Next Article in Journal
Street Network Resilience Put to the Test: The Dramatic Crash of Genoa and Bologna Bridges
Previous Article in Journal
Characteristics and Determinants of Domestic Food Waste: A Representative Diary Study across Germany
 
 
Font Type:
Arial Georgia Verdana
Font Size:
Aa Aa Aa
Line Spacing:
Column Width:
Background:
Article

Structural Change in Central and South Eastern Europe—Does Technological Efficiency Harm the Labour Market?

Department of Finance, Faculty of Economic and Social Sciences, Budapest University of Technology and Economics, 1111 Budapest, Hungary
Sustainability 2020, 12(11), 4704; https://doi.org/10.3390/su12114704
Submission received: 2 May 2020 / Revised: 30 May 2020 / Accepted: 4 June 2020 / Published: 9 June 2020
(This article belongs to the Section Economic and Business Aspects of Sustainability)

Abstract

According to Kuznets, modern economic growth entails structural change. The share of the broad economic sectors (agriculture, manufacturing and services), in value added and employment, has undergone a significant transformation also in the post socialist Central Eastern European and the South Eastern European economies, just like in the developed countries with somewhat lower dominance of the service sector. This phenomenon was widely explained by economists through technological development having a characteristically negative impact on employment within the same industry in which it is adopted. As preceding empirical research focused mainly on developed industrial countries including old EU member states, the purpose of this paper is to examine structural change in 13 Central and South Eastern European EU member economies with special emphasis on the impact of own-industry productivity on employment with OLS and GMM panel regressions. This paper reveals that the productivity increase in all the sectors goes together with the decrease in employment within the sectors in the case of OLS estimations, whereas it produces less evident results in the GMM model framework when controlled for other sectors’ and countries’ productivity and employment processes. Involving further country-, time- and industry-specific variables in the regression, we find that it is mostly manufacturing that is negatively hit by these additional factors (such as relatively higher openness or EU level investment activity) whereas productivity does not necessarily harm the sustainability of workplaces in this sector. The paper also ascertains that there is a large diversity among the selected emerging European economies with regard to economic structures.

Graphical Abstract

1. Introduction

It is a widely known phenomenon that with economic development, the share of the broad economic sectors (agriculture, manufacturing, and services) in value added and employment undergoes a significant transformation. This paper aims at examining structural change in 13 Central and South Eastern European EU member economies with special regard to changes in sectoral employment and value added proportions, as well as the impact of own-industry productivity on employment with OLS and GMM panel regressions.
To understand why structural change is important in modern economic growth, a series of empirical research papers and models have been devoted to the issue. Herrendorf et al. (2013) [1] conduct a comprehensive analysis on the causes and country-specific patterns of structural change, Autor and Salomons (2017) [2] profoundly examine the intrasectoral and intersectoral productivity-employment aspects of structural change. Among the recent literature on Central, Eastern and South Eastern European economies (CESEE), Correia et al. (2018) [3] explore the innovation activities of the region with a productivity and employment outlook, and Dobrzanski and Grabowski (2019) [4] analyse the region from the viewpoint of structural productivity dynamics. This paper provides a detailed review of these approaches and related research results.
The structural processes of emerging European economies are discussed with the help of sectoral employment and value added data provided by the EU KLEMS and UN National Accounts databases. The employment and value added shares of the selected countries in agriculture, industry and services are compared with the OECD, EU and eurozone averages on the basis of World Bank (WDI) statistics which provide data for all these countries for the period between 1991 and 2018. The change in the number of employed persons by sector is examined to describe the recent tendencies following the onset of the 2007–2008 global financial crisis on data provided by the OECD employment by industry databases. Finally, the relationship between own-industry productivity and employment is analysed with the help of panel regressions encompassing 11 countries out of the selected 13 for the years 1995–2017 on the basis of Eurostat National Accounts’ value added and employment data by industry (NACE A64) and a series of supplementary explanatory variables also including robustness checks. The paper closes with conclusions and recommendations. The paper concludes that own-sector productivity growth deteriorates employment in agriculture, however, other sectors’ productivity-employment relationship depends on the methodology adopted.

