A Game-Based Approach to Exploring Gender Differences in Smallholder Decisions to Change Farming Practices: White Rice Production in Laos
Abstract
1. Introduction
2. Materials and Methods
2.1. Study Context and Game Participants
- (1)
- The use of direct seeding machines that allow farmers to significantly reduce the time required to plant their fields, and hence opens up options for alternative uses of labour. There were several technical concerns about the suitability of direct seeding approaches in terms of its applicability in some geographical areas and resultant weed intrusion.
- (2)
- Access to the market and cooperative agreements between traders and farmer groups, to meet order requirements.
- (3)
- The proper application of fertilizer necessary to increase yields. The soils in the area are generally of poor quality and fertilizer is often inadequately applied.
2.2. Game Development
2.2.1. Player’s Profiles and Objectives
- Five teams of farmers (with 2 participants per team when available): players were practicing male and female farmers from the participating villages. They all had experience with growing sticky rice, and white rice was grown in the villages by some but not all of them. The objective of each farmer’s team was to feed her/his family and pay “taxes” to cover school, health and electricity expenses. To be able to do so, farmers had to produce rice (either sticky, improved variety or white rice) and earn money tokens. They could also sell their livestock or send their labour forces (i.e., labour tokens) to Thailand.
- A team of extensionists: players on this team were the local District Agriculture and Forestry Officers; hence, they were familiar with the participating village’s production and socio-cultural systems. They were also familiar with the new technologies being proposed in the game, as these technologies were selected based on their “real life” relevance. The extension officers’ team was given “the mission” to convince as many farmers as possible to adopt one (or more) of the following new technologies: (1) switching to “improved sticky rice”, (2) use of direct seeding machine and (3) use of high quality fertilizer. To encourage the uptake of new technologies, extension officers could distribute free “technical packages” (such as free fertilizer or use of the direct seeding machines); however, the distribution of “goods” for free per round was limited due to the limited (imaginary) budget of the District Agriculture and Forestry Office. No rules were set on how to distribute these “goods”; it was entirely up to the extension officers to decide on the process.
- A trader: this was the only role in the game that was not played by the “actual” actor. Rather, the role of the trader was scripted and performed by a member of the research team. Her/his job was to sell inputs and new technologies, such as improved sticky rice seeds, white rice seeds, fertilizer, direct seeding machine and cattle and fodder, to the farmer, enabling the farmer to make management and adoption choices. The trader appeared at the beginning of each round when he/she would pay a visit to the village. The trader re-appeared at the end of each turn and could purchase the outputs from the farmers (rice, cattle). The trader fixed the prices and expected quantities for the white rice at the start of the game.
2.2.2. The Gameboard
- An irrigated rice paddy field located near the river (lowest area on the board). It had plenty of water, but in years with too much rain, it could be flooded.
- Another irrigated paddy field, but in years with a low amount of rain, the irrigation system could not provide enough water to this area.
- A rainfed paddy field, where rice production depended on the quantity of rainfall during the rainy season. The soil was good.
- Another rainfed paddy field, where rice production depended on the quantity of rainfall during the rainy season. This area had bad soil.
- Grazing land near the farm.
- The farmhouse.
- This is a special area; it represented a factory in Thailand where players could send their family members (in the form of labour pawns) for off-farm income.
2.2.3. Rounds and Sequence of Events
- Rainfall: The timing of weather events was scripted and was identical across all workshops. The weather conditions were either “good” or “bad”, leading to different yields on the rainfed fields. “Good” meant positive yields (corresponding to an average wet season), and “bad” meant reduced yields (corresponding to a year with little rain). Additionally, floods could occur, influencing the lower irrigated rice paddy. Rounds 1, 3 and 5 were good rainy years, round 2 was a year with little rain, while flooding occurred in round 4.
- Players’ tokens and actions: Farmers started with two types of tokens: labour pawns and money. Each farmer received eight labour pawns, with one pawn representing approximately 10 days work and eight money tokens of 500,000 Lao Kip each (~USD 55). Players could allocate labour entirely to one activity or a combination of: (1) rice cultivation on one of the four fields; (2) cattle herding; (3) off-farm work in Thailand; or (4) staying at home.
- Rice cultivation: Players chose between the traditional sticky rice, improved sticky rice and white rice. The game started with traditional sticky rice production only. In year two, improved sticky rice, which produced 1.5 more bags of rice than its traditional counterpart, was also available. White rice for the sale (commercial) production option was introduced into the game from year 3 onwards. Farmers could also choose to use external inputs, including a direct seeding machine (reducing workload) and fertilizers.
- Cattle fattening: Each farmer initially received one cow token. Cattle could have 4 stages of fattening, represented by the fields coloured on the cow-card. The farmers could choose to fatten their cattle. To do so, they could either place the cow token on a grazing area or feed the cow token with fodder bought from the trader. If fattening the cattle, they had to allocate one labour pawn to remain with the cow token. The price received at sale depended on the stage of fattening of the cow token.
