Modeling Subtropical Forest Changes under Climate Change and Close-to-Nature Silviculture: Is There a Tipping Point in an Uncertain Future in Southern China?
Abstract
1. Introduction
2. Methods
2.1. Study Area
2.2. Climate Data
2.3. Forest Landscape Model LANDIS-II
2.4. Model Parametrization
2.5. Experimental Design
3. Results
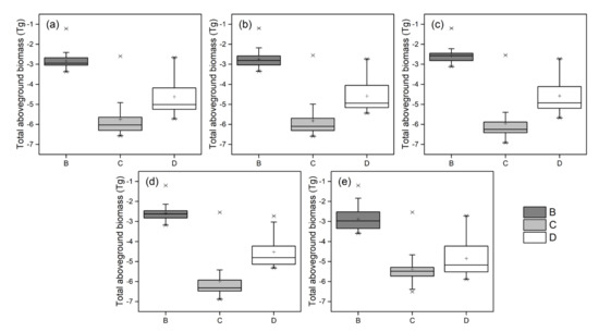
3.1. Total Forest AGB
3.2. Phase of Total Forest AGB Accumulation
3.3. Spatial Distribution of Forest AGB
4. Discussion
4.1. Interpretation of Results
4.2. Adaptation to Climate Change for Sustainable Forest Management
5. Conclusions
Author Contributions
Funding
Acknowledgments
Conflicts of Interest
References
- Intergovernmental Panel on Climate Change (IPCC). Climate Change 2013: The Physical Science Basis. Contribution of Working Group to the Fifth Assessment Report of the Intergovernmental Panel on Climate Change; Cambridge University Press: New York, NY, USA, 2013. [Google Scholar]
- Steenberg, J.W.N.; Duinker, P.N.; Bush, P.G. Modelling the effects of climate change and timber harvest on the forests of central Nova Scotia, Canada. Ann. For. Sci. 2012, 70, 61–73. [Google Scholar] [CrossRef]
- Allen, M.R.; Dube, O.P.; Solecki, W.; Aragón-Durand, F.; Cramer, W.; Humphreys, S.; Kainuma, M.; Kala, J.; Mahowald, N.; Mulugetta, Y.; et al. Framing and Context. In Global Warming of 1.5 °C. An IPCC Special Report on the impacts of global warming of 1.5 °C above pre-industrial levels and related global greenhouse gas emission pathways, in the context of strengthening the global response to the threat of climate change, sustainable development, and efforts to eradicate poverty. 2018, in press.
- Gustafson, E.J.; Shvidenko, A.; Sturtevant, B.R.; Scheller, R.M. Predicting global change effects on forest biomass and composition in south-central Siberia. Ecol. Appl. 2010, 20, 700–715. [Google Scholar] [CrossRef]
- Michaletz, S.T.; Cheng, D.; Kerkhoff, A.J.; Enquist, B.J. Convergence of terrestrial plant production across global climate gradients. Nature 2014, 512, 39–43. [Google Scholar] [CrossRef]
- Liang, Y.; He, H.; Wu, Z.; Yang, J. Effects of environmental heterogeneity on predictions of tree species’ abundance in response to climate warming. Environ. Model. Softw. 2014, 59, 222–231. [Google Scholar] [CrossRef]
- Dai, E.; Wu, Z.; Ge, Q.; Xi, W.; Wang, X. Predicting the responses of forest distribution and aboveground biomass to climate change under RCP scenarios in southern China. Glob. Chang. Biol. 2016, 22, 3642–3661. [Google Scholar] [CrossRef]
- Giam, X. Global biodiversity loss from tropical deforestation. Proc. Natl. Acad. Sci. USA 2017, 114, 5775–5777. [Google Scholar] [CrossRef]
- Chen, C.; Park, T.; Wang, X.; Piao, S.; Xu, B.; Chaturvedi, R.K.; Fuchs, R.; Brovkin, V.; Ciais, P.; Fensholt, R.; et al. China and India lead in greening of the world through land-use management. Nat. Sustain. 2019, 2, 122–129. [Google Scholar] [CrossRef]
- Viña, A.; McConnell, W.J.; Yang, H.; Xu, Z.; Liu, J. Effects of conservation policy on China’s forest recovery. Sci. Adv. 2016, 2, e1500965. [Google Scholar] [CrossRef]
- Trac, C.J.; Schmidt, A.H.; Harrell, S.; Hinckley, T.M. Is the Returning Farmland to Forest Program a Success? Three Case Studies from Sichuan. Environ. Pract. 2013, 15, 350–366. [Google Scholar] [CrossRef]