2. Literature Review

Structural change can be captured in models by applying different rates of (labour-augmenting) technological progress across sectors, change in the relative prices of inputs and (consequently) outputs, differences in input intensities and substitutability of capital and labour, as well as separating home production of services. From the consumer’s side, non-homothetic preferences and differing income elasticities for different products are a prerequisite for explaining why certain sectors become more dominant and why others less. Referring to an early work by Clark (1940), Gabardo et al. (2017) [5] conceptualise sectoral reallocations as the result of differential productivity growth and Engel (income) effects; that is, sectoral deviations in productivity growth from the supply side and different income elasticities from the demand side. It was namely Engel who stated first that the lower income elasticity of demand leads to the drop in food prices and the shrinkage of the agricultural sector within the economy. His findings were later extended as a general law for consumption explaining other industries’ rise and downturn (see Houthakker (1987) [6] among others). If income elasticity is greater than one in an industry (presuming non-homothetic preferences for consumers), then an increase in the per capita GDP leads to a higher expenditure share and also to the reallocation of labour in favour of the sector with higher efficiency. In the supply side or the technological explanation, relative price changes either derive from differences in productivity growth across sectors or the changes of relative prices of inputs (presuming different input intensities and changes in the relative supply of inputs). Foellmi and Zweimüller’s (2008) [7] model, concentrating on the demand side, is even able to capture the stylised facts on the three broad sectors, and at the same time, with a hierarchical representation of consumer preferences, they show that goods, when launched in the market, are classified as luxury and later become necessity products due to changing income elasticities. In contrast, Acemoglu and Guerrieri (2008) [8] construct a model which only takes into consideration supply side effects, varying input intensities and capital deepening as causes of relative price dynamics. Synthesising the two approaches, Boppart (2014) [9] empirically proves that both demand and supply side effects are relevant, which is then also confirmed in Gabardo et al. (2017) [5].
Baumol (1967) was one of the first economists who explained changes in industrial proportions on value added with differences in technological progress using only labour input [10]. Herrendorf et al. (2013) [1] empirically examined how the weight of agriculture, manufacturing and services in value added, consumption and employment alternates at different welfare levels in industrialised countries with the analysis of historical time series. In addition, they also showed that in the shorter run, sectoral composition might also play an important role in business cycle fluctuations. Measured as a function of economic development (expressed as log of GDP per capita), they found that in most of the cases, the sectoral shares of employment and nominal value added show a declining path in agriculture, a hump-shaped pattern in manufacturing and the service sector is continuously gaining ground in most developed countries. The share of the service sector shows a sharper increase, from the point where manufacturing shifts to a decreasing from an increasing trend in the case of nominal value added shares. These patterns generally characterise the most industrialised countries whose data series from various data sources encompass a long enough period starting from the 19th century. Herrendorf et al. (2013) also reveal some methodological problems of measuring economic development and sectoral shares [1]. Namely, the level of economic development is mostly expressed as GDP per capita, which can show large deviations from GDP per hours worked in country rankings. As regards to the measurement of sectoral shares, consumption may follow quite different patterns from value added as consumption measures final expenditure and not additional value created at different phases of production. Moreover, nominal versus real figures often deviate reflecting contrasting price developments. Different data representations result in either a more accentuated effect of relative prices or that of income movements depending on the input-output relations of the economy. Thus for a better comparability of data, Herrendorf et al. (2013) mostly relied on the EU KLEMS database which offers methodologically harmonised data series on sectoral output, value added and employment covering the period between 1970 and 2007. Nevertheless, they detected similar results for the change in the sectoral reallocation of labour and income, even for countries outside the set of rich countries for which EU KLEMS has data [1].
Apart from the above general economic interpretations which macroeconomic models are based on and what data representations on sectoral shares reflect, there are still significant deviations in the way the three sectors transform with economic development, as far as particular countries are concerned. These variability among countries can be attributed, among others, to different industrial policies, openness, the role of international trade in general, transportation costs, entry barriers in the service sector, the behaviour of new entrants in the labour market, the change in the number of skilled workers, female employment, as well as various economic policy measures (such as, for instance, employment protection rules) and other market distorting forces (externalities, public goods, market power etc.). Some of the researchers put special emphasis on the human determinants of sectoral transformation, the contribution of the skilled labour force (Buera and Kaboski (2012) [11]) and women (Rendall (2010), Olivetti (2013) [12,13]) to the greater share of the service sector in employment and value added. The open economy context of structural change is less elaborate but becomes more and more attractive. It is attributed a specific measurement, the so called Krugman index—a relative specialisation index where a given sector’s importance is compared to that of a country or a reference group [14]—and it is also characterised by the proportion of high- and medium-tech export in total exports.
The lessons learned from theories on structural change can also be applied to the differences between developing and developed countries. Caselli (2005) and Restuccia et al. (2008) [15,16], among others, emphasise the importance of agriculture in economic development. In their view, the lower level of productivity in agriculture and the greater share of agriculture in employment prevent developing economies to reach a higher living standard (Herrendorf et al. (2013) [1]). Another reason why less developed countries might not catch up with the more developed ones lies in the fact that the difference between the two country groups in the level and growth rates of producitvity in agriculture and services is greater than in manufacturing, therefore, the shift from the dominant role of manufacturing to that of services does not support convergence in terms of aggregate productivity (Duarte and Restuccia (2010) [17]).
Apart from their deep analysis of determinants behind sectoral transformation and a comprehensive review of models dealing with it, Herrendorf et al. (2013) also point to the limitations of the three-sectoral approach of economic development [1]. Jorgenson and Timmer (2011) question whether the classical trichotomy among agriculture, manufacturing and services well captures the structural processes of an economy [18]. This is reasonable, if one thinks about significant discrepancies in productivity, value added, consumption and employment patterns within sectors, such as, for instance, the service sector. The service sector can be divided into traditional and non-traditional, high-skill and low-skill services etc. among which relative price changes, real expenditure and labour shares can show large deviations. Gabardo et al. (2017) underline that structural change cannot be restricted to the three broad sectors but instead it covers the change in the structure of production and employment between and within sectors as well [5].
Kuznets (1966) emphasises the positive overall productivity effect of the move of labour from less productive sectors to more productive ones as a favourable phenomenon of structural change [19]. At the same time, the technological development of the given industry (measured as increase in productivity) has a characteristically negative impact on the employment of the same industry (Baumol hypothesis). This technology determined own-industry employment deterioration might be overcompensated or at least counterbalanced by positive spillover effects originating from the technologically advanced industry affecting overall consumption, income and employment. Recent research has shed light on the fact that the contribution of industries using higher technology to employment shows a declining trend. At the national economy level, technological unemployment can be mitigated by continuous product innovation according to Saviotti and Pyka (2004) [20]. Nordhaus (2005) confutes that own-industry technological advancement (with special regard to the New Economy of semiconductors, softwares and telecommunication) would cause job losses and also detects a positive relationship between productivity and employment even within manufacturing for the period between 1955–2001 and 1998–2003 [21]. The outcome was opposite to what the observed shrinkage in manufacturing employment suggested, which Nordhaus explains with the more rapid productivity growth and price decline from foreign competitors; thus, competing imported goods can more than offset labour- augmenting technological development in the domestic economy. Concerning the employment effect of technology in the various sectors of the economy, Bessen (2017) reveals more nuanced relations: Employment shows a dramatical increase at the early stages of innovation then starts declining in later stages of maturity due to market saturation and the widespread use of the new technology thanks to mass production and price reduction [22]. Therefore, an initial favourable employment impact of product innovation ends up in employment depressing processes within the innovative sector. Productivity increase induced by automatisation, at the same time, does not impact employees with different qualifications uniformly, which was underscored, among others, by the examination of Autor and Wasserman (2013) and Dustmann et al. (2014) [23,24], who revealed that the salary of low-wage, less educated workers further decreased in the USA and Germany in the last two to three decades considered. These labour market effects are explained by the shift in demand, thus, the aggregate favourable labour market effect of productivity can go together with contradicting processes within the industry but can affect employees at various skill levels also differently. That is, changes in labour demand (often referred to as “skill-biased demand shifts”) can have an adverse impact on broad skill groups even if technological advance does not harm the labour market in aggregate. Autor and Salomons (2017) confirm both presumptions in their investigation encompassing 37 years and the statistics of 19 developed countries [2]. They test the employment effects of productivity (as a widely accepted indicator of technological progress) with regards to change in employment, both expressed as the number of persons engaged in work and as the industrial share of working age population across industries. They point out that the employment decrease resulting from the productivity increase within the same industry is outperformed by the positive, employment-augmenting spillover effect of the productivity growth of a given industry appearing in other industries. These intersectoral advantages stem partly from final output demand increases (income effect), partly from interindustry demand connections. Furthermore, they provide statistical proof that the change in employment appears in employee groups with differing skills in a different way and polarises the labour market. Autor and Salomons rank 28 industries in five categories: mining, utiities and construction; manufacturing; education and health services; capital intensive (‘high-tech’) services; and labor-intensive (‘low-tech’) services [2]. The interdependence between employment and productivity shows a great diversity in intersectoral relations as well. The most positive external effects can be detected due to health care, education and other (low- and high-tech) services, in contrast productivity in utility services, mining and construction cause no sizable intersectoral spillover effects. (The low-tech sector merits attention on account of its share in employment, whereas the manufacturing industry is due to the highest efficiency increase in respect of all the industries examined.) The differences in the response to the change in productivity can be explained by the presence of sector-specific technology, the level of saturation of the market, and how demand effects are shared between domestic and foreign markets. Furthermore, it is generally observable that a powerful efficiency increase in the primary and secondary sectors will cause an expansion in employment in the tertiary sector, which principally affects the low-skilled and high- skilled labour force; the medium-skilled will mostly be excluded from the favourable labour market developments. Moreover, Autor and Salomons (2017) conclude that among other factors, above all, population changes have caused significant employment effects beside the favourable overall employment effect of productivity increase [2]. Though this favourable impact can be still recognised for the average of the whole period examined but has been moderating (or even turned negative) in recent decades, just like the interaction between productivity and employment, as labelled by the authors as decoupling. A possible reason for productivity growth exercising a less forceful effect on domestic employment is that the ensuing expansion in demand is partly satisfied by foreign producers, thus trade openness might explain the change in the intensity of the productivity-employment relationship just like the patterns of structural change.
As regards to structural change in the emerging countries of Europe, Bah and Brada (2009) find that post socialist countries, due to the former planned economic system, tend to have a higher employment level in agriculture and manufacturing than the service sector compared to industrialised countries [25]. Furthermore, the service sector in these emerging economies is less productive, having a significantly lower TFP, thus, the expansion in the service sector does not entail growth in GDP per capita. Dobrzanski and Grabowski (2019) give a detailed review on research papers discussing productivity processes in the CEECs (Central and Eastern European Countries) with special emphasis on the sectoral reallocation of employment [4]. With the help of shift-share analysis and panel data methods, Dobrzanski and Grabowski (2019) decompose NACE level industrial productivity growth into pure and structural productivity—the former captures productivity driven by technological progress, the latter by changes in the industrial shares of employment—for the period between 2004 (the date of EU accession of the first group of countries) and 2018 [4]. They find that in the CEECs, it is structural productivity, that is, the move of labour force to more productive branches of the economy that dominates efficiency increases due to technology modernisation. Moreover, within the general productivity increase since EU accession, significant deviations exist among the sectors and the countries examined. The services sector (especially ICT, financial and real estate services) had outstanding dynamics while others less. Slovenia, and to a lesser extent, the Baltic countries, have made the greatest progress while Hungary leads the group of economies with the lowest productivity growth—especially in terms of structural productivity—showing also negative tendencies in recent periods. Structural productivity and thus, structural change, is largely influenced by R&D expenditure, while within sector productivity growth is much less in these countries. Dobrzanski and Grabowski (2019) also note that employment has mostly broadened in the service sector, with special regard to the professional, scientific research, technical, administrative, and support service activities [4]. Correia et al. (2018), by analysing innovative processes in Central, Eastern and South Eastern European economies (CESEE), point to the shift between the period before the 2007–2008 global financial crisis and the period after the crisis [3]. Before 2008, the region was attractive for a skilled labour force and low wages which lured foreign investment and thus, innovation spurring productivity was mostly imported or foreign (dominantly EU) financed (supplemented with government funds) and concentrated in the manufacturing sector. After the crisis, however, productivity has decelerated and the region has lost its attractiveness it earlier enjoyed due to the relatively high level of educational attainment and unexploited capacities of its labour force. Aging, the bad health conditions and the outward migration of the labour force resulted in tight labour market conditions in the last couple of years. Therefore, the innovative ability of these economies should rely more on internal financing and a more practical use of home inventions or innovative efforts, on a new growth model in general. Galgóczi (2017), in contrast, argues that there has not been a low wage strategy in the CEE countries, but instead there was a large decline in real wages in the region in the transformation period followed by an evident convergence in wages between 2000 and 2010 [26]. However, the global financial crisis shattered the favourable process, and EU crisis management policies had again a dampening effect on wages which have prevented the formation of a new strategy based on structural change towards a high-skilled labour force and higher value added activities, and has kept these countries in a ”low-wage trap”. Finally, Novák (2019) did not unequivocally prove an overall positive productivity induced employment growth in 14 Central and South Eastern European countries for the period between 1995–2015 but instead, OLS panel regressions all resulted in a negative productivity-employment relationship at the national economy level also when controlling for demographic changes [27].