- Players’ income: Players could generate income by selling rice, cattle or working off-farm. Sticky rice (whether from a traditional or improved seed) was sold for the fixed price of 1 unit of money per bag of rice. White rice was sold for the same price, except when all the players succeeded in cumulatively producing at least 29 bags of white rice. In this case, they could sell white rice for a price premium of 1.5 unit of money per bag of rice.
2.2.4. Scenarios and the Special Focus on White Rice
2.3. Data Analysis
3. Results
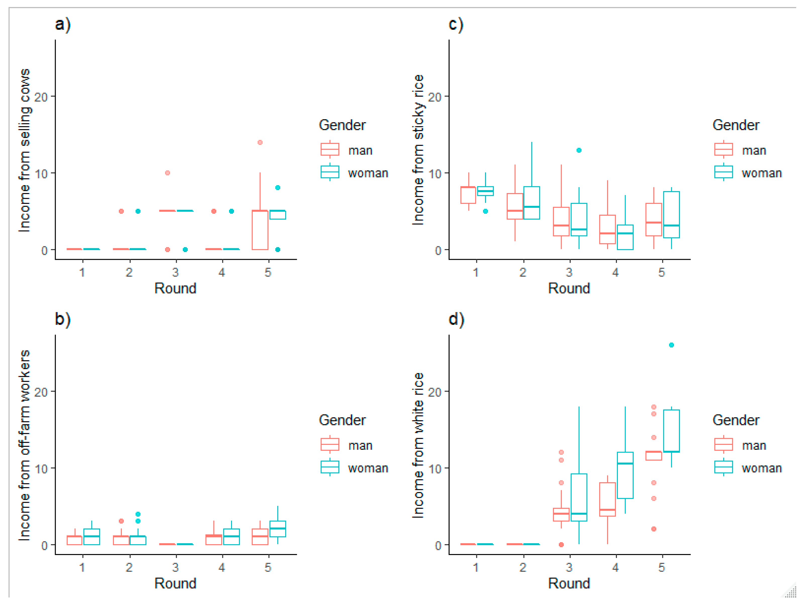
3.1. Income
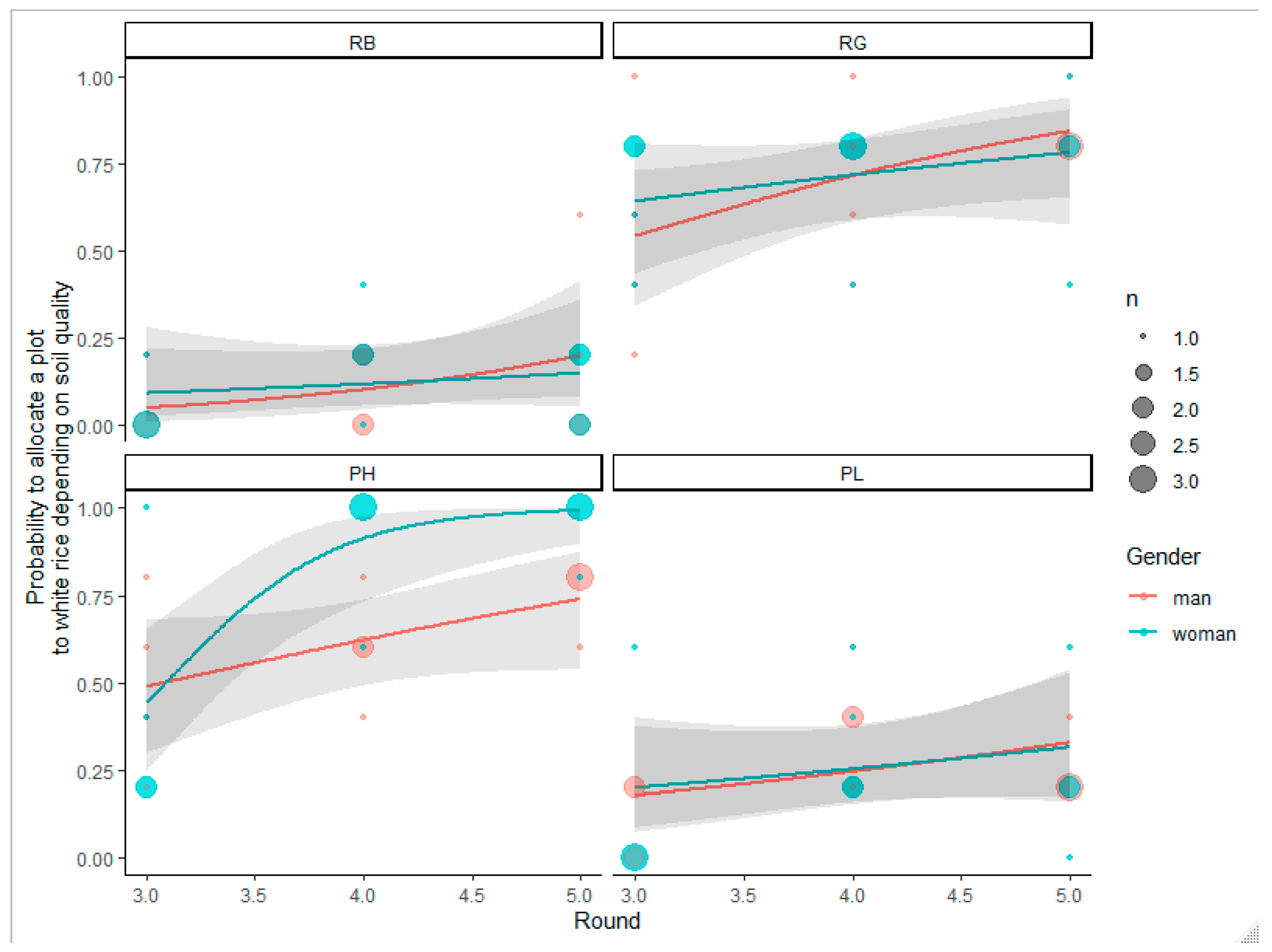
3.2. Production Choices
3.3. Cooperation
4. Discussion
5. Conclusions
Author Contributions
Funding
Acknowledgments
Conflicts of Interest
Data Availability Statement
Appendix A. Description of the Game Elements
| Round | Round 1 | Round 2 | Round 3 | Round 4 | Round 5 |
|---|---|---|---|---|---|
| Weather | Good | Bad | Good | Good | Good |
| Event | Election of the Head of the Village | Wedding | Crisis | Flood | |
| Trader can sell: | F | F-C-Fo | F-C-Fo-DSM WR-IR | F-C-Fo-DSM WR-IR | F-C-Fo-DSM WR-IR |
| Extensionist gives away: | DSM-IR-F | IR-F | IR-F-IP+C | IR-F-IP |
- Election of the head of the village (Round 1): Each farmer is assigned a colour. The head of the village is elected by putting a token of each colour in a bag. The game master will then randomly draw one. The farmer which was assigned the colour drawn will be elected head of the village.