- Nepstad, D.C.; Stickler, C.M.; Filho, B.S.; Merry, F. Interactions among Amazon land use, forests and climate: Prospects for a near-term forest tipping point. Philos. Trans. R. Soc. B Biol. Sci. 2008, 363, 1737–1746. [Google Scholar] [CrossRef]
- Reyer, C.P.; Brouwers, N.; Rammig, A.; Brook, B.W.; Epila, J.; Grant, R.F.; Holmgren, M.; Langerwisch, F.; Leuzinger, S.; Lucht, W.; et al. Forest resilience and tipping points at different spatio-temporal scales: Approaches and challenges. J. Ecol. 2015, 103, 5–15. [Google Scholar] [CrossRef]
- Cumming, G.S. Spatial resilience: Integrating landscape ecology, resilience, and sustainability. Landsc. Ecol. 2011, 26, 899–909. [Google Scholar] [CrossRef]
- Adams, M. Mega-fires, tipping points and ecosystem services: Managing forests and woodlands in an uncertain future. For. Ecol. Manag. 2013, 294, 250–261. [Google Scholar] [CrossRef]
- Scheller, R.M.; Domingo, J.B.; Sturtevant, B.R.; Williams, J.S.; Rudy, A.; Gustafson, E.J.; Mladenoff, D.J. Design, development, and application of LANDIS-II, a spatial landscape simulation model with flexible temporal and spatial resolution. Ecol. Model. 2007, 201, 409–419. [Google Scholar] [CrossRef]
- He, H.; Mladenoff, D.J.; Gustafson, E.J. Study of landscape change under forest harvesting and climate warming-induced fire disturbance. For. Ecol. Manag. 2002, 155, 257–270. [Google Scholar] [CrossRef]
- Luo, X.; He, H.; Liang, Y.; Wang, W.J.; Wu, Z.; Fraser, J.S. Spatial simulation of the effect of fire and harvest on aboveground tree biomass in boreal forests of Northeast China. Landsc. Ecol. 2014, 29, 1187–1200. [Google Scholar] [CrossRef]
- Krofcheck, D.J.; Remy, C.C.; Keyser, A.R.; Hurteau, M.D. Optimizing Forest Management Stabilizes Carbon Under Projected Climate and Wildfires. J. Geophys. Res. Biogeosciences 2019, 124, 3075–3087. [Google Scholar] [CrossRef]
- Haga, C.; Inoue, T.; Hotta, W.; Shibata, R.; Hashimoto, S.; Kurokawa, H.; Machimura, T.; Matsui, T.; Morimoto, J.; Shibata, H. Simulation of natural capital and ecosystem services in a watershed in Northern Japan focusing on the future underuse of nature: By linking forest landscape model and social scenarios. Sustain. Sci. 2019, 14, 89–106. [Google Scholar] [CrossRef]
- Zhao, F.; Yang, J.; He, H.; Dai, L. Effects of Natural and Human-Assisted Regeneration on Landscape Dynamics in a Korean Pine Forest in Northeast China. PLoS ONE 2013, 8, e82414. [Google Scholar] [CrossRef][Green Version]
- Duveneck, M.J.; Scheller, R.M. Measuring and managing resistance and resilience under climate change in northern Great Lake forests (USA). Landsc. Ecol. 2015, 31, 669–686. [Google Scholar] [CrossRef]
- Wang, W.J.; He, H.; Thompson, F.R.; Fraser, J.S.; Dijak, W.D. Changes in forest biomass and tree species distribution under climate change in the northeastern United States. Landsc. Ecol. 2016, 32, 1399–1413. [Google Scholar] [CrossRef]
- Wu, Z.; Dai, E.; Wu, Z.; Lin, M. Future forest dynamics under climate change, land use change, and harvest in subtropical forests in Southern China. Landsc. Ecol. 2019, 34, 843–863. [Google Scholar] [CrossRef]
- Statistics Bureau of Taihe County. Statistical Communiqué of the Taihe County on the 2018 National Economic and Social Development; 2019. Available online: http://www.jxth.gov.cn/news-show-44098.html (accessed on 26 August 2020).
