Control of Metro Train-Induced Vibrations in a Laboratory Using Periodic Piles
Abstract
1. Introduction
2. Problem Outline and Methodology
3. In-Situ Vibration Measurement
3.1. Sensor Arrangement
3.2. Experimental Results
4. Band Gap Analysis and Comparison for Periodic Piles
4.1. Band Gap Performance Evaluation Function
4.2. Band Gap Solution for Periodic Piles
4.3. Parameter Comparison and Selection for Periodic Piles
5. Controlling Metro Train-Induced Environmental Vibrations by Periodic Piles
5.1. Tunnel-Soil-Periodic Pile FE Model
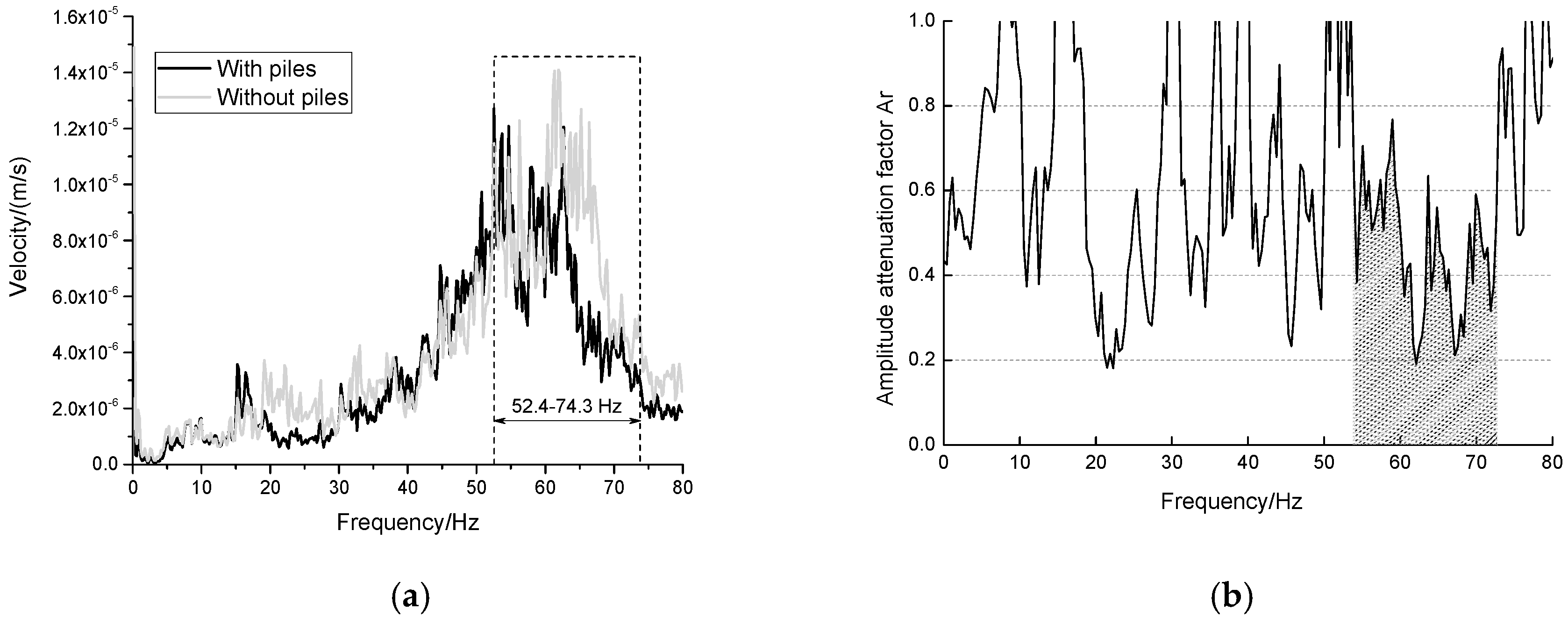
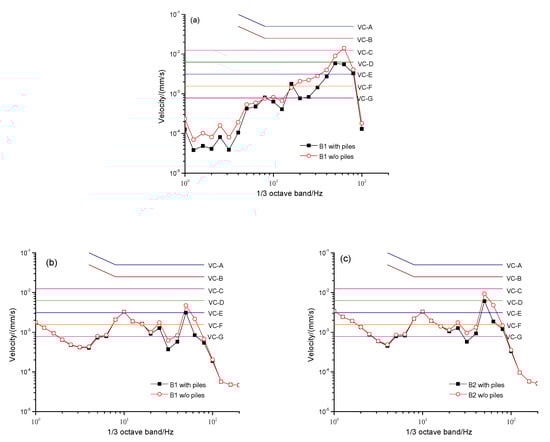
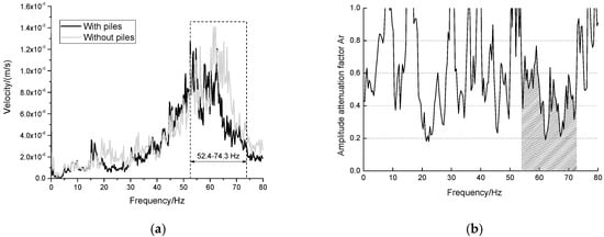
5.2. Ground Vibration Analysis
6. Conclusions
- The band gap performance evaluation function can be used to optimize the mitigation effect for periodic piles.
- With the designed periodic piles, vibrations between 52.4 Hz and 74.3 Hz were effectively attenuated, especially at 63 Hz, which agrees with the calculated design band gaps.
- A comparison of VC curves revealed that vibration attenuation of one level can be achieved using the periodic piles design. However, due to finite pile length and pile rows, the vibration mitigation effect was still limited. As this study only considered a propagation path solution using periodic piles, the mitigation effects and feasibility of both periodic piles and isolated tracks should be further investigated.
Author Contributions
Funding
Acknowledgments
Conflicts of Interest
References
- Tao, Z.; Wang, Y.; Zou, C. Assessment of ventilation noise impact from metro depot with over-track platform structure on workers and nearby inhabitants. Environ. Sci. Pollut. Res. 2019, 26, 9203–9218. [Google Scholar] [CrossRef] [PubMed]
- Yang, J.; Zhu, S.; Zhai, W.; Kouroussis, G.; Wang, Y.; Wang, K.; Lan, K.; Xu, F. Prediction and mitigation of train-induced vibrations of large-scale building constructed on subway tunnel. Sci. Total Environ. 2019, 668, 485–499. [Google Scholar] [CrossRef] [PubMed]
- Ma, M.; Liu, W.N.; Qian, C.Y.; Deng, G.H.; Li, Y.D. Study of the train-induced vibration impact on a historic Bell Tower above two spatial overlapping metro lines. Soil Dyn. Earthq. Eng. 2016, 81, 58–74. [Google Scholar] [CrossRef]
- Sadeghi, J.; Esmaeili, M.H. Safe distance of cultural and historical buildings from subway lines. Soil Dyn. Earthq. Eng. 2017, 96, 89–103. [Google Scholar]
- Gupta, S.; Liu, W.F.; Degrande, G.; Lombaert, G.; Liu, W.N. Prediction of vibrations induced by underground railway traffic in Beijing. J. Sound Vib. 2008, 310, 608–630. [Google Scholar] [CrossRef]