- Wedding (Round 2): The farmers draw a chance card. The one who draws the card with the couple on it will be getting married. He, therefore, draws a token out of the bag. The farmer of the colour drawn has to give one labour force to the one with the card. The player getting married has to pay for the wedding expenses amounting to two money tokens.
- Bad weather (Round 2): Bad weather occurs and lowers the productivity on the rainfed areas. The yield will be the same on these fields, with or without fertilizer.
- Crisis (Round 3): It is the year of the global financial crisis. The labour tokens sent to Thailand will not bring any money home.
- Flood (Round 4): The lower irrigated rice field is flooded. In consequence, this field’s yield amounts to zero.
| Sticky/White Rice | Improved Rice | |||
|---|---|---|---|---|
| No Fertilizer | Fertilizer | No Fertilizer | Fertilizer | |
| Rainfed—bad soil | 2 | 3 | 3 | 4 |
| Rainfed—good soil | 3 | 4 | 4 | 5 |
| Irrigated—high | 3 | 4 | 4 | 6 |
| Irrigated—low | 3 | 4 | 4 | 6 |
| Sticky/White Rice | Improved Rice | |||
|---|---|---|---|---|
| No Fertilizer | Fertilizer | No Fertilizer | Fertilizer | |
| Rainfed—bad soil | 1 | 1 | 2 | 2 |
| Rainfed—good soil | 2 | 2 | 3 | 3 |
| Irrigated—high | 3 | 4 | 4 | 6 |
| Irrigated—low | 3 | 4 | 4 | 6 |
Appendix B. Additional Statistical Analysis and Figures

References
- FAOSTAT. Lao People’s Democratic Republic. 2019. Available online: http://www.fao.org/countryprofiles/index/en/?iso3=LAO (accessed on 7 August 2020).
