Higher-Order Velocity Moments, Turbulence Scales and Energy Dissipation Rate around a Boulder in a Rock-Ramp Fish Passage
Abstract
1. Introduction
2. Materials and Methods
2.1. Experimental Setup
2.2. Data Collection and Treatment
2.3. Higher-Order Moments, Turbulence Scales, and Energy Dissipation Rate
3. Results and Discussion
3.1. Skewness and Kurtosis Coefficient Analysis
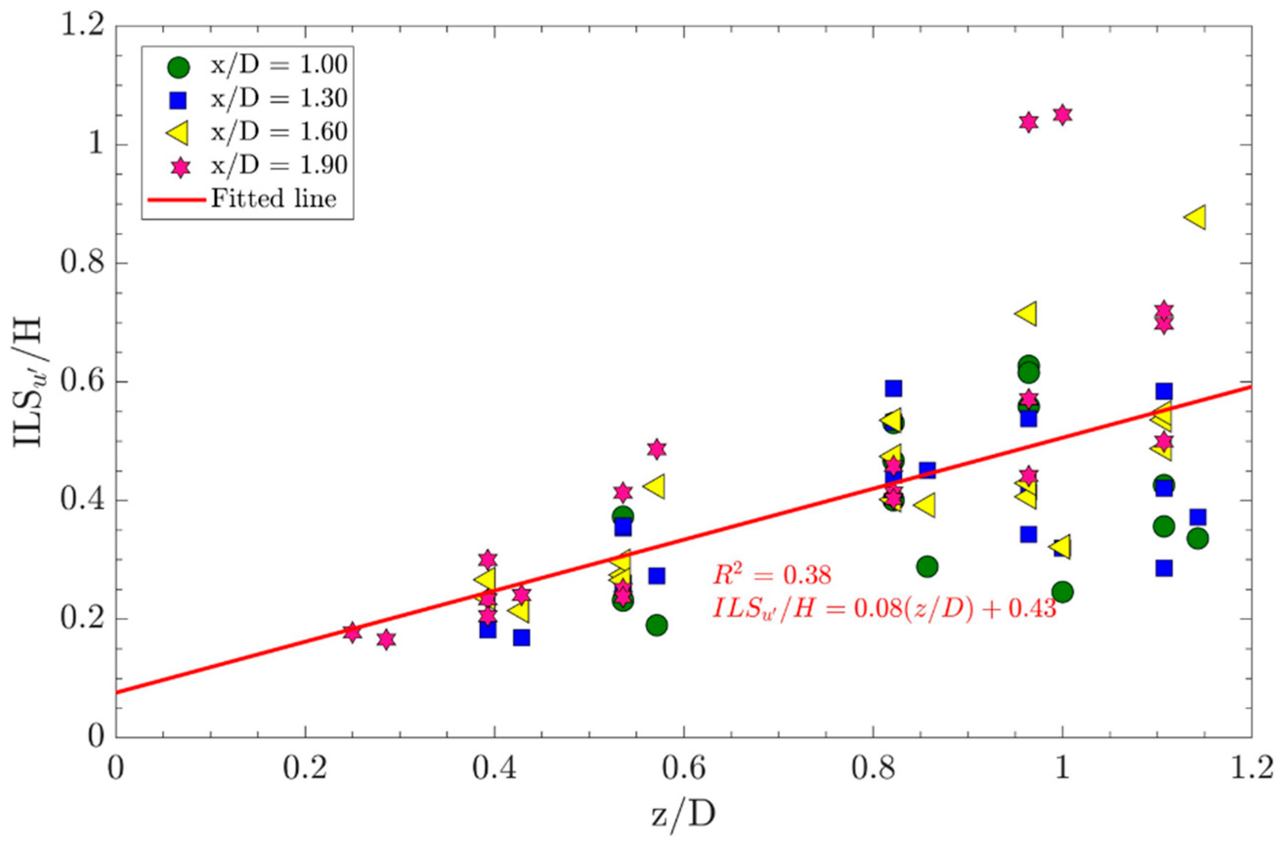
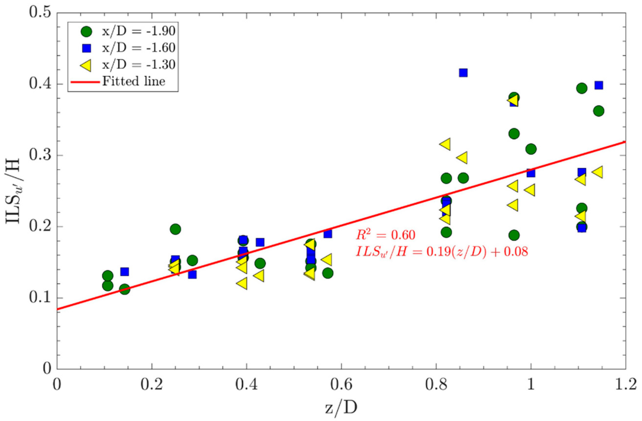
3.2. Integral Time and Length Scales
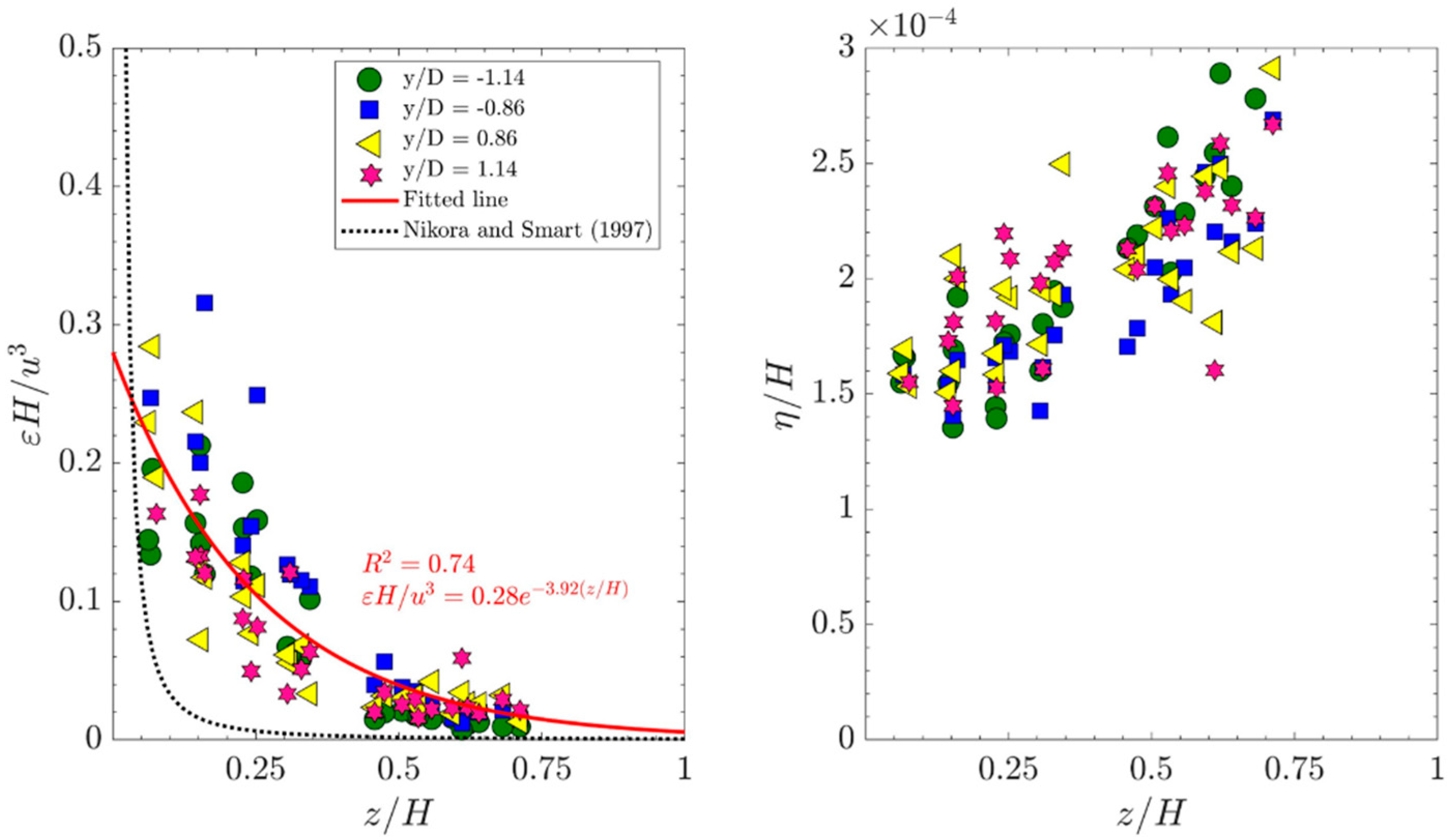
3.3. Energy Dissipation Rate and Kolmogorov’s Length Scale
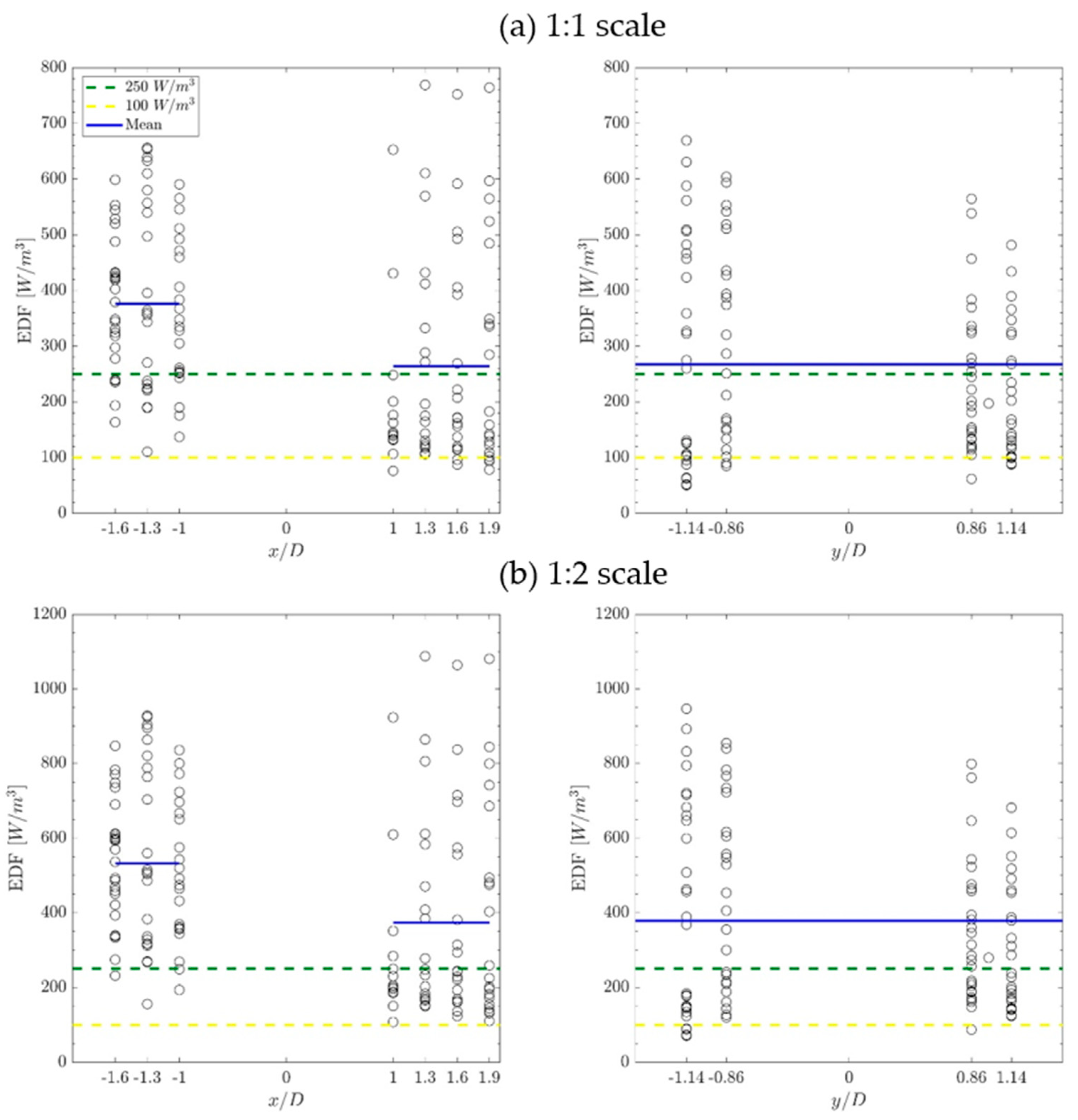
3.4. Implications for Fish Passages
4. Conclusions
Author Contributions
Funding
Acknowledgments
Conflicts of Interest
References
- Tamario, C.; Degerman, E.; Donadi, S.; Spjut, D.; Sandin, L. Nature-Like fishways as compensatory lotic habitats. River Res. Appl. 2018, 34, 253–261. [Google Scholar] [CrossRef]
- Dodd, J.R.; Cowx, I.G.; Bolland, J.D. Efficiency of a nature-like bypass channel for restoring longitudinal connectivity for a river-resident population of brown trout. J. Environ. Manag. 2017, 204, 318–326. [Google Scholar] [CrossRef] [PubMed]
- Tummers, J.S.; Hudson, S.; Lucas, M.C. Evaluating the effectiveness of restoring longitudinal connectivity for stream fish communities: Towards a more holistic approach. Sci. Total Environ. 2016, 569–570, 850–860. [Google Scholar] [CrossRef] [PubMed]
- Baki, A.B.M.; Zhu, D.Z.; Rajaratnam, N. Mean flow characteristics in a rock-ramp-type fish pass. J. Hydraul. Eng. 2014, 140, 156–168. [Google Scholar] [CrossRef]
- Calles, E.O.; Greenberg, L.A. Evaluation of nature-like fishways for re-establishing connectivity in fragmented salmonid populations in the river Emaan. River Res. Appl. 2005, 21, 951–960. [Google Scholar] [CrossRef]
