Participatory Research with Fishers to Improve Knowledge on Small-Scale Fisheries in Tropical Rivers
Abstract
1. Introduction
2. Materials and Methods
2.1. Quantitative Interviews
2.2. Fisheries Monitoring
2.3. Mapping
3. Results and Discussion
3.1. Interviews: New Data on Past Situations
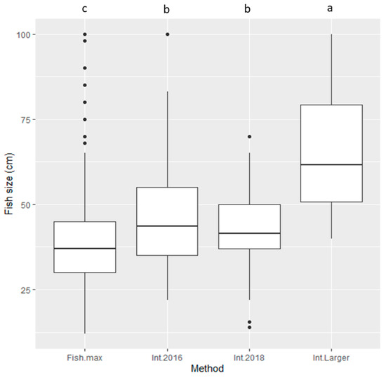
3.2. Fisheries Monitoring
3.3. Mapping
4. Conclusions
Author Contributions
Funding
Acknowledgments
Conflicts of Interest
References
- Teh, L.C.; Sumaila, U.R. Contribution of marine fisheries to worldwide employment. Fish Fish. 2011, 14, 77–88. [Google Scholar] [CrossRef]
- Bartley, D.M.; De Graaf, G.; Valbo-Jørgensen, J.; Marmulla, G. Inland capture fisheries: Status and data issues. Fish. Manag. Ecol. 2015, 22, 71–77. [Google Scholar] [CrossRef]
- Fluet-Chouinard, E.; Funge-Smith, S.; McIntyre, P.B. Global hidden harvest of freshwater fish revealed by household surveys. Proc. Natl. Acad. Sci. USA 2018, 115, 7623–7628. [Google Scholar] [CrossRef]
- Funge-Smith, S.; Bennett, A. A fresh look at inland fisheries and their role in food security and livelihoods. Fish Fish. 2019, 20, 1176–1195. [Google Scholar] [CrossRef]
- Bayley, P.B.; Petrere, M., Jr. Amazon fisheries: Assessment methods, current status and management options. Can. Spec. Publ. Fish. Aquat. Sci. 1989, 106, 385–398. [Google Scholar]
- Hallwass, G.; Silvano, R.A. Patterns of selectiveness in the Amazonian freshwater fisheries: Implications for management. J. Environ. Plan. Manag. 2015, 59, 1537–1559. [Google Scholar] [CrossRef]
- Castello, L.; McGrath, D.G.; Beck, P.S.A. Resource sustainability in small-scale fisheries in the lower Amazon floodplains. Fish. Res. 2011, 110, 356–364. [Google Scholar] [CrossRef]
- Castello, L.; Arantes, C.C.; McGrath, D.G.; Stewart, D.J.; De Sousa, F.S. Understanding fishing-induced extinctions in the Amazon. Aquat. Conserv. 2014, 25, 587–598. [Google Scholar] [CrossRef]
- Tregidgo, D.; Barlow, J.; Pompeu, P.S.; Rocha, M.D.A.; Parry, L. Rainforest metropolis casts 1000-km defaunation shadow. Proc. Natl. Acad. Sci. USA 2017, 114, 8655–8659. [Google Scholar] [CrossRef]
- Keppeler, F.W.; De Souza, A.C.; Hallwass, G.; Begossi, A.; De Almeida, M.C.; Isaac, V.; Silvano, R.A.M. Ecological influences of human population size and distance to urban centres on fish communities in tropical lakes. Aquat. Conserv. 2018, 28, 1030–1043. [Google Scholar] [CrossRef]
- Hallwass, G.; Schiavetti, A.; Silvano, R.A.M. Fishers’ knowledge indicates temporal changes in composition and abundance of fishing resources in Amazon protected areas. Anim. Conserv. 2019, 23, 36–47. [Google Scholar] [CrossRef]
- Maccord, P.F.L.; Silvano, R.A.M.; Ramires, M.; Clauzet, M.; Begossi, A. Dynamics of artisanal fisheries in two Brazilian Amazonian reserves: Implications to co-management. Hydrobiolgia 2007, 583, 365–376. [Google Scholar] [CrossRef]
- Isaac, V.J.; Giarrizzo, T.; Vale, R.; Klein, G.; Almeida, M.C.; Deus, C.P.; Begossi, A. Food consumption as an indicator of the conservation of natural resources in riverine communities of the Brazilian Amazon. An. Acad. Bras. Cienc. 2015, 87, 2229–2242. [Google Scholar] [CrossRef] [PubMed]
- Lopes, P.F.M.; Hallwass, G.; Begossi, A.; Isaac, V.; Almeida, M.; Silvano, R. The challenge of managing amazonian small-scale fisheries in Brazil. In Collaborative Research in Fisheries; Springer Science and Business Media LLC: Amsterdam, Netherlands, 2018; Volume 19, pp. 219–241. [Google Scholar]