- Ding, D.Y.; Gupta, S.; Liu, W.N.; Lombaert, G.; Degrande, G. Prediction of vibrations induced by trains on line 8 of Beijing metro. J. Zhejiang Univ. SCI. A 2010, 11, 280–293. [Google Scholar] [CrossRef]
- Wolf, S. Potential low frequency ground vibration (<6.3 Hz) impacts from underground LRT operations. J. Sound Vib. 2003, 267, 651–663. [Google Scholar]
- Chen, C.H.; Huang, T.C.; Ko, Y.Y. In situ ground vibration tests in Southern Taiwan Science Park. J. Vib. Control 2011, 17, 1211–1234. [Google Scholar] [CrossRef]
- Takemiya, H. Field vibration mitigation by honeycomb WIB for pile foundations of a high-speed train viaduct. Soil Dyn. Earthq. Eng. 2004, 24, 69–87. [Google Scholar] [CrossRef]
- Liu, W.F.; Liu, W.N.; Zhang, H.R.; Ding, D.Y. Study on vibration effect on sensitive equipment due to road traffic and human activities outside and inside physics laboratory. In Proceedings of the 4th International Symposium on Environmental Vibrations (ISEV2009), Beijing, China, 28–30 October 2009; Science Press: Beijing, China, 2009; pp. 214–219. [Google Scholar]
- Vogiatzis, K.; Vanhonacker, P. Noise reduction in urban LRT networks by combining track based solutions. Sci. Total Environ. 2016, 568, 1344–1354. [Google Scholar] [CrossRef]
- Liang, L.; Li, X.; Yin, J.; Wang, D.; Gao, W.; Guo, Z. Vibration characteristics of damping pad floating slab on the long-span steel truss cable-stayed bridge in urban rail transit. Eng. Struct. 2019, 191, 92–103. [Google Scholar] [CrossRef]
- Connolly, D.; Giannopoulos, A.; Fan, W.; Woodward, P.K.; Forde, M.C. Optimising low acoustic impedance back-fill material wave barrier dimensions to shield structures from ground borne high speed rail vibrations. Constr. Build. Mater. 2013, 44, 557–564. [Google Scholar] [CrossRef]
- Thompson, D.J.; Jiang, J.; Toward, M.G.R.; Hussein, M.F.M.; Ntotsios, E.; Dijckmans, A.; Coulier, P.; Lombaert, G.; Degrande, G. Reducing railway-induced ground-borne vibration by using open trenches and soft-filled barriers. Soil Dyn. Earthq. Eng. 2016, 88, 45–59. [Google Scholar] [CrossRef]
- Talbot, J.P. Base-isolated buildings: Towards performance-based design. Proc. Inst. Civil Eng. Struct. Build. 2016, 169, 574–582. [Google Scholar] [CrossRef]
- Ulgen, D.; Ertugrul, O.L.; Ozkan, M.Y. Measurement of ground borne vibrations for foundation design and vibration isolation of a high-precision instrument. Measurement 2016, 93, 385–396. [Google Scholar] [CrossRef]
- Liu, X.Z.; Lian, S.L.; Chen, X. Field test for vibration reduction effect of floating slab and Vanguard fastener. In Proceedings of the 3rd International Symposium on Innovation and Sustainability of Modern Railway (ISMR 2012), Nanchang, China, 20–21 September 2012; pp. 91–92. [Google Scholar]
