Comparison of Long Short-Term Memory and Weighted Regressions on Time, Discharge, and Season Models for Nitrate-N Load Estimation
Abstract
1. Introduction
2. Data Set
3. Methods
3.1. LSTM Model Architecture
3.2. WRTDS Model Architecture
3.3. Sampling Frequency and Monte Carlo Simulation
3.4. Evaluation Criteria
4. Results
4.1. Evaluation of LSTM Models for Load Estimation
4.2. Comparison of LSTM and WRTDS Models for Nitrate-N Load Estimation
5. Discussion
6. Conclusions
Author Contributions
Funding
Conflicts of Interest
References
- Lee, C.J.; Hirsch, R.M.; Schwarz, G.E.; Holtschlag, D.J.; Preston, S.D.; Crawford, C.G.; Vecchia, A.V. An evaluation of methods for estimating decadal stream loads. J. Hydrol. 2016, 542, 185–203. [Google Scholar] [CrossRef]
- Rabalais, N.N.; Turner, R.E.; Justic, D.; Dortch, Q.; Wiseman, W.J., Jr.; Sen Gupta, B.K. Nutrient changes in the Mississippi River and system responses on the adjacent continental shelf. Estuaries 1996, 19, 386–407. [Google Scholar] [CrossRef]
- Verma, S.; Markus, M.; Cooke, R.A. Development of error correction techniques for nitrate-N load estimation methods. J. Hydrol. 2012, 432, 12–25. [Google Scholar] [CrossRef]
- Jung, K.; Bae, D.H.; Um, M.J.; Kim, S.; Jeon, S.; Park, D. Evaluation of Nitrate Load Estimations Using Neural Networks and Canonical Correlation Analysis with K-Fold Cross-Validation. Sustainability 2020, 12, 400. [Google Scholar] [CrossRef]
- Ohio EPA. Nutrient Mass Balance Study for Ohio’s Major Rivers; Ohio Environmental Protection Agency: Columbus, OH, USA, 2016.
- Illinois State Water Survey. An Evaluation of Baseline Nutrient Loadings, Their Trends, and the Effects of Land-Use and Climate Variations in the Illinois River Watershed; Illinois State Water Survey: Champaign, IL, USA, 2014. [Google Scholar]
- Lalonde, V.; Madramootoo, C.A.; Trenholm, L.; Broughton, R.S. Effects of controlled drainage on nitrate concentrations in subsurface drain discharge. Agr. Water Manag. 1996, 29, 187–199. [Google Scholar] [CrossRef]
- Im, S.; Brannan, K.M.; Mostaghimi, S. Simulating hydrologic and water quality impacts in an urbanizing watershed 1. JAWRA J. Am. Water Resour. Assoc. 2003, 39, 1465–1479. [Google Scholar] [CrossRef]
- Schilling, K.E.; Wolter, C.F. Modeling nitrate-nitrogen load reduction strategies for the Des Moines River, Iowa using SWAT. Environ. Manag. 2009, 44, 671–682. [Google Scholar] [CrossRef]
- Ullrich, A.; Volk, M. Influence of different nitrate–N monitoring strategies on load estimation as a base for model calibration and evaluation. Environ. Monit. Assess. 2010, 171, 513–527. [Google Scholar] [CrossRef]
- Cohn, T.A.; Caulder, D.L.; Gilroy, E.J.; Zynjuk, L.D.; Summers, R.M. The validity of a simple statistical model for estimating fluvial constituent loads: An empirical study involving nutrient loads entering Chesapeake Bay. Water Resour. Res. 1992, 28, 2353–2363. [Google Scholar] [CrossRef]
- Runkel, R.L.; Crawford, C.G.; Cohn, T.A. Load Estimator (LOADEST): A FORTRAN Program for Estimating Constituent Loads in Streams and Rivers: U.S. Geological Survey Techniques and Methods Book 4; US Geological Survey: Reston, VA, USA, 2004.
