Mobile Phone Data in Urban Customized Bus: A Network-based Hierarchical Location Selection Method with an Application to System Layout Design in the Urban Agglomeration
Abstract
1. Introduction
1.1. Related Works
- First, the actual travel demand failed to be considered. In most existing CB systems, CB lines are planned based on travel demand data collected from on-line surveys, and the CB system layouts are designed based on the administrative division and organized by single cities. In the urban agglomeration area, survey data can hardly cover the area on a large scale. Moreover, even more importantly, the long tail travel demand in the urban agglomeration area, such as the long-distance commuting demands is unlikely to be discovered by the traditional survey data.
- Second, the hierarchical character of travel demand failed to be considered. The transportation demands in the urban agglomeration area are comprehensive [20], consisting of trips in cross-city, intrametropolitan, and intracity levels. The traveling patterns of residents are much complicated and generate more frequent cross-city movement. Without considering the entirety of urban agglomeration and hierarchically design transportation systems for travel demand, it is unable to build an efficient system to serve the actual demand.
1.2. Problem Description
1.2.1. Overview of the Dynamic CB Planning System
1.2.2. Customized Bus Service Scope Division
1.2.3. Customized Bus Station Location Selection
2. Methodology
2.1. Framework
| Algorithm 1. Hierarchical commuting oriented CB system service scope and station location selection algorithm. |
| Input: Jobs-housing relationship data |
| Output: A tree storing information of CB service scope and CB station location |
Algorithm:
|
| End while |
2.2. Constructing the Jobs-Housing Network
2.3. Service Scope Segmentation
2.3.1. Network Clusters Segmentation by Community Detection
- Modularity optimization: optimized modularity by allowing only local changes of communities;
- Community aggregation: the identified communities are aggregated in order to build a new network of communities.
2.3.2. Spatial Cluster Identification by DBSCAN
2.4. Location Selection Method for CB Stations
- Weighted mean center (WA).
- Weighted median center (MC).
- Weighted central element (CE).
3. Results and Discussion
3.1. Case Study
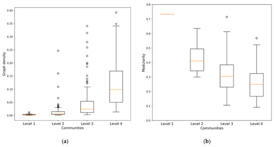
3.2. Result of Customized Bus Service Scope
3.3. Result of Customized Bus Station Location Selection
4. Conclusions and Future Prospects
- So long as the accurate and detailed data is provided, by applying the iterative algorithm, the service scopes can unlimitedly divide into smaller service scopes by changing the criteria, which enables us to choose an on-demand hierarchy structure.
- The iterative algorithm proposed in this paper is a powerful location selection tool, which is not limited to the scenario of CB system design. The methodology can be suitable for any OD flow dataset with uneven density in spatial cluster and have multiple application potentials (e.g., logistics center and rescue center location problem [43]).
Supplementary Materials
Author Contributions
Funding
Conflicts of Interest
References
- Squires, G.D. Urban Sprawl: Causes, Consequences & Policy Responses; The Urban Insitute: Washington, DC, USA, 2002. [Google Scholar]
- Fang, C.; Yu, D. Urban agglomeration: An evolving concept of an emerging phenomenon. Landsc. Urban Plan. 2017, 162, 126–136. [Google Scholar] [CrossRef]
- Guan, J.; Yang, D. Residents’ Characteristics and Transport Policy Analysis in Large-Scale Residential Areas on a City Periphery: Case Study of Jinhexincheng, Shanghai, China. Transp. Res. Record 2015, 2512, 11–21. [Google Scholar] [CrossRef]
- Niu, X. Annual Report on Cross City Commuting in Yangtze River Delta in 2019. 2019. Available online: http://gdupi.com/Common/news_detail/article_id/7301.html (accessed on 25 June 2020). (In Chinese).