3. Materials and Methods

The methodology of the paper largely relies on that of Herrendorf et al. (2013) and Autor and Salomons (2017) [1,2]. Similarly to Herrendorf et al. (2013) [1], within the frames of a descriptive data analysis, first, the employment and value added shares are compared using the real GDP per capita figures as a measure of welfare of the selected countries to discover the different patterns of these shares as economic development evolves. Real GDP per capita was calculated based on data disclosed by the Federal Reserve Bank of St. Louis (see Figure 1, Figure 2 and Figure 3). For the assessment of the changing importance of the three broad sectors, it is reasonable to use the EU KLEMS NACE activities statistics as it provides harmonised and comparable data for all the 13 countries examined. Unfortunately, most countries have data series starting only in 1995 or even later, therefore, the maximum interval for analysis is 20 years which only allows to explore recent tendencies. Moreover, the National Accounts from the United Nations Statistics Division are also applied for a longer period comparison covering the years 1970–2017 which also helps examine nominal versus real value added changes (Appendix A). In addition, World Development Indicators (WDI) support setting against the tendencies in emerging economies with those in the reference groups, G7, OECD, EU and EMU countries in the last three decades (1991–2018). Finally, OECD sectoral employment statistics are used to describe recent tendencies in the number of persons engaged in the labour market.
With panel regression methods, sectoral employment statistics are regressed on own-sector productivity and other explanatory variables. The software used for regression is Gretl, a free, open-source software (version 2019c, Allin Cottrell, Wake Forest University, Winston-Salem, N.C., USA, Riccardo "Jack" Lucchetti, Marche Polytechnic University, Ancona, Italy). Among the 13 countries which joined the EU after the year 2000, 11 (Bulgaria, the Czech Republic, Cyprus, Estonia, Hungary, Latvia, Lithuania, Poland, Romania, Slovakia and Slovenia) have a comprehensive employment and value added dataset for the period 1995 and 2017 broken down by the NACE classification of economic activities in the Eurostat database. Consequently, Croatia and Malta had to be dropped from the panel regression sample.
The employment-productivity relationship is analysed from two viewpoints in this paper. Both the log change of the number of employed persons (demp) and the log change in the share of the particular sector in total employment (demp-share) is regressed on the log change of productivity (dprod). For the employment variable, we used data based on the domestic concept; for productivity, 2005 chain linked sectoral value added data (expressed in million euros) were divided by the same sectoral employment statistics. To control for general employment trends, the other sectors’ (those outside the one being explained) and the rest of the EU28 countries’ (outside the 13 countries discussed in the paper) corresponding sectoral employment data were used as additional explanatory variables (demp_other_sectors and demp_(share)_EU_corr). Own-sector and own-country productivity is supplemented by the sum of the own-sector productivity data of the other countries (dprod_other_countries) in the sample and the productivity of the rest of the sectors of the same country (dprod_other_sectors). This basic model set is first tested in a simple OLS panel regression, then also discussed in a GMM regression framework, where changes in own-sector productivity (dprod) and in the own-sector employment of the rest of the EU countries (demp_(share)_EU_corr) form the regressors, and the rest of the above mentioned employment and productivity variables are applied as instrumental variables to tackle the problem of potential spurious regression results.
The econometric literature proposes that in the case of possible non-stationarity of the data, as very often is the case with GDP per capita and other productivity figures, spurious regression can be the outcome, which can be mitigated by panel estimations resulting in consistent estimates of the regressors, if N and T are large enough [28]. GMM is widely used in econometric analysis to tackle the shortcomings of the OLS method such as the endogeneity among regressors and the falilure to meet the normal distribution condition. GMM uses instruments strongly related to regressors, helping eliminate endogeneity problems and does not require the knowledge of the distribution of the data, only the moments derived from models. It also has good large sample properties [29]. However, its shortcomings lie in the same features; the lack of adequate sample size can lead to statistically less significant parameter estimates and their 1-step application does not produce optimal results when the set of instruments initially selected is only valid when particular initial conditions hold (see Kiviet (2009) among others for further details [30]). Furthermore, as Autor and Salomons (2017) suggest, the OLS test might underestimate the coefficient of the main explanatory variable (productivity) due to statistical errors and the biased relationship between productivity and employment (as productivity is calculated using the same employment figures) [2]. At the same time, the GMM model is susceptible to overestimate the coefficient of the explanatory variables, if controlled for by relevant instrumental factors, as in our case, by other countries’ and sectors’ productivity.
To mitigate the effect of the employment-productivity bias, additional variables are involved in the regression capturing country-, industry- and time-specific factors. These data mostly stem from the TheGlobalEconomy.com and include energy import and (domestic) capital investment as percent of GDP, rural population and female population as percent of total population, mobile phone subscribers/internet users as percentage of total population, shadow economy as percentage of GDP and trade openness (exports plus imports as a percentage of GDP). Tertiary educational attainment (defined as the percentage of the population aged 30–34 who have successfully completed tertiary studies) and early school leavers (defined as the percentage of the population aged 18–24 with, at most, lower secondary education), as well as sectoral (NACE classification) and total EU level investment in fixed assets as to GDP statistics are obtained from Eurostat. For 9 countries, we can find intramural R&D data broken down by fields of science and as total expenditure in the OECD databases; these were also used in the examination as a percentage of GDP. In all three datasets, there were some missing data for some of the countries examined which were made up for by linear extrapolation or moving average estimates. Two dummies were also added to the set of explanatory variables; dummy1 stands for the years following EU accession and dummy2 covers the years of the global financial crisis and the subsequent European sovereign crisis (years 2008–2012).
The relationship between employment, productivity and other variables mentioned above is analysed at broad sectoral levels: within agriculture (including the activities of agriculture, forestry and fishing), manufacturing, and two services areas which are separated by the presumed level of applied technology. These two services sectors are defined as ‘low-tech’ (encompassing wholesale and retail trade, transport, accommodation and food service activities) and ‘high-tech’ (information and communication, financial and insurance activities, professional, scientific and technical activities, administrative and support service activities and public administration, defence, education, human health and social work activities) similarly to the way Autor and Salomons (2017) tackled the multifarious service sector [2].