- Stenback, G.A.; Crumpton, W.G.; Schilling, K.E.; Helmers, M.J. Rating curve estimation of nutrient loads in Iowa rivers. J. Hydrol. 2011, 396, 158–169. [Google Scholar] [CrossRef]
- Hirsch, R.M.; Moyer, D.L.; Archfield, S.A. Weighted regressions on time, discharge, and season (WRTDS), with an application to Chesapeake Bay river inputs 1. JAWRA J. Am. Water Resour. Assoc. 2010, 46, 857–880. [Google Scholar] [CrossRef] [PubMed]
- Anctil, F.; Filion, M.; Tournebize, J. A neural network experiment on the simulation of daily nitrate-nitrogen and suspended sediment fluxes from a small agricultural catchment. Ecol. Model. 2009, 220, 879–887. [Google Scholar] [CrossRef]
- Yu, C.; Northcott, W.J.; McIsaac, G.F. Development of an artificial neural network model for hydrologic and water quality modeling of agricultural watersheds. Trans. ASAE 2004, 47, 285–290. [Google Scholar] [CrossRef]
- Guo, Y.; Markus, M.; Demissie, M. Uncertainty of nitrate-N load computations for agricultural watersheds. Water Resour. Res. 2002, 38, 3-1–3-12. [Google Scholar] [CrossRef]
- Khu, S.T.; Werner, M.G.F. Reduction of Monte-Carlo simulation runs for uncertainty estimation in hydrological modelling. Hydrol. Earth Syst. Sci. 2003, 7, 680–692. [Google Scholar] [CrossRef]
- Shapiro, A. Monte Carlo sampling methods. Handb. Oper. Res. Manag. Sci. 2003, 10, 353–425. [Google Scholar]
- Richards, R.P.; Holloway, J. Monte Carlo studies of sampling strategies for estimating tributary loads. Water Resour. Res. 1987, 23, 1939–1948. [Google Scholar] [CrossRef]
- Rahman, A.; Weinmann, P.E.; Hoang, T.M.T.; Laurenson, E.M. Monte Carlo simulation of flood frequency curves from rainfall. J. Hydrol. 2002, 256, 196–210. [Google Scholar] [CrossRef]
- Hochreiter, S.; Schmidhuber, J. Long short-term memory. Neural Comput. 1997, 9, 1735–1780. [Google Scholar] [CrossRef]
- Yuan, X.; Chen, C.; Lei, X.; Yuan, Y.; Adnan, R.M. Monthly runoff forecasting based on LSTM–ALO model. Stoch. Environ. Res. Risk A 2018, 32, 2199–2212. [Google Scholar] [CrossRef]
- Zhang, J.; Zhu, Y.; Zhang, X.; Ye, M.; Yang, J. Developing a Long Short-Term Memory (LSTM) based model for predicting water table depth in agricultural areas. J. Hydrol. 2018, 561, 918–929. [Google Scholar] [CrossRef]
- Tian, Y.; Xu, Y.-P.; Yang, Z.; Wang, G.; Zhu, Q. Integration of a parsimonious hydrological model with recurrent neural networks for improved streamflow forecasting. Water 2018, 10, 1655. [Google Scholar] [CrossRef]
- Bowes, B.D.; Sadler, J.M.; Morsy, M.M.; Behl, M.; Goodall, J.L. Forecasting Groundwater Table in a Flood Prone Coastal City with Long Short-term Memory and Recurrent Neural Networks. Water 2019, 11, 1098. [Google Scholar] [CrossRef]
- Xiang, Z.; Yan, J.; Demir, I. A rainfall-runoff model with LSTM-based sequence-to-sequence learning. Water Resour. Res. 2020, 56, e2019WR025326. [Google Scholar] [CrossRef]
- USGS, USGS Surface-Water Data for the Nation. 2018. Available online: https://waterdata.usgs.gov/nwis/sw (accessed on 10 June 2020).
- Heidelberg University, Tributary Data Download. 2018. Available online: https://www.heidelberg.edu/tributary-data-download (accessed on 10 June 2020).
