Consequences of Climate Change Impacts and Incidences of Extreme Weather Events in Relation to Crop Production in Bhutan
Abstract
1. Introduction
2. Materials and Methods
3. Results
3.1. Issues in Farming
3.2. Experiences of Extreme Weather Events
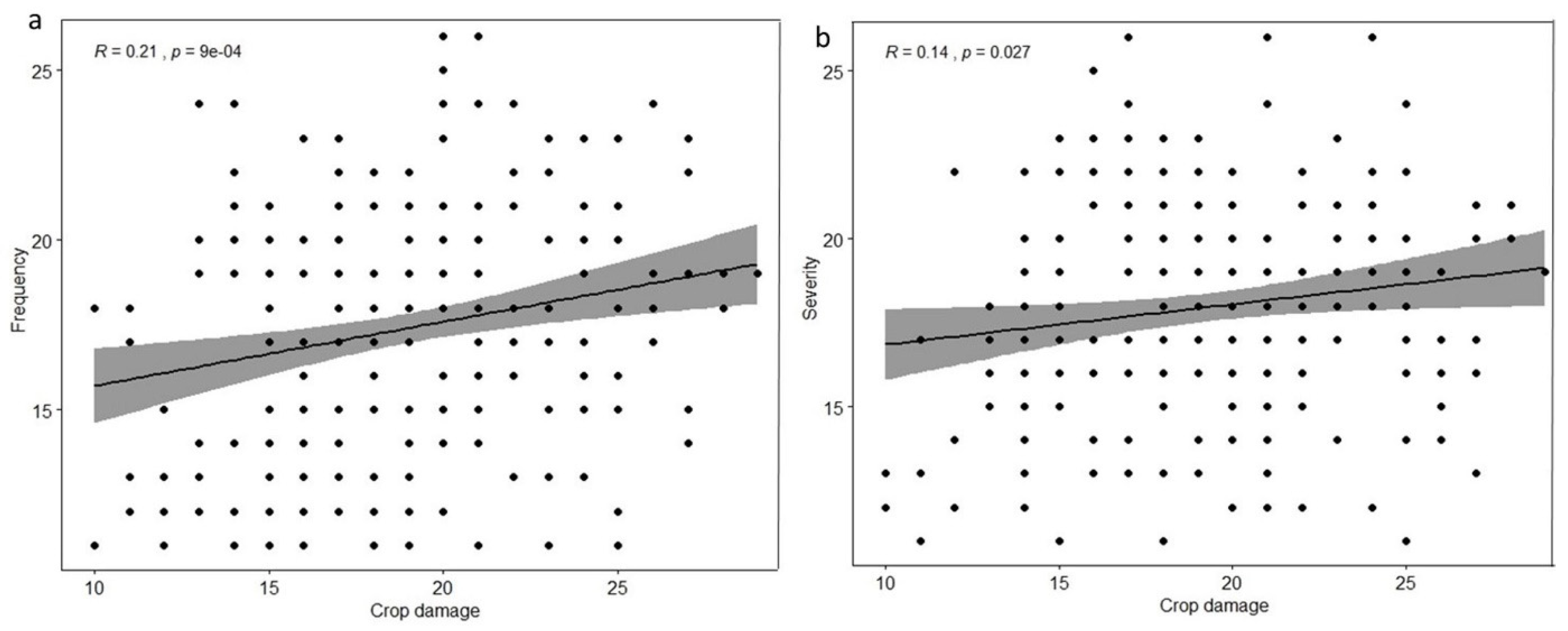
3.3. Consequences of Climate Change Impacts
4. Discussion
5. Conclusions
Author Contributions
Funding
Acknowledgments
Conflicts of Interest
References
- Bowman, M.S.; Zilberman, D. Economic Factors Affecting Diversified Farming Systems. Ecol. Soc. 2013, 18. [Google Scholar] [CrossRef]
- Hatfield, J.L.; Boote, K.J.; Kimball, B.A.; Ziska, L.H.; Izaurralde, R.C.; Ort, D.; Thomson, A.M.; Wolfe, D. Climate Impacts on Agriculture: Implications for Crop Production. Agron. J. 2011, 103, 351. [Google Scholar] [CrossRef]
- Ray, D.K.; Gerber, J.S.; MacDonald, G.K.; West, P.C. Climate variation explains a third of global crop yield variability. Nat. Commun. 2015, 6, 5989. [Google Scholar] [CrossRef] [PubMed]
- Goodess, C.M. How is the frequency, location and severity of extreme events likely to change up to 2060? Environ. Sci. Policy 2013, 27, S4–S14. [Google Scholar] [CrossRef]
- Steffen, W.; Hughes, L.; Alexander, D.; Rice, M. Cranking Up the Intensity: Climate Change and Extreme Weather Events; Climate Council of Australia Ltd.: Potts Point, Australia, 2017; p. 100. [Google Scholar]
- Troy, T.J.; Kipgen, C.; Pal, I. The impact of climate extremes and irrigation on US crop yields. Environ. Res. Lett. 2015, 10, 054013. [Google Scholar] [CrossRef]
- Bhatta, G.D.; Aggarwal, P.K. Coping with weather adversity and adaptation to climatic variability: A cross-country study of smallholder farmers in South Asia. Clim. Dev. 2015, 8, 145–157. [Google Scholar] [CrossRef]
- Mendelsohn, R. The Impact of Climate Change on Agriculture in Developing Countries. J. Nat. Resour. Policy Res. 2008, 1, 5–19. [Google Scholar] [CrossRef]
- Hay, J.; Mimura, N. The changing nature of extreme weather and climate events: Risks to sustainable development. Geomat. Nat. Hazards Risk 2010, 1, 3–18. [Google Scholar] [CrossRef]