- Kang, S.; Hill, C.; Sotiropoulos, F. On the turbulent flow structure around an instream structure with realistic geometry. Water Resour. Res. 2016, 52, 7869–7891. [Google Scholar] [CrossRef]
- Morris, H.M. Flow in rough conduits. Trans. ASME 1955, 120, 373–398. [Google Scholar]
- Papanicolaou, A.N.; Tsakiris, A.G.; Wyssmann, M.A.; Kramer, C.M. Boulder Array Effects on Bedload Pulses and Depositional Patches. J. Geophys. Res. Earth Surf. 2018, 123, 2925–2953. [Google Scholar] [CrossRef]
- Cassan, L.; Laurens, P. Design of emergent and submerged rock-ramp fish passes. Knowl. Manag. Aquat. Ecosyst. 2016, 417, 1–10. [Google Scholar] [CrossRef]
- Larinier, M.; Courret, D.; Gomes, P. Technical Guide to the Concept on nature-like Fishways. Rapp. GHAAPPE RA 2006, 06.05-V1, 5. [Google Scholar]
- Fang, H.W.; Liu, Y.; Stoesser, T. Influence of Boulder Concentration on Turbulence and Sediment Transport in Open-Channel Flow Over Submerged Boulders. J. Geophys. Res. Earth Surf. 2017, 122, 2392–2410. [Google Scholar] [CrossRef]
- Bretón, F.; Baki, A.B.M.; Link, O.; Zhu, D.Z.; Rajaratnam, N. Flow in nature-like fishway and its relation to fish behaviour. Can. J. Civil Eng. 2013, 40, 567–573. [Google Scholar] [CrossRef]
- Lacey, R.W.J.; Neary, V.S.; Liao, J.C.; Enders, E.C.; Tritico, H.M. The Ipos Framework: Linking Fish Swimming Performance in Altered Flows from Laboratory Experiments to Rivers. River Res. Appl. 2012, 28, 429–443. [Google Scholar] [CrossRef]
- Castro-Santos, T.; Cotel, A.; Webb, P.W. Fishway evaluations for better bioengineering: An integrative approach. In Proceedings of the Challenges for Diadromous Fishes in a Dynamic Global Environment; American Fisheries Society: Bethesda, MD, USA, 2009; Volume 69, pp. 557–575. [Google Scholar]
