What If Violent Behavior Was a Coping Strategy? Approaching a Model Based on Artificial Neural Networks
Abstract
1. Introduction
2. Materials and Methods
2.1. Procedure
2.2. Participants
2.3. Instruments
2.4. Data Analysis
3. Results
3.1. Neural Network Programming
3.2. Neural Network Architecture
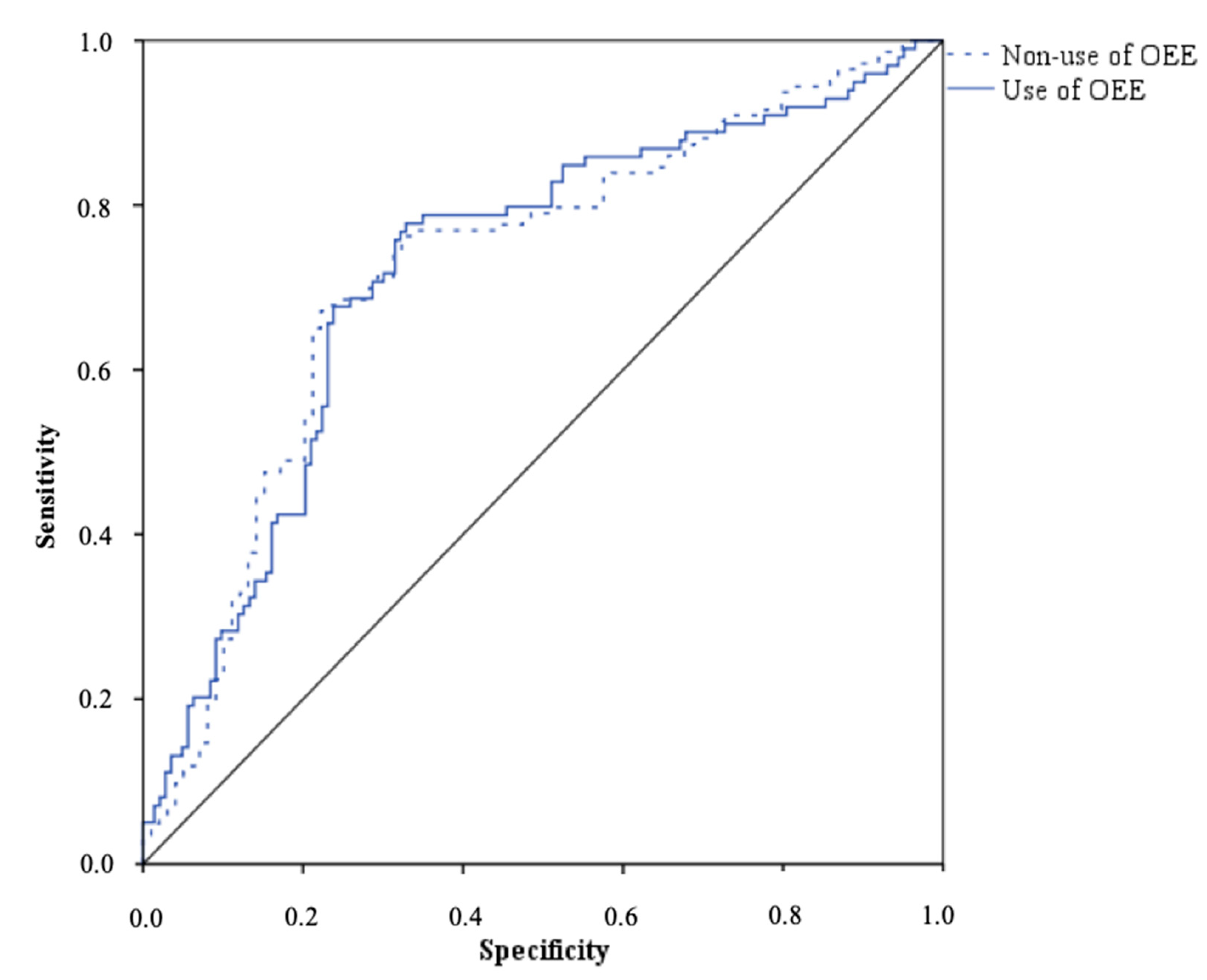
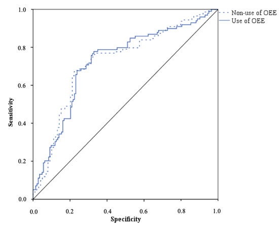
3.3. Network Assessment
4. Discussion
4.1. Applicability
4.2. Limitations and Future Lines of Research
5. Conclusions
Author Contributions
Funding
Conflicts of Interest
References
- Lazarus, R.; Folkman, S. Estrés y Procesos Cognitivos; Editorial Martínez Roca: Madrid, Spain, 1986. [Google Scholar]
- Naciones Unidas. Informe de los Objetivos de Desarrollo Sostenible; Naciones Unidas: New York, NY, USA, 2019. [Google Scholar]
- Turner, A.I.; Smyth, N.; Hall, S.J.; Torres, S.J.; Hussein, M.; Jayasinghe, S.U.; Ball, K.; Clow, A. Psychological stress reactivity and future health and disease outcomes: A systematic review of prospective evidence. Psychoneuroendocrinology 2020, 114, 104599. [Google Scholar] [CrossRef] [PubMed]
- Cerezo, F.; Sánchez, C.; Ruiz, C.; Arense, J.J. Adolescents and preadolescents’ roles on bullying, and its relation with social climate and parenting styles. Rev. Psicodidact. 2015, 20, 139–194. [Google Scholar] [CrossRef]
- Cerezo, F.; Méndez, I. Agresores en bullying y conductas antisociales. Eur. J. Investig. Health Psychol. Educ. 2015, 3, 5–14. [Google Scholar] [CrossRef][Green Version]
- Ribeiro, I.J.; Pereira, R.; Freire, I.V.; De Oliveira, B.G.; Casotti, C.A.; Boery, E.N. Stress and quality of life among university students: A systematic literature review. Health Prof. Educ. 2018, 4, 70–77. [Google Scholar] [CrossRef]