- IPCC. Managing Risks of Extreme Events and Disasters to Advance Climate Change Adaptation. A Special Report of Working Group I and II of the Intergovernmental Panel on Climate Change (IPCC); Field, C.B., Barros, V., Stocker, T.F., Dahe, Q., Dokken, D.J., Ebi, K.L., Mastrandrea, M., Mach, K.J., Plattner, G.-K., Allen, S.k., et al., Eds.; Cambridge University Press: Cambridge, UK; New York, NY, USA, 2012; p. 582. [Google Scholar]
- IPCC. Summary for Policy Makers. In Climate Change 2014: Impacts, Adaptation, and Vulnerability. Part A: Global and Sectoral Aspects. Contribution to Working Group II to the Fifth Assessment Report of the Intergovernmental Panel on Climate Change; Field, C.B., Ebi, K.L., Estrada, Y.O., Barros, V.R., Dokken, D.J., Mach, K.L., Mastrandrea, M.D., Bilir, T.E., Chatterjee, M., Ebi, K.L., et al., Eds.; Cambridge University Press: Cambridge, UK; New York, NY, USA, 2014; p. 32. [Google Scholar]
- Ummenhofer, C.C.; Meehl, G.A. Extreme weather and climate events with ecological relevance: A review. Philos. Trans. R. Soc. Lond. B Biol. Sci. 2017, 372. [Google Scholar] [CrossRef]
- Trenberth, K.E.; Fasullo, J.T.; Shepherd, T.G. Attribution of climate extreme events. Nat. Clim. Chang. 2015, 5, 725–730. [Google Scholar] [CrossRef]
- Wester, P.; Mishra, A.; Mukherji, A.; Shrestha, A.B. The Hindu Kush Himalaya Assessment-Mountains, Climate Change, Sustainability and People; Wester, P., Mishra, A., Mukherji, A., Shrestha, A.B., Eds.; Spinger Nature Switzerland: Basel, Switzerland, 2019; p. 638. [Google Scholar]
- Shrestha, M.; Goodrich, C.; Udas, P.; Rai, M.; Khadgi, V. Flood Early Warning Systems in Bhutan: A Gendered Perspective. ICIMOD Working Paper 2016/13; International Centre for Integrated Mountain Development (ICIMOD): Kathmandnu, Nepal, 2016; p. 180. [Google Scholar]
- NEC. Bhutan National Adaptation Programme of Action; National Environment Commission (NEC), Royal Government of Bhutan: Thimphu, Bhutan, 2006; p. 95.