- Liu, S.; Wu, S.; Wang, H. Managing planted forests for multiple uses under a changing environment in China. N. Z. J. For. Sci. 2014, 44, S3. [Google Scholar] [CrossRef]
- Tong, X.; Brandt, M.; Yue, Y.; Ciais, P.; Jepsen, M.R.; Peñuelas, J.; Wigneron, J.-P.; Xiao, X.; Song, X.-P.; Horion, S.; et al. Forest management in southern China generates short term extensive carbon sequestration. Nat. Commun. 2020, 11, 1–10. [Google Scholar] [CrossRef] [PubMed]
- Chen, F.; Yuan, Y.-J.; Yu, S.-L.; Zhang, T.-W. Influence of climate warming and resin collection on the growth of Masson pine (Pinus massoniana) in a subtropical forest, southern China. Trees 2015, 29, 1423–1430. [Google Scholar] [CrossRef]
- MarkSimGCM. Available online: http://gisweb.ciat.cgiar.org/MarkSimGCM/ (accessed on 23 August 2020).
- RCP Database (Version 2.0). Available online: http://tntcat.iiasa.ac.at:8787/RcpDb/dsd?Action=htmlpage&page=welcome (accessed on 23 August 2020).
- Scheller, R.M.; Kretchun, A.M.; Van Tuyl, S.; Clark, K.L.; Lucash, M.S.; Hom, J. Divergent carbon dynamics under climate change in forests with diverse soils, tree species, and land use histories. Ecosphere 2012, 3, 1–16. [Google Scholar] [CrossRef]
- Mladenoff, D.J. LANDIS and forest landscape models. Ecol. Model. 2004, 180, 7–19. [Google Scholar] [CrossRef]
- Scheller, R.M.; Mladenoff, D.J. A spatially interactive simulation of climate change, harvesting, wind, and tree species migration and projected changes to forest composition and biomass in northern Wisconsin, USA. Glob. Chang. Biol. 2005, 11, 307–321. [Google Scholar] [CrossRef]
- Wu, Z.; Ge, Q.; Dai, E. Modeling the Relative Contributions of Land Use Change and Harvest to Forest Landscape Change in the Taihe County, China. Sustainability 2017, 9, 708. [Google Scholar] [CrossRef]
- Wu, Z.; Dai, E.; Wu, Z.; Lin, M. Assessing differences in the response of forest aboveground biomass and composition under climate change in subtropical forest transition zone. Sci. Total. Environ. 2020, 706, 135746. [Google Scholar] [CrossRef]
- Aber, J.; Driscoll, C.T. Effects of land use, climate variation, and N deposition on N cycling and C storage in northern hardwood forests. Glob. Biogeochem. Cycles 1997, 11, 639–648. [Google Scholar] [CrossRef]
- Aber, J.; Ollinger, S.V.; Federer, C.; Reich, P.B.; Goulden, M.L.; Kicklighter, D.; Melillo, J.; Lathrop, R. Predicting the effects of climate change on water yield and forest production in the northeastern United States. Clim. Res. 1995, 85, 1665–1670. [Google Scholar] [CrossRef]
- Flora Reipublicae Popularis Sinicae. Available online: http://frps.iplant.cn/ (accessed on 23 August 2020).