- Nikora, V.I.; Smart, G.M. Turbulence characteristics of New Zealand gravel-bed rivers. J. Hydraul. Eng. 1997, 123, 764–773. [Google Scholar] [CrossRef]
- Balachandar, R.; Bhuiyan, F. Higher-Order Moments of Velocity Fluctuations in an Open-Channel Flow with Large Bottom Roughness. J. Hydraul. Eng. 2007, 133, 77–87. [Google Scholar] [CrossRef]
- Lacey, R.W.J.; Roy, A.G. Fine-scale characterization of the turbulent shear layer of an instream pebble cluster. J. Hydraul. Eng. 2008, 134, 925–936. [Google Scholar] [CrossRef]
- Polatel, C. Large-Scale Roughness Effect on Free-Surface and Bulk Flow Characteristics in Open-Channel Flows. Ph.D. Thesis, University of Iowa, Iowa, IA, USA, 2006. [Google Scholar]
- Williams, J.J.; Thorne, P.D.; Heathershaw, A.D. Measurements of turbulence in the benthic boundary layer over a gravel bed. Sedimentology 1989, 36, 959–971. [Google Scholar] [CrossRef]
- Buffin-Bélanger, T.; Roy, A.G. Effects of a pebble cluster on the turbulent structure of a depth-limited flow in a gravel-bed river. Geomorphology 1998, 25, 249–267. [Google Scholar] [CrossRef]
- Sarkar, S.; Papanicolaou, A.N.; Dey, S. Turbulence in a gravel-bed stream with an array of large gravel obstacles. J. Hydraul. Eng. 2016, 142, 04016052. [Google Scholar] [CrossRef]
- Golpira, A.; Baki, A.B.M.; Zhu, D.Z. Turbulent Events around an Intermediately Submerged Boulder under Wake-interference Flow Regime. Submitt. Publ. 2020. (Under Review). [Google Scholar]
- Barton, A.D.; Ward, B.A.; Williams, R.G.; Follows, M.J. The impact of fine-scale turbulence on phytoplankton community structure. Limnol. Oceanogr. Fluids Environ. 2014, 4, 34–49. [Google Scholar] [CrossRef]
- Hockley, F.A.; Wilson, C.A.M.E.; Brew, A.; Cable, J. Fish responses to flow velocity and turbulence in relation to size, sex and parasite load. J. R. Soc. Interface 2014, 11, 20130814. [Google Scholar] [CrossRef] [PubMed]