- Sharma, E.; Chettri, N.; Tse-ring, K.; Shrestha, A.B.; Jing, F.; Mool, P.; Eriksson, M. Climate Change Impacts and Vulnerability in the Eastern Himalayas; International Centre for Integrated Mountain Development (ICIMOD): Kathmandu, Nepal, 2009; p. 27. [Google Scholar]
- ICIMOD. Climate Change Vulnerability of Mountain Ecosystem in the Eastern Himalayas: Climate Change Impact and Vulnerability in the Eastern Himalayas-Synthesis Report; Tse-ring, K., Sharma, E., Chettri, N., Shrestha, A., Eds.; International Centre for Integrated Mountain Development (ICIMOD): Kathmandu, Nepal, 2010; p. 110. [Google Scholar]
- Chhogyel, N.; Kumar, L. Climate change and potential impacts on agriculture in Bhutan: A discussion of pertinent issues. Agric. Food Secur. 2018, 7, 7–79. [Google Scholar] [CrossRef]
- Lotay, Y. Country Report Bhutan Disaster Management; Department of Disaster Management (DDM) under the Ministry of Home and Cultural Affairs (MoHCA), Royal Government of Bhutan: Thimphu, Bhutan, 2015.
- Dorji, T.; Tamang, T. Analysis of Historical Climate and Climate Projection for Bhutan; Srinivasan, G., Raghavan, S.V., Dorji, S., Eds.; National Centre for Hydrology and Meteorology, Royal Government of Bhutan: Thimphu, Bhutan, 2019.
- Ren, Y.Y.; Ren, G.Y.; Sun, X.B.; Shrestha, A.B.; You, Q.L.; Zhan, Y.J.; Wen, K.M.; Rajbhandari, R.; Zhang, P.F. Observed changes in surface air temperature and precipitation in the Hindu Kush Himalayan region over the last 100-plus years. Adv. Clim. Chang. Res. 2017, 8, 148–156. [Google Scholar] [CrossRef]
- Komori, J.; Koike, T.; Yamanokuchi, T.; Tshering, P. Glacial lake outburst events in the Bhutan Himalayas. Glob. Environ. Res. 2012, 16, 59–70. [Google Scholar]
- CDP. Vulnerability Profile of Bhutan; United Nations Committee for Development Policy (CDP): New York, NY, USA, 2018; p. 26. [Google Scholar]
- Mool, P.K.; Wangda, D.; Bajracharya, D.; Kunzang, K.; Gurung, D.R.; Joshi, S.P. Inventry of Glaciers, Glacial Lakes, and Glacial lake Outburst Floods: Monitoring and Early Warming Systems in the Hindu Kush-Himalayan Region-Bhutan (2001); International Centre for Integrated Mountain Development (ICIMOD): Kathmandu, Nepal, 2001. [Google Scholar]
- Bajracharya, S.R.; Maharjan, S.B.; Shrestha, F. The status and decadal change of glaciers in Bhutan from the 1980s to 2010 based on satellite data. Ann. Glaciol. 2017, 55, 159–166. [Google Scholar] [CrossRef]
- MoAF. National Action Program to Combat Land Degradation; Ministry of Agriculture and Forests (MoAF), Royal Government of Bhutan: Thimphu, Bhutan, 2009; p. 134.