- Liu, Y.; Yu, D.; Xun, B.; Sun, Y.; Hao, R. The potential effects of climate change on the distribution and productivity of Cunninghamia lanceolata in China. Environ. Monit. Assess. 2014, 186, 135–149. [Google Scholar] [CrossRef] [PubMed]
- Ollinger, S.V.; Aber, J.; Reich, P.B.; Freuder, R.J. Interactive effects of nitrogen deposition, tropospheric ozone, elevated CO2 and land use history on the carbon dynamics of northern hardwood forests. Glob. Chang. Biol. 2002, 8, 545–562. [Google Scholar] [CrossRef]
- Peng, C.; Apps, M.J. Modelling the response of net primary productivity (NPP) of boreal forest ecosystems to changes in climate and fire disturbance regimes. Ecol. Model. 1999, 122, 175–193. [Google Scholar] [CrossRef]
- Wu, Z.; Dai, E.; Ge, Q.; Xi, W.; Wang, X. Modelling the integrated effects of land use and climate change scenarios on forest ecosystem aboveground biomass, a case study in Taihe County of China. J. Geogr. Sci. 2016, 27, 205–222. [Google Scholar] [CrossRef]
- Acker, S.A.; Halpern, C.B.; Harmon, M.E.; Dyrness, C.T. Trends in bole biomass accumulation, net primary production and tree mortality in Pseudotsuga menziesii forests of contrasting age. Tree Physiol. 2002, 22, 213–217. [Google Scholar] [CrossRef]
- Scheller, R.M.; Mladenoff, D.J. A forest growth and biomass module for a landscape simulation model, LANDIS: Design, validation, and application. Ecol. Model. 2004, 180, 211–229. [Google Scholar] [CrossRef]
- Spittlehouse, D.L.; Stewart, R.B. Adaptation to climate change in forest management. BC J. Ecosyst. Manag. 2003, 4, 1–11. [Google Scholar]
- Nordström, E.-M.; Forsell, N.; Lundström, A.; Korosuo, A.; Bergh, J.; Havlík, P.; Kraxner, F.; Frank, S.; Fricko, O.; Lundmark, T.; et al. Impacts of global climate change mitigation scenarios on forests and harvesting in Sweden. Can. J. For. Res. 2016, 46, 1427–1438. [Google Scholar] [CrossRef]
- Zheng, H.; Ouyang, Z.; Xu, W.; Wang, X.; Miao, H.; Li, X.; Tian, Y. Variation of carbon storage by different reforestation types in the hilly red soil region of southern China. For. Ecol. Manag. 2008, 255, 1113–1121. [Google Scholar] [CrossRef]
- He, H.S.; Mladenoff, D.J. Spatially explicit and stochastic simulation of forest landscape fire disturbance and succession. Ecology 1999, 80, 81–99. [Google Scholar] [CrossRef]
- Saxe, H.; Ellsworth, D.; Heath, J. Tree and forest functioning in an enriched CO2 atmosphere. New Phytol. 1988, 139, 395–436. [Google Scholar] [CrossRef]
- Norby, R.J.; DeLucia, E.H.; Gielen, B.; Calfapietra, C.; Giardina, C.P.; King, J.S.; Ledford, J.; McCarthy, H.R.; Moore, D.J.P.; Ceulemans, R.; et al. Forest response to elevated CO2 is conserved across a broad range of productivity. Proc. Natl. Acad. Sci. USA 2005, 102, 18052–18056. [Google Scholar] [CrossRef]
- Dai, E.; Wu, Z.; Wang, X.; Fu, H.; Xi, W.; Pan, T. Progress and prospect of research on forest landscape model. J. Geogr. Sci. 2015, 25, 113–128. [Google Scholar] [CrossRef]