- Elliott, V.; Chheng, P.; Uy, S.; Holtgrieve, G.W. Monitoring of tropical freshwater fish resources for sustainable use. J. Fish. Boil. 2019, 94, 1019–1025. [Google Scholar] [CrossRef] [PubMed]
- Begossi, A.; Salivonchyk, S.V.; Hallwass, G.; Hanazaki, N.; Lopes, P.F.M.; Silvano, R.A.M.; Dumaresq, D.; Pittock, J. Fish consumption on the Amazon: A review of biodiversity, hydropower and food security issues. Braz. J. Boil. 2019, 79, 345–357. [Google Scholar] [CrossRef] [PubMed]
- Johannes, R.; Freeman, M.; Hamilton, R. Ignore fishers’ knowledge and miss the boat. Fish Fish. 2000, 1, 257–271. [Google Scholar] [CrossRef]
- Huntington, H.P. The local perspective. Nature 2011, 478, 182–183. [Google Scholar] [CrossRef] [PubMed]
- Gómez-Baggethun, E.; Reyes-García, V. Reinterpreting change in traditional ecological knowledge. Hum. Ecol. 2013, 41, 643–647. [Google Scholar] [CrossRef]
- Valbo-Jørgensen, J.; Poulsen, A.F. Using local knowledge as a research tool in the study of river fish biology: Experiences from the Mekong. Environ. Dev. Sustain. 2000, 2, 253–376. [Google Scholar] [CrossRef]
- Silvano, R.; Maccord, P.F.L.; Lima, R.V.; Begossi, A. When does this fish spawn? Fishermen’s local knowledge of migration and reproduction of Brazilian coastal fishes. Environ. Boil. Fishes 2006, 76, 371–386. [Google Scholar] [CrossRef]
- Silvano, R.A.M.; Valbo-Jørgensen, J. Beyond fishermen’s tales: Contributions of fishers’ local ecological knowledge to fish ecology and fisheries management. Environ. Dev. Sustain. 2008, 10, 657–675. [Google Scholar] [CrossRef]
- Le Fur, J.; Guilavogui, A.; Teitelbaum, A. Contribution of local fishermen to improving knowledge of the marine ecosystem and resources in the Republic of Guinea, West Africa. Can. J. Fish. Aquat. Sci. 2011, 68, 1454–1469. [Google Scholar] [CrossRef]
- Nunes, M.U.S.; Hallwass, G.; Silvano, R.A. Fishers’ local ecological knowledge indicate migration patterns of tropical freshwater fish in an Amazonian river. Hydrobiologia 2019, 833, 197–215. [Google Scholar] [CrossRef]
- Silvano, R.; Silva, A.; Ceroni, M.; Begossi, A. Contributions of ethnobiology to the conservation of tropical rivers and streams. Aquat. Conserv. 2008, 18, 241–260. [Google Scholar] [CrossRef]
- Silvano, R.A.M.; Begossi, A. What can be learned from fishers? An integrated survey of fishers’ local ecological knowledge and bluefish (Pomatomus saltatrix) biology on the Brazilian coast. Hydrobiologia. 2009, 637, 3–18. [Google Scholar] [CrossRef]
- Silvano, R.A.M.; Begossi, A. Fishermen’s local ecological knowledge on Southeastern Brazilian coastal fishes: Contributions to research, conservation, and management. Neotropical Ichthyol. 2012, 10, 133–147. [Google Scholar] [CrossRef]
- Silvano, R.A.M.; Begossi, A. From ethnobiology to ecotoxicology: Fishers’ knowledge on trophic levels as indicator of bioaccumulation in tropical marine and freshwater fishes. Ecosystems 2016, 19, 1310–1324. [Google Scholar] [CrossRef]
- Saenz-Arroyo, A.; Roberts, C.M.; Torre, J.; Carino-Olvera, M. Using fishers’ anecdotes, naturalists’ observations and grey literature to reassess marine species at risk: The case of the Gulf grouper in the Gulf of California, Mexico. Fish Fish. 2005, 6, 121–133. [Google Scholar] [CrossRef]
- Lozano-Montes, H.M.; Pitcher, T.J.; Haggan, N. Shifting environmental and cognitive baselines in the upper Gulf of California. Front. Ecol. Environ. 2008, 6, 75–80. [Google Scholar] [CrossRef]