- Tritico, H.M.; Cotel, A.J. The effects of turbulent eddies on the stability and critical swimming speed of creek chub (Semotilus atromaculatus). J. Exp. Biol. 2010, 213, 2284–2293. [Google Scholar] [CrossRef] [PubMed]
- Muhawenimana, V.; Wilson, C.; Ouro, P.; Cable, J. Spanwise Cylinder Wake Hydrodynamics and Fish Behavior. Water Resour. Res. 2019, 55, 8569–8582. [Google Scholar] [CrossRef]
- Fox, J.F.; Papanicolaou, A.N.; Kjos, L. Eddy taxonomy methodology around a submerged barb obstacle within a fixed rough bed. J. Eng. Mech. 2005, 131, 1082–1101. [Google Scholar] [CrossRef]
- Lacey, R.W.J.; Roy, A.G. The spatial characterization of turbulence around large roughness elements in a gravel-bed river. Geomorphology 2008, 102, 542–553. [Google Scholar] [CrossRef]
- Baki, A.B.M.; Zhu, D.Z.; Rajaratnam, N. Turbulence characteristics in a rock-ramp-type fish pass. J. Hydraul. Eng. 2015, 141, 04014075. [Google Scholar] [CrossRef]
- Larinier, M. Fish passage experience at small-scale hydro-electric power plants in France. Hydrobiologia 2008, 609, 97–108. [Google Scholar] [CrossRef]
- Papanicolaou, A.N.; Maxwell, A.R. Hydraulic performance of fish bypass-pools for irrigation diversion channels. J. Irrig. Drain. Eng. 2000, 126, 314–321. [Google Scholar] [CrossRef]
- Baki, A.B.M.; Zhang, W.; Zhu, D.Z.; Rajaratnam, N. Flow structures in the vicinity of a submerged boulder within a boulder array. J. Hydraul. Eng. 2016, 143, 04016104. [Google Scholar] [CrossRef]
- Baki, A.B.M.; Zhu, D.Z.; Rajaratnam, N. Flow simulation in a rock-ramp fish pass. J. Hydraul. Eng. 2016, 142, 04016031. [Google Scholar] [CrossRef]
- DVWK, F.A.O. Fish Passes: Design, Dimensions, and Monitoring; FAO and DVWK: Rome, Italy, 2002. [Google Scholar]
- Goring, D.G.; Nikora, V.I. Despiking acoustic Doppler velocimeter data. J. Hydraul. Eng. 2002, 128, 117–126. [Google Scholar] [CrossRef]