- Verma, S.; Markus, M.; Bartosova, A.; Cooke, R.A. Intra-annual variability of riverine nutrient and sediment loadings using weighted circular statistics. J. Environ. Eng. 2018, 144, 04018010. [Google Scholar] [CrossRef]
- Zhang, Q.; Brady, D.C.; Boynton, W.R.; Ball, W.P. Long-term trends of nutrients and sediment from the nontidal Chesapeake Watershed: An assessment of progress by river and season. JAWRA J. Am. Water Resour. Assoc. 2015, 51, 1534–1555. [Google Scholar] [CrossRef]
- Tukey, J.W. Exploratory Data Analysis; Addison-Wesley: Boston, MA, USA, 1977. [Google Scholar]
- Hirsch, R.; De Cicco, L. User Guide to Exploration and Graphics for RivEr Trends (EGRET) and dataRetrieval: R Packages for Hydrologic Data. Technical Report Techniques and Methods Book 4; US Geological Survey: Reston, VA, USA, 2014.
- Johnes, P. Uncertainties in annual riverine phosphorus load estimation: Impact of load estimation methodology, sampling frequency, baseflow index and catchment population density. J. Hydrol. 2007, 332, 241–258. [Google Scholar] [CrossRef]
- Alobaidi, M.H.; Marpu, P.R.; Ouarda, T.B.M.J.; Chebana, F. Regional frequency analysis at ungauged sites using a two-stage resampling generalized ensemble framework. Adv. Water Resour. 2015, 84, 103–111. [Google Scholar] [CrossRef]
- Jung, K.; Kim, E.; Kang, B. Estimation of Low-Flow in South Korean River Basins Using a Canonical Correlation Analysis and Neural Network (CCA-NN) Based Regional Frequency Analysis. Atmosphere 2019, 10, 695. [Google Scholar] [CrossRef]