- Lavides, M.N.; Polunin, N.V.C.; Stead, S.M.; Tabaranza, D.G.; Comeros-Raynal, M.T.; Dongallo, J.R. Finfish disappearances around Bohol, Philippines inferred from traditional ecological knowledge. Environ. Conserv. 2009, 36, 235–244. [Google Scholar] [CrossRef]
- Lavides, M.N.; Molina, E.P.V.; De La Rosa, G.E.; Mill, A.C.; Rushton, S.P.; Stead, S.M.; Polunin, N.V.C. Patterns of coral-reef finfish species disappearances inferred from fishers’ knowledge in global epicentre of marine shorefish diversity. PLoS ONE 2016, 11, e0155752. [Google Scholar] [CrossRef]
- Bender, M.G.; Machado, G.R.; Silva, P.J.D.A.; Floeter, S.R.; Monteiro-Netto, C.; Luiz, O.J.; Ferreira, C.E.L. Local ecological knowledge and scientific data reveal overexploitation by multigear artisanal fisheries in the Southwestern Atlantic. PLoS ONE 2014, 9, e110332. [Google Scholar] [CrossRef]
- Damasio, L.M.; Lopes, P.F.M.; Guariento, R.D.; Carvalho, A.R. Matching fishers’ knowledge and landing data to overcome data missing in small-scale fisheries. PLoS ONE 2015, 10, e0133122. [Google Scholar] [CrossRef]
- Giglio, V.J.; Luiz, O.J.; Gerhardinger, L.C. Depletion of marine megafauna and shifting baselines among artisanal fishers in eastern Brazil. Anim. Conserv. 2014, 18, 348–358. [Google Scholar] [CrossRef]
- Lima, E.G.; Begossi, A.; Hallwass, G.; Silvano, R. Fishers’ knowledge indicates short-term temporal changes in the amount and composition of catches in the southwestern Atlantic. Mar. Policy 2016, 71, 111–120. [Google Scholar] [CrossRef]
- Maia, H.A.; Morais, R.; Siqueira, A.C.; Hanazaki, N.; Floeter, S.R.; Bender, M. Shifting baselines among traditional fishers in São Tomé and Príncipe islands, Gulf of Guinea. Ocean Coast. Manag. 2018, 154, 133–142. [Google Scholar] [CrossRef]
- Junior, O.G.D.S.; Nunes, J.L.G.; Silvano, R.A.M. Biology, ecology and behavior of the acoupa weakfish Cynoscion acoupa (Lacepède, 1801) according to the local knowledge of fishermen in the northern coast of Brazil. Mar. Policy 2020, 115, 103870. [Google Scholar] [CrossRef]
- Hallwass, G.; Lopes, P.F.M.; Juras, A.A.; Silvano, R.A.M. Fishers’ knowledge identifies environmental changes and fish abundance trends in impounded tropical rivers. Ecol. Appl. 2013, 23, 392–407. [Google Scholar] [CrossRef]
- Aswani, S.; Lauer, M. Benthic mapping using local aerial photo interpretation and resident taxa inventories for designing marine protected areas. Environ. Conserv. 2006, 33, 263–273. [Google Scholar] [CrossRef]
- Leite, M.C.; Gasalla, M.A. A method for assessing fishers’ ecological knowledge as a practical tool for ecosystem-based fisheries management: Seeking consensus in Southeastern Brazil. Fish. Res. 2013, 145, 43–53. [Google Scholar] [CrossRef]
- Ticheler, H.J.; Kolding, J.; Chanda, B. Participation of local fishermen in scientific fisheries data collection: A case study from the Bangweulu Swamps, Zambia. Fish. Manag. Ecol. 1998, 5, 81–92. [Google Scholar] [CrossRef]
- Obura, D.; Wells, S.; Church, J.; Horrill, C. Monitoring of fish and fish catches by local fishermen in Kenya and Tanzania. Mar. Freshw. Res. 2002, 53, 215–222. [Google Scholar] [CrossRef]
- Zukowski, S.; Curtis, A.; Watts, R. Using fisher local ecological knowledge to improve management: The murray crayfish in Australia. Fish. Res. 2011, 110, 120–127. [Google Scholar] [CrossRef]