- Morales Rodríguez, F.M. Estrategias de afrontamiento en una muestra de estudiantes universitarios. Int. J. Dev. Educ. Psychol. INFAD Rev. Psicol. 2018, 2, 289–293. [Google Scholar] [CrossRef]
- Sutcliffe, J.H.; Greenberger, P.A. Identifying psychological difficulties in college athletes. J. Allergy Clin. Immunol. Pract. 2020, 8, 2216–2219. [Google Scholar] [CrossRef] [PubMed]
- Lal, A.; Tharyan, A.; Tharyan, P. The prevalence, determinants and the role of empathy and religious or spiritual beliefs on job stress, job satisfaction, coping, burnout, and mental health in medical and surgical faculty of a teaching hospital: A cross-sectional survey. Rev. Med. Interne 2020, 41, 232–240. [Google Scholar] [CrossRef]
- Giunchi, M.; Vonthron, A.M.; Ghislieri, C. Perceived job insecurity and sustainable wellbeing: Do coping strategies help? Sustainability 2019, 11, 784. [Google Scholar] [CrossRef]
- Morales, F.M. Relaciones entre afrontamiento del estrés cotidiano, autoconcepto, habilidades sociales e inteligencia emocional. Eur. J. Educ. Psychol. 2018, 10, 41. Available online: https://formacionasunivep.com/ejep/index.php/journal/article/view/121 (accessed on 23 August 2020). [CrossRef]
- Erschens, R.; Loda, T.; Herrmann-Werner, A.; Keifenheim, K.E.; Stuber, F.; Nikendei, C.; Zipfel, S.; Junne, F. Behaviour-based functional and dysfunctional strategies of medical students to cope with burnout. Med. Educ. Online 2018, 24, 1554876. [Google Scholar] [CrossRef]
- Martínez, J.P.; Méndez, I.; Ruiz-Esteban, C.; Cerezo, F. Validación y fiabilidad del Cuestionario sobre Acoso entre Estudiantes Universitarios (QAEU). Rev. Fuentes 2020, 22, 88–104. [Google Scholar] [CrossRef]