- Wahl, T.L. Analyzing ADV data using WinADV. In Proceedings of the Joint Conference on Water Resources Engineering and Water Resources Planning and Management, Minneapolis, MI, USA, 30 July–2 August 2000; pp. 1–10. [Google Scholar]
- Strom, K.B.; Papanicolaou, A.N. ADV measurements around a cluster microform in a shallow mountain stream. J. Hydraul. Eng. 2007, 133, 1379–1389. [Google Scholar] [CrossRef]
- Lacey, R.J.; Rennie, C.D. Laboratory investigation of turbulent flow structure around a bed-mounted cube at multiple flow stages. J. Hydraul. Eng. 2012, 138, 71–84. [Google Scholar] [CrossRef]
- Liu, M.; Rajaratnam, N.; Zhu, D.Z. Turbulence structure of hydraulic jumps of low Froude numbers. J. Hydraul. Eng. 2004, 130, 511–520. [Google Scholar] [CrossRef]
- Lacey, R.W.J. The Hydrodynamics Associated with Instream Large Roughness Elements in Gravel-Bed Rivers. Ph.D. Thesis, University of Montreal, Montreal, QC, Cananda, 2007. [Google Scholar]
- Hinze, J.O. Turbulence; McGraw-Hill: New York, NY, USA, 1975. [Google Scholar]
- Baki, A.B.M.; Zhu, D.Z.; Harwood, A.; Lewis, A.; Healey, K. Rock-weir fishway II: Design evaluation and considerations. J. Ecohydraulics 2017, 2, 142–152. [Google Scholar] [CrossRef]
- Pavlov, D.S.; Lupandin, A.I.; Skorobogatov, M.A. The effects of flow turbulence on the behavior and distribution of fish. J. Ichthyol. 2000, 40, 232–261. [Google Scholar]
- Jonsson, N.; Hansen, L.P.; Jonsson, B. Variation in age, size and repeat spawning of adult Atlantic salmon in relation to river discharge. J. Anim. Ecol. 1991, 60, 937–947. [Google Scholar] [CrossRef]
- Fish, U.S.; Service, W. Fish Passage Engineering Design Criteria. USFWS Northeast. Reg. 2017, 5, 6–20. [Google Scholar]












| Region | Upstream | Downstream | Sides | |||