- Sheikh, M.M.; Manzoor, N.; Ashraf, J.; Adnan, M.; Collins, D.; Hameed, S.; Manton, M.J.; Ahmed, A.U.; Baidya, S.K.; Borgaonkar, H.P.; et al. Trends in extreme daily rainfall and temperature indices over South Asia. Int. J. Climatol. 2015, 35, 1625–1637. [Google Scholar] [CrossRef]
- Chhogyel, N.; Kumar, L.; Bajgai, Y.; Hasan, M.K. Farmers’ perception on climate change and its impacts on agriculture in different agro-ecological zones of Bhutan Himalayas. Int. J. Environ. Sci. Technol. 2020, 17. [Google Scholar] [CrossRef]
- Herring, S.C.; Hoerling, M.P.; Kossin, J.P.; Peterson, T.C.; Scott, P.A. Explaining extreme events of 2014 from a climate perspective. Bull. Am. Meteorol. Soc. 2015, 96, S1–S172. [Google Scholar] [CrossRef]
- Eckstein, D.; Hutfils, M.-L.; Winges, M. Global Climate Risk Index 2019. Who Suffers Most from Extreme Weather Events? Weather-Related Loss Events in 2017 and 1998 to 2017; Baum, D., Chapman-Rose, J., Hannes, R., Kier, G., Eds.; Germanwatch e.V: Bonn, Germany, 2019; p. 36. [Google Scholar]
- Kumar, L.; Taylor, S. Exposure of coastal built assets in the South Pacific to climate risks. Nat. Clim. Chang. 2015, 5, 992–996. [Google Scholar] [CrossRef]
- Kumar, L.; Eliot, I.; Nunn, P.D.; Stul, T.; McLean, R. An indicative index of physical susceptibility of small islands to coastal erosion induced by climate change: An application to the Pacific islands. Geomat. Nat. Hazards Risk 2018, 9, 691–702. [Google Scholar] [CrossRef]
- Mertz, O.; Mbow, C.; Reenberg, A.; Diouf, A. Farmers’ perceptions of climate change and agricultural adaptation strategies in rural Sahel. Environ. Manag. 2009, 43, 804–816. [Google Scholar] [CrossRef]
- Harvey, C.A.; Saborio-Rodríguez, M.; Martinez-Rodríguez, M.R.; Viguera, B.; Chain-Guadarrama, A.; Vignola, R.; Alpizar, F. Climate change impacts and adaptation among smallholder farmers in Central America. Agric. Food Secur. 2018, 7. [Google Scholar] [CrossRef]
- Wood, S.A.; Jina, A.S.; Jain, M.; Kristjanson, P.; DeFries, R.S. Smallholder farmer cropping decisions related to climate variability across multiple regions. Glob. Environ. Chang. 2014, 25, 163–172. [Google Scholar] [CrossRef]
- NSSC and PPD. Bhutan land Cover Assessment 2010 (LCMP-2010); National Soil Service Centre (NSSC) and Policy and Planning Division (PPD), Ministry of Agriculture and Forests, Royal Government of Bhutan: Thimphu, Bhutan, 2011; p. 35.
- NEC. Second National Communication to the UNFCCC; Namgyel, T., Dagay, S., Tashi, T., Lhaden, S., Tshering, K., Eds.; National Environment Commission (NEC), Royal Government of Bhutan: Thimphu, Bhutan, 2011.
- Kallio, H.; Pietila, A.M.; Johnson, M.; Kangasniemi, M. Systematic methodological review: Developing a framework for a qualitative semi-structured interview guide. J. Adv. Nurs. 2016, 72, 2954–2965. [Google Scholar] [CrossRef] [PubMed]
- Barriball, K.L.; White, A. Collecting data using a semi-structured interview: A discussion paper. J. Adv. Nurs. 1994, 19, 328–335. [Google Scholar] [CrossRef]
- Takemura, K.; Uchida, Y.; Yoshikawa, S. Roles of extension officers to promote social capital in Japanese agricultural communities. PLoS ONE 2014, 9, e91975. [Google Scholar] [CrossRef]
- Roy, G.L. Research Methods in Social Sciences and Extension Education; Naya Prakash: Kolkata, India, 2000. [Google Scholar]
- Leiserowitz, A. Climate Change Risk Perception and Policy Preferences: The Role of Affect, Imagery, and Values. Clim. Chang. 2006, 77, 45–72. [Google Scholar] [CrossRef]
- R Core Team. A Language and Environment for Statistical Computing. Available online: http://www.r-project.org (accessed on 24 March 2018).