- Anjum, A.; Muazzam, A.; Manzoor, F.; Visvizi, A.; Nawaz, R. Mediating bullying and strain in higher education institutions: The case of pakistan. Sustainability 2019, 11, 2244. [Google Scholar] [CrossRef]
- Méndez, I.; Jorquera, A.B.; Ruiz-Esteban, C.; Martínez, J.P.; Fernández-Sogorb, A. Emotional intelligence, bullying, and cyberbullying in adolescents. Int. J. Environ. Res. Public Health 2019, 16, 4837. [Google Scholar] [CrossRef] [PubMed]
- Martínez, J.P. Cómo se defiende el profesorado de secundaria del estrés: Burnout y estrategias de afrontamiento. Rev. Psicol. Trab. Organ. 2015, 31, 1–9. [Google Scholar] [CrossRef]
- Martínez, J.P.; Méndez, I.; Ruiz-Esteban, C.; Fernández-Sogorb, A.; García-Fernández, J.M. Profiles of Burnout, Coping Strategies and Depressive Symptomatology. Front. Psychol. 2020, 11, 591. [Google Scholar] [CrossRef] [PubMed]
- Alhija, F.N.A. Teacher stress and coping: The role of personal and job characteristics. Procedia Soc. Behav. Sci. 2015, 185, 374–380. [Google Scholar] [CrossRef]
- Méndez, I.; Ruiz-Esteban, C.; Martínez, J.P.; Cerezo, F. Bullying in higher education. Behav. Psychol. Conduct. 2019, 27, 55–68. [Google Scholar]
- Sandín, B.; Chorot, O. Cuestionario de aprontamiento del estrés (CAE): Desarrollo y validación preliminar. Rev. Psicopatol. Psicol. Clin. 2003, 8, 39–54. [Google Scholar] [CrossRef]
- De La Rosa-Rojas, G.; Chang-Grozo, S.; Delgado-Flores, L.; Oliveros-Lijap, L.; Murillo-Pérez, D.; Ortiz-Lozada, R.; Vela-Ulloa, G.; Yhuri, C.N. Levels of stress and coping strategies in medical students compared with students from other schools. Gac. Med. Mex. 2015, 4, 443–449. Available online: https://bit.ly/3fbMMLb (accessed on 11 August 2020).