- Luzar, J.B.; Overman, H.; Giery, S.T.; Read, J.M.; Silvius, K.M.; Fragoso, J.M.V. Large-scale environmental monitoring by indigenous peoples. Bioscience 2011, 61, 771–781. [Google Scholar] [CrossRef]
- Yochum, N.; Starr, R.M.; Wendt, D.E. Utilizing fishermen knowledge and expertise: Keys to success for collaborative fisheries research. Fisheries 2011, 36, 593–605. [Google Scholar] [CrossRef]
- Begossi, A.; Salyvonchyk, S.; Glamuzina, B.; De Souza, S.P.; Lopes, P.F.M.; Priolli, R.H.G.; Prado, D.O.D.; Ramires, M.; Clauzet, M.; Zapelini, C.; et al. Fishers and groupers (Epinephelus marginatus and E. morio) in the coast of Brazil: Integrating information for conservation. J. Ethnobiol. Ethnomed. 2019, 15, 53. [Google Scholar] [CrossRef]
- Schemmel, E.; Andrade, P.; Keakealani, K.; Wiggins, C.; Yasutake, Y.; Friedlander, A.; Castro, L.M.; Wilcox, B.A.; Kittinger, J.N. The codevelopment of coastal fisheries monitoring methods to support local management. Ecol. Soc. 2016, 21. [Google Scholar] [CrossRef]
- Pezzuti, J.; De Castro, F.; McGrath, D.; Miorando, P.S.; Barboza, R.S.L.; Romagnoli, F.C. Commoning in dynamic environments: Community-based management of turtle nesting sites on the lower Amazon floodplain. Ecol. Soc. 2018, 23, 23. [Google Scholar] [CrossRef]
- Wiber, M.G.; Charles, A.; Kearney, J.; Berkes, F. Enhancing community empowerment through participatory fisheries research. Mar. Policy 2009, 33, 172–179. [Google Scholar] [CrossRef]
- Danielsen, F.; Burgess, N.D.; Jensen, P.M.; Walzl, K.P. Environmental monitoring: The scale and speed of implementation varies according to the degree of peoples involvement. J. Appl. Ecol. 2010, 47, 1166–1168. [Google Scholar] [CrossRef]
- Dobbs, R.J.; Davies, C.L.; Walker, M.L.; Pettit, N.E.; Pusey, B.J.; Close, P.G.; Akune, Y.; Walsham, N.; Smith, B.; Wiggan, A.; et al. Collaborative research partnerships inform monitoring and management of aquatic ecosystems by Indigenous rangers. Rev. Fish Boil. Fish. 2015, 26, 711–725. [Google Scholar] [CrossRef]
- Nevado, J.B.; Martín-Doimeadios, R.C.R.; Bernardo, F.J.G.; Jiménez-Moreno, M.; Herculano, A.; Nascimento, J.D.; Lopez, M.E.C. Mercury in the Tapajós River basin, Brazilian Amazon: A review. Environ. Int. 2010, 36, 593–608. [Google Scholar] [CrossRef]
- Fearnside, P.M. Amazon dams and waterways: Brazil’s Tapajós Basin plans. Ambio 2015, 44, 426–439. [Google Scholar] [CrossRef]
- Winemiller, K.O.; McIntyre, P.B.; Castello, L.; Fluet-Chouinard, E.; Giarrizzo, T.; Nam, S.; Baird, I.G.; Darwall, W.; Lujan, N.K.; Harrison, I.; et al. Balancing hydropower and biodiversity in the Amazon, Congo, and Mekong. Science 2016, 351, 128–129. [Google Scholar] [CrossRef]
- Latrubesse, E.M.; Arima, E.Y.; Dunne, T.; Park, E.; Baker, V.R.; D’Horta, F.M.; Wight, C.; Wittmann, F.; Zuanon, J.; Baker, P.A.; et al. Damming the rivers of the Amazon basin. Nature 2017, 546, 363–369. [Google Scholar] [CrossRef]
- Athayde, S.; Duarte, C.G.; Gallardo, A.L.; Moretto, E.M.; Sangoi, L.A.; Dibo, A.P.A.; Siqueira-Gay, J.; Sánchez, L.E. Improving policies and instruments to address cumulative impacts of small hydropower in the Amazon. Energy Policy 2019, 132, 265–271. [Google Scholar] [CrossRef]
- Goulding, M.; Barthem, R.; Ferreira, E. The Smithsonian Atlas of the Amazon; Smithsonian Institution Press: Washington, DC, USA, 2003. [Google Scholar]
- Keppeler, F.W.; Hallwass, G.; Silvano, R.A.M. Influence of protected areas on fish assemblages and fisheries in a large tropical river. Oryx 2016, 51, 268–279. [Google Scholar] [CrossRef]