- Perrin, R.; Winkelmann, D. Impediments to technical progress on small versus large farms. Am. J. Agric. Econ. 1976, 58, 888–894. [Google Scholar] [CrossRef]
- Niles, M.T.; Lubell, M.; Brown, M. How limiting factors drive agricultural adaptation to climate change. Agric. Ecosyst. Environ. 2015, 200, 178–185. [Google Scholar] [CrossRef]
- Panda, D.K.; AghaKouchak, A.; Ambast, S.K. Increasing heat waves and warm spells in India, observed from a multiaspect framework. J. Geophys. Res. Atmos. 2017, 122, 3837–3858. [Google Scholar] [CrossRef]
- Pandey, R.; Bardsley, D.K. Social-ecological vulnerability to climate change in the Nepali Himalaya. Appl. Geogr. 2015, 64, 74–86. [Google Scholar] [CrossRef]
- Poudel, S.; Funakawa, S.; Shinjo, H. Household Perceptions about the Impacts of Climate Change on Food Security in the Mountainous Region of Nepal. Sustainability 2017, 9, 641. [Google Scholar] [CrossRef]
- Nandargi, S.; Dhar, O.N. Extreme Rainstorm Events over the Northwest Himalayas during 1875–2010. J. Hydrometeorol. 2012, 13, 1383–1388. [Google Scholar] [CrossRef]
- Gbetibouo, G.A. Understanding Farmers’ Perceptions and Adaptations to Climate Change and Variability: The Case of the Limpopo Basin, South Africa; International Food Policy Research Institute (IFPRI): Washington, DC, USA, 2009; pp. 1–52. [Google Scholar]
- Aimin, H. Uncertainty, Risk Aversion and Risk Management in Agriculture. Agric. Agric. Sci. Procedia 2010, 1, 152–156. [Google Scholar] [CrossRef]
- NSB. Statistical Year Book of Bhutan 2016, 34th ed.; National Statistics Bureau (NSB), Royal Government of Bhutan: Thimphu, Bhutan, 2016; p. 325.
- DoA. Agriculture Statistics 2016; Department of Agriculture (DoA), Ministry of Agriculture and Forests, Royal Government of Bhutan: Thimphu, Bhutan, 2016; p. 81.
- DoA. Agriculture Statistics 2015; Department of Agriculture (DoA), Ministry of Agriculture and Forests, Royal Government of Bhutan: Thimphu, Bhutan, 2015; p. 100.
- Chapagain, T.; Raizada, M.N. Agronomic Challenges and Opportunities for Smallholder Terrace Agriculture in Developing Countries. Front. Plant Sci. 2017, 8, 331. [Google Scholar] [CrossRef] [PubMed]
- Prasad, D.S.; Shiba, B. Climate Change and Its Effect on Water Resources: A Case Study in Annapurna Conservation Area Project (Acap). J. Climatol. Weather Forecast. 2016, 4. [Google Scholar] [CrossRef]
- Knight, J.; Deng, Q.; Li, S. The puzzle of migrant labour shortage and rural labour surplus in China. China Econ. Rev. 2011, 22, 585–600. [Google Scholar] [CrossRef]
- Molden, D.J.; Vaidya, R.A.; Shrestha, A.B.; Rasul, G.; Shrestha, M.S. Water infrastructure for the Hindu Kush Himalayas. Int. J. Water Resour. Dev. 2014, 30, 60–77. [Google Scholar] [CrossRef]
- Mukherji, A.; Molden, D.; Nepal, S.; Rasul, G.; Wagnon, P. Himalayan waters at the crossroads: Issues and challenges. Int. J. Water Resour. Dev. 2015, 31, 151–160. [Google Scholar] [CrossRef]
- Turral, H.; Burke, J.; Faures, J.-M. Climate Change, Water and Food Security; Food and Agriculture Organization (FAO) of the United Nations: Rome, Italy, 2011; p. 200. [Google Scholar]