- Jia, Y.X.; Liu, W.N.; Wang, W.B.; Zhang, H.G.; Li, K.F. In-situ measurements and study of train induced ground vibration. In Proceedings of the 3rd International Conference on Railway Engineering: Construction and Maintenance of Railway Infrastructure in Complex Environment (ICRE2014), Beijing, China, 1 July 2014; pp. 32–37. [Google Scholar]
- Fang, G.; Wang, Y.; Peng, Z.; Wu, T. Theoretical investigation into the formation mechanism and mitigation measures of short pitch rail corrugation in resilient tracks of metros. Proc. Inst. Mech. Eng. Part F J. Rail Rapid Transit 2018, 232, 2260–2271. [Google Scholar] [CrossRef]
- Xu, G.H. Dynamic parameter optimization and experimental study of tuned slab damper on metro systems. Shock Vib. 2019, 2019, 1–14. [Google Scholar] [CrossRef]
- Wu, B.W.; Chen, G.X.; Lv, J.Z.; Zhu, Q.; Kang, X. Generation mechanism and remedy method of rail corrugation at a sharp curved metro track with Vanguard fasteners. J. Low Freq. Noise Vib. Act. Control 2020, 39, 368–381. [Google Scholar] [CrossRef]
- Gao, L.; Liu, C.; Zhao, L.; Cai, X.P. Vibration damping effect analysis of new long sleeper with rubber boots used in Beijing subway. In Proceedings of the 3rd International Conference on Railway Engineering: Construction and Maintenance of Railway Infrastructure in Complex Environment (ICRE2014), Beijing, China, 1 July 2014; pp. 179–184. [Google Scholar]
- He, Z.; Yang, X. Dynamic response analysis of an asymmetric coupled vehicle-track system generated by voided elastic two-block sleeper. Shock Vib. 2016, 2016, 1–11. [Google Scholar] [CrossRef]
- Xia, H.; Chen, J.G.; Xia, C.Y.; Inoue, H.; Zenda, Y.; Qi, L. An experimental study of train-induced structural and environmental vibrations of a rail transit elevated bridge with ladder tracks. Proc. Inst. Mech. Eng. Part F J. Rail Rapid Transit 2010, 224, 115–124. [Google Scholar] [CrossRef]
- Yan, Z.Q.; Markine, V.; Gu, A.J.; Liang, Q.H. Optimisation of the dynamic properties of ladder track to control rail vibration using the multipoint approximation method. J. Vib. Control 2014, 20, 1967–1984. [Google Scholar] [CrossRef]
- Jin, H.; Liu, W.N.; Zhou, S.H. Optimization of vibration reduction ability of ladder tracks by FEM coupled with ACO. Shock Vib. 2015, 2015, 1–6. [Google Scholar] [CrossRef]
- Ma, M.; Jiang, B.; Li, M.; Sun, X. A laboratory test on the vibration mitigation efficiency of floating ladder tracks. Procedia Eng. 2017, 199, 2705–2710. [Google Scholar] [CrossRef]
- Zhai, W.M.; Xu, P.; Wei, K. Analysis of vibration reduction characteristics and applicability of steel-spring floating-slab track. In Proceedings of the 5th International Symposium on Environmental Vibration (ISEV2011), Chengdu, China, 20–22 October 2011; pp. 767–776. [Google Scholar]