- Castella, J.-C. Agrarian transition and farming system dynamics in the uplands of South-East Asia. In Conservation Agriculture and Sustainable Upland Livelihoods: Innovations for, With and by Farmers to Adapt to Local and Global Changes: Proceedings of the 3rd International Conference on Conservation Agriculture in Southeast Asia, Hanoi, Vietnam, 10–15 December 2012; CIRAD: Montpellier, France; NOMAFSI: Phu Ho Commune, Vietnam; University of Queensland: Brisbane, Australie, 2012; pp. 4–21. ISBN 978-2-87614-687-7. [Google Scholar]
- Cook, S. Structural Change, Growth and Poverty Reduction in Asia: Pathways to Inclusive Development. Develop. Policy Rev. 2006, 6, s51–s80. [Google Scholar]
- De Koninck, R. The Challenges of the Agrarian Transition in Southeast Asia. Labour Cap. Soc. 2004, 37, 285–288. [Google Scholar]
- Humphrey, J. Prospects and Challenges for Growth and Poverty Reduction in Asia. Develop. Policy Rev. 2006, 24, s29–s49. [Google Scholar]
- Nooteboom, G. Agrarian Change and the Governance of Poverty in Southeast Asia. In Proceedings of the 9th Euroseas Conference, Oxford, UK, 16–18 August 2017; University of Oxford: Oxford, UK, 2017. [Google Scholar]
- Contzen, S.; Forney, J. Family farming and gendered division of labour on the move: A typology of farming-family configurations. Agric. Hum. Values 2017, 34, 27–40. [Google Scholar] [CrossRef]
- Alexander, K.; Millar, J.; Lipscombe, N. Sustainable Development in the Uplands of Lao PDR. Sustain. Develop. 2010, 18, 62–70. [Google Scholar]
- Alexander, K.; Case, P.; Jones, M.; Connell, J. Commercialising smallholder agricultural production in Lao People’s Democratic Republic. Develop. Pract. 2017, 27, 965–980. [Google Scholar] [CrossRef]
- Foppes, J. Knowledge Capitalization: Agriculture and Forestry Development at “Kum Ban” Village Cluster Level in Lao PDR; LEAP, NAFES: Vientiane, Laos, 2008. [Google Scholar]
- FAO Laos at A Glance. Available online: http://www.fao.org/laos/fao-in-laos/laos-at-a-glance/en/ (accessed on 7 August 2020).
- Alexander, K.S.; Greenhalgh, G.; Moglia, M.; Thephavanh, M.; Sinavong, P.; Larson, S.; Jovanovic, T.; Case, P. What is technology adoption? Exploring the agricultural research value chain for smallholder farmers in Lao PDR. Agric. Hum. Values 2020, 37, 17–32. [Google Scholar] [CrossRef]
- Clarke, E.; Jackson, T.M.; Keoka, K.; Phimphachanvongsod, V.; Sengxua, P.; Simali, P.; Wade, L.J. Insights into adoption of farming practices through multiple lenses: An innovation systems approach. Develop. Pract. 2018, 28, 983–998. [Google Scholar] [CrossRef]
- Moglia, M.; Alexander, K.S.; Thephavanh, M.; Thammavong, P.; Sodahak, V.; Khounsy, B.; Vorlasan, S.; Larson, S.; Connell, J.; Case, P. A Bayesian network model to explore practice change by smallholder rice farmers in Lao PDR. Agric. Syst. 2018, 164, 84–94. [Google Scholar] [CrossRef]
- Philp, J.N.M.; Vance, W.; Bell, R.W.; Chhay, T.; Boyd, D.; Phimphachanhvongsod, V.; Denton, M.D. Forage options to sustainably intensify smallholder farming systems on tropical sandy soils. A review. Agron. Sustain. Develop. 2019, 39, 30. [Google Scholar]
- FAO. Country Gender Assessment of Agriculture and the Rural Sector in Lao PDR; FAO Regional Office for Asia and the Pacific Food and Agriculture Organization of the United Nations: Vientiane, Laos, 2018. [Google Scholar]
- Akter, S.; Rutsaert, P.; Luis, J.; Htwe, N.M.; San, S.S.; Raharjo, B.; Pustika, A. Women’s empowerment and gender equity in agriculture: A different perspective from Southeast Asia. Food Policy 2017, 69, 270–279. [Google Scholar]
- Whitehead, A.; Kabeer, N. Living with Uncertainty: Gender, Livelihoods and Pro-Poor Growth in Rural Sub-Saharan Africa; Working Paper/Institute of Development Studies; IDS: Brighton, UK, 2001; ISBN 978-1-85864-366-3. [Google Scholar]
- Kabeer, N. Gender Equality, Economic Growth, and Women’s Agency: The “Endless Variety” and “Monotonous Similarity” of Patriarchal Constraints. Fem. Econ. 2016, 22, 295–321. [Google Scholar] [CrossRef]