- Zhang, Y.; Mu, J.; Musumba, M.; McCarl, B.; Gu, X.; Zhou, Y.; Cao, Z.; Li, Q. The Role of Climate Factors in Shaping China’s Crop Mix: An Empirical Exploration. Sustainability 2018, 10, 3757. [Google Scholar] [CrossRef]
- Bailey, R.G. Delineation of ecosystem regions. Environ. Manag. 1983, 7, 365–373. [Google Scholar] [CrossRef]
- IPCC. Climate Change 2013. The Physical Science Basis. Contribution of Working Group I to the Fifth Assessment Report of the Intergovernmental Panel on Climate Change (IPCC); Stocker, T.F., Qin, D., Plattner, G.K., Tignor, M., Allen, S.K., Boschung, J., Nauels, A., Xia, Y., Bex, V., Midgley, P.M., Eds.; Cambridge University: Cambridge, UK; New York, NY, USA, 2013; p. 1535. [Google Scholar]
- NSB. Population and Housing Census of Bhutan; National Statistics Bureau (NSB), Royal Government of Bhutan: Thimphu, Bhutan, 2017; p. 268.
- Tenzin, J.; Phuntsho, L.; Lakey, L. Climate Smart Agriculture: Adaptation & Mitigation Strategies to Climate Change in Bhutan. In Climate Smart Agriculture: Strategies to Respond to Climate Change; Shrestha, R.B., Boktiar, S., Eds.; SAARC Agriculture Centre (SAC): Dhaka, Bangladesh, 2019; pp. 37–61. [Google Scholar]
- NSB. Statistical Year Book of Bhutan 2018, 36th ed.; National Statistics Bureau (NSB), Royal Government of Bhutan: Thimphu, Bhutan, 2018; p. 325.
- Rankin, M.; Gálvez Nogales, E.; Santacoloma, P.; Mhlanga, N.; Rizzo, C. Public–Private Partnerships for Agricultural Transformation—Trends and Lessons from Developing Countries; Emerald Publishing Limited: Bingley, UK, 2017; pp. 191–219. [Google Scholar] [CrossRef]
- Hermans, F.; Geerling-Eiff, F.; Potters, J.; Klerkx, L. Public-private partnerships as systemic agricultural innovation policy instruments—Assessing their contribution to innovation system function dynamics. NJAS Wagening J. Life Sci. 2019, 88, 76–95. [Google Scholar] [CrossRef]
- Ferroni, M.; Castle, P. Public-Private Partnerships and Sustainable Agricultural Development. Sustainability 2011, 3, 1064–1073. [Google Scholar] [CrossRef]
- Dalal, N.; Joshi, A.; Soragi, B.; Chaudhary, S.; Sharma, S.; Naidu, S.; Kazmi, Y. People’s Perception to Climate Change in Remote Himalayan Mountains and Rainfall Variability in the Kailash Sacred Landscape-India. J. Climatol. Weather Forecast. 2018, 6. [Google Scholar] [CrossRef]
- Rosenzweig, C.; Iglesias, A.; Yang, X.B.; Epstein, P.R.; Chivian, E. Climate change and extreme weather events, Implications for food production, plant diseases, and pests. Glob. Chang. Hum. Health 2001, 2, 90–104. [Google Scholar] [CrossRef]
- Linnenluecke, M.K.; Griffiths, A.; Winn, M. Extreme Weather Events and the Critical Importance of Anticipatory Adaptation and Organizational Resilience in Responding to Impacts. Bus. Strategy Environ. 2012, 21, 17–32. [Google Scholar] [CrossRef]
- NEC. National Environment Protection Act; National Environment Commission (NEC), Royal Government of Bhutan: Thimphu, Bhutan, 2007; p. 48.