- Runde, A.; Hallwass, G.; Silvano, R.A. Fishers’ knowledge indicates extensive socioecological impacts downstream of proposed dams in a tropical river. One Earth 2020, 2, 255–268. [Google Scholar] [CrossRef]
- Jézéquel, C.; Tedesco, P.A.; Bigorne, R.; Maldonado-Ocampo, J.A.; Ortega, H.; Hidalgo, M.; Martens, K.; Torrente-Vilara, G.; Zuanon, J.; Acosta, A.; et al. A database of freshwater fish species of the Amazon Basin. Sci. Data 2020, 7, 1–9. [Google Scholar] [CrossRef]
- Silvano, R.A.M. Fish and Fisheries in the Brazilian Amazon: People, Ecology and Conservation in Black and Clear Water Rivers; Springer International Publishing: São Paulo, Brazil, 2020. [Google Scholar]
- Hallwass, G.; da Silva, L.H.T.; Nagl, P.; Clauzet, M.; Begossi, A. Small-scale fisheries, livelihoods and food security of riverine people. In Fish and Fisheries in the Brazilian Amazon: People, Ecology and Conservation in Black and Clear Water Rivers; Springer International Publishing: São Paulo, Brazil, 2020. [Google Scholar]
- Bunce, M.; Rodwell, L.D.; Gibb, R.; Mee, L. Shifting baselines in fishers’ perceptions of island reef fishery degradation. Ocean Coast. Manag. 2008, 51, 285–302. [Google Scholar] [CrossRef]
- Bioestat, M.A. Aplicações Estatísticas Nas Áreas Das Ciências Bio-Médicas; IDSM: Belem, Brazil, 2007. (In Portuguese) [Google Scholar]
- Keppeler, F.W.; Hallwass, G.; Santos, F.; da Silva, L.H.T.; Silvano, R.A.M. What makes a good catch? Effects of variables from individual to regional scales on tropical small-scale fisheries. Fish. Res. 2020, 229, 105571. [Google Scholar] [CrossRef]
- Thomé-Souza, M.J.F.; Maceina, M.J.; Forsberg, B.R.; Marshall, B.G.; Carvalho Álvaro, L. Peacock bass mortality associated with catch-and-release sport fishing in the Negro River, Amazonas State, Brazil. Acta Amaz. 2014, 44, 527–532. [Google Scholar] [CrossRef]
- Allan, J.D.; Abell, R.; Hogan, Z.; Revenga, C.; Taylor, B.W.; Welcomme, R.L.; Winemiller, K. Overfishing of Inland Waters. Bioscience 2005, 55, 1041–1051. [Google Scholar] [CrossRef]
- Begossi, A.; Silvano, R.; Amaral, B.D.; Oyakawa, O. Uses of fish and game by inhabitants of an extractive reserve (Upper Juruá, Acre, Brazil). Environ. Dev. Sustain. 1999, 1, 73–93. [Google Scholar] [CrossRef]
- Begossi, A.; Salivonchyk, S.V.; Barreto, T.; Nora, V.; Silvano, R.A. Small-scale fisheries and conservation of dusky grouper (garoupa), Epinephelus marginatus (Lowe, 1834) in the southeastern Brazilian coast. Sci. J. Agric. Res. Manag. 2012, 2012, sjarm-174. [Google Scholar] [CrossRef]
- Golden, C.D.; Wrangham, R.W.; Brashares, J.S. Assessing the accuracy of interviewed recall for rare, highly seasonal events: The case of wildlife consumption in Madagascar. Anim. Conserv. 2013, 16, 597–603. [Google Scholar] [CrossRef]
- Hallwass, G.; Lopes, P.F.M.; Juras, A.A.; Silvano, R.A. Behavioral and environmental influences on fishing rewards and the outcomes of alternative management scenarios for large tropical rivers. J. Environ. Manag. 2013, 128, 274–282. [Google Scholar] [CrossRef]
- Kullander, S.O.; Ferreira, E.J. A review of the South American cichlid genus Cichla, with descriptions of nine new species (Teleostei: Cichlidae). Ichthyol. Explor. Freshw. 2006, 17, 289–398. [Google Scholar]
- Froese, R.; Pauly, D. FishBase; World Wide Web Electronic Publication: Stockholm, Sweden, 2019; Available online: www.fishbase.org (accessed on 25 May 2020).