- Requena, A.I.; Ouarda, T.B.M.J.; Chebana, F. Low-flow frequency analysis at ungauged sites based on regionally estimated streamflows. J. Hydrol. 2018, 563, 523–532. [Google Scholar] [CrossRef]
- Shu, C.; Ouarda, T.B.M.J. Flood frequency analysis at ungauged sites using artificial neural networks in canonical correlation analysis physiographic space. Water Resour. Res. 2007, 43. [Google Scholar] [CrossRef]
- Jung, K.; Ouarda, T.B.M.J. Classification of drainage network types in the arid and semi-arid regions of Arizona and California. J. Arid Environ. 2017, 144, 60–73. [Google Scholar] [CrossRef]
- Mejía, A.I.; Niemann, J.D. Identification and characterization of dendritic, parallel, pinnate, rectangular, and trellis networks based on deviations from planform self-similarity. J. Geophys. Res. Earth Surf. 2008, 113. [Google Scholar] [CrossRef]
- Burns, D.A.; Boyer, E.W.; Elliott, E.M.; Kendall, C. Sources and transformations of nitrate from streams draining varying land uses: Evidence from dual isotope analysis. J. Environ. Qual. 2009, 38, 1149–1159. [Google Scholar] [CrossRef] [PubMed]
- Kaushal, S.S.; Groffman, P.M.; Band, L.E.; Elliott, E.M.; Shields, C.A.; Kendall, C. Tracking nonpoint source nitrogen pollution in human-impacted watersheds. Environ. Sci. Technol. 2011, 45, 8225–8232. [Google Scholar] [CrossRef]
- Kandel, R.; Bhattarai, R. Comparison of various estimation techniques to predict nitrate load in Maumee River. In Proceedings of the 2018 ASABE Annual International Meeting, Detroit, MI, USA, 29 July–1 August 2018. [Google Scholar]