- Schiller, J.H.; Stansfield, R.B.; Belmonte, D.C.; Purkiss, J.A.; Reddy, R.M.; House, J.B.; Santen, S.A. Medical students’ use of different coping strategies and relationship with academic performance in preclinical and clinical years. Teach. Learn. Med. 2018, 30, 15–21. [Google Scholar] [CrossRef]
- Xu, N.; Liu, Y. Coping strategy mediates the relationship between body image evaluation and mental health: A study with Chinese college students with disabilities. Disabil. Health J. 2020, 13, 100830. [Google Scholar] [CrossRef] [PubMed]
- Richardson, C.M.E.; Hoene, T.H.M.; Rigatti, H.L. Self-critical perfectionism and daily drinking to cope with negative emotional experiences among college students. Pers. Individ. Differ. 2020, 156, 109773. [Google Scholar] [CrossRef]
- Arias-Gundín, O.; Vizoso, C.M. Relationship between approach coping, burnout and engagement in future educators. Estud. Sobre Educ. 2018, 35, 409–427. [Google Scholar] [CrossRef]
- Enrique, A.; Mooney, O.; Salamanca-Sanabria, A.; Lee, C.T.; Farrell, S.; Richards, D. Assessing the efficacy and acceptability of an internet-delivered intervention for resilience among college students: A pilot randomised control trial protocol. Internet Interv. 2019, 17, 100254. [Google Scholar] [CrossRef]
- Kyriakou, K.; Petinou, K.; Phinikettos, I. Risk factors for voice disorders in university professors in cyprus. J. Voice 2018, 32, 643.e1–643.e9. [Google Scholar] [CrossRef] [PubMed]
- Puigbó, J.; Edo, S.; Rovira, T.; Limonero, J.T.; Fernández-Castro, J. Influencia de la inteligencia emocional percibida en el afrontamiento del estrés cotidiano. Ansiedad Estrés 2019, 25, 1–6. [Google Scholar] [CrossRef]
- Enns, A.; Eldridge, G.D.; Montgomery, C.; Gonzalez, V.M. Perceived stress, coping strategies, and emotional intelligence: A cross-sectional study of university students in helping disciplines. Nurse Educ. Today 2018, 68, 226–231. [Google Scholar] [CrossRef]
- Alvarado, R. Duelo y alexitimia. Rev. Digit. Med. Psicosom. Psicoter. 2013, 3, 1–13. [Google Scholar]
- Hoffmann, C.F.A.; Geisler, F.C.M. Accept what you observe: A conditional process model linking mindfulness facets, threat appraisal, and perceived stress in German college students. Pers. Individ. Differ. 2020, 156, 109752. [Google Scholar] [CrossRef]
- Jonason, P.K.; Talbot, D.; Cunningham, M.L.; Chonody, J. Higher-order coping strategies: Who uses them and what outcomes are linked to them. Pers. Individ. Differ. 2020, 155, 109755. [Google Scholar] [CrossRef]
- Herrero, R.; Mira, A.; Cormo, G.; Etchemendy, E.; Baños, R.; García-Palacios, A.; Ebert, D.D.; Franke, M.; Berger, T.; Schaub, M.P.; et al. An Internet based intervention for improving resilience and coping strategies in university students: Study protocol for a randomized controlled trial. Internet Interv. 2019, 16, 43–51. [Google Scholar] [CrossRef] [PubMed]
- Erdogan, E.; Ozdogan, O.; Erdogan, M. University students’ resilience level: The effect of gender and faculty. Procedia Soc. Behav. Sci. 2015, 186, 1262–1267. [Google Scholar] [CrossRef]
