate and diet selection in a two-species temperate grassland sward. Funct. Ecol. 1994, 8, 187–204. [Google Scholar] [CrossRef]
- Schwinning, S.; Parsons, A.J. The stability of grazing systems revisited: Spatial models and the role of heterogeneity. Funct. Ecol. 1999, 13, 737–747. [Google Scholar] [CrossRef]
- Parsons, A.J.; Schwinning, S.; Carrère, P. Plant growth functions and possible spatial and temporal scaling errors in models of herbivory. Grass Forage Sci. 2001, 56, 21–34. [Google Scholar] [CrossRef]
- Baumont, R.; Cohen-Salmon, D.; Prache, S.; Sauvant, D. A mechanistic model of intake and grazing behaviour in sheep integrating sward architecture and animal decisions. Anim. Feed Sci. Technol. 2004, 112, 5–28. [Google Scholar] [CrossRef]
- Gregorini, P.; Beukes, P.C.; Romera, A.J.; Levy, G.; Hanigan, M.D. A model of diurnal grazing patterns and herbage intake of a dairy cow, MINDY: Model description. Ecol. Model. 2013, 270, 11–29. [Google Scholar] [CrossRef]
- Delagarde, R.; Peyraud, J.L.; Delaby, L.; Faverdin, P. Vertical distribution of biomass, chemical composition and pepsin—Cellulase digestibility in a perennial ryegrass sward: Interaction with month of year, regrowth age and time of day. Anim. Feed Sci. Technol. 2000, 84, 49–68. [Google Scholar] [CrossRef]
- Silva, D.F.F.D. A Altura que Maximiza a Taxa de Ingestão em Azevém Anual (Lolium Multiflorum Lam.) é Afetada Pela Existência de Palhada Quando o Método de Estabelecimento é em Semeadura Direta? UFPR: Curitiba, Brazil, 2013. [Google Scholar]
- Ellner, S.P.; Childs, D.Z.; Rees, M. Data-Driven Modelling of Structured Populations. In A Practical Guide to the Integral Projection Model; Springer: Cham, Switzerland, 2016. [Google Scholar]
- Förster, L.; Grant, J.; Michel, T.; Ng, C.; Barth, S. Growth under cold conditions in a wide perennial ryegrass panel is under tight physiological control. PeerJ 2018, 6, 5520. [Google Scholar] [CrossRef]
- Cumming, D.H.; Cumming, G.S. Ungulate community structure and ecological processes: Body size, hoof area and trampling in African savannas. Oecologia 2003, 134, 560–568. [Google Scholar] [CrossRef]
- Linnane, M.I.; Brereton, A.J.; Giller, P.S. Seasonal changes in circadian grazing patterns of Kerry cows (Bos taurus) in semi-feral conditions in Killarney National Park, Co. Kerry, Ireland. Appl. Anim. Behav. Sci. 2001, 71, 277–292. [Google Scholar] [CrossRef]
- Hirata, M.; Higashiyama, M.; Hasegawa, N. Diurnal pattern of excretion in grazing cattle. Livest. Sci. 2011, 142, 23–32. [Google Scholar] [CrossRef]
- Krizsan, S.J.; Ahvenjärvi, S.; Huhtanen, P. A meta-analysis of passage rate estimated by rumen evacuation with cattle and evaluation of passage rate prediction models. J. Dairy Sci. 2010, 93, 5890–5901. [Google Scholar] [CrossRef]
- Demment, M.W.; Van Soest, P.J. A nutritional explanation for body-size patterns of ruminant and nonruminant herbivores. Am. Nat. 1985, 125, 641–672. [Google Scholar] [CrossRef]
- Chilibroste, P.; Tamminga, S.; Boer, H. Effects of length of grazing session, rumen fill and starvation time before grazing on dry-matter intake, ingestive behaviour and dry-matter rumen pool sizes of grazing lactating dairy cows. Grass Forage Sci. 1997, 52, 249–257. [Google Scholar] [CrossRef]
- Illius, A.W.; Gordon, I.J. The allometry of food intake in grazing ruminants. J. Anim. Ecol. 1987, 56, 989–999. [Google Scholar] [CrossRef]