- Ding, D.Y.; Liu, W.N.; Li, K.F.; Sun, X.J.; Liu, W.F. Low frequency vibration tests on a floating slab track in an underground laboratory. J. Zhejiang Univ. SCI. A 2011, 12, 345–359. [Google Scholar] [CrossRef]
- Yuan, X.; Zhu, S.; Xu, L.; Zhai, W.; Li, H. Investigation of the vibration isolation performance of floating slab track with rubber bearings using a stochastic fractional derivative model. Proc. Inst. Mech. Eng. Part F J. Rail Rapid Transit 2019. [Google Scholar] [CrossRef]
- Zhu, S.; Yang, J.; Yan, H.; Zhang, L.; Cai, C. Low-frequency vibration control of floating slab tracks using dynamic vibration absorbers. Veh. Syst. Dyn. 2015, 53, 1296–1314. [Google Scholar] [CrossRef]
- Zhu, S.; Wang, J.; Cai, C.; Wang, K.; Zhai, W.; Yang, J.; Yan, H. Development of a vibration attenuation track at low frequencies for urban rail transit. Comput.-Aided Civ. Inf. 2017, 32, 713–726. [Google Scholar] [CrossRef]
- Fiala, P.; Degrande, G.; Augusztinovicz, F. Numerical modelling of ground-borne noise and vibration in buildings due to surface rail traffic. J. Sound Vib. 2007, 301, 718–738. [Google Scholar] [CrossRef]
- Pan, P.; Shen, S.; Shen, Z.; Gong, R. Experimental investigation on the effectiveness of laminated rubber bearings to isolate metro generated vibration. Measurement 2018, 122, 554–562. [Google Scholar] [CrossRef]
- Shrivastava, R.K.; Kameswara Rao, N.S.V. Response of soil media due to impulse loads and isolation using trenches. Soil Dyn. Earthq. Eng. 2002, 22, 695–700. [Google Scholar] [CrossRef]
- Andersen, L.; Nielsen, S.R.K. Reduction of ground vibration by means of barriers or soil improvement along a railway track. Soil Dyn. Earthq. Eng. 2005, 25, 701–716. [Google Scholar] [CrossRef]
- Gao, G.Y.; Li, Z.Y.; Qiu, C.; Yue, Z.Q. Three-dimensional analysis of rows of piles as passive barriers for ground vibration isolation. Soil Dyn. Earthq. Eng. 2006, 26, 1015–1027. [Google Scholar] [CrossRef]
- Huang, J.; Shi, Z.F. Vibration reduction of plane waves using periodic in-filled pile barriers. J. Geotech. Geoenviron. Eng. 2015, 141, 04015018. [Google Scholar] [CrossRef]
- Albino, C.; Godinho, L.; Amado-Mendes, P.; Alves-Costa, P.; Dias-da-Costa, D.; Soares, D., Jr. 3D FEM analysis of the effect of buried phononic crystal barriers on vibration mitigation. Eng. Struct. 2019, 196, 109340. [Google Scholar] [CrossRef]
- Yang, Y.B.; Ge, P.; Li, Q.; Liang, X.; Wu, Y. 2.5D vibration of railway-side buildings mitigated by open or infilled trenches considering rail irregularity. Soil Dyn. Earthq. Eng. 2018, 106, 204–214. [Google Scholar] [CrossRef]