- Wangdi, T.; Lhendup, P.; Wangdi, N. An Analysis of Forestry Policy, Acts and Rules of Bhutan to Mainstream Climate Change Adaptation. Regional Climate Change Adaptation Knowledge Platform for Asia, Partner Report; Stockholm Environment Institute, Bangkok: Bangkok, Thailand, 2013; p. 25. [Google Scholar]
- WB. Bhutan Forest Note: Pathways for Sustainable Forest Management and Socio-Equitable Economic Development; The World Bank (WB): Washington, DC, USA, 2019; p. 50. [Google Scholar]
- Thinley, P.; Lassoie, J.P. Human-Wildlife Conflicts in Bhutan: Promoting Biodiversity Conservation and Rural Livelihoods; Cornell University: Ithaca, NY, USA, 2013; p. 15. [Google Scholar]
- NPPC and WWF. Human-Wildlife Conflict SAFE Strategy; National Plant Protection Centre (NPPC) and World Wildlife Fund (WWF) Project of Ministry of Agriculture and Forests, Royal Government of Bhutan: Thimphu, Bhutan, 2016; p. 44.
- NLC. The Land Act of Bhutan 2007; National Land Commision (NLC), Royal Government of Bhutan: Thimphu, Bhutan, 2007; p. 96.
- Shannon, H.D.; Motha, R.P. Managing weather and climate risks to agriculture in North America, Central America and the Caribbean. Weather Clim. Extrem. 2015, 10, 50–56. [Google Scholar] [CrossRef]
- Thornton, P.K.; Ericksen, P.J.; Herrero, M.; Challinor, A.J. Climate variability and vulnerability to climate change: A review. Glob. Chang. Biol. 2014, 20, 3313–3328. [Google Scholar] [CrossRef]
- De, U.S.; Rao, G.S.P. Extreme weather events over India in the last 100 years. J. Indian Geophys. Union 2005, 9, 173–187. [Google Scholar]
- Lassa, J.A.; Lai, A.Y.-H.; Goh, T. Climate extremes: An observation and projection of its impacts on food production in ASEAN. Nat. Hazards 2015, 84, 19–33. [Google Scholar] [CrossRef]
- Yumul, G.P.J.; Cruz, N.A.; Servando, N.T.; Dimalanta, C.B. Extreme weather events and related daisters in the Philippines, 2004–2008: A sign of what climate change will mena? Disasters 2011, 35, 362–382. [Google Scholar] [CrossRef]
- Van Oldenborgh, G.J.; van der Wiel, K.; Sebastian, A.; Singh, R.; Arrighi, J.; Otto, F.; Haustein, K.; Li, S.; Vecchi, G.; Cullen, H. Attribution of extreme rainfall from Hurricane Harvey, August 2017. Environ. Res. Lett. 2017, 12, 124009. [Google Scholar] [CrossRef]
- Hashim, J.H.; Hashim, Z. Climate Change, Extreme Weather Events, and Human Health Implications in the Asia Pacific Region. Asia Pac. J. Public Health 2016, 28, 8S–14S. [Google Scholar] [CrossRef] [PubMed]
- lm, E.S.; Pal, J.S.; Eltahir, E.A.B. Deadly heat waves projected in the densely populated agricultural regions of south Asia. Sci. Adv. 2017, 3, e1603322. [Google Scholar] [CrossRef]
- Lazaro, P.M. Extreme Heat Events in San Juan Puerto Rico: Trends and Variability of Unusual Hot Weather and its Possible Effects on Ecology and Society. J. Climatol. Weather Forecast. 2015, 3. [Google Scholar] [CrossRef]
- Hoy, A.; Katel, O.; Thapa, P.; Dendup, N.; Matschullat, J. Climatic changes and their impact on socio-economic sectors in the Bhutan Himalayas: An implementation strategy. Reg. Environ. Chang. 2015, 16, 1401–1415. [Google Scholar] [CrossRef]
- Houze, R.A. Orographic effects on precipitating clouds. Rev. Geophys. 2012, 50. [Google Scholar] [CrossRef]
- NEC. National Adaptation Programme of Action: Updates of Projects and Profiles 2012; National Environment Commission (NEC), Royal Government of Bhutan: Thimphu, Bhutan, 2012; p. 60.