- Whitehead, A. The gendered impacts of liberalization policies of African agricultural economies and rural livelihoods. In The Gendered Impacts of Liberalization: Towards “Embedded Liberalism”? Routledge: London, UK, 2009; ISBN 0-203-88403-5. [Google Scholar]
- Bryceson, D.F. Gender and generational patterns of African deagrarianization: Evolving labour and land allocation in smallholder peasant household farming, 1980–2015. World Develop. 2019, 113, 60–72. [Google Scholar] [CrossRef]
- SIDA. National Gender Profile of Agricultural Households, Lao PDR 2010. Report Based on The Lao Expenditure and Consumptrion Surveys, National Agricultural Census and the National Population Census; Food and Agriculture Organization of the United Nations: Vientiane, Laos, 2010. [Google Scholar]
- Phouxay, K.; Tollefsen, A. Rural–Urban Migration, Economic Transition, and Status of Female Industrial Workers in Lao PDR. Popul. Space Place 2011, 17, 421–434. [Google Scholar]
- Manivong, V.; Cramb, R.; Newby, J. Rice and Remittances: The Impact of Labour Migration on Rice Intensification. In Proceedings of the Southern Laos Australian Agricultural and Resource Economics Society Conference (56th), Fremantle, Australia, 7–10 February 2012. [Google Scholar]
- Rigg, J. Moving lives: Migration and livelihoods in the Lao PDR. Popul. Space Place 2007, 13, 163–178. [Google Scholar]
- Rigg, J. Unplanned Development: Tracking Change in South-East Asia; Zed Books: London, UK, 2012. [Google Scholar]
- Alcon, F.; Tapsuwan, S.; Martínez-Paz, J.M.; Brouwer, R.; de Miguel, M.D. Forecasting deficit irrigation adoption using a mixed stakeholder assessment methodology. Technol. Forecast. Soc. Chang. 2014, 83, 183–193. [Google Scholar]
- Feder, G.; Just, R.E.; Zilberman, D. Adoption of Agricultural Innovations in Developing Countries: A survey. Econ. Develop. Cult. Chang. 1985, 33, 255–298. [Google Scholar]
- Hailu, B.K.; Abrha, B.K.; Weldegiorgis, K.A. Adoption and impact of agricultural technologies on farm income: Evidence from Southern Tigray, Northern Ethiopia. Int. J. Food Agric. Econ. 2014, 2, 91–106. [Google Scholar]
- Knowler, D.; Bradshaw, B. Farmers’ adoption of conservation agriculture: A review and synthesis of recent research. Food Policy 2007, 32, 25–48. [Google Scholar] [CrossRef]
- Pannell, D.J.; Marshall, G.R.; Barr, N.; Curtis, A.; Vanclay, F.; Wilkinson, R. Understanding and promoting adoption of conservation practices by rural landholders. Aust. J. Exp. Agric. 2006, 46, 1407–1424. [Google Scholar]
- World Bank. Agricultural Innovations Systems—An Investment Source Book; World Bank: Washington, DC, USA, 2012; p. 658. [Google Scholar]
- Asian Development Bank. Lao PDR: Accelerating Structural Transformation for Inclusive Growth: Country Diagnostic Study; ADB: Manila, Philippines, 2017; ISBN 978-92-9257-994-4. [Google Scholar]
- Villamor, G.B.; Badmos, B.K. Grazing game: A learning tool for adaptive management in response to climate variability in semiarid areas of Ghana. Ecol. Soc. 2016, 21, 39. [Google Scholar]
- Garcia, C.A.; Savilaakso, S.; Verburg, R.W.; Gutierrez, V.; Wilson, S.J.; Krug, C.B.; Sassen, M.; Robinson, B.E.; Moersberger, H.; Naimi, B.; et al. The Global Forest Transition as a Human Affair. One Earth 2020, 2, 417–428. [Google Scholar] [CrossRef]
- Vieira Pak, M.; Castillo Brieva, D. Designing and implementing a Role-Playing Game: A tool to explain factors, decision making and landscape transformation. Environ. Model. Softw. 2010, 25, 1322–1333. [Google Scholar] [CrossRef]
- Barreteau, O.; Le Page, C.; D’aquino, P. Role-playing games, models and negotiation processes. J. Artif. Soc. Soc. Simul. 2003, 6, 1–10. [Google Scholar]
- D’Aquino, P.; Le Page, C.; Bousquet, F.; Bah, A. Using self-designed role-playing games and a multi-agent system to empower a local decision-making process for land use management: The selfCormas experiment in Senegal. J. Artif. Soc. Soc. Simul. 2003, 6, 3. [Google Scholar]