- Coulier, P.; Cuéllar, V.; Degrande, G.; Lombaet, G. Experimental and numerical evaluation of the effectiveness of a stiff wave barrier in the soil. Soil Dyn. Earthq. Eng. 2015, 77, 238–253. [Google Scholar] [CrossRef]
- Guo, W.; Bai, Z.; Wang, X.; Liu, H.; Bu, D.; Guo, Z.; Hou, W.; Yu, Z. A combination strategy of hollow-closed-wall in-flled trench and elastic bearing for reducing environmental vibration induced by high-speed train. Soil Dyn. Earthq. Eng. 2020, 133, 106136. [Google Scholar] [CrossRef]
- Coulier, P.; François, S.; Degrande, G.; Lombaet, G. Subgrade stiffening next to the track as a wave impeding barrier for railway induced vibrations. Soil Dyn. Earthq. Eng. 2013, 48, 119–131. [Google Scholar] [CrossRef]
- Thompson, D.J.; Jiang, J.; Toward, M.G.R.; Hussein, M.F.M.; Dijckmans, A.; Coulier, P.; Degrande, G.; Lombaert, G. Mitigation of railway-induced vibration by using subgrade stiffening. Soil Dyn. Earthq. Eng. 2015, 79, 89–103. [Google Scholar] [CrossRef]
- Tang, L.; Kong, X.; Li, S.; Ling, X.; Ye, Y.; Tian, S. A preliminary investigation of vibration mitigation technique for the highspeed railway in seasonally frozen regions. Soil Dyn. Earthq. Eng. 2019, 127, 105841. [Google Scholar] [CrossRef]
- Gao, M.; Tian, S.P.; Wang, Y.; Chen, Q.S.; Gao, G.Y. Isolation of ground vibration induced by high speed railway by DXWIB: Field investigation. Soil Dyn. Earthq. Eng. 2020, 131, 106039. [Google Scholar] [CrossRef]
- Dijkmans, A.; Ekblad, A.; Smekal, A.; Degrande, G.; Lombaet, G. Efficacy of a sheet pile wall as a wave barrier for railway induced ground vibration. Soil Dyn. Earthq. Eng. 2016, 84, 55–69. [Google Scholar] [CrossRef]
- Dijkmans, A.; Coulier, P.; Jiang, J.; Toward, M.G.R.; Thompson, D.J.; Degrande, G.; Lombaet, G. Mitigation of railway induced ground vibration by heavy masses next to the track. Soil Dyn. Earthq. Eng. 2015, 75, 158–170. [Google Scholar] [CrossRef]
- Paul de Vos, S. Railway Induced Vibration-State of the Art Report; International Union of Railways: Paris, France, 2017. [Google Scholar]
- Sun, C.; Gao, L. Medium-to-low-speed freight rail transport induced environmental vibration and analysis of the vibration isolation effect of building slope protection piles. J. Vibroeng. 2017, 19, 4531–4549. [Google Scholar]
- Sigalas, M.M.; Economou, E.N. Elastic and acoustic wave band structure. J. Sound Vib. 1992, 158, 377–382. [Google Scholar] [CrossRef]
- Kushwaha, M.S.; Halevi, P.; Martínez, G.; Dobrzynski, L.; Djafari-Rouhani, B. Theory of acoustic band structure of periodic elastic composites. Phys. Rev. B 1994, 49, 2313–2322. [Google Scholar] [CrossRef]