4. Results

4.1. Structural Change in the Light of Descriptive Statistics

In the agricultural sector, despite a well observable moderation, there is still an evident surplus in value added shares in Central and South Eastern European countries compared to the OECD, EU and eurozone averages, standing around 1–1.5% in the last five years. The only exception is Malta, with its below 1% proportion in 2018, while Cyprus, the Czech Republic and Slovenia, with their less than 2% figures, are very close to the European average. In Romania and Bulgaria, agriculture still contributed to GDP by an above 5% share until the 2010s, but by now, their statistics have also seen a strong decline below 5%. The employment share of agriculture shows a diverse picture apart from the common negative tendency and an average of approximately 60% decrease in the data between 1991 and 2018. Apart from Slovakia and the Czech Republic, Central Eastern European countries employ more of their labour force in agriculture (5–25%) than OECD and EU or EMU countries. The OECD and EU countries’ employment share in agriculture almost coincides over the entire period with a value somewhat above 4% in 2018 while the eurozone can be characterised with a few percentage points lower values than the other two groups of countries over the entire period examined. The share of agriculture in value added and employment uniformly delineate a declining trend, irrespective of the particularities of the selected Central and South Eastern European countries (Figure 1a,b).
Among the outliers, Romania is the most striking example with a still significant proportion of agricultural workers making up somewhat higher than 20 percent of total employment. In contrast, Cyprus, the Czech Republic, Malta and Slovakia are even below the eurozone average with Cyprus standing out with its 1% share in 2018. When observing a longer time horizon (Figure A1a,b), one can conclude that real value added data represent a stronger convergence eliminating the relatively higher prices of agricultural produces at the beginning of the period, and that Cyprus had for long been a rather agricultural oriented country, not like today.
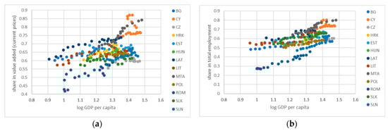
As regards to manufacturing, its contribution to total value added and employment has been on a downward path from the beginning of the period examined, except for the Visegrád Countries and Slovenia, where data show a slight increase in the share in value added. The largest drop in manufacturing shares can be traced in the case of Malta, in both proportions on value added and employment. The shares of some of the 13 selected countries are generally still far above those of eurozone, EU and OECD averages (amounting to 22% as regards to value added and 22–24% as regards to employment in 2017 and 2018). In contrast, Malta and Cyprus are much below and Latvia is close to these averages. The economic weight of manufacturing has a dissimilar pattern for the countries discussed, with a close to constant tendency at lower welfare levels and a strong deviation between countries of decreasing and somewhat increasing proportions at higher welfare levels. When taking 1970–2017 UN National Accounts value added statistics for analysis, a strong decline of relative manufacturing prices and a more forceful reindustrialisation in real terms of Visegrád Countries and Slovenia (and to a lesser extent Estonia and Lithuania) is observable. Romania appears here as an outlier with high (above 40%) proportions on manufacturing at low welfare levels (Figure A2a,b).
The relatively higher reliance on manufacturing also seems to go together with expanding productivity (relatively lower employment shares) in the region (Figure 2a,b) It is interesting to note here that OECD countries, in general, have a larger contribution to value added than to employment relative to EU countries in industrial production which leads to the conjecture that European countries may use more labour intensive procedures. Nevertheless, some Central Eastern European countries have also moved to be somewhat higher in technological efficiency.
According to World Bank (WDI) statistics, the share of the service sector in value added has essentially been growing since 1991, and stands at around 70–80% in most developed countries— typically in the G7 economies—whereas in the emerging Central Eastern European, South American and Asian economies, this indicator fluctuates around 55–60%. There is, however, apparent difference between the OECD and EU value added proportions in favour of the OECD again, while almost no such difference in employment shares exists.
Among the countries examined in the present paper, Malta and Cyprus are above the OECD average of 70% (2017 data) by some percentage points and significantly exceed the EU/EMU average of 66% (2018 data), while Latvia is close to the European average. As for the employment share, very similar conclusions can be drawn with a general positive tendency typical of all the countries examined. Much over the OECD and EU averages of around 72–73% are the values of Cyprus and Malta with some 80% in 2018, with Latvia representing, more or less, the European average. Furthermore, Romania is much more lagging behind in its labour market involvement in services (with its still less than 50% share) despite its gradual catching up, as concerning its income generated by the service sector (57% by 2018). In Hungary, the service sectors’ share in employment has continuously been lagging behind that of the OECD average by some 5–10 percentage points and the manufacturing sector has had, more or less, the same surplus employment share since the system change. The positive dynamics of the service sector (apart from some deceleration in some high-income countries) in terms of both value added and employment is apparently traceable in Figure 3a,b.
Taking a longer time horizon provided by UN National Accounts statistics (Figure A3a,b), there is much less divergence in the countries examined in real terms, as service prices have undergone a strong appreciation since EU accession. Romania stands out over the entire period, having an apparently lagging services activity at the beginning of the period, or to put it differently, at low income levels.
In both the OECD and Central Eastern European economies, the number of persons engaged in agriculture was further falling between 2010 and 2018, with the exception of Hungary, which had a close to 30% increase Though the number of employed persons grew both in manufacturing and services in the OECD countries (by 8% and 12% respectively) between 2010 and 2018, the new jobs created have still not made up entirely for the drop in employment in the manufacturing sector since the onset of the crisis whereas employment in the service sector has shown an uninterrupted increase. In manufacturing, the 2008 events caused a strong relapse in employment from the most developed G7 to the less developed Central Eastern European economies, while there was just a slight, and often rather upward, correction in employment in services. A general tendency of the last two to three decades in G7 countries, with the exception of Germany, is the shrinking number of employed persons in manufacturing with a moderate rebound after 2008, in contrast to Central Eastern European Countries where this sector still offers expanding job opportunities. The service sector employs more and more workers in both developed G7 and emerging European economies.
The sectoral rearrangement can also be observed in the EU member states over the last two to three decades. The number of agricultural workers has been permanently falling since 2000 (by more than 40% altogether). There was a significant drop in manufacturing workplaces after the global financial crisis, which is still detectable in the data; the number of employees in manufacturing is 7% less in the EU 28 in 2018 compared to 2008. The service sector is continuously on the top in its contribution to job creation and value added; its share in employment has grown from 68% to 72% in the EU since the crisis became global. It is worth noting that in the European Union, the number of workplaces has exclusively grown in the service sector on average whereas in Hungary, all three sectors, and in Poland and the Czech Republic, the manufacturing sector, have also experienced an extension in the number of jobs according to OECD statistics since the onset of the global financial crisis. In respect of the Eurostat domestic concept employment statistics, Malta could account for an amelioration of employment in agriculture, Latvia experienced a worsening also in the service sector, and Hungary, similarly to other member states, has only improved its labour market figures in the different service branches.

4.2. Panel Regression Results

The regression results revealed that productivity is a relevant factor in explaining the dynamics of employment in all the sectors considered. When using simple OLS panel regression, productivity coefficients proved to have a negative impact on own-sector employment, both considering the increase in the number of employed persons and the employment share of the given industry (Table 1 and Table 2).
In the case of the agricultural, ‘low-tech’ and ‘high-tech’ services sectors, the involvement of a constant improved regression estimates, whereas manufacturing productivity only became a significant explanatory variable if the first lag of the employment variable was also included in the regression (and it also corrected Durbin-Watson statistics favourably upwards). The outcome suggested that the variables involved in the panel regression explain 30–60% of the variance of the dependent variable. The corresponding sector’s productivity of the other countries examined (excluding the one whose dependent variable is actually being explained) does not have a strong effect on employment apart from the share of manufacturing in total employment and in the agricultural sector’s employment growth equation, with positive coefficients in both sectors. Other sectors’ productivity affects employment in the given sector positively, apart from agriculture. At the same time, other sectors’ employment growth deteriorates employment dynamics in the agricultural sector and might also decrease the share of manufacturing and ‘high-tech’ services in employment. Employment growth only goes hand-in-hand with the rest of the EU in the ‘low-tech’ services sector, whereas the selected countries’ and the EU’s agricultural labour market contraction dynamics are negatively related in the OLS estimate. Notwithstanding, the shares of the particular sectors in employment seem to follow similar patterns to those in the other EU countries, apart from the ‘low-tech’ services sector.
Another interesting observation concerns the intersectoral spillover effects. Apart from the share of employment in agriculture. Other sectors’ productivity growth has an ameliorating effect on a particular sector’s employment. Viewing the spillover effect starting out from the particular sectors, we find no productivity related employment growth due to technological progress in agriculture, whereas a strong employment-augmenting effect can be attributed to ‘high-tech’ services and much less to the ‘low-tech’ services and manufacturing. These labour market interactions between sectors, however, can only be justified using OLS.