- Castella, J.-C.; Trung, T.N.; Boissau, S. Participatory simulation of land-use changes in the northern mountains of Vietnam: The combined use of an agent-based model, a roleplaying game, and a geographic information system. Ecol. Soc. 2005, 10, 27. [Google Scholar]
- Perrotton, A.; de Garine-Wichatitsky, M.; Valls-Fox, H.; Le Page, C. My cattle and your park: Codesigning a role-playing game with rural communities to promote multistakeholder dialogue at the edge of protected areas. Ecol. Soc. 2017, 22, 35. [Google Scholar]
- Basco-Carrera, L.; Meijers, E.; Sarısoy, H.D.; Şanli, N.O.; Coşkun, S.; Oliemans, W.; van Beek, E.; Karaaslan, Y.; Jonoski, A. An adapted companion modelling approach for enhancing multi-stakeholder cooperation in complex river basins. Int. J. Sustain. Develop. World Ecol. 2018, 25, 747–764. [Google Scholar] [CrossRef]
- Redpath, S.M.; Keane, A.; Andrén, H.; Baynham-Herd, Z.; Bunnefeld, N.; Duthie, A.B.; Frank, J.; Garcia, C.A.; Månsson, J.; Nilsson, L.; et al. Games as Tools to Address Conservation Conflicts. Trends Ecol. Evol. 2018, 33, 415–426. [Google Scholar] [CrossRef]
- Villamor, G.B.; van Noordwijk, M. Social Role-Play Games Vs Individual Perceptions of Conservation and PES Agreements for Maintaining Rubber Agroforests in Jambi (Sumatra), Indonesia. Ecol. Soc. 2011, 16, art27. [Google Scholar] [CrossRef]
- Ponta, N.; Cornioley, T.; Dray, A.; van Vliet, N.; Waeber, P.O.; Garcia, C.A. Hunting in Times of Change: Uncovering Indigenous Strategies in the Colombian Amazon Using a Role-Playing Game. Front. Ecol. Evol. 2019, 7, 1–19. [Google Scholar]
- Garcia, C.; Dray, A.; Waeber, P. Learning Begins When the Game Is Over: Using Games to Embrace Complexity in Natural Resources Management. GAIA—Ecol. Perspect. Sci. Soc. 2016, 25, 289–291. [Google Scholar] [CrossRef]
- Garcia, C.A.; Vendé, J.; Konerira, N.; Kalla, J.; Nay, M.; Dray, A.; Delay, M.; Waeber, P.O.; Stoudmann, N.; Bose, A.; et al. Coffee, Farmers, and Trees—Shifting Rights Accelerates Changing Landscapes. Forests 2020, 11, 480. [Google Scholar] [CrossRef]
- Speelman, E.N.; García-Barrios, L.E.; Groot, J.C.J.; Tittonell, P. Gaming for smallholder participation in the design of more sustainable agricultural landscapes. Agric. Syst. 2014, 126, 62–75. [Google Scholar] [CrossRef]
- Bos, S.P.M.; Cornioley, T.; Dray, A.; Waeber, P.O.; Garcia, C.A. Exploring livelihood strategies of shifting cultivation farmers in assam through games. Sustainability 2020, 12, 2438. [Google Scholar] [CrossRef]
- Ouariachi, T.; Elving, W.J.L.; Pierie, F. Playing for a sustainable future: The case of We Energy Game as an educational practice. Sustainability 2018, 10, 3639. [Google Scholar] [CrossRef]
- Villamor, G.B.; Dah-gbeto, P.A.; Bell, A.; Pradhan, U.; van Noordwijk, M. Gender-specific spatial perspectives and scenario building approaches for understanding gender equity and sustainability in climate-smart landscapes. In Climate-Smart Landscapes: Multifunctionality in Practice; World Agroforestry Centre (ICRAF): Nairobi, Kenya, 2015; pp. 211–224. ISBN 978-92-9059-375-1. [Google Scholar]
- Sims Feldstein, H.; Jiggins, J. Tools for The Field: Methodologies Handbook for Gender Analysis in Agriculture; Feldstein, H.S., Jiggins, J., Eds.; Kumarian Press Library of Management for Development; Kumarian Press: West Hartford, CT, USA, 1994; ISBN 978-1-56549-028-4. [Google Scholar]
- Villamor, G.B.; van Noordwijk, M.; Djanibekov, U.; Chiong-Javier, M.E.; Catacutan, D. Gender differences in land-use decisions: Shaping multifunctional landscapes? Curr. Opin. Environ. Sustain. 2014, 6, 128–133. [Google Scholar] [CrossRef]
- Étienne, M. Companion Modelling: A Participatory Approach to Support Sustainable Development; Springer: Heidelberg, Germany, 2013; ISBN 978-94-017-8557-0. [Google Scholar]
- Fisher, J.; Farré, I.; Dray, A.; Khimashia, N.; Perez, P. Serious games to explore uncertainty of future farms. In Proceedings of the 16th Australian Agronomy Conference, Armidale, New South Wales, Australia, 14–18 October 2012; Available online: http://www.regional.org.au/au/asa/2012/agriculture/8191_fisherjs.htm (accessed on 7 August 2020).