- Cai, Y.Q.; Ding, G.Y.; Xu, C.J. Amplitude reduction of elastic waves by a row of piles in poroelastic soil. Comput. Geotech. 2009, 36, 463–473. [Google Scholar] [CrossRef]
- Huang, J.; Shi, Z. Application of periodic theory to rows of piles for horizontal vibration attenuation. Int. J. Geomech. 2013, 13, 132–142. [Google Scholar] [CrossRef]
- Liu, X.; Shi, Z.; Xiang, H.; Mo, Y.L. Attenuation zones of periodic pile barriers with initial stress. Soil Dyn. Earthq. Eng. 2015, 77, 381–390. [Google Scholar] [CrossRef]
- Pu, X.; Shi, Z. A novel method for identifying surface waves in periodic structures. Soil Dyn. Earthq. Eng. 2017, 98, 67–71. [Google Scholar] [CrossRef]
- Meng, Q.; Shi, Z. Vibration isolation of plane waves by periodic pipe pile barriers in saturated soil. J. Aerosp. Eng. 2019, 32, 04018114. [Google Scholar] [CrossRef]
- Ma, M.; Jiang, B.L.; Gao, J.; Liu, W.N. Experimental study on attenuation zone of soil-periodic piles system. Soil Dyn. Earthq. Eng. 2019, 126, 105738. [Google Scholar] [CrossRef]
- Amick, H.; Gendreau, M.; Busch, T.; Gordon, C. Evolving criteria for research facilities: I-vibration. In Proceedings of the SPIE Conference 5933: Buildings for Nanoscale Research and Beyond, San Diego, CA, USA, 31 July 2005. [Google Scholar]
- Jiang, B.L. Study on Periodic Piles for the Isolation of Train-Induced Environmental Vibration Based on Band Gap Theory. Ph.D. Thesis, Beijing Jiaotong University, Beijing, China, 2019. (In Chinese). [Google Scholar]
- Jeong, S.M.; Ruzzene, M. Directional and band-gap behavior of periodic grid-like structures. Smart Structures and Materials. SPIE 2004, 5386, 101–111. [Google Scholar]
- Yan, Z.Z.; Wang, Y.S. Wavelet-based method for calculating elastic band gaps of two-dimensional phononic crystals. Phys. Rev. B 2006, 74, 224303. [Google Scholar] [CrossRef]
- Lai, Y.; Zhang, Z.Q. Large band gaps in elastic phononic crystals with air inclusions. Appl. Phys. Lett. 2003, 83, 3900. [Google Scholar] [CrossRef]
- Gao, G.Y.; Chen, Q.S.; He, J.F.; Liu, F. Investigation of ground vibration due to trains moving on saturated multi-layered ground by 2.5 D finite element method. Soil Dyn. Earthq. Eng. 2012, 40, 87–98. [Google Scholar] [CrossRef]
- Xu, Q.; Xiao, Z.; Liu, T.; Lou, P.; Song, X. Comparison of 2D and 3D prediction models for environmental vibration induced by underground railway with two types of tracks. Comput. Geotech. 2015, 68, 169–183. [Google Scholar] [CrossRef]
- Ma, L.X. Study on the Model of Coupled Vehicle Track and the Analysis Model for Tunnel-Ground Vibration Response Based on the Periodic-Infinite Structure theory. Ph.D. Thesis, Beijing Jiaotong University, Beijing, China, 2014. (In Chinese). [Google Scholar]