5. Discussion

To control for country-, time- and industry-specific variables, additional regressors were involved one by one in the estimation supplementing variables contained in Table 1 and Table 2. They showed diverse relations to the dependent (employment) variable (Table 3) Among all these additional regressors, capital investment-to-GDP further dampens employment in agriculture, while boosts labour market dynamics in the ‘high-tech’ services sector. Rural population seems to have a stimulating effect on employment in both service sectors, whereas, contrary to the surmises found in the literature, higher female participation in the labour market might depress employment growth in all the industries including both service sectors, especially the ‘high-tech’ areas.
A strong negative labour market effect of tertiary education attainment and the recent crisis (dummy2) is also observable in the case of ‘low-tech’ services. Economic openness might also contribute to the diversion of workforce from manufacturing as proposed by the literature (see [21]) and this effect is recognisable in the regressions and even present in the ‘low-tech’ services industry apart from manufacturing. The other theoretically underpinned fact (see [2,11,15]), the relative advantage of low-skilled and high-skilled employees in the labour market is conspicuous in the ‘high-tech’ services area.
To tackle possible overidentification problems implied by the panel regression variables’ behaviour, the main explanatory variables were also tested in a one-step GMM model framework with other sectors’ and countries’ productivity and other sectors’ employment being the instrumental variables, with the EU sectoral employment, the other regressor beside own-sector productivity. The GMM estimation thus confirmed the negative impact of productivity on employment within the agricultural sector, being a traditional industry and thanks to the variables used as instruments. It magnified the technological outcrowding of employment. In contrast, we receive no convincing regression results in manufacturing. Apart from productivity having almost no explanatory power, its coefficient varies from positive to negative values by exchanging regressors and instruments or by shifting from employment to employment share among dependent variables which well reflects the diverse processes in the manufacturing sector in the emerging countries of Europe as detailed above. (Even the inclusion of the lagged employment variable failed to yield a reassuring outcome). Partly the same is true for the service sector, where the ‘low-tech’ area is lacking any reliable link between productivity growth and employment dynamics, while in the ‘high-tech’ branches, productivity is significant but its coefficient shifts to a positive value when the annual change of employment is being regressed and only turns (largely) negative when the change in the contribution of the sector to total employment is being tested. As this ‘high-tech’ sector involves the upsurging IT and financial services, a positive own-sector productivity effect would restitute our expectations; however, it can only be proved at a 10% significance level and without the constant, while the variable controlling for general employment processes is lacking any explanatory power. The detailed results of the GMM estimations can be found in Appendix B (Table A1 and Table A2). Sector by sector different model configurations could result in statistically more robust estimates, however, the model finally selected enables the comparison of the various sectors along the same regressors and instruments. (Only the constant could be dropped if it did not contribute to the goodness-of-fit of the model). Autor and Salomons (2017) [2] detect a negative productivity-employment relationship in mining, utilities and construction, in manufacturing, in education and health, in high-tech (excluding education and health) and low-tech services with OLS regression, and in the frames of a general own-industry analysis using industrial employment weights in both OLS and IV estimations. The sector by sector analysis in this paper also reveals the negative own-industry link between the two variables in the focus of the examination in the OLS approach, however, the own-sector productivity regressor only has the expected robust negative coefficient as recorded by Autor and Salomons (2017) in agriculture when the GMM method is applied [2]. Moreover, Autor and Salomons (2017) find that irrespective of the employment variable used (either change in the number of employed persons or the share of employment), we obtain the same results, while the GMM estimation in this paper has brought varying signs for the productivity coefficients depending on which employment variable was used.
Additional variables were entered in the GMM equations (see Table A3) as well. The most apparent deviation from what had been observed in the case of the OLS regression came up in the case of the EU and the crisis dummy, as well as mobile phone and internet usage. Both dummies were found to be positive and significant in agriculture and partly in ‘high-tech’ services. This means that both EU accession and the global financial crisis had an overall positive bearing on agricultural and ‘high-tech’ employment, and that these sectors could absorb some of the redundant workforce, deteriorating the situation in manufacturing during the recessionary years after 2008. This can be partly attributed to government policy intervention and also to the change in foreign investors’ attitude, as the region has partly lost foreign investors’ interest in investing in productive investment, mainly in the field of manufacturing as suggested by Correia et al. (2018) [3]. The employment-augmenting effect of ICT devices reflects the spillover effect of a technological innovation in the manufacturing sector to the agricultural and the service sector. The manufacturing and ‘low-tech’ services sectors can be characterised by the least fitting two models; as regards to the employment-productivity relationship, their effectiveness in explaining employment should thus be evaluated with caution. Some evidence, nevertheless, on the employment dampening effect of greater economic openness and import dependency in energy is detectable in the former and that of larger capital investment in both of these sectors. Domestic and EU capital investment works in favour of employment creation in the ‘high-tech’ services sector (and with lower empirical evidence against it in manufacturing) in both (OLS and GMM) model frameworks, whereas the higher percentage of rural population, shadow economy and early school leavers are generally employment depressing in the GMM setup.
For the robustness check of the sectoral employment-productivity relationship, first of all, the original dataset is truncated by activities, countries and years but the same model setup (like in Table 1 and Table 2, respectively Table A1 and Table A2) is used. (See the detailed results in Table A4 and Table A5). As the ‘high-tech’ services is the most heterogeneous sector, first the public activities (Public administration, defence, education, human health and social work activities) are detached from the original dataset of ‘high-tech’ services. As a consequence, in the OLS framework the (negative) sign and the value of the coefficient of the productivity regressor remained basically unchanged, and only other variables lost part of their explanatory power. In the GMM framework, however, the productivity variable was only significant and negative when the employment share of the narrower ‘high-tech’ sector was explained.
As even by the end of the 1990s, the economic transformation process had not ended, therefore, the analysis was also carried out for the years 2000–2017. The shorter time series generally strengthened the statistical goodness of the estimation (higher adjusted R2) but the sign of the productivity coefficient remained negative. Whereas the shorter-period estimation confirmed the longer-period results for the agricultural and ‘high-tech’ services sector (in the case of the latter, the magnitude of the productivity coefficient further increased), the productivity variable experienced a partial loss in its significance in the case of manufacturing and entirely in the ‘low-tech’ services sector. The GMM estimate brought higher negative coefficients for the agricultural sector and for ‘high-tech’ services (only for the employment share as dependent variable. The growth in the number of employed persons’ estimation did not produce significant coefficients). In the case of manufacturing productivity, it had greater explanatory power in the shorter time period by testing both employment growth and growth of employment share, but the first had a negative and the second a positive coefficient. At the same time, ‘low-tech’ services employment did not show any link to productivity in the GMM framework. (Involving the EU dummy as instrumental variable in the whole-period GMM estimation, we received similar results apart from the agricultural sector where the EU dummy does not improve regression results).
The reduction of the participating countries in the panel is based on data availability on (sectoral and total) intramural R&D expenditure in the OECD statistical database. The nine-country analysis thus means that Bulgaria and Cyprus are dropped from the sample. In this case, the agricultural productivity coefficient had a greater magnitude than in the entire sample in both kinds of estimations. In manufacturing, the negative productivity-employment relationship weakened in the OLS framework and only remained significantly negative for the growth in the number of employed persons in the GMM regression. The ‘low-tech’ and ‘high-tech’ productivity regressor received a higher elasticity in the OLS but insignificant coefficients in the GMM model, with the exception of the latter (‘high-tech’) in approximating employment share dynamics. Agricultural employment is stimulated by total domestic R&D spending in all the regressions, whereas sectoral (agricultural) R&D does not exercise any effect on the same. Manufacturing employment is boosted by intramural R&D spending on both natural sciences and other research areas in all the regressions which is in line with Dobrzanski and Grabowski (2019) emphasising that structural productivity growth and thus, the move of labour to more productive sectors, is significantly affected by R&D expenditure [4]. Furthermore, should intramural R&D really contribute to employment in manufacturing, the necessity of a shift to a more self-financed approach to innovation, as proposed by Correia et al. (2018) could also be justified [3]. ‘Low-tech’ services employment is left untouched by neither of the R&D spending types, and ‘high-tech’ services employment can be stimulated by spending on all science branches, but this can exclusively be proved in the OLS estimations.
Data are very sensitive to the country composition, which is confirmed when we simply leave out Cyprus for its geographic distance. The ten-country panel resulted this way mostly confirms the outputs of the full panel estimates with the exception of manufacturing where neither of the regressions produce significant coefficients for the productivity variable. When reducing the panel to eight countries (Latvia, with less reliant data series is also dropped from the sample in addition to Bulgaria and Cyprus), the OLS estimates correspond to those in the 11-country examination with the only relevant difference being that the negative coefficient of the productivity variable in manufacturing and ‘high-tech’ services becomes larger. In the GMM regression, the productivity variable is only significantly negative in agriculture and in the ‘high-tech’ sector for employment share (but in the latter only if the constant is disregarded).

6. Conclusions

According to the theoretical literature, the two main factors inducing sectoral transformation are technology-driven change in productivity and differences in income elasticities of demand across sectors in which innovation plays an important role. The 13 emerging European economies examined in the paper have undergone an apparent structural convergence to industrialised OECD and EU economies in the last more than 20 years, with Malta and Cyprus having experienced even more of an “advanced” shift towards a dominant service sector than the former countries on average. Latvia and Lithuania are almost reproducing the EU countries’ general tendencies, while the Czech Republic, Slovakia and Slovenia, showing reindustrialisation tendencies, count to the most progressive economies as the low reliance on agricultural activity is concerned. Romania and Bulgaria used to be outliers with their dominant agricultural sector in income terms but this difference has diminished over time, while Romania is still largely deviating in its employment statistics from other European countries with a strikingly low proportion on services and still somewhat more forceful presence in the agricultural sector. A longer time series helps us compare real and nominal value added shares, which leads to the well-known general conclusion that agricultural and manufacturing prices have markedly declined in the past some 50 years, while the service sector has undergone a perceptible price increase.
Following on the Baumol hypothesis, we can conclude, in respect to the selected countries (out of which 11 have testable data series), that in traditional branches, own-industry productivity growth tends to deteriorate employment, which partly even holds for the service sector, if one controls for general employment and productivity dynamics in simple OLS regression estimates. In manufacturing, productivity only exercises a significant impact on employment if the lag of the employment variable is also involved in the equation. Moreover, if we use part of the explanatory variables as instruments in the (GMM) regression, only agriculture produces the expected negative outcome robustly, and other sectors either show no productivity induced employment changes or this effect varies between positive and negative if the number of employed persons or the share in total employment is the dependent variable. Agriculture, in addition, does not show any interaction with other sectors as concerning positive productivity spillover effects. Among other factors influencing employment creation, we find that relatively higher female labour market participation and shadow economy depress employment in general, while the relatively higher share of rural population and early school leavers only have a general negative impact on the traditional agricultural and manufacturing sector’s labour market. Higher trade openness and energy import dependence, EU level investment activity (just like EU accession and the recent global financial crisis), higher tertiary educational attainment and internet (mobile phone) usage have a negative impact on manufacturing employment while favourably influence agriculture and ‘high-tech’ service job creation. Interestingly, manufacturing labour market was only affected positively by intramural R&D spending among all additional variables. However, regression results need to be treated with caution due to the diversity in the selected countries and thus, the sensitivity of data to the composition of the panel.
The above results led us to make two important conclusions. First of all, EU industrial policy principles (like those laid down in Europe 2020, for instance) should put more emphasis on the diverse industrial structure of member states. Reconsidering reindustrialisation potentials, in the CEECs offering more high-skilled activities, is one of the alternatives. The region traditionally has a relatively well-educated labour force, however, manufacturing has not offered broadening employment opportunities for them. Notwithstanding, the greater reliance on the service sector in Baltic countries, Malta and Cyprus in general, partly does not necessarily contribute to the creation of new jobs within the sector, as regression results revealed. The efficiency increase in the different service branches of the high-tech area, however, can still induce positive labour market spillover effects. Furthermore, in Bulgaria and Romania, an economic policy promoting a shift to more productive sectors from agriculture could enhance the welfare level and employment. Secondly, a new domestic innovation policy focusing on a high-skilled and high-quality workforce, together with a stronger inward financing of investment and R&D, could bring a renewed productivity stimulus in these economies. These together could help to preserve their labour force especially in manufacturing where technological progress does not seem to harm employment as underpinned by the empirical analysis above. Higher EU investment and trade openness, just like EU accession (especially the after-crisis period) has created new job opportunities for the ‘high-tech’ services, while badly affected manufacturing which might contradict to EU efforts aimed at reviving industrial activity in Europe. This can partly explain why higher female participation generally restrains further employment creation; that is, the structure of the economy in the last two decades might not have allowed for job creation benefiting male workers.
For a deeper understanding of structural processes in emerging European economies, relative price effects and intersectoral employment (“spillover”) effects need to be further scrutinised, backed by cluster analysis to account for large differences among economic structures of the countries in Central and South Eastern Europe.