| Management Zones | Harvesting Minimum Ages (Year) | Harvesting Species (Minimum Cohorts Removed) |
| I | 20 | Broad-leaved forests: Longpeduncled Alder (>20) Fortune Chinabells (>20) Chinese Sassafras (>20) Chinaberry Tree (>20) Poplar (>20) Crenate Gugertree (>30) Beautiful Sweetgum (>30) Shinybark Birch (>30) Eyer Evergreenchinkapin (>50) Farges Evergreenchinkapin (>50) Faber Oak (>50) Myrsinaleaf Oak (>50) Camphor Tree (>60) |
| II | 15 | Coniferous forest: Chinese Fir (>10) Masson Pine (>20) Slash Pine (>10) |
| III | 20 | Mixed forest: Chinese Fir (>10) Masson Pine (>20) Camphor Tree (>60) Faber Oak (>50) Farges Evergreenchinkapin (>50) Longpeduncled Alder (>20) Zhennan (>60) |
| Harvesting Scenarios | Management Zones | Harvesting Area (%) | Harvesting Cycle (Year) |
|---|---|---|---|
| B | I | 10% | 10 |
| II | 15% | ||
| III | 5% | ||
| C | I | 50% | 10 |
| II | 75% | ||
| III | 25% | ||
| D | I | 10% | 2 |
| II | 15% | ||
| III | 5% |
| Harvesting Scenarios | Climate Scenarios | Management Zones | ||
|---|---|---|---|---|
| I (Tg) | II(Tg) | III(Tg) | ||
| B | CC | 14.98 | 18.83 | 0.82 |
| RCP2.6 | 15.60 | 18.65 | 0.84 | |
| RCP4.5 | 16.91 | 18.38 | 0.78 | |
| RCP6.0 | 17.57 | 18.96 | 0.77 | |
| RCP8.5 | 16.17 | 13.61 | 0.77 | |
| C | CC | 7.07 | 82.64 | 1.22 |
| RCP2.6 | 7.18 | 81.59 | 1.21 | |
| RCP4.5 | 7.76 | 83.43 | 1.26 | |
| RCP6.0 | 8.05 | 85.83 | 1.29 | |
| RCP8.5 | 7.51 | 59.30 | 0.89 | |
| D | CC | 9.10 | 37.31 | 1.13 |
| RCP2.6 | 9.58 | 36.74 | 1.16 | |
| RCP4.5 | 11.26 | 37.19 | 1.24 | |
| RCP6.0 | 11.67 | 38.62 | 1.26 | |
| RCP8.5 | 8.82 | 27.23 | 1.06 | |
© 2020 by the authors. Licensee MDPI, Basel, Switzerland. This article is an open access article distributed under the terms and conditions of the Creative Commons Attribution (CC BY) license (http://creativecommons.org/licenses/by/4.0/).
Share and Cite
Wu, Z.; Dai, E.; Guan, W. Modeling Subtropical Forest Changes under Climate Change and Close-to-Nature Silviculture: Is There a Tipping Point in an Uncertain Future in Southern China? Sustainability 2020, 12, 6992. https://doi.org/10.3390/su12176992
Wu Z, Dai E, Guan W. Modeling Subtropical Forest Changes under Climate Change and Close-to-Nature Silviculture: Is There a Tipping Point in an Uncertain Future in Southern China? Sustainability. 2020; 12(17):6992. https://doi.org/10.3390/su12176992
Chicago/Turabian StyleWu, Zhuo, Erfu Dai, and Wenchuan Guan. 2020. "Modeling Subtropical Forest Changes under Climate Change and Close-to-Nature Silviculture: Is There a Tipping Point in an Uncertain Future in Southern China?" Sustainability 12, no. 17: 6992. https://doi.org/10.3390/su12176992
APA StyleWu, Z., Dai, E., & Guan, W. (2020). Modeling Subtropical Forest Changes under Climate Change and Close-to-Nature Silviculture: Is There a Tipping Point in an Uncertain Future in Southern China? Sustainability, 12(17), 6992. https://doi.org/10.3390/su12176992