- Liu, W.N.; Ma, L.X.; Du, L.L. Analytical Model of Coupled Vehicle-Track Dynamics: On Straight & Curved Track/by Uniform & Variable Speed; Science Press: Beijing, China, 2020. (In Chinese) [Google Scholar]
















| Sketch | Measures on the Track | Theoretical and Numerical Study | Laboratory Test | In-Situ Measurement |
|---|---|---|---|---|
![]() | Floating rail fastener and Vanguard fastener | Xu [20], Wu et al. [21] | Xu [20] | Liu et al. [17], Jia et al. [18] |
| High resilient rail fastener | Fang et al. [19] | |||
![]() | Twin-block booted sleepers | Gao et al. [22], He and Yang [23] | ||
| Ladder sleeper track | Yan et al. [25], Jin et al. [26] | Ma et al. [27] | Xia et al. [24] | |
![]() | FST with steel spring | Ma et al. [3], Zhai et al. [28], | Ding et al. [29] | Ma et al. [3], Liu et al. [17], Jia et al. [18] |
| FST with rubber bearing | Yuan et al. [30] | |||
| FST + tuned slab damper/mass block | Xu [20], Zhu et al. [31,32], | Xu [20], Zhu et al. [32], |
| Sketch | Measures along the Propagation Path | Theoretical and Numerical Study | In-Situ Measurement |
|---|---|---|---|
![]() | Open trench | Thompson et al. [14], Yang et al. [40] | |
![]() | Soft-filled barriers/stiff wave barrier/jet grouting wall/hollow isolation wall | Thompson et al. [14], Yang et al. [40], Coulier et al. [41], Guo et al. [42] | Coulier et al. [41] |
![]() | Subgrade stiffening beneath or next to the track, WIB | Takemiya [9], Coulier et al. [43], Thompson et al. [44], Tang et al. [45] | Gao et al. [46] |
![]() | Sheet pile wall | Dijkmans et al. [47] | Dijkmans et al. [47] |
![]() | Heavy masses along the track | Dijkmans et al. [48] |
| Criterion Curve | Vibration Limit | ||
|---|---|---|---|
| between 1 and 4 Hz | between 4 and 8 Hz | between 8 and 80 Hz | |
| VC-A | - | 260 μg | 50 μm/s |
| VC-B | - | 130 μg | 25 μm/s |
| VC-C | 12.5 μm/s | 12.5 μm/s | 12.5 μm/s |
| VC-D | 6.25 μm/s | 6.25 μm/s | 6.25 μm/s |
| VC-E | 3.1 μm/s | 3.1 μm/s | 3.1 μm/s |
| VC-F | 1.6 μm/s | 1.6 μm/s | 1.6 μm/s |
| VC-G | 0.78 μm/s | 0.78 μm/s | 0.78 μm/s |
| Soil Layers | Depth (m) | Density (kg/m3) | Poisson’s Ratio | Elastic Modulus (MPa) | S-Wave Velocity (m/s) | P-Wave Velocity (m/s) | Damping Ratio |
|---|---|---|---|---|---|---|---|
| Layer 1 | 0.9 | 1750 | 0.492 | 112.2 | 141.1 | 1098 | 0.05 |
| Layer 2 | 34.1 | 1990 | 0.474 | 576 | 311.8 | 1462 | 0.04 |
| Layer 3 | - | 2100 | 0.472 | 1239.9 | 458.7 | 2038 | 0.03 |
| Case No. | Lattice Form | Periodic Constant a (m) | Pile Radius R, r (m) | Lower Frequency (Hz) | Upper Frequency (Hz) | Bandwidth (Hz) | Φ |