- Duncan, J.M.; Band, L.E.; Groffman, P.M. Variable nitrate concentration–discharge relationships in a forested watershed. Hydrol. Process. 2017, 31, 1817–1824. [Google Scholar] [CrossRef]
- Duncan, J.M.; Welty, C.; Kemper, J.T.; Groffman, P.M.; Band, L.E. Dynamics of nitrate concentration-discharge patterns in an urban watershed. Water Resour. Res. 2017, 53, 7349–7365. [Google Scholar] [CrossRef]
- Hagebro, C.; Bang, S.; Somer, E. Nitrate load/discharge relationships and nitrate load trends in Danish rivers. In Dissolved Loads of Rivers and Surface Water Quantity/Quality Relationships; International Association of Hydrological Sciences: Wallingford, UK, 1983; pp. 377–386. [Google Scholar]
- Verma, S.; Bartosova, A.; Markus, M.; Cooke, R.; Um, M.-J.; Park, D. Quantifying the Role of Large Floods in Riverine Nutrient Loadings Using Linear Regression and Analysis of Covariance. Sustainability 2018, 10, 2876. [Google Scholar] [CrossRef]












| Station Name | Outlet Location | Average Discharge (m3/s) | Average Nitrate (mg/L) | Year | Drainage Area (km2) | Land Use (%) | |||
|---|---|---|---|---|---|---|---|---|---|
| Latitude | Longitude | Agriculture | Urban | Wooded | |||||
| CY | 41°23′43” | 81°37′48” | 1010 | 2.45 | 1982–2017 | 1843 | 17 | 47 | 35 |
| GD | 41°43′08” | 81°13′41” | 1076 | 0.46 | 1988–2006 | 1758 | 37 | 10 | 52 |
| GM | 39°36′24” | 84°17′13” | 3221 | 3.50 | 1996–2017 | 6953 | 82 | 5 | 10 |
| MM | 41°30′00” | 83°42′46” | 6174 | 4.40 | 1983–2017 | 16,427 | 81 | 11 | 8 |
| MS | 39°38′42” | 81°51′00” | 8608 | 1.40 | 1994–2017 | 19,208 | 52 | 2 | 43 |