- Gopalakrishnan, T.; Hasan, M.K.; Haque, A.T.M.S.; Jayasinghe, S.L.; Kumar, L. Sustainability of Coastal Agriculture under Climate Change. Sustainability 2019, 11, 7200. [Google Scholar] [CrossRef]
- Mahdi, S.S.; Dhekale, B.S.; Choudary, S.R.; Bangroo, S.A.; Gupta, S.K. On the climate risk in crop production and management in India: A review. Aust. J. Crop Sci. 2015, 9, 585–595. [Google Scholar]
- Lesk, C.; Rowhani, P.; Ramankutty, N. Influence of extreme weather disasters on global crop production. Nature 2016, 529, 84–87. [Google Scholar] [CrossRef]
- Zampieri, M.; Ceglar, A.; Dentener, F.; Toreti, A. Wheat yield loss attributable to heat waves, drought and water excess at the global, national and subnational scales. Environ. Res. Lett. 2017, 12, 064008. [Google Scholar] [CrossRef]
- Lipper, L.; Thornton, P.; Campbell, B.M.; Baedeker, T.; Braimoh, A.; Bwalya, M.; Caron, P.; Cattaneo, A.; Garrity, D.; Henry, K.; et al. Climate-smart agriculture for food security. Nat. Clim. Chang. 2014, 4, 1068–1072. [Google Scholar] [CrossRef]
- Hasan, M.K.; Desiere, S.; D’Haese, M.; Kumar, L. Impact of climate-smart agriculture adoption on the food security of coastal farmers in Bangladesh. Food Secur. 2018, 10, 1073–1088. [Google Scholar] [CrossRef]
- MoAF. The Renewable Natural Resources (RNR) Sector Adaptation Plan of Action, 2016; RNR Climate Change Adaptation Program; Ministry of Agriculture and Forests (MoAF), Royal Government of Bhutan: Thimphu, Bhutan, 2016; p. 44.






| Particulars | Mean | Standard Deviation | Minimum | Maximum |
|---|---|---|---|---|
| Age (years) | 50.00 | 11.88 | 22.00 | 76.00 |
| Family size (number) | 5.00 | 1.40 | 2.00 | 9.00 |
| land holding (ha) | 1.40 | 2.01 | 0.16 | 5.80 |
| Farming experience (years) | 30.00 | 13.00 | 5.00 | 65.00 |
| Crops grown (number) | 5.00 | 1.64 | 1.00 | 9.00 |
| Factors | Ranking Scale | Weighted Average | ||||
|---|---|---|---|---|---|---|
| 1 | 2 | 3 | 4 | 5 | ||
| Irrigation availability | 6 | 10 | 17 | 35 | 32 | 25.13 |
| Farm labour | 9 | 11 | 23 | 25 | 32 | 24.00 |
| Crop seasonality | 8 | 16 | 32 | 28 | 16 | 21.87 |
| Crop damage (climatic) | 10 | 23 | 26 | 29 | 12 | 20.67 |
| Land holding | 20 | 34 | 20 | 16 | 10 | 17.47 |
| Crop damage (wildlife) | 21 | 35 | 27 | 13 | 4 | 16.27 |
| Crop damage (dis and pests) | 27 | 36.2 | 25 | 27 | 2 | 14.69 |
| Districts | Frequency *** | Severity *** |
|---|---|---|
| Paro | 16.40 | 17.70 |
| Punakha | 19.97 | 16.65 |
| Samtse | 22.40 | 19.80 |
| Sarpang | 22.42 | 18.47 |
| Tsirang | 18.62 | 17.57 |
| Wangdue | 19.65 | 16.47 |
| p value | 2.00 × 10−16 | 2.40 × 10−8 |
| Districts | Crop Loss (Weather) *** | Irrigation Sources *** | Diseases & Pests *** | Weed Pressure *** | Cropping Pattern ns | Flood & Erosion *** | Land