|---|---|---|---|---|---|---|---|
| 1 | ![]() | 4.0 | R = 1.4 | 36.5 | 72.8 | 36.3 | 4.36 |
| 2 | 4.0 | R = 1.5 | 38.0 | 78.9 | 40.9 | 8.98 | |
| 3 | ![]() | 4.0 | R = 1.5 r = 1.2 | 49.8 | 78.5 | 28.8 | 25.03 |
| 4 | 4.0 | R = 1.4 r = 1.2 | 50.7 | 72.4 | 21.7 | 15.27 | |
| 5 | ![]() | 4.1 | R = 1.2 | 50.8 | 76.6 | 25.8 | 36.37 |
| 6 | 3.8 | R = 1 | 52.4 | 74.3 | 21.9 | 68.31 | |
| 7 | ![]() | 4.0 | R = 1.2 r = 1.1 | 46.8 | 81.3 | 34.6 | 33.23 |
| 8 | 4.2 | R = 1.2 r = 1.0 | 41.8 | 73.7 | 34.6 | 6.07 |
| Parameter Category * | Value | Parameter Category * | Value |
|---|---|---|---|
| Rail mass per unit length, m | 121.28 kg/m | Fastener stiffness, kr | 1.2 × 108 N/m |
| Elastic modulus of rail, E | 2.059 × 1011 N/m2 | Fastener damping, cr | 6 × 104 Ns/m |
| Inertia moment of rail reaction, I | 6.434 × 10−5 m4 | Fastener spacing, L | 0.6 m |
| Rail loss factor, η | 0.01 |
| Parameter Category | Value | Parameter Category | Value |
|---|---|---|---|
| Vehicle body mass, Mc | 4.3 × 104 kg | Secondary suspension stiffness, kt | 5.8 × 105 N/m |
| Bogie mass, Mt | 3.6 × 103 kg | Secondary suspension damping, ct | 1.6 × 105 Ns/m |
| Wheelset mass, Mw | 1.7 × 103 kg | Primary suspension stiffness, kw | 1.4 × 106 N/m |
| Vehicle body mass inertia moment, Jc | 1.7 × 106 kg·m2 | Primary suspension damping, cw | 5 × 104 Ns/m |
| Bogie mass inertia moment Jt | 9.62 × 103 kg·m2 | Semi fixed distance b | 6.3 m |
| Wheel-rail contact constant G | 5.147 × 10−8 m/N2/3 | Semi wheelbase a | 1.1 m |
| Train length l | 19 m | Static wheel-rail force P0 | 7 × 104 N |
© 2020 by the authors. Licensee MDPI, Basel, Switzerland. This article is an open access article distributed under the terms and conditions of the Creative Commons Attribution (CC BY) license (http://creativecommons.org/licenses/by/4.0/).
Share and Cite
Ma, M.; Jiang, B.; Liu, W.; Liu, K. Control of Metro Train-Induced Vibrations in a Laboratory Using Periodic Piles. Sustainability 2020, 12, 5871. https://doi.org/10.3390/su12145871
Ma M, Jiang B, Liu W, Liu K. Control of Metro Train-Induced Vibrations in a Laboratory Using Periodic Piles. Sustainability. 2020; 12(14):5871. https://doi.org/10.3390/su12145871
Chicago/Turabian StyleMa, Meng, Bolong Jiang, Weifeng Liu, and Kuokuo Liu. 2020. "Control of Metro Train-Induced Vibrations in a Laboratory Using Periodic Piles" Sustainability 12, no. 14: 5871. https://doi.org/10.3390/su12145871
APA StyleMa, M., Jiang, B., Liu, W., & Liu, K. (2020). Control of Metro Train-Induced Vibrations in a Laboratory Using Periodic Piles. Sustainability, 12(14), 5871. https://doi.org/10.3390/su12145871