| RS | 41°57′38” | 83°31′52” | 823 | 2.95 | 1982–2010 | 2755 | 72 | 11 | 16 |
| VM | 41°22′55” | 82°19′01” | 501 | 2.17 | 2000–2008 | 697 | 71 | 1 | 26 |
| One Layer | Two Layers | |||||||||||
| 6 | 12 | 24 | 6 | 12 | 24 | |||||||
| rRMSE | MPE | rRMSE | MPE | rRMSE | MPE | rRMSE | MPE | rRMSE | MPE | rRMSE | MPE | |
| CY | 1.53 | −46.19 | 1.24 | −32.78 | 1.28 | −35.79 | 1.12 | −25.77 | 1.11 | −26.30 | 1.10 | −25.60 |
| GD | 1.69 | −51.78 | 1.95 | −67.33 | 1.37 | −43.77 | 1.31 | −41.32 | 1.43 | −48.97 | 1.30 | −38.66 |
| GM | 0.86 | −23.35 | 0.82 | −20.49 | 0.65 | −11.40 | 0.69 | −11.86 | 0.68 | −10.58 | 0.70 | −13.22 |
| MM | 8.06 | −233.19 | 62.43 | −1217.69 | 59.22 | −1143.84 | 7.35 | −210.05 | 58.88 | −1149.37 | 59.31 | −1105.35 |
| MS | 1.50 | −32.30 | 1.48 | −30.11 | 1.68 | −45.17 | 1.45 | −30.50 | 1.42 | −29.76 | 1.46 | −27.39 |
| RS | 4.21 | −138.12 | 19.54 | −244.74 | 20.65 | −255.74 | 3.92 | −116.42 | 18.69 | −235.07 | 18.19 | −234.51 |
| VM | 5.08 | −138.29 | 6.20 | −170.51 | 41.94 | −870.96 | 3.78 | −99.52 | 4.03 | −105.71 | 31.77 | −762.82 |
| (a) | ||||||||||||
| Three Layers | Four Layers | |||||||||||
| 6 | 12 | 24 | 6 | 12 | 24 | |||||||
| rRMSE | MPE | rRMSE | MPE | rRMSE | MPE | rRMSE | MPE | rRMSE | MPE | rRMSE | MPE | |
| CY | 1.12 | −25.12 | 1.10 | −25.17 | 1.10 | −25.21 | 0.99 | −16.34 | 0.98 | −17.88 | 0.94 | −16.73 |
| GD | 1.27 | −39.37 | 1.30 | −41.82 | 1.23 | −36.14 | 1.20 | −38.68 | 1.19 | −39.97 | 1.12 | −33.63 |
| GM | 0.66 | −8.33 | 0.65 | −8.36 | 0.65 | −8.48 | 0.63 | −8.65 | 0.62 | −8.38 | 0.61 | −6.04 |