Funding

This research received no external funding.

Conflicts of Interest

The author declares no conflict of interest.

Appendix A

Figure A1. The share of agriculture in value added (%) at current prices (a); the share of agriculture in value added (%) at constant 2010 prices (b).
Figure A1. The share of agriculture in value added (%) at current prices (a); the share of agriculture in value added (%) at constant 2010 prices (b).
Sustainability 12 04704 g0a1
Figure A2. The share of manufacturing in value added (%) at current prices (a); the share of manufacturing in value added (%) at constant 2010 prices (b).
Figure A2. The share of manufacturing in value added (%) at current prices (a); the share of manufacturing in value added (%) at constant 2010 prices (b).
Sustainability 12 04704 g0a2
Figure A3. The share of services in value added (%) at current prices (a); the share of services in value added (%) at constant 2010 prices (b). Source: own figure, Federal Reserve Bank of St. Louis: GDP and population statistics, United Nations National Accounts Main Aggregates Database: annual value added data (1970–2017); national currency.
Figure A3. The share of services in value added (%) at current prices (a); the share of services in value added (%) at constant 2010 prices (b). Source: own figure, Federal Reserve Bank of St. Louis: GDP and population statistics, United Nations National Accounts Main Aggregates Database: annual value added data (1970–2017); national currency.
Sustainability 12 04704 g0a3

Appendix B

Table A1. GMM panel regression results for agriculture and manufacturing.
Table A1. GMM panel regression results for agriculture and manufacturing.
Dependent VariablesAgriculture
(demp)
Agriculture
(demp-share)
Manufacturing
(demp)
Manufacturing
(demp-share)
const
demp(−1)/manufacturing
−0.0653 **
(0.0265)
−0.1735 **
(0.0838)
1.1671 ***
(0.3787)
−0.4233 ***
(0.1604)
dprod−0.5857 **
(0.2342)
−0.7878 ***
(0.2369)
0.0675
(0.0890)
−0.0894
(0.1012)
demp_(share)_EU_corr6.2603 *
(3.3367)
−7.5952 **
(3.7252)
1.3039 **
(0.5527)
0.7375
(0.4614)
GMM criterion (Q)1.3983 × 10−64.2332 × 10−68.5312 × 10−282.8340 × 10−32
Notes: Agriculture stands for the NACE activities: agriculture, forestry, and fishing. Variables: demp = log change in the number of employed persons, demp-share = log change in the sectoral share in employment, dprod = log change in own-sector productivity, “EU-corr” = EU countries excluding those whose data are contained in the regression. Instrumental variables: “dprod_other_countries” = change in own-sector productivity of countries involved in the regression excluding the one whose employment data are regressed, “dprod_other_sectors” = change in the productivity of sectors outside the one explained by the regression, “demp_other_sectors” = change in the number of employed persons in sectors outside the one explained by the regression. Coefficients are significantly different from zero: * at 10%, ** at 5%, *** at 1% levels.
Table A2. GMM panel regression results for the ‘low-tech’ and ‘high-tech’ services sectors.
Table A2. GMM panel regression results for the ‘low-tech’ and ‘high-tech’ services sectors.
Dependent VariablesLow-Tech
(demp)
Low-Tech
(demp-share)
High-Tech
(demp)
High-Tech
(demp-share)
const −0.0027
(0.0081)
0.0465
(0.0570)
dprod0.0393
(0.1605)
−0.0520
(0.2719)
0.8000 *
(0.4717)
−1.5408 *
(0.9151)
demp_(share)_EU_corr1.0242 **
(0.4850)
8.3860 ***
(1.7207)
0.06058
(0.873304)
−1.0296
(5.0652)
GMM criterion (Q)1.8175 × 10−71.3905 × 10−77.1351 × 10−92.1365 × 10−8
Notes: ‘Low-tech’ stands for the NACE activities: wholesale and retail trade, transport, accommodation and food service activities. ‘High-tech’ represents information and communication, financial and insurance activities, professional scientific and technical activities, administrative and support service activities and public administration, defense, education, human health and social work activities. Variables: demp = log change in the number of employed persons, demp-share = log change in the sectoral share in employment, dprod = log change in own-sector productivity, “EU-corr” = EU countries excluding those whose data are contained in the regression. Instrumental variables: “dprod_other_countries” = change in own-sector productivity of countries involved in the regression excluding the one whose employment data are regressed. “dprod_other_sectors” = change in the productivity of sectors outside the one explained by the regression, “demp_other_sectors” = change in the number of employed persons in sectors outside the one explained by the regression. Coefficients are significantly different from zero: * at 10%, ** at 5%, *** at 1% levels.
Table A3. The effect of additional variables on sectoral employment in the GMM framework.
Table A3. The effect of additional variables on sectoral employment in the GMM framework.
GMM Regression with Additional VariablesEnergy Import as Percent of GDPRural Population as Percent of TotalFemale Labour Force as Percent of TotalShadow Economy as Percent of GDPMobile Phone/Internet Users as Percent of Population Trade OpennessTertiary Education AttainmentEarly School LeaversCapital Investment as Percent of GDPEU28 Total Investment as Percent of GDPEU Sectoral Investment as Percent of GDPDummy1Dummy2
agriculture+/+−/−0/0−/−+/++/++/0−/−0/0+/00/0+/++/+
manufacturing−/n−/n−/n−/n−/0−/n−/0−/0−/0−/n−/n−/0−/0
low-tech services0/0−/00/00/00/00/00/0−/0−/00/00/00/0−/+
high-tech services+/0(−)/00/(+)−/−+/++/0+/0−/−0/0+/++/++/+0/+
Notes: The table contains the signs of coefficients for the variables added one by one to the models in Table 1 and Table 2. Zero means no explanatory power. “n” stands for rejected GMM estimations (“convergence criteria not met”). The first item represents regressions for changes in the number of employed persons/the second item for the change in employment shares. Brackets are used when the variable has very low explanatory power and/or only explains the dependent variable if a particular instrument is added.
Table A4. Summary on robustness checks. The characteristics of the productivity variable (dprod) in OLS.
Table A4. Summary on robustness checks. The characteristics of the productivity variable (dprod) in OLS.
Dependent
Variable
AgricultureManufacturing‘Low-Tech’ Services‘High-Tech’ Services
dempdemp_sharedempdemp_sharedempdemp_sharedempdemp_share
narrower ‘high-tech’
***

***
2000–2017
***

***

**

*

no

no

***

***
10 countries
***

***
+
no
+
no

***

**

***

***
9 countries
***

***

***

***

***

**

***

***
8 countries
***

***

***

***

**

**

***

***
Notes: Models producing the above results correspond to those in Table 1 and Table 2. +/− shows the sign of the productivity variable, which is significant either at * 10%, ** 5% or *** 1% or not significant: “no”.
Table A5. Summary on robustness checks. The characteristics of the productivity variable (dprod) in GMM.
Table A5. Summary on robustness checks. The characteristics of the productivity variable (dprod) in GMM.
Dependent
Variable
AgricultureManufacturing‘Low-Tech’ Services‘High-Tech’ Services
dempdemp_sharedempdemp_sharedempdemp_sharedempdemp_share
narrower ‘high-tech’ +
no

**
2000–2017
***

***

***
+
**
+
no
+
no
+
**

***
10 countries
**

***

no

no

no

no
+
*

***
9 countries
***

***

*
+
no
+
no

no
+
no

**
8 countries
***

***

no
+
no
+
no

no
+
no

no
Notes: Models producing the above results correspond to those in Table A1 and Table A2. +/− shows the sign of the productivity variable which is significant either at * 10%, ** 5% or *** 1% or not significant: “no”.