- Chmitorz, A.; Kunzler, A.; Helmreich, I.; Tüscher, O.; Kalisch, R.; Kubiak, T.; Wessa, M.; Lieb, K. Intervention studies to foster resilience—A systematic review and proposal for a resilience framework in future intervention studies. Clin. Psychol. Rev. 2018, 59, 78–100. [Google Scholar] [CrossRef]
- Cantero-García, M.; Alonso-Tapia, J. Brief resilience scale in front children’s behavior problems (BRS-BP). An. Psicol. 2018, 34, 531–535. [Google Scholar] [CrossRef]
- Mérida-López, S.; Extremera, N. Cuando la falta de compromiso ocupacional del profesorado novel no es suficiente para explicar la intención de abandono: ¡la inteligencia emocional importa! [When pre-service teachers’ lack of occupational commitment is not enough to explain intention to quit: Emotional intelligence matters!]. Rev. Psicodidáctica 2020, 25, 52–58. [Google Scholar] [CrossRef]
- Lehrer, H.M.; Steinhardt, M.A.; Dubois, S.K.; Laudenslager, M.L. Perceived stress, psychological resilience, hair cortisol concentration, and metabolic syndrome severity: A moderated mediation model. Psychoneuroendocrinology 2020, 113, 104510. [Google Scholar] [CrossRef]
- Ge, Y.; Xin, S.; Luan, D.; Zou, Z.; Bai, X.; Liu, M.; Gao, Q. Independent and combined associations between screen time and physical activity and perceived stress among college students. Addict. Behav. 2020, 103, 106224. [Google Scholar] [CrossRef]
- Buscema, P.M.; Massini, G.; Breda, M.; Lodwick, W.A.; Newman, F.; Asadi-Zeydabadi, M. Artificial Neural Networks. In Artificial Adaptive Systems Using Auto Contractive Maps; Springer: New York, NY, USA, 2018; Volume 131, pp. 11–35. [Google Scholar] [CrossRef]
- Qin, S.J.; Chiang, L.H. Advances and opportunities in machine learning for process data analytics. Comput. Chem. Eng. 2019, 126, 465–473. [Google Scholar] [CrossRef]
- Kolachalama, V.B.; Garg, P.S. Machine learning and medical education. NPJ Digit. Med. 2018, 1, 54. [Google Scholar] [CrossRef]
- Hahn, G.; Ponce-Álvarez, A.; Deco, G.; Aertsen, A.; Kumar, A. Portraits of communication in neuronal networks. Nat. Rev. Neurosci. 2019, 20, 117–127. [Google Scholar] [CrossRef]
- Cohen, S.; Kamarck, T.; Mermelstein, R. A global measure of perceived stress. J. Health Soc. Behav. 1983, 24, 385–396. [Google Scholar] [CrossRef] [PubMed]
- Remor, E. Psychometric properties of a European Spanish version of the Perceived Stress Scale (PSS). Span. J. Psychol. 2006, 9, 86–93. [Google Scholar] [CrossRef]
- Sinclair, V.G.; Wallston, K.A. The development and psychometric evaluation of the brief resilient coping scale. Assessment 2004, 11, 94–101. [Google Scholar] [CrossRef] [PubMed]
- Moret-Tatay, C.; Fernández, J.J.; Civera, C.; Navarro-Pardo, E.; De la Hera, C.M.A. Psychometric properties and Factor structure of the BRCS in an elderly Spanish sample. An. Psicol. 2015, 31, 1030–1034. [Google Scholar] [CrossRef]
- Caycho-Rodríguez, T.; Ventura-León, J.; García-Cadena, C.H.; Tomás, J.M.; Domínguez-Vergara, J.; Daniel, L.; Arias-Gallegos, W.L. Psychometric evidence of a brief measure of resilience in non-institutionalized Peruvian older adults. Psychosoc. Interv. 2018, 27, 73–79. [Google Scholar] [CrossRef]