- Alexander, K.; Larson, S.; Moglia, M.; Greenhalgh, G.; Case, P.; Perez, P.; Jovanovic, T.; Giger-Dray, A. Smallholder Farmer Decision-Making and Technology Adoption in Southern Lao PDR: A Synthesis of Findings; Report for ACIAR ASEM/2014/052 project ‘Smallholder Farmer Decision-Making and Technology Adoption in Southern Laos: Opportunities and Constraints’; ACIAR: Canberra, ACT, Australia, 2017. [Google Scholar]
- Alexander, K.; Larson, S. Smallholder Farmer Decision-Making and Technology Adoption in Southern Lao PDR: Opportunities and Constraints. Activity 1.5: Stakeholders Perceptions; Report for ACIAR ASEM/2014/052 Project ‘Smallholder Farmer Decision-Making and Technology Adoption in Southern Laos: Opportunities and Constraints’; ACIAR: Canberra, Australia, 2016. [Google Scholar]
- Alexander, K.; Parry, L.; Thammavong, P.; Sacklokham, S.; Pasouvang, S.; Connell, J.; Jovanovic, T.; Moglia, M.; Larson, S.; Case, P. Rice farming systems in Southern Lao PDR: Interpreting farmers’ agricultural production decisions using Q methodology. Agric. Syst. 2018, 160, 1–10. [Google Scholar]
- Larson, S.; Alexander, K. Smallholder Farmer Decision-Making and Technology Adoption in Southern Lao PDR: Opportunities and Constraints. Activity 1.4 Summary of the Secondary Livelihoods and Economic Data; Report for ACIAR ASEM/2014/052 project ‘Smallholder Farmer Decision-Making and Technology Adoption in Southern Laos: Opportunities and Constraints’; ACIAR: Canberra, Australia, 2016. [Google Scholar]
- Eliste, P.; Santos, N.; Pravongviengkham, P. Lao People’s Democratic Republic Rice Policy Study; IRRI, WB: Rome, Italy, 2012. [Google Scholar]
- Cramb, R.A.; Gray, G.D.; Gummert, M.; Haefele, S.M.; Lefroy, R.D.B.; Newby, J.C.; Stür, W.; Warr, P. Trajectories of Rice-Based Farming Systems in Mainland Southeast Asia; ACIAR Monograph No. 177; Australian Centre for International Agricultural Research (ACIAR): Canberra, Australia, 2015. [Google Scholar]
- Stür, W.; Gray, G.D. Review of Rice-Based Farming Systems in Mainland Southeast Asia Working Paper 3. Livestock in Smallholder Farming Systems of Mainland Southeast Asia; University of Queensland Australia and International Centre for Tropical Agriculture (CIAT): Hanoi, Vietnam, 2014. [Google Scholar]
- Vote, C.; Newby, J.; Phouyyavong, K.; Inthavong, T.; Eberbach, P. Trends and perceptions of rural household groundwater use and the implications for smallholder agriculture in rain-fed Southern Laos. Int. J. Water Resour. Develop. 2015, 31, 558–574. [Google Scholar] [CrossRef]
- World Bank (WB); International Rice Research Institute (IRRI). Lao People’s Democratic Republic Rice Policy Study; Ministry of Agriculture and Forestry of the Lao People’s Democratic Republic: Vientiane, Laos, 2012. [Google Scholar]
- R Core Team. R: A Language and Environment for Statistical Computing; R Core Team: Vienna, Austria, 2019. [Google Scholar]
- Bates, D.; Mächler, M.; Bolker, B.M.; Walker, S.C. Fitting linear mixed-effects models using lme4. J. Stat. Softw. 2015. [Google Scholar] [CrossRef]
- Barr, D.J.; Levy, R.; Scheepers, C.; Tily, H.J. Random effects structure for confirmatory hypothesis testing: Keep it maximal. J. Mem. Lang. 2013, 68, 255–278. [Google Scholar] [CrossRef]
- Chatman, J.A.; O’Reilly, C.A. Asymmetric Reactions to Work Group Sex Diversity Among Men and Women. AMJ 2004, 47, 193–208. [Google Scholar] [CrossRef][Green Version]
- Hernán-González, R.; Kujal, P. Gender differences in cooperation and competition. In Experimental Economics I: Economic Decisions; Palgrave Macmillan: London, UK, 2015; pp. 154–168. [Google Scholar]
- Molina, J.A.; Giménez-Nadal, J.I.; Cuesta, J.A.; Gracia-Lazaro, C.; Moreno, Y.; Sanchez, A. Gender Differences in Cooperation: Experimental Evidence on High School Students. PLoS ONE 2013, 8, e83700. [Google Scholar] [CrossRef]
- Charness, G.; Rustichini, A. Gender differences in cooperation with group membership. Games Econ. Behav. 2011, 72, 77–85. [Google Scholar] [CrossRef]
- Balliet, D.; Li, N.P.; Macfarlan, S.J.; Van Vugt, M. Sex differences in cooperation: A meta-analytic review of social dilemmas. Psychol. Bull. 2011, 137, 881–909. [Google Scholar] [CrossRef]
- Peshkovskaya, A.; Babkina, T.; Myagkov, M. Gender effects and cooperation in collective action: A laboratory experiment. Ration. Soc. 2019, 31, 337–353. [Google Scholar] [CrossRef]