- Ye, J.; Wang, D.; Zhang, H.; Yang, H. What Kind of People Use Carsharing for Commuting? Case Study in Shanghai. Transp. Res. Rec. 2019, 2673, 770–778. [Google Scholar] [CrossRef]
- Zhu, P.; Kuo, Y.-H.; Ives Tanuihusada, M.; Qiang, W.; Wang, J. Where Do Taxi Trips Start and End? Implications for Future Car-Sharing for Commuting. Abstr. ICA 2019, 1, 1–2. [Google Scholar]
- Alrukaibi, F.; Alkheder, S. Optimization of Bus Stop Stations in Kuwait. Sustain. Cities Soc. 2018, 44, 726–738. [Google Scholar] [CrossRef]
- Kirby, R.; Bhatt, K. An analysis of subscription bus experience. Traffic Q. 1975, 29, 403–425. [Google Scholar]
- Bautz, J.A. Subscription service in the United States. Transportation 1975, 4, 387–402. [Google Scholar] [CrossRef]
- McCall, C.H., Jr. Com-Bus: A Southern California Subscription Bus Service; Urban Mass Transportation Administration: Washington, DC, USA, 1997. [Google Scholar]
- Liu, T.; Ceder, A. Analysis of a new public-transport-service concept: Customized bus in China. Transp. Policy 2015, 39, 63–76. [Google Scholar] [CrossRef]
- Li, Z.; Song, R.; He, S.; Bi, M. Methodology of mixed load customized bus lines and adjustment based on time windows. PLoS ONE 2018, 13, e0189763. [Google Scholar] [CrossRef]
- Wu, Y.; Zhang, S.; Wang, R.; Wang, Y.; Feng, X. A design methodology for wind farm layout considering cable routing and economic benefit based on genetic algorithm and GeoSteiner. Renew. Energy 2020, 146, 687–698. [Google Scholar] [CrossRef]
- Zhang, H.; Song, X.; Long, Y.; Xia, T.; Fang, K.; Zheng, J.; Huang, D.; Shibasaki, R.; Liang, Y. Mobile phone GPS data in urban bicycle-sharing: Layout optimization and emissions reduction analysis. Appl. Energy 2019, 242, 138–147. [Google Scholar] [CrossRef]
- Ma, J.; Zhao, Y.; Yang, Y.; Liu, T.; Guan, W.; Wang, J.; Song, C. A model for the stop planning and timetables of customized buses. PLoS ONE 2017, 12, e0168762. [Google Scholar] [CrossRef] [PubMed]
- Yu, Q.; Zhang, H.; Li, W.; Song, X.; Yang, D.; Shibasaki, R. Mobile phone GPS data in urban customized bus: Dynamic line design and emission reduction potentials analysis. J. Clean. Prod. 2020, 272, 122471. [Google Scholar] [CrossRef]
- Tong, L.C.; Zhou, L.; Liu, J.; Zhou, X. Customized bus service design for jointly optimizing passenger-to-vehicle assignment and vehicle routing. Transp. Res. Part C Emerg. Technol. 2017, 85, 451–475. [Google Scholar] [CrossRef]
- Chuanyu, Z.; Wei, G.; Jie, X.; Shixiong, J. A Study on Dynamic Dispatching Strategy of Customized Bus. In Proceedings of the 2017 3rd IEEE International Conference on Control Science and Systems Engineering (ICCSSE), Beijing, China, 17–19 August 2017; pp. 751–755. [Google Scholar]
- Lyu, Y.; Chow, C.-Y.; Lee, V.C.; Ng, J.K.; Li, Y.; Zeng, J. CB-Planner: A bus line planning framework for customized bus systems. Transp. Res. Part C Emerg. Technol. 2019, 101, 233–253. [Google Scholar] [CrossRef]
- Żochowska, R.; Karoń, G.; Janecki, R.; Sobota, A. Selected Aspects of the Methodology of Traffic Flows Surveys and Measurements on an Urban. Agglomeration Scale with Regard to ITS Projects, Proceedings of the Scientific and Technical Conference Transport Systems Theory And Practice; Springer: Basel, Switzerland, 2017; pp. 37–49. [Google Scholar]
- E-DRIVE. E-Drive Micro Railway. 2019. Available online: http://www.edrivefuture.com/micro_railway/ (accessed on 25 June 2020).
- Ma, J.; Yang, Y.; Guan, W.; Wang, F.; Liu, T.; Tu, W.; Song, C. Large-Scale demand driven design of a customized bus network: A methodological framework and Beijing case study. J. Adv. Transp. 2017, 2017, 3865701. [Google Scholar] [CrossRef]
- Han, Z.; Chen, Y.; Li, H.; Zhang, K.; Sun, J. Customized Bus Network Design Based on Individual Reservation Demands. Sustainability 2019, 11, 5535. [Google Scholar] [CrossRef]
- Cao, Y.; Wang, J. The key contributing factors of customized shuttle bus in rush hour: A case study in Harbin city. Procedia Eng. 2016, 137, 478–486. [Google Scholar] [CrossRef]
- Liu, T.; Ceder, A.; Bologna, R.; Cabantous, B. Commuting by customized bus: A comparative analysis with private car and conventional public transport in two cities. J. Public Transp. 2016, 19, 4. [Google Scholar] [CrossRef]
- Zhang, J.; Wang, D.Z.; Meng, M. Analyzing customized bus service on a multimodal travel corridor: An analytical modeling approach. J. Transp. Eng. Part A Syst. 2017, 143, 04017057. [Google Scholar] [CrossRef]
- Gonzalez, M.C.; Hidalgo, C.A.; Barabasi, A.-L. Understanding individual human mobility patterns. Nature 2008, 453, 779–782. [Google Scholar] [CrossRef] [PubMed]