References

  1. Herrendorf, B.; Rogerson, R.; Valentinyi, Á. Growth and Structural Transformation. In NBER Work Pap Ser.; Cambridge, MA, USA, 2013; Volume 18996, Available online: https://www.nber.org/papers/w18996.pdf (accessed on 10 September 2019).
  2. Autor, D.; Salomons, A. Does Productivity Growth Threaten Employment? In Proceedings of the ECB Forum on Central Banking, Sintra, Portugal, 26–28 June 2017; Available online: https://www.ecbforum.eu/uploads/originals/2017/speakers/papers/D_Autor_A_Salomons_Does_productivity_growth_threaten_employment_Final_Draft_20170619.pdf (accessed on 15 September 2019).
  3. Correia, A.; Bilbao, B.; Kollar, M.; Gereben, A.; Weiss, C. Innovation Investment in Central, Eastern and South-Eastern Europe: Building Future Prosperity and Setting the Ground for Sustainable upward Convergence; EIB Regional Study: Luxembourg, 2018; Available online: https://www.eib.org/attachments/efs/innovation_investment_in_cesee_en.pdf (accessed on 5 March 2020).
  4. Dobrzanski, P.; Grabowski, W. Structural and productivity changes of Central and Eastern Europe. ZB RAD EKON FAK RIJE 2019, 37, 427–471. [Google Scholar] [CrossRef]
  5. Gabardo, F.A.; Pereima, J.B.; Einloft, P. The incorporation of structural change into growth theory: A historical appraisal. EconomiA 2017, 18, 392–410. [Google Scholar] [CrossRef]
  6. Houthakker, H.S. Engel Curve. In The New Palgrave; Eatwell, J., Milgate, M., Newman, P., Eds.; Macmillan Press: London, UK, 1987; Volume 2, pp. 142–143. [Google Scholar]
  7. Foellmi, R.; Zweimüller, J. Structural Change, Engel’s Consumption Cycles, and Kaldor’s Facts of Economic Growth. J. Monet. Econ. 2008, 55, 1317–1328. Available online: https://www.sciencedirect.com/science/article/abs/pii/S0304393208001219 (accessed on 20 September 2019). [CrossRef]
  8. Acemoglu, D.; Guerrieri, V. Capital Deepening and Non-Balanced Economic Growth. JPE 2008, 116, 467–498. Available online: https://economics.mit.edu/files/5673 (accessed on 20 September 2019). [CrossRef]
  9. Boppart, T. Structural change and the Kaldor facts in a growth model with relative price effects and non-Gorman preferences. Econometrica 2014, 82, 2167–2196. [Google Scholar] [CrossRef]
  10. Baumol, W.J. Macroeconomics of Unbalanced Growth: The Anatomy of the Urban Crisis. AER 1967, 57, 415–426. Available online: http://piketty.pse.ens.fr/files/Baumol1967.pdf (accessed on 30 August 2017).
  11. Buera, F.J.; Kaboski, J.P. The Rise of the Service Economy. Am. Econ. Rev. 2012, 102, 2540–2569. [Google Scholar] [CrossRef]
  12. Rendall, M. The Rise of the Service Sector and Female Market Work: Europe vs. US; Technical Report; University of Zurich: Zurich, Switzerland, 2010; Available online: https://pdfs.semanticscholar.org/3e72/8c33f013b152d431e139e294424053877d4c.pdf (accessed on 25 September 2019).
  13. Olivetti, C. The Female Labor Force and Long-run Development: The American Experience in Comparative Perspective; Working Paper 19131; NBER: Cambridge, MA, USA, 2013; Available online: https://www.nber.org/papers/w19131.pdf (accessed on 25 September 2019).
  14. Mongelli, F.P.; Reinhold, E.; Papadopoulos, G. What’s so special about specialization in the eurozone? Early evidence of changing economic structures. In ECB Occasional Paper Series 2016; No 168/ February; ECB: Frankfurt am Main, Hessen, Germany, 2016; Available online: https://www.ecb.europa.eu/pub/pdf/scpops/ecbop168.en.pdf (accessed on 20 February 2020).
  15. Caselli, F. Accounting for Cross-Country Income Differences. In Handbook of Economic Growth; Aghionand, P., Durlauf, S., Eds.; North Holland: Amsterdam, The Netherlands; New York, NY, USA, 2005; Volume 1A, pp. 679–742. [Google Scholar]
  16. Restuccia, D.; Yang, D.T.; Zhu, X. Agriculture and Aggregate Productivity: A Quantitative Cross–Country Analysis. J Monet. Econ. 2008, 55, 234–250. Available online: https://www.sciencedirect.com/science/article/abs/pii/S0304393207001481 (accessed on 30 August 2017). [CrossRef]
  17. Duarte, M.; Restuccia, D. The Role of the Structural Transformation in Aggregate Productivity. Q. J. Econ. 2010, 125, 129–173. [Google Scholar] [CrossRef]
  18. Jorgenson, D.W.; Timmer, M.P. Structural Change in Advanced Nations: A New Set of Stylised Facts. Scand. J. Econ. 2011, 113, 1–29. [Google Scholar] [CrossRef]
  19. Kuznets, S. Modern Economic Growth; Yale University Press: New Haven, CT, USA, 1966. [Google Scholar]
  20. Saviotti, P.P.; Pyka, A. Economic development by the creation of new sectors. J. Evol. Econ. 2004, 14, 1–35. [Google Scholar] [CrossRef]
  21. Nordhaus, W. The Sources of the Productivity Rebound and the Manufacturing Employment Puzzle. In NBER Work Pap Ser.; Cambridge, MA, USA, 2005; Volume 11354, Available online: http://www.nber.org/papers/w11354 (accessed on 5 October 2019).
  22. Bessen, J.E. Automation and Jobs. When Technology Boosts Employment; Law and Economics Research Paper 2017; Boston University School of Law, No. 17–09; Boston University School of Law: Boston, MA, USA, 2017; Available online: https://papers.ssrn.com/sol3/papers.cfm?abstract_id=2935003 (accessed on 30 August 2017).
  23. Autor, D.; Wasserman, M. Wayward Sons: The Emerging Gender Gap in Labor Markets and Education; MIT: Washington, DC, USA, 2013; Available online: https://economics.mit.edu/files/8754 (accessed on 5 September 2017).
  24. Dustmann, C.; Fitzenberger, B.; Schönberg, U.; Spitz-Oener, A. From Sick Man of Europe to Economic Superstar: Germany’s Resurgent Economy. J. Econ. Perspect. 2014, 28, 167–188. Available online: http://www.cream-migration.org/publ_uploads/CDP_06_14.pdf (accessed on 5 September 2017). [CrossRef]
  25. Bah, E.; Brada, J.C. Total Factor Productivity Growth, Structural Change and Convergence in Transition Economies. Comp. Econ. Stud. 2009, 51, 421–446. Available online: https://link.springer.com/article/10.1057%2Fces.2009.8 (accessed on 15 September 2019).
  26. Galgóczi, B. Why Central and Eastern Europe Needs a Pay Rise; European Trade Union Institute, Working Paper; Brussels, Belgium, January 2017; Available online: http://www.pramprof.lt/images/publikacijos/WP2017-01-payrise-HD-webversionfinale.pdf (accessed on 10 March 2020).
  27. Novák, Z. Innovation, Productivity and Employment in Central and South Eastern European Countries. Ponte Int. J. Sci. Res. 2019, 75, 76–91. [Google Scholar] [CrossRef]
  28. Baltagi, B.H. Econometrics of Panel Data, 5th ed.; John Wiley & Sons Inc.: New York, NY, USA, 2013. [Google Scholar]
  29. Zivot, E.; Wang, J. Modeling Financial Time Series with S-PLUS, 2nd ed.; University of Washington: Seattle, WA, USA, 2006; Available online: http://faculty.washington.edu/ezivot/econ589/manual.pdf (accessed on 10 November 2013).
  30. Kiviet, J.F. Strength and Weakness of Instruments in IV and GMM Estimation of Dynamic Panel Data Models; Preliminary Version; University of Amsterdam & Tinbergen Institute: Amsterdam, The Netherlands; Available online: http://conference.iza.org/conference_files/pada2009/kiviet_j5163.pdf (accessed on 30 May 2020).
Figure 1. The share of agriculture in value added (%) (a) and the share of agriculture in total employment (%) (b). Source: own figure, Federal Reserve Bank of St. Louis: GDP and population statistics, EU KLEMS: value added and employment statistics, 1995–2015. Note: GDP is calculated at constant national prices, millions of 2011 U.S. dollars, annual, not seasonally adjusted. Agriculture covers NACE activities of agriculture, forestry and fishing.