| MM | 6.70 | −181.87 | 58.63 | −1081.55 | 53.49 | −1048.46 | 6.32 | −167.85 | 55.58 | −1078.45 | 49.50 | −993.11 |
| MS | 1.42 | −28.26 | 1.39 | −27.24 | 1.42 | −27.16 | 1.41 | −29.26 | 1.39 | −27.07 | 1.39 | −26.83 |
| RS | 3.61 | −111.97 | 18.64 | −244.38 | 17.08 | −205.40 | 3.34 | −96.48 | 15.25 | −191.63 | 15.23 | −193.68 |
| VM | 3.60 | −92.46 | 3.65 | −93.13 | 26.72 | −631.00 | 3.39 | −90.93 | 3.35 | −83.21 | 20.51 | −497.04 |
| (b) | ||||||||||||
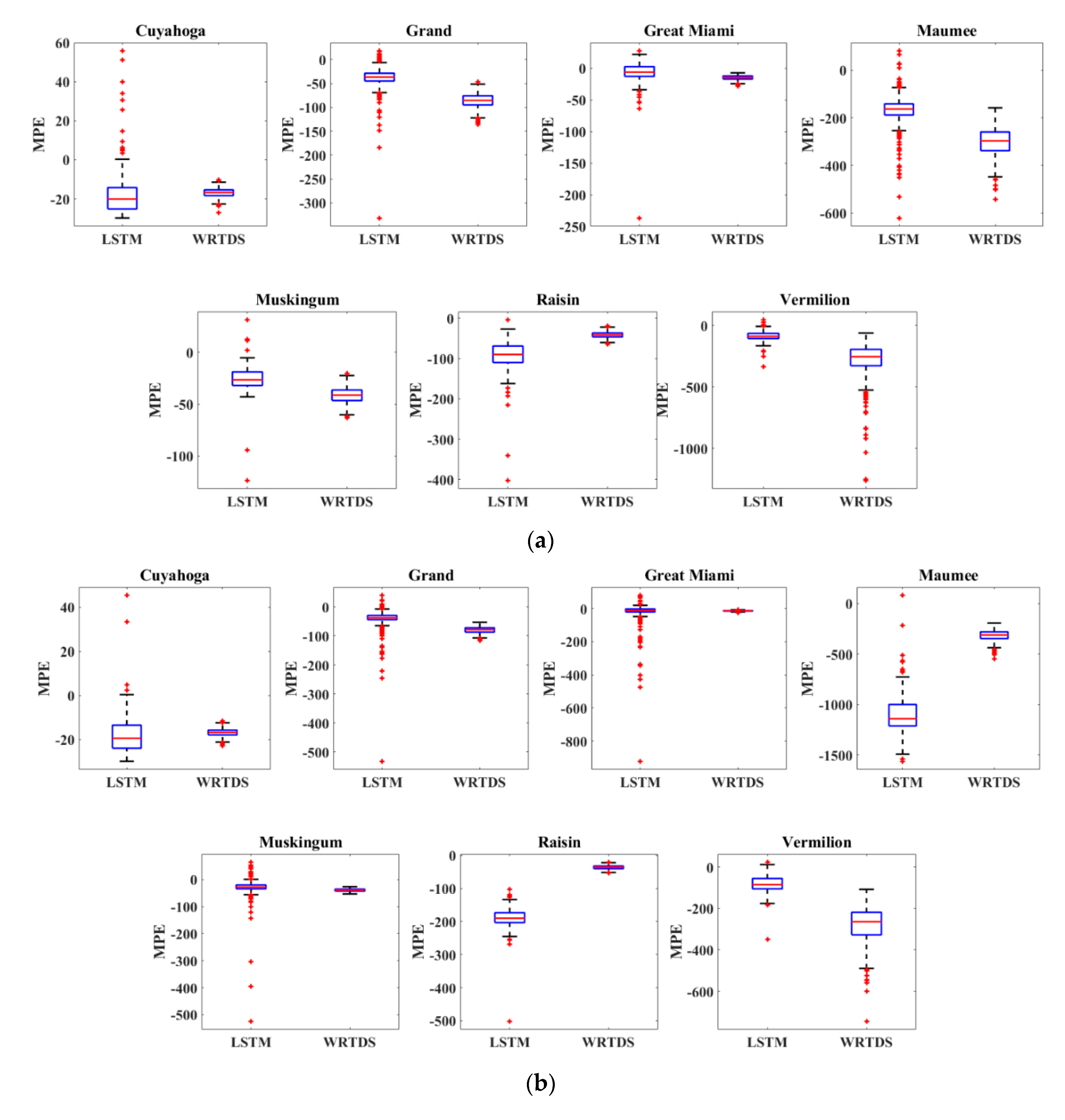
| LSTM (Four Layers) | WRTDS | |||||||||||
|---|---|---|---|---|---|---|---|---|---|---|---|---|
| 6 | 12 | 24 | 6 | 12 | 24 | |||||||
| rRMSE | MPE | rRMSE | MPE | rRMSE | MPE | rRMSE | MPE | rRMSE | MPE | rRMSE | MPE | |
| CY | 0.99 | −16.34 | 0.98 | −17.88 | 0.94 | −16.73 | 4.27 | −16.87 | 4.16 | −16.81 | 4.16 | −16.98 |
| GD | 1.20 | −38.68 | 1.19 | −39.97 | 1.12 | −33.63 | 2.80 | −85.97 | 2.69 | −79.46 | 2.64 | −77.73 |
| GM | 0.63 | −8.65 | 0.62 | −8.38 | 0.61 | −6.04 | 2.45 | −14.59 | 2.10 | −13.75 | 1.90 | −13.12 |
| MM | 6.32 | −167.85 | 55.58 | −1078.45 | 49.50 | −993.11 | 18.16 | −300.70 | 20.09 | −317.02 | 20.38 | −322.22 |
| MS | 1.41 | −29.26 | 1.39 | −27.07 | 1.39 | −26.83 | 3.01 | −41.34 | 2.94 | −39.05 | 2.94 | −39.30 |
| RS | 3.34 | −96.48 | 15.25 | −191.63 | 15.23 | −193.68 | 3.39 | −41.57 | 3.21 | −36.54 | 3.15 | −35.74 |
| VM | 3.39 | −90.93 | 3.35 | −83.21 | 20.51 | −497.04 | 12.17 | −281.05 | 12.83 | −276.61 | 11.30 | −269.52 |
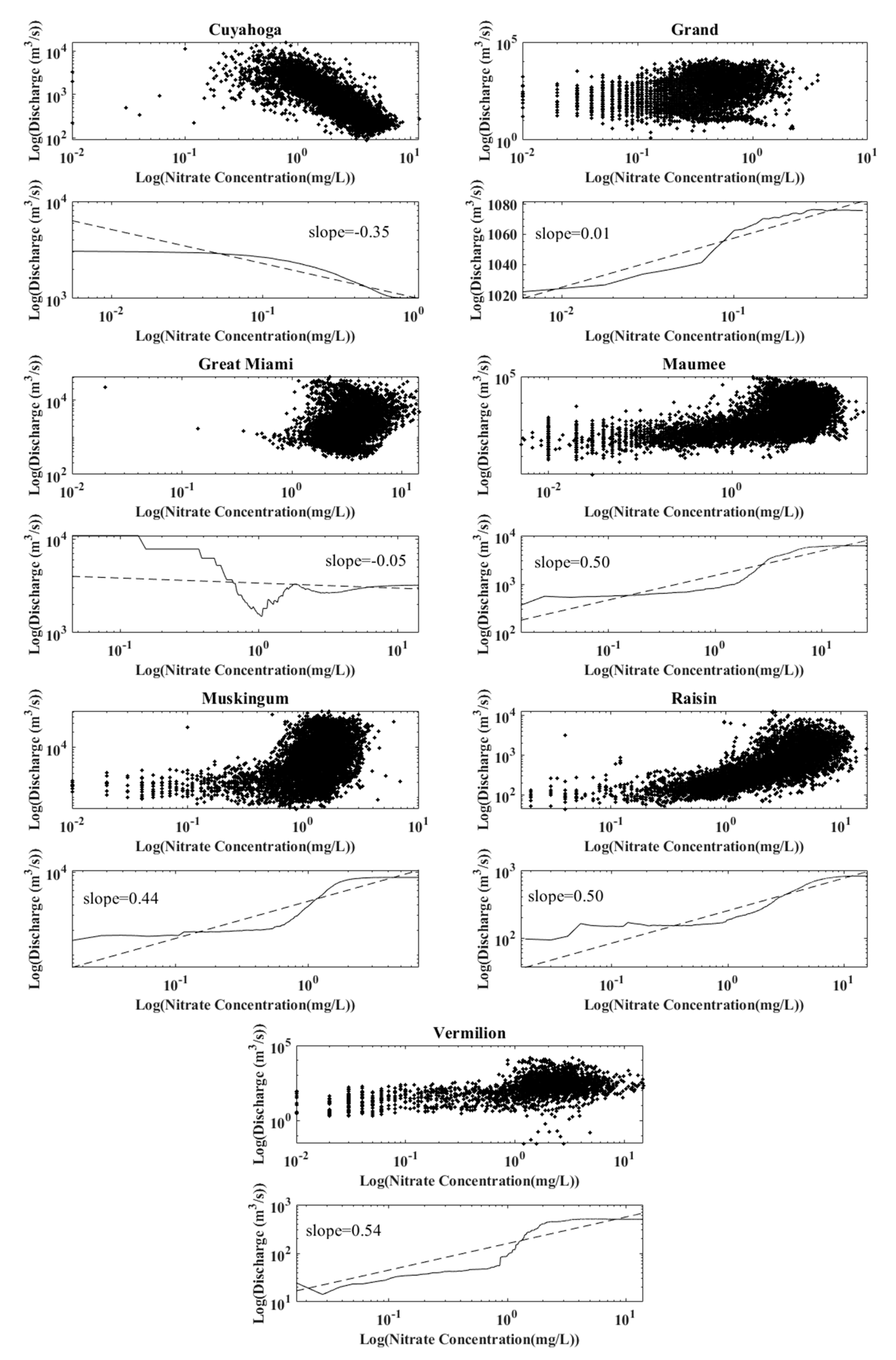
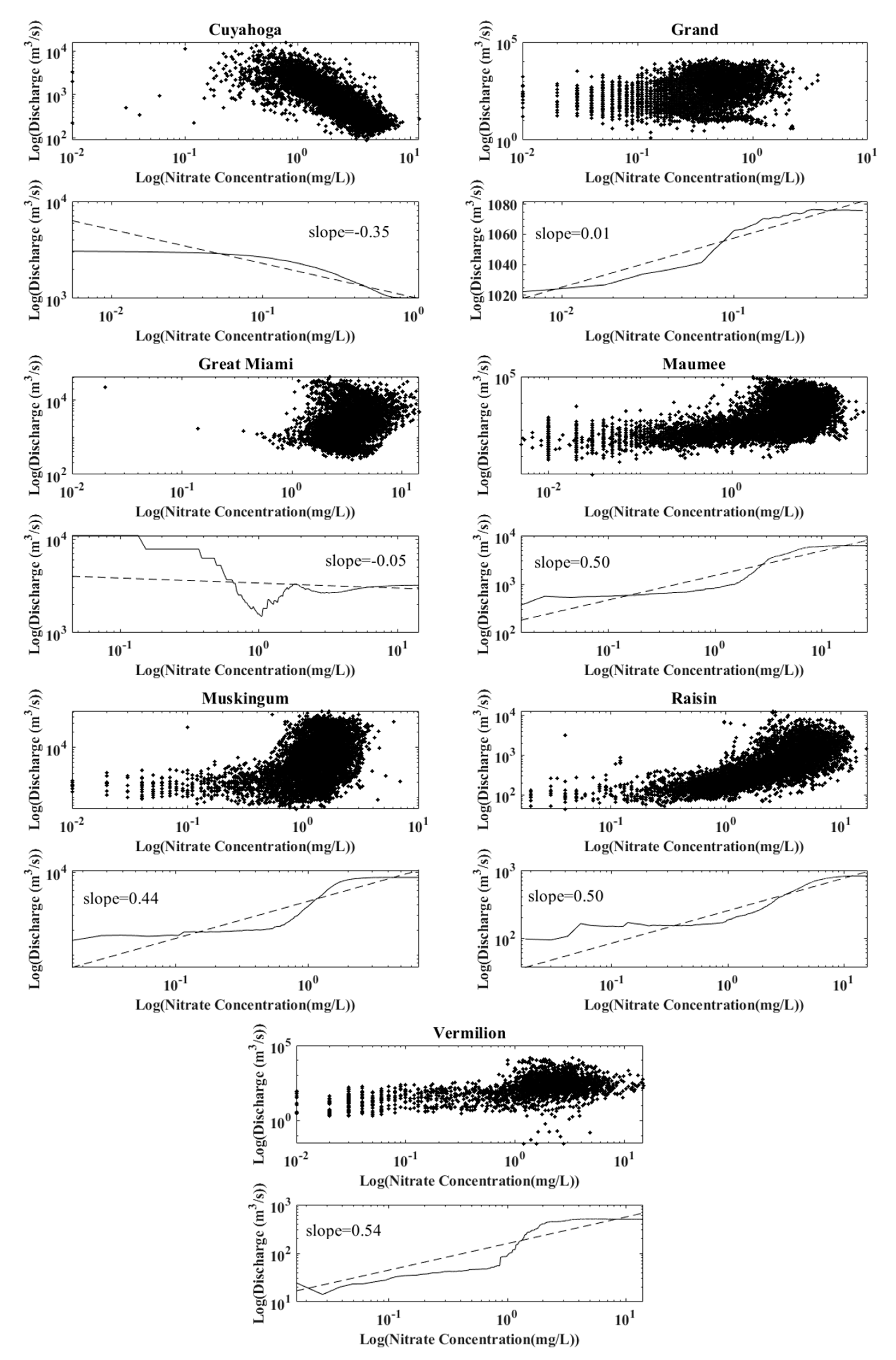
| Max | Min | Standard Deviation | Slope | |