- International Business Machines. IBM SPSS Neural Networks 20; Microsoft: New York, NY, USA, 2011. [Google Scholar]
- IBM Corp. IBM SPSS Statistics for Windows; IBM Corp: New York, NY, USA, 2016. [Google Scholar]
- Zhang, S.; Liu, Q.; Chen, W.; Wang, Q.; Huang, Z. Interactive networks and social knowledge construction behavioral patterns in primary school teachers’ online collaborative learning activities. Comput. Educ. 2017, 104, 1–17. [Google Scholar] [CrossRef]
- Hinds, E.; Jones, L.B.; Gau, J.M.; Forrester, K.K.; Biglan, A. Teacher distress and the role of experiential avoidance. Psychol. Sch. 2015, 52, 284–297. [Google Scholar] [CrossRef]
- Ferguson, K.; Frost, L.; Hall, D. Predicting teacher anxiety, depression, and job satisfaction. J. Teach. Learn. 2012, 8, 27–42. [Google Scholar] [CrossRef]
- Dillenbourg, P. The evolution of research on digital education. Int. J. Artif. Intell. Educ. 2016, 26, 544–560. [Google Scholar] [CrossRef]





| Min | Max | M | SD | Asymmetry | Kurtosis | |||
|---|---|---|---|---|---|---|---|---|
| Value | Standard Error | Value | Standard Error | |||||
| IV | ||||||||
| FSP | 4 | 24 | 16.06 | 4.704 | −0.265 | 0.14 | −0.716 | 0.289 |
| NSF | 0 | 21 | 7.96 | 3.907 | 0.567 | 0.145 | 0.131 | 0.289 |
| PRE | 4 | 24 | 16.04 | 4.119 | −0.425 | 0.145 | −0.290 | 0.289 |
| AVD | 0 | 24 | 12.55 | 4.472 | 0.075 | 0.145 | 0.070 | 0.289 |
| SSS | 0 | 24 | 14.36 | 6.390 | −0.215 | 0.145 | −0.943 | 0.289 |
| RLG | 0 | 24 | 3.73 | 5.602 | 1.713 | 0.145 | 2.288 | 0.289 |
| Stress | 5 | 52 | 25.75 | 9.097 | 0.257 | 0.145 | 0.036 | 0.289 |
| Resilience | 4 | 20 | 15.01 | 3.281 | −0.605 | 0.145 | 0.092 | 0.289 |
| DV | ||||||||
| OEE | 0 | 21 | 8.19 | 3.777 | 0.468 | 0.145 | 0.433 | 0.289 |
| OEE (non-use/use) | 1 | 3 | 1.90 | 0.876 | 0.468 | 0.145 | 0.433 | 0.289 |
| Strategy | Cronbach’s Alpha |
|---|---|
| FSP | 0.86 |
| NFS | 0.72 |
| PRE | 0.78 |
| OEE | 0.68 |
| AVD | 0.71 |
| BAS | 0.94 |
| RLG | 0.93 |
| Option | Value |
|---|---|
| Initial learning rate | 0.4 |
| Lower learning rate limit | 0.001 |
| Reduction of the learning rate, at times | 10 |
| Drive | 0.9 |
| Center of interval | 0 |
| Interval shift | ±0.5 |
| Phase | Model Summary (a) | Distribution | ||
|---|---|---|---|---|
| N(b) | Proportion (Scale 0–1) | |||
| Training | Cross entropy error | 116.92 | 193 | 0.7 |
| Percentage of incorrect forecasts | 29 | |||
| Stop rule used | OCS | |||
| Set-up time | 0:00:00.14 | |||
| Testing | Cross entropy error | 26.64 | 49 | 0.18 |
| Incorrect forecast percentage | 22.4 | |||
| Reserve | Incorrect forecast percentage | 22.9 | 35 | 0.13 |
| Predictor [Node Value] Variable | Predicted | |||||
|---|---|---|---|---|---|---|
| Hidden Layer | Output Layer | Output Layer | ||||
| H(1:1) | H(1:2) | H(1:3) | OEE = −1 | OEE = 1 | ||
| Input layer | (Bias) | 0.38 | −0.04 | −0.01 | ||
| [Marital status = 1] Married | −0.29 | −0.09 | −0.31 | |||
| [Marital status = 2] Divorced | −0.46 | 0.39 | −0.04 | |||
| [Marital status = 3] Single | 0.46 | 0.49 | −0.26 | |||
| [Marital status = 4] Widow | 0.35 | −0.32 | 0.15 | |||