- Pauly, D. Anecdotes and the shifting baseline syndrome of fisheries. Trends Ecol. Evol. 1995, 10, 430. [Google Scholar] [CrossRef]
- Petrere, M., Jr.; Barthem, R.; Córdoba, E.A.; Gómez, B.C. Review of the large catfish fisheries in the upper Amazon and the stock depletion of piraíba (Brachyplatystoma filamentosumLichtenstein). Rev. Fish Boil. Fish. 2004, 14, 403–414. [Google Scholar] [CrossRef]
- Daw, T. Shifting baselines and memory illusions: What should we worry about when inferring trends from resource user interviews? Anim. Conserv. 2010, 13, 534–535. [Google Scholar] [CrossRef]
- Means, B.; Loftus, E.F. When personal history repeats itself: Decomposing memories for recurring events. Appl. Cogn. Psychol. 1991, 5, 297–318. [Google Scholar] [CrossRef]
- O’Donnell, K.P.; Pajaro, M.G.; Vincent, A.C.J. Improving conservation and fishery assessments with local knowledge: Future directions. Anim. Conserv. 2010, 13, 539–540. [Google Scholar] [CrossRef]
- Papworth, S.; Rist, J.; Coad, L.; Milner-Gulland, E. Evidence for shifting baseline syndrome in conservation. Conserv. Lett. 2009. [Google Scholar] [CrossRef]
- Hallwass, G.; Lopes, P.F.M.; Juras, A.A.; Silvano, R.A.M. Fishing effort and catch composition of urban market and rural villages in Brazilian Amazon. Environ. Manag. 2010, 47, 188–200. [Google Scholar] [CrossRef]
- Silvano, R.A.M.; Hallwass, G.; Lopes, P.F.M.; Ribeiro, A.R.; Lima, R.P.; Hasenack, H.; Juras, A.A.; Begossi, A. Co-management and spatial features contribute to secure fish abundance and fishing yields in tropical floodplain lakes. Ecosystem 2013, 17, 271–285. [Google Scholar] [CrossRef]
- Kunzler, S.L.; Nunes, C.B.; Nagl, P.; Silvano, R.A.M. Pescando Ciência: Construindo Conhecimentos Entre Pescadores E Pesquisadores Sobre Ecologia De Peixes E Pesca Artesanal; Gráfica da UFRGS: Porto Alegre, Brazil, 2019. (In Portuguese) [Google Scholar]
- Nielsen, J.R.; Mathiesen, C. Important factors influencing rule compliance in fisheries lessons from Denmark. Mar. Policy 2003, 27, 409–416. [Google Scholar] [CrossRef]
- Begossi, A.; Clauzet, M.; Figueiredo, J.L.; Garuana, L.; Lima, R.V.; Lopes, P.F.M.; Ramires, M.; Silva, A.L.; Silvano, R.A.M. Are biological species and higher-ranking categories real? Fish folk taxonomy on Brazil’s Atlantic Forest Coast and in the Amazon. Curr. Anthr. 2008, 49, 291–306. [Google Scholar] [CrossRef]
- Begossi, A.; Salivonchyk, S.; Araujo, L.G.; Andreoli, T.B.; Clauzet, M.; Martinelli, C.M.; Ferreira, A.G.; Oliveira, L.E.; Silvano, R.A.M. Ethnobiology of snappers (Lutjanidae): Target species and suggestions for management. J. Ethnobiol. Ethnomed. 2011, 7, 11. [Google Scholar] [CrossRef]
- Begossi, A.; Silvano, R.A.M. Ecology and ethnoecology of dusky grouper [garoupa, Epinephelus marginatus (Lowe, 1834)] along the coast of Brazil. J. Ethnobiol. Ethnomed. 2008, 4, 20. [Google Scholar] [CrossRef]