|---|---|---|---|---|
| CY | 3058 | 1010 | 627 | −0.35 |
| GD | 1077 | 1022 | 15 | 0.01 |
| GM | 10,900 | 1496 | 1011 | −0.05 |
| MM | 6178 | 368 | 1585 | 0.50 |
| MS | 8608 | 1508 | 2254 | 0.44 |
| RS | 822 | 94 | 221 | 0.50 |
| VM | 508.59 | 14.20 | 127.72 | 0.54 |
© 2020 by the authors. Licensee MDPI, Basel, Switzerland. This article is an open access article distributed under the terms and conditions of the Creative Commons Attribution (CC BY) license (http://creativecommons.org/licenses/by/4.0/).
Share and Cite
Jung, K.; Um, M.-J.; Markus, M.; Park, D. Comparison of Long Short-Term Memory and Weighted Regressions on Time, Discharge, and Season Models for Nitrate-N Load Estimation. Sustainability 2020, 12, 5942. https://doi.org/10.3390/su12155942
Jung K, Um M-J, Markus M, Park D. Comparison of Long Short-Term Memory and Weighted Regressions on Time, Discharge, and Season Models for Nitrate-N Load Estimation. Sustainability. 2020; 12(15):5942. https://doi.org/10.3390/su12155942
Chicago/Turabian StyleJung, Kichul, Myoung-Jin Um, Momcilo Markus, and Daeryong Park. 2020. "Comparison of Long Short-Term Memory and Weighted Regressions on Time, Discharge, and Season Models for Nitrate-N Load Estimation" Sustainability 12, no. 15: 5942. https://doi.org/10.3390/su12155942
APA StyleJung, K., Um, M.-J., Markus, M., & Park, D. (2020). Comparison of Long Short-Term Memory and Weighted Regressions on Time, Discharge, and Season Models for Nitrate-N Load Estimation. Sustainability, 12(15), 5942. https://doi.org/10.3390/su12155942