- Laca, E.A.; Ungar, E.D.; Demment, M.W. Mechanisms of handling time and intake rate of a large mammalian grazer. Appl. Anim. Behav. Sci. 1994, 39, 3–19. [Google Scholar] [CrossRef]
- Rook, A.J.; Harvey, A.; Parsons, A.J.; Orr, R.J.; Rutter, S.M. Bite dimensions and grazing movements by sheep and cattle grazing homogeneous perennial ryegrass swards. Appl. Anim. Behav. Sci. 2004, 88, 227–242. [Google Scholar] [CrossRef]
- Stephens, D.W.; Krebs, J.R. Foraging Theory; Princeton University Press: Princeton, NJ, USA, 1986. [Google Scholar]
- Brosh, A.; Henkin, Z.; Ungar, E.D.; Dolev, A.; Orlov, A.; Yehuda, Y.; Aharoni, Y. Energy cost of cows’ grazing activity: Use of the heart rate method and the Global Positioning System for direct field estimation. J. Anim. Sci. 2006, 84, 1951–1967. [Google Scholar] [CrossRef] [PubMed]
- Brosh, A.; Henkin, Z.; Ungar, E.D.; Dolev, A.; Shabtay, A.; Orlov, A.; Yehuda, Y.; Aharoni, Y. Energy cost of activities and locomotion of grazing cows: A repeated study in larger plots. J. Anim. Sci. 2010, 88, 315–323. [Google Scholar] [CrossRef]
- National Research Council. Nutrient Requirements of Beef Cattle; National Academies Press: Washington, DC, USA, 2016. [Google Scholar]
- National Research Council. Nutrient Requirements of Small Ruminants: Sheep, Goats, Cervids, and New World Camelids; National Academies Press: Washington, DC, USA, 2007. [Google Scholar]
- Piñeiro, G.; Perelman, S.; Guerschman, J.P.; Paruelo, J.M. How to evaluate models: Observed vs. predicted or predicted vs. observed? Ecol. Model. 2008, 216, 316–322. [Google Scholar] [CrossRef]
- Orr, R.J.; Rutter, S.M.; Yarrow, N.H.; Champion, R.A.; Rook, A.J. Changes in ingestive behaviour of yearling dairy heifers due to changes in sward state during grazing down of rotationally stocked ryegrass or white clover pastures. Appl. Anim. Behav. Sci. 2004, 87, 205–222. [Google Scholar] [CrossRef]
- Mott, G.O.; Lucas, H.L. The design, conduct and interpretation of grazing trials on cultivated and improved pastures. Int. Grassl. Congr. 1952, 6, 1380–1395. [Google Scholar]
- Sollenberger, L.E.; Moore, J.E.; Allen, V.G.; Pedreira, C.G. Reporting forage allowance in grazing experiments. Crop Sci. 2005, 45, 896–900. [Google Scholar] [CrossRef]
- Rouquette, F.M., Jr. Invited review: The roles of forage management, forage quality, and forage allowance in grazing research. Prof. Anim. Sci. 2016, 32, 10–18. [Google Scholar] [CrossRef]
- Holling, C.S. Some characteristics of simple types of predation and parasitism. Can. Entomol. 1959, 91, 385–398. [Google Scholar] [CrossRef]
- Spalinger, D.E.; Hobbs, N.T. Mechanisms of foraging in mammalian herbivores: New models of functional response. Am. Nat. 1992, 140, 325–348. [Google Scholar] [CrossRef]
- Gross, J.E.; Shipley, L.A.; Hobbs, N.T.; Spalinger, D.E.; Wunder, B.A. Functional response of herbivores in food-concentrated patches: Tests of a mechanistic model. Ecology 1993, 74, 778–791. [Google Scholar] [CrossRef]
- Thompson Hobbs, N.; Gross, J.E.; Shipley, L.A.; Spalinger, D.E.; Wunder, B.A. Herbivore functional response in heterogeneous environments: A contest among models. Ecology 2003, 84, 666–681. [Google Scholar] [CrossRef]
- Bergman, C.M.; Fryxell, J.M.; Gates, C.C. The effect of tissue complexity and sward height on the functional response of wood bison. Funct. Ecol. 2000, 14, 61–69. [Google Scholar] [CrossRef]