- Begossi, A.; Salivonchyk, S. Silvano, R.A.M. Collaborative Research on dusky grouper (Epinephelus marginatus): Catches from the small-scale fishery of Copacabana Beach, Rio de Janeiro, Brazil. J. Coast. Zone Manag. 2016, 19, 21–23. [Google Scholar] [CrossRef]
- Winemiller, K.O.; Taphorn, D.C.; Barbarino-Duque, A. Ecology of Cichla (Cichlidae) in two blackwater rivers of southern Venezuela. Copeia 1997, 690. [Google Scholar] [CrossRef]
- Muñoz, H.; Van Damme, P.A.; Duponchelle, F. Breeding behaviour and distribution of the tucunaré Cichla aff. monoculus in a clear water river of the Bolivian Amazon. J. Fish. Boil. 2006, 69, 1018–1030. [Google Scholar] [CrossRef]
- Santos, R.E.; Pinto-Coelho, R.M.; Drumond, M.A.; Fonseca, R.; Zanchi, F.B. Damming Amazon Rivers: Environmental impacts of hydroelectric dams on Brazil’s Madeira River according to local fishers’ perception. Ambio 2020, 1–17. [Google Scholar] [CrossRef] [PubMed]
- Arantes, C.C.; Fitzgerald, D.B.; Hoeinghaus, D.J.; O Winemiller, K. Impacts of hydroelectric dams on fishes and fisheries in tropical rivers through the lens of functional traits. Curr. Opin. Environ. Sustain. 2019, 37, 28–40. [Google Scholar] [CrossRef]










| Subject | Data | Interviews | Fish Landings | Mapping |
|---|---|---|---|---|
| Fish biology | Fish diet | Yes | ||
| Fish migration | Yes | Yes | ||
| Fish size | Yes | Yes | ||
| Fish spawning (size and season) | Yes | Yes | ||
| Fish spawning sites | Yes | Yes | ||
| Fisheries | Biomass of fish caught (and CPUE) | Yes | Yes | |
| Catch composition | Yes | Yes | ||
| Fishing gear | Yes | Yes | ||
| Fishing grounds | Yes | Yes | Yes | |
| Fishing season | Yes | Yes | ||
| Management options | Yes | |||
| Fishers | Fishers’ behavior | Yes | Yes | |
| Socioeconomic characteristics | Yes | Yes | ||
| Impacts | Biomass and size of fish in the past | Yes | ||
| Ecological characteristics | Yes | Yes | ||
| Environmental impacts | Yes | Yes |
© 2020 by the authors. Licensee MDPI, Basel, Switzerland. This article is an open access article distributed under the terms and conditions of the Creative Commons Attribution (CC BY) license (http://creativecommons.org/licenses/by/4.0/).
Share and Cite
Silvano, R.A.M.; Hallwass, G. Participatory Research with Fishers to Improve Knowledge on Small-Scale Fisheries in Tropical Rivers. Sustainability 2020, 12, 4487. https://doi.org/10.3390/su12114487
Silvano RAM, Hallwass G. Participatory Research with Fishers to Improve Knowledge on Small-Scale Fisheries in Tropical Rivers. Sustainability. 2020; 12(11):4487. https://doi.org/10.3390/su12114487
Chicago/Turabian StyleSilvano, Renato Azevedo Matias, and Gustavo Hallwass. 2020. "Participatory Research with Fishers to Improve Knowledge on Small-Scale Fisheries in Tropical Rivers" Sustainability 12, no. 11: 4487. https://doi.org/10.3390/su12114487
APA StyleSilvano, R. A. M., & Hallwass, G. (2020). Participatory Research with Fishers to Improve Knowledge on Small-Scale Fisheries in Tropical Rivers. Sustainability, 12(11), 4487. https://doi.org/10.3390/su12114487