| [Studies = 1] Primary | 0.15 | 0.27 | 0.12 | |||
| [Studies = 2] Secondary | 0.23 | 0.22 | 0.04 | |||
| [Studies = 3] Vocational | 0.15 | −0.16 | 0.46 | |||
| [Studies = 4] Bachelor | −0.47 | 0.27 | −0.24 | |||
| [Studies = 5] Master | 0.1 | −0.13 | −0.57 | |||
| [Studies = 6] PhD | 0.05 | −0.47 | −0.16 | |||
| [Role = 1] Family | 0.03 | −0.14 | 0.18 | |||
| [Role = 2] Student | 0.49 | −0.11 | 0.15 | |||
| [Role = 3] Professor | 0.19 | −0.31 | −0.39 | |||
| [Role = 4] Staff | 0.13 | 0.19 | −0.06 | |||
| [Sex = 1] Male | 0.39 | −0.08 | 0 | |||
| [Sex = 2] Female | −0.12 | −0.24 | 0.37 | |||
| Age (years) | −0.14 | −0.16 | −0.02 | |||
| FSP | 0.41 | −0.34 | −0.55 | |||
| NSF | −0.47 | 0.01 | 0.48 | |||
| AVD | −0.25 | −0.19 | 0.51 | |||
| SSS | −0.02 | 0.17 | 0.43 | |||
| RLG | −0.13 | −0.48 | 0.43 | |||
| PRE | −0.28 | −0.22 | −0.2 | |||
| Stress | −0.34 | −0.16 | −0.11 | |||
| Resilience | −0.5 | −0.47 | −0.14 | |||
| Hidden layer | (Bias) | 0.1 | 0.23 | |||
| H(1:1) | −0.45 | −0.09 | ||||
| H(1:2) | −0.31 | 0.24 | ||||
| H(1:3) | −0.56 | 0.42 | ||||
| Independent Variables | Importance | Standard Importance |
|---|---|---|
| Marital status | 0.008 | 4.1% |
| Studies | 0.016 | 8.9% |
| Role | 0.010 | 5.2% |
| Sex | 0.006 | 3.4% |
| Age | 0.016 | 8.9% |
| FSP | 0.155 | 84.6% |
| NSF | 0.153 | 83.4% |
| AVD | 0.183 | 100% |
| SSS | 0.155 | 84.5% |
| RLG | 0.124 | 67.8% |
| PRE | 0.060 | 32.7% |
| Stress | 0.076 | 41.4% |
| Resilience | 0.037 | 20.1% |
| Phase | Observed | Predicted (Dependent Variable: OEE) | ||
|---|---|---|---|---|
| Non-Use | Use | Correct Percentage | ||
| Training | Non-use | 86 | 26 | 76.8% |
| Use | 30 | 51 | 63% | |
| Overall rate | 60.1% | 39.9% | 71% | |
| Testing | Non-use | 23 | 8 | 74.2% |
| Use | 3 | 15 | 83.3% | |
| Overall rate | 53.1% | 46.9% | 77.6% | |
| Reserve | Non-use | 14 | 4 | 77.8% |
| Use | 4 | 13 | 76.5% | |
| Overall rate | 51.4% | 48.6% | 77.1% | |
© 2020 by the authors. Licensee MDPI, Basel, Switzerland. This article is an open access article distributed under the terms and conditions of the Creative Commons Attribution (CC BY) license (http://creativecommons.org/licenses/by/4.0/).
Share and Cite
Martínez Ramón, J.P.; Morales Rodríguez, F.M. What If Violent Behavior Was a Coping Strategy? Approaching a Model Based on Artificial Neural Networks. Sustainability 2020, 12, 7396. https://doi.org/10.3390/su12187396
Martínez Ramón JP, Morales Rodríguez FM. What If Violent Behavior Was a Coping Strategy? Approaching a Model Based on Artificial Neural Networks. Sustainability. 2020; 12(18):7396. https://doi.org/10.3390/su12187396
Chicago/Turabian StyleMartínez Ramón, Juan Pedro, and Francisco Manuel Morales Rodríguez. 2020. "What If Violent Behavior Was a Coping Strategy? Approaching a Model Based on Artificial Neural Networks" Sustainability 12, no. 18: 7396. https://doi.org/10.3390/su12187396
APA StyleMartínez Ramón, J. P., & Morales Rodríguez, F. M. (2020). What If Violent Behavior Was a Coping Strategy? Approaching a Model Based on Artificial Neural Networks. Sustainability, 12(18), 7396. https://doi.org/10.3390/su12187396