- Mezzalira, J.C.; Bonnet, O.J.; Carvalho, P.C.D.F.; Fonseca, L.; Bremm, C.; Mezzalira, C.C.; Laca, E.A. Mechanisms and implications of a type IV functional response for short-term intake rate of dry matter in large mammalian herbivores. J. Anim. Ecol. 2017, 86, 1159–1168. [Google Scholar] [CrossRef]
- Ungar, E.D.; Genizi, A.; Demment, M.W. Bite dimensions and herbage intake by cattle grazing short hand-constructed swards. Agron. J. 1991, 83, 973–978. [Google Scholar] [CrossRef]
- Laca, E.A.; Ungar, E.D.; Seligman, N.; Demment, M.W. Effects of sward height and bulk density on bite dimensions of cattle grazing homogeneous swards. Grass Forage Sci. 1992, 47, 91–102. [Google Scholar] [CrossRef]
- Cangiano, C.A.; Galli, J.R.; Pece, M.A.; Dichio, L.; Rozsypalek, S.H. Effect of liveweight and pasture height on cattle bite dimensions during progressive defoliation. Aust. J. Agric. Res. 2002, 53, 541–549. [Google Scholar] [CrossRef]
- Milne, B.T.; Turner, M.G.; Wiens, J.A.; Johnson, A.R. Interactions between the fractal geometry of landscapes and allometric herbivory. Theor. Popul. Biol. 1992, 41, 337–353. [Google Scholar] [CrossRef]
- Carvalho, P.D.F.; Bremm, C.; Mezzalira, J.C.; Fonseca, L.; Da Trindade, J.K.; Bonnet, O.J.F.; Tischler, M.; Genro, T.C.M.; Nabinger, C.; Laca, E.A. Can animal performance be predicted from short-term grazing processes? Anim. Prod. Sci. 2015, 55, 319–327. [Google Scholar] [CrossRef]
- Barnes, M.K.; Norton, B.E.; Maeno, M.; Malechek, J.C. Paddock size and stocking density affect spatial heterogeneity of grazing. Rangel. Ecol. Manag. 2008, 61, 380–388. [Google Scholar] [CrossRef]
- Raynor, E.J.; Griffith, C.D.; Twidwell, D.; Schacht, W.H.; Wonkka, C.L.; Roberts, C.P.; Bielski, C.L.; Debinski, D.M.; Miller, J.R. The emergence of heterogeneity in invasive-dominated grassland: A matter of the scale of detection. Landsc. Ecol. 2018, 33, 2103–2119. [Google Scholar] [CrossRef]
- Allred, B.W.; Scasta, J.D.; Hovick, T.J.; Fuhlendorf, S.D.; Hamilton, R.G. Spatial heterogeneity stabilizes livestock productivity in a changing climate. Agric. Ecosyst. Environ. 2014, 193, 37–41. [Google Scholar] [CrossRef]
- Bailey, D.W.; Mosley, J.C.; Estell, R.E.; Cibils, A.F.; Horney, M.; Hendrickson, J.R.; Walker, J.W.; Launchbaugh, K.L.; Burritt, E.A. Synthesis Paper: Targeted Livestock Grazing: Prescription for Healthy Rangelands. Rangel. Ecol. Manag. 2019, 72, 865–877. [Google Scholar] [CrossRef]
- Fulkerson, W.J.; Donaghy, D.J. Plant-soluble carbohydrate reserves and senescence-key criteria for developing an effective grazing management system for ryegrass-based pastures: A review. Aust. J. Exp. Agric. 2001, 41, 261–275. [Google Scholar] [CrossRef]
- Wade, M.H.; Carvalho, P.D.F. Defoliation Patterns and Herbage Intake on Pastures. In Grassland Ecophysiology and Grazing Ecology; Lemaire, G., Hodgson, J., Moraes, A., Nabinger, C., Carvalho, P.C.F., Eds.; CABI Publishing: Wallingford, CT, USA, 2000; pp. 233–248. [Google Scholar]
- Mueggler, W.F. Influence of competition on the response of bluebunch wheatgrass to clipping. J. Range Manag. 1972, 25, 88–92. [Google Scholar] [CrossRef]
- Gdara, A.O.; Hart, R.H.; Dean, J.G. Response of tap- and creeping-rooted alfalfas to defoliation patterns. J. Range Manag. 1991, 44, 22–26. [Google Scholar] [CrossRef][Green Version]
- Briske, D.D.; Derner, J.D.; Brown, J.R.; Fuhlendorf, S.D.; Teague, W.R.; Havstad, K.M.; Gillen, R.L.; Ash, A.J.; Willms, W.D. Rotational grazing on rangelands: Reconciliation of perception and experimental evidence. Rangel. Ecol. Manag. 2008, 61, 3–17. [Google Scholar] [CrossRef]