- Croson, R.; Gneezy, U. Gender Differences in Preferences. J. Econ. Lit. 2009, 47, 448–474. [Google Scholar] [CrossRef]
- Moglia, M.; Alexander, K.S.; Larson, S.; (Giger)-Dray, A.; Greenhalgh, G.; Case, P. Gendered roles in agrarian transition: A study of lowland rice farming in Lao PDR. Sustainability 2020, 12, 5403. [Google Scholar]
- Deere, C.D. The Feminization of Agriculture? Economic Restructuring in Rural Latin America; Occasional Paper; United Nations Research Institute for Social Development: Geneva, Switzerland, 2005; ISBN 978-92-9085-049-6. [Google Scholar]
- Doss, C.R.; Morris, M.L. How does gender affect the adoption of agricultural innovations? The case of improved maize technology in Ghana. Agric. Econ. 2000, 25, 27–39. [Google Scholar] [CrossRef]
- Ragasa, C. Improving Gender Responsiveness of Agricultural Extension. In Gender in Agriculture; Quisumbing, A.R., Meinzen-Dick, R., Raney, T.L., Croppenstedt, A., Behrman, J.A., Peterman, A., Eds.; Springer: Dordrecht, The Netherlands, 2014; pp. 411–430. ISBN 978-94-017-8615-7. [Google Scholar]
- Peterman, A.; Behrman, J.A.; Quisumbing, A.R. A Review of Empirical Evidence on Gender Differences in Nonland Agricultural Inputs, Technology, and Services in Developing Countries. In Gender in Agriculture; Quisumbing, A.R., Meinzen-Dick, R., Raney, T.L., Croppenstedt, A., Behrman, J.A., Peterman, A., Eds.; Springer: Dordrecht, The Netherlands, 2014; pp. 145–186. ISBN 978-94-017-8615-7. [Google Scholar]
- Bikketi, E.; Ifejika Speranza, C.; Bieri, S.; Haller, T.; Wiesmann, U. Gendered division of labour and feminisation of responsibilities in Kenya; implications for development interventions. Gender Place Cult. 2016, 23, 1432–1449. [Google Scholar] [CrossRef]
- Fischer, E.; Qaim, M. Gender, agricultural commercialization, and collective action in Kenya. Food Secur. 2012, 4, 441–453. [Google Scholar] [CrossRef]
- Ogunlana, E.A. The technology adoption behavior of women farmers: The case of alley farming in Nigeria. Renew. Agric. Food Syst. 2004, 19, 57–65. [Google Scholar] [CrossRef]
- Doss, C.R. Designing Agricultural Technology for African Women Farmers: Lessons from 25 Years of Experience. World Develop. 2001, 29, 2075–2092. [Google Scholar] [CrossRef]
- Castella, J.-C.; Bourgoin, J.; Lestrelin, G.; Bouahom, B. A model of the science-practice-policy interface in participatory land-use planning: Lessons from Laos. Landsc. Ecol. Pract. 2014, 29, 1095–1107. [Google Scholar]






© 2020 by the authors. Licensee MDPI, Basel, Switzerland. This article is an open access article distributed under the terms and conditions of the Creative Commons Attribution (CC BY) license (http://creativecommons.org/licenses/by/4.0/).
Share and Cite
Larson, S.; -Dray, A.; Cornioley, T.; Thephavanh, M.; Thammavong, P.; Vorlasan, S.; Connell, J.G.; Moglia, M.; Case, P.; Alexander, K.S.; et al. A Game-Based Approach to Exploring Gender Differences in Smallholder Decisions to Change Farming Practices: White Rice Production in Laos. Sustainability 2020, 12, 6594. https://doi.org/10.3390/su12166594
Larson S, -Dray A, Cornioley T, Thephavanh M, Thammavong P, Vorlasan S, Connell JG, Moglia M, Case P, Alexander KS, et al. A Game-Based Approach to Exploring Gender Differences in Smallholder Decisions to Change Farming Practices: White Rice Production in Laos. Sustainability. 2020; 12(16):6594. https://doi.org/10.3390/su12166594
Chicago/Turabian StyleLarson, Silva, Anne (Giger)-Dray, Tina Cornioley, Manithaythip Thephavanh, Phomma Thammavong, Sisavan Vorlasan, John G. Connell, Magnus Moglia, Peter Case, Kim S. Alexander, and et al. 2020. "A Game-Based Approach to Exploring Gender Differences in Smallholder Decisions to Change Farming Practices: White Rice Production in Laos" Sustainability 12, no. 16: 6594. https://doi.org/10.3390/su12166594
APA StyleLarson, S., -Dray, A., Cornioley, T., Thephavanh, M., Thammavong, P., Vorlasan, S., Connell, J. G., Moglia, M., Case, P., Alexander, K. S., & Perez, P. (2020). A Game-Based Approach to Exploring Gender Differences in Smallholder Decisions to Change Farming Practices: White Rice Production in Laos. Sustainability, 12(16), 6594. https://doi.org/10.3390/su12166594