- Zhang, H.; Song, X.; Xia, T.; Yuan, M.; Fan, Z.; Shibasaki, R.; Liang, Y. Battery electric vehicles in Japan: Human mobile behavior based adoption potential analysis and policy target response. Appl. Energy 2018, 220, 527–535. [Google Scholar] [CrossRef]
- Yu, Q.; Zhang, H.; Li, W.; Sui, Y.; Song, X.; Yang, D.; Shibasaki, R.; Jiang, W. Mobile phone data in urban bicycle-sharing: Market-oriented sub-area division and spatial analysis on emission reduction potentials. J. Clean. Prod. 2020, 254, 119974. [Google Scholar] [CrossRef]
- Sui, Y.; Zhang, H.; Song, X.; Shao, F.; Yu, X.; Shibasaki, R.; Sun, R.; Yuan, M.; Wang, C.; Li, S.; et al. GPS data in urban online ride-hailing: A comparative analysis on fuel consumption and emissions. J. Clean. Prod. 2019, 227, 495–505. [Google Scholar] [CrossRef]
- Li, J.; Lv, Y.; Ma, J.; Ouyang, Q. Methodology for extracting potential customized bus routes based on bus smart card data. Energies 2018, 11, 2224. [Google Scholar] [CrossRef]
- Tang, T.; Liu, R.; Choudhury, C. Incorporating weather conditions and travel history in estimating the alighting bus stops from smart card data. Sustain. Cities Soc. 2019, 53, 101927. [Google Scholar] [CrossRef]
- Lyu, Y.; Chow, C.-Y.; Lee, V.C.; Li, Y.; Zeng, J. T2CBS: Mining Taxi Trajectories for Customized Bus Systems. In Proceedings of the 2016 IEEE Conference on Computer Communications Workshops (INFOCOM WKSHPS), San Francisco, CA, USA, 10–14 April 2016; pp. 441–446. [Google Scholar]
- Guo, R.; Guan, W.; Huang, A.; Zhang, W. Exploring Potential Travel Demand of Customized Bus Using Smartcard Data. In Proceedings of the 2019 IEEE Intelligent Transportation Systems Conference (ITSC), Auckland, New Zealand, 27–30 October 2019; pp. 2645–2650. [Google Scholar]
- Megiddo, N.; Supowit, K.J. On the Complexity of Some Common Geometric Location Problems. SIAM J. Comput. 1984, 13, 182–196. [Google Scholar] [CrossRef]
- Sherali, H.D.; Nordai, F.L. NP-Hard, capacitated, balanced p-median problems on a chain graph with a continuum of link demands. Math. Oper. Res. 1988, 13, 32–49. [Google Scholar] [CrossRef]
- Cooper, L. Location-Allocation problems. Oper. Res. 1963, 11, 331–343. [Google Scholar] [CrossRef]
- Fortunato, S.; Castellano, C. Community structure in graphs. Comput. Complex. Theory Tech. Appl. 2012, 2, 490–512. [Google Scholar]
- Blondel, V.D.; Guillaume, J.L.; Lambiotte, R.; Lefebvre, E. Fast unfolding of community hierarchies in large networks. J. Stat. Mech. 2008, P10008. [Google Scholar] [CrossRef]
- Ester, M.; Kriegel, H.-P.; Sander, J.; Xu, X. A Density-Based Algorithm for Discovering Clusters in Large Spatial Databases with Noise. In Proceedings of the 2nd International Conference on Knowledge Discovery and Data Mining, Portland, OR, USA, 2–4 August 1996; AAAI Press: Palo Alto, CA, USA, 1996; pp. 226–231. [Google Scholar]
- Mitchel, A. The ESRI Guide to GIS Analysis, Volume 2: Spartial Measurements and Statistics. In ESRI Guide to GIS Analysis; Esri Press: Redlands, CA, USA, 2005. [Google Scholar]
- Vardi, Y.; Zhang, C.-H. The multivariate L1-Median and associated data depth. Proc. Natl. Acad. Sci. USA 2000, 97, 1423–1426. [Google Scholar] [CrossRef] [PubMed]
- Xu, N.; Zhang, Q.; Zhang, H.; Hong, M.; Akerkar, R.; Liang, Y. Global optimization for multi-stage construction of rescue units in disaster response. Sustain. Cities Soc. 2019, 51, 101768. [Google Scholar] [CrossRef]











© 2020 by the authors. Licensee MDPI, Basel, Switzerland. This article is an open access article distributed under the terms and conditions of the Creative Commons Attribution (CC BY) license (http://creativecommons.org/licenses/by/4.0/).
Share and Cite
Yu, Q.; Li, W.; Zhang, H.; Yang, D. Mobile Phone Data in Urban Customized Bus: A Network-based Hierarchical Location Selection Method with an Application to System Layout Design in the Urban Agglomeration. Sustainability 2020, 12, 6203. https://doi.org/10.3390/su12156203
Yu Q, Li W, Zhang H, Yang D. Mobile Phone Data in Urban Customized Bus: A Network-based Hierarchical Location Selection Method with an Application to System Layout Design in the Urban Agglomeration. Sustainability. 2020; 12(15):6203. https://doi.org/10.3390/su12156203
Chicago/Turabian StyleYu, Qing, Weifeng Li, Haoran Zhang, and Dongyuan Yang. 2020. "Mobile Phone Data in Urban Customized Bus: A Network-based Hierarchical Location Selection Method with an Application to System Layout Design in the Urban Agglomeration" Sustainability 12, no. 15: 6203. https://doi.org/10.3390/su12156203
APA StyleYu, Q., Li, W., Zhang, H., & Yang, D. (2020). Mobile Phone Data in Urban Customized Bus: A Network-based Hierarchical Location Selection Method with an Application to System Layout Design in the Urban Agglomeration. Sustainability, 12(15), 6203. https://doi.org/10.3390/su12156203