|---|---|---|---|---|---|---|
| Parameter | Mean | Standard Deviation | Mean | Standard Deviation | Mean | Standard Deviation |
| 0.16 | 0.10 | 0.11 | 0.16 | 0.08 | 0.07 | |
| 0.00017 | 0.00002 | 0.00020 | 0.00003 | 0.00019 | 0.00003 | |
| ITSu’ [s] | 0.056 | 0.017 | 0.101 | 0.035 | 0.067 | 0.016 |
| ITSv’ [s] | 0.047 | 0.013 | 0.055 | 0.016 | 0.043 | 0.016 |
| ITSw’ [s] | 0.046 | 0.010 | 0.052 | 0.014 | 0.048 | 0.012 |
| ILSu’/H | 0.210 | 0.081 | 0.415 | 0.174 | 0.288 | 0.087 |
| ILSv’/H | 0.014 | 0.037 | 0.012 | 0.019 | 0.016 | 0.022 |
| ILSw’/H | 0.013 | 0.007 | 0.022 | 0.021 | 0.013 | 0.008 |
© 2020 by the authors. Licensee MDPI, Basel, Switzerland. This article is an open access article distributed under the terms and conditions of the Creative Commons Attribution (CC BY) license (http://creativecommons.org/licenses/by/4.0/).
Share and Cite
Golpira, A.; Baki, A.B.; Zhu, D.Z. Higher-Order Velocity Moments, Turbulence Scales and Energy Dissipation Rate around a Boulder in a Rock-Ramp Fish Passage. Sustainability 2020, 12, 5385. https://doi.org/10.3390/su12135385
Golpira A, Baki AB, Zhu DZ. Higher-Order Velocity Moments, Turbulence Scales and Energy Dissipation Rate around a Boulder in a Rock-Ramp Fish Passage. Sustainability. 2020; 12(13):5385. https://doi.org/10.3390/su12135385
Chicago/Turabian StyleGolpira, Amir, Abul BM Baki, and David Z. Zhu. 2020. "Higher-Order Velocity Moments, Turbulence Scales and Energy Dissipation Rate around a Boulder in a Rock-Ramp Fish Passage" Sustainability 12, no. 13: 5385. https://doi.org/10.3390/su12135385
APA StyleGolpira, A., Baki, A. B., & Zhu, D. Z. (2020). Higher-Order Velocity Moments, Turbulence Scales and Energy Dissipation Rate around a Boulder in a Rock-Ramp Fish Passage. Sustainability, 12(13), 5385. https://doi.org/10.3390/su12135385