Figure 1. The share of agriculture in value added (%) (a) and the share of agriculture in total employment (%) (b). Source: own figure, Federal Reserve Bank of St. Louis: GDP and population statistics, EU KLEMS: value added and employment statistics, 1995–2015. Note: GDP is calculated at constant national prices, millions of 2011 U.S. dollars, annual, not seasonally adjusted. Agriculture covers NACE activities of agriculture, forestry and fishing.
Sustainability 12 04704 g001
Figure 2. The share of manufacturing in value added (%) (a) and the share of manufacturing in total employment (%) (b). Source: own figure, Federal Reserve Bank of St. Louis: GDP and population statistics, EU KLEMS: value added and employment statistics, 1995–2015. Note: GDP is calculated at constant national prices, millions of 2011 U.S. dollars, annual, not seasonally adjusted.
Figure 2. The share of manufacturing in value added (%) (a) and the share of manufacturing in total employment (%) (b). Source: own figure, Federal Reserve Bank of St. Louis: GDP and population statistics, EU KLEMS: value added and employment statistics, 1995–2015. Note: GDP is calculated at constant national prices, millions of 2011 U.S. dollars, annual, not seasonally adjusted.
Sustainability 12 04704 g002
Figure 3. The share of services in value added (%) (a) and the share of services in total employment (b). Source: own figure, Federal Reserve Bank of St. Louis: GDP and population statistics, EU KLEMS: value added and employment statistics, 1995–2015. Note: GDP is calculated at constant national prices, millions of 2011 U.S. dollars, annual, not seasonally adjusted.
Figure 3. The share of services in value added (%) (a) and the share of services in total employment (b). Source: own figure, Federal Reserve Bank of St. Louis: GDP and population statistics, EU KLEMS: value added and employment statistics, 1995–2015. Note: GDP is calculated at constant national prices, millions of 2011 U.S. dollars, annual, not seasonally adjusted.
Sustainability 12 04704 g003
Table 1. OLS panel regression results for agriculture and manufacturing.
Table 1. OLS panel regression results for agriculture and manufacturing.
Dependent VariablesAgriculture
(demp)
Agriculture
(demp-share)
Manufacturing
(demp)
Manufacturing
(demp-share)
const/agriculture/
demp(−1)/manufacturing
−0.0235 ***
(0.0048)
−0.0094
(0.0061)
0.1318 **
(0.0667)
0.2879 ***
(0.0560)
dprod−0.1791 ***
(0.0249)
−0.1644 ***
(0.0236)
−0.1215 ***
(0.0430)
−0.0732 ***
(0.0263)
dprod_other_countries0.0117 *
(0.0063)
0.0073
(0.0060)
−0.0050
(0.0068)
0.0230 ***
(0.0042)
dprod_other_sectors0.0994
(0.0803)
−0.1879 **
(0.0748)
0.1354 *
(0.0747)
0.0968 **
(0.0449)
demp_other_sectors−0.1545 **
(0.0759)
−0.6147 ***
(0.0703)
0.6571 ***
(0.0882)
−0.2305 ***
(0.0483)
demp_(share)_EU_corr−0.7887 **
(0.3277)
0.5461 **
(0.2455)
0.2278
(0.2466)
1.0495 ***
(0.1122)
Adjusted/Centered R20.322560.50890.30500.3612
Durbin-Watson
F
1.8076
23.9466
1.8935
50.9565
1.5895
18.5197
1.9540
33.3748
Notes: Agriculture stands for the NACE activities: agriculture, forestry, and fishing. Variables: demp = log change in the number of employed persons, demp-share = log change in the sectoral share in employment, dprod = log change in own-sector productivity, “other_countries” = countries involved in the regression excluding the one whose employment data are regressed, “other-sectors”= sectors outside the one explained by the regression, “EU-corr” = EU countries excluding those whose data are contained in the regression. As additional variable, a constant is involved in agriculture (“const/agriculture/”) and the lagged employment variable (“demp(−1)/manufacturing/) in manufacturing regressions. Coefficients are significantly different from zero: * at 10%, ** at 5%, *** at 1% levels.
Table 2. OLS panel regression results for the ‘low-tech’ and ‘high-tech’ services sectors.
Table 2. OLS panel regression results for the ‘low-tech’ and ‘high-tech’ services sectors.
Dependent VariablesLow-Tech
(demp)
Low-Tech
(demp-share)
High-Tech
(demp)
High-Tech
(demp-share)
const0.00163
(0.0021)
0.00318 **
(0.0015)
0.0175 ***
(0.0022)
0.0108 ***
(0.0016)
dprod−0.0598 ***
(0.0212)
−0.0375 **
(0.0153)
−0.2427 ***
(0.0270)
−0.1623 ***
(0.0178)
dprod_other_countries−0.0007
(0.0041)
0.0013
(0.6597)
−0.0135
(0.0098)
−0.0086
(0.0061)
dprod_other_sectors0.1510 ***
(0.0387)
0.1257 ***
(0.0274)
0.1000 ***
(0.0353)
0.0691 ***
(0.0229)
demp_other_sectors0.4781 ***
(0.0464)
0.04868
(0.1716)
0.4390 ***
(0.0418)
−0.3600 ***
(0.0291)
demp_(share)_EU_corr0.4719 ***
(0.1515)
−0.3452 ***
(0.0334)
−0.0683
(0.1509)
0.02147
(0.1050)
Adjusted R20.37250.43950.39060.6368
Durbin-Watson
F
1.6974
29.6090
1.6707
38.7979
1.7735
31.8949
1.7068
85.5183
Notes: ‘Low-tech’ stands for the NACE activities: wholesale and retail trade, transport, accommodation and food service activities, ‘High-tech’ stands for information and communication, financial and insurance activities, professional scientific and technical activities, administrative and support service activities and public administration, defense, education, human health and social work activities. Variables: demp = log change in the number of employed persons, demp-share = log change in the sectoral share in employment, dprod = log change in own-sector productivity, “other_countries” = countries involved in the regression excluding the one whose employment data are regressed, “other-sectors” = sectors outside the one explained by the regression, “EU-corr” = EU countries excluding those whose data are contained in the regression. Coefficients are significantly different from zero: ** at 5%, *** at 1% levels.
Table 3. The effect of additional variables on sectoral employment in the OLS framework.
Table 3. The effect of additional variables on sectoral employment in the OLS framework.
OLS Regression with Additional VariablesEnergy Import as Percent of GDPRural Population as Percent of TotalFemale Labour Force as Percent of TotalShadow Economy as Percent of GDPMobile Phone/Internet Users as Percent of Population Trade OpennessTertiary Education AttainmentEarly School LeaversCapital Investment as Percent of GDPEU28 total Investment as Percent pf GDPEU28 Sectoral Investment as Percent of GDPDummy1Dummy2
agriculture0/00/0−/00/00/−0/00/00/0−/−+/00/+0/00/0
manufacturing−/0−/0−/0−/0−/+−/0−/0−/0−/0−/0−/0−/0−/0
low-tech services0/0+/+0/−0/00/−0/−−/−0/00/+0/−0/−0/−−/−
high-tech services0/++/+−/−0/+0/+0/00/+0/++/+0/+0/+0/+0/+
Notes: The table contains the signs of coefficients for the variables added one by one to the models in Table 1 and Table 2. Zero means no explanatory power. The first item represents the regression outcome for changes in the number of employed persons, while the second item represents it for the change in the employment share.

Share and Cite

MDPI and ACS Style

Novák, Z. Structural Change in Central and South Eastern Europe—Does Technological Efficiency Harm the Labour Market? Sustainability 2020, 12, 4704. https://doi.org/10.3390/su12114704

AMA Style

Novák Z. Structural Change in Central and South Eastern Europe—Does Technological Efficiency Harm the Labour Market? Sustainability. 2020; 12(11):4704. https://doi.org/10.3390/su12114704

Chicago/Turabian Style

Novák, Zsuzsanna. 2020. "Structural Change in Central and South Eastern Europe—Does Technological Efficiency Harm the Labour Market?" Sustainability 12, no. 11: 4704. https://doi.org/10.3390/su12114704

APA Style

Novák, Z. (2020). Structural Change in Central and South Eastern Europe—Does Technological Efficiency Harm the Labour Market? Sustainability, 12(11), 4704. https://doi.org/10.3390/su12114704

Note that from the first issue of 2016, this journal uses article numbers instead of page numbers. See further details here.

Article Metrics

Back to TopTop