- Augustine, D.J.; Derner, J.D.; Fernández-Giménez, M.E.; Porensky, L.M.; Wilmer, H.; Briske, D.D. Adaptive, multipaddock rotational grazing management: A ranch-scale assessment of effects on vegetation and livestock performance in semiarid rangeland. Rangel. Ecol. Manag. 2020, in press. [Google Scholar] [CrossRef]
- Noy-Meir, I. Rotational grazing in a continuously growing pasture: A simple model. Agric. Syst. 1976, 1, 87–112. [Google Scholar] [CrossRef]
- Wang, T.; Teague, W.R.; Park, S.C. Evaluation of continuous and multipaddock grazing on vegetation and livestock performance—A modeling approach. Rangel. Ecol. Manag. 2016, 69, 457–464. [Google Scholar] [CrossRef]
- Griggs, T.C.; MacAdam, J.W.; Mayland, H.F.; Burns, J.C. Temporal and vertical distribution of nonstructural carbohydrate, fiber, protein, and digestibility levels in orchardgrass swards. Agron. J. 2007, 99, 755–763. [Google Scholar] [CrossRef]
- Gregorini, P.; Eirin, M.; Refi, R.; Ursino, M.; Ansin, O.E.; Gunter, S.A. Timing of herbage allocation in strip grazing: Effects on grazing pattern and performance of beef heifers. J. Anim. Sci. 2006, 84, 1943–1950. [Google Scholar] [CrossRef]
- Chen, A.; Bryant, R.H.; Edwards, G.R. Morphology and nutritive value of perennial ryegrass cultivars at different phenological stages. Grass Forage Sci. 2019, 74, 576–581. [Google Scholar] [CrossRef]
- Gregorini, P.; Provenza, F.D.; Villalba, J.J.; Beukes, P.C.; Forbes, M.J. Dynamics of forage ingestion, oral processing and digesta outflow from the rumen: A development in a mechanistic model of a grazing ruminant, MINDY. J. Agric. Sci. 2018, 156, 980–995. [Google Scholar] [CrossRef]
- Shiyomi, M.; Okada, M.; Takahashi, S.; Tang, Y. Spatial pattern changes in aboveground plant biomass in a grazing pasture. Ecol. Res. 1998, 13, 313–322. [Google Scholar] [CrossRef]
- Boval, M.; Sauvant, D. Ingestive behaviour of grazing ruminants: Meta-analysis of the components of bite mass. Anim. Feed Sci. Technol. 2019, 251, 96–111. [Google Scholar] [CrossRef]
- Pérez-Prieto, L.A.; Delagarde, R. Meta-analysis of the effect of pasture allowance on pasture intake, milk production, and grazing behavior of dairy cows grazing temperate grasslands. J. Dairy Sci. 2013, 96, 6671–6689. [Google Scholar] [CrossRef] [PubMed]








Publisher’s Note: MDPI stays neutral with regard to jurisdictional claims in published maps and institutional affiliations. |
© 2020 by the authors. Licensee MDPI, Basel, Switzerland. This article is an open access article distributed under the terms and conditions of the Creative Commons Attribution (CC BY) license (http://creativecommons.org/licenses/by/4.0/).
Share and Cite
Pontes-Prates, A.; de Faccio Carvalho, P.C.; Laca, E.A. Mechanisms of Grazing Management in Heterogeneous Swards. Sustainability 2020, 12, 8676. https://doi.org/10.3390/su12208676
Pontes-Prates A, de Faccio Carvalho PC, Laca EA. Mechanisms of Grazing Management in Heterogeneous Swards. Sustainability. 2020; 12(20):8676. https://doi.org/10.3390/su12208676
Chicago/Turabian StylePontes-Prates, Arthur, Paulo César de Faccio Carvalho, and Emilio Andrés Laca. 2020. "Mechanisms of Grazing Management in Heterogeneous Swards" Sustainability 12, no. 20: 8676. https://doi.org/10.3390/su12208676
APA StylePontes-Prates, A., de Faccio Carvalho, P. C., & Laca, E. A. (2020). Mechanisms of Grazing Management in Heterogeneous Swards. Sustainability, 12(20), 8676. https://doi.org/10.3390/su12208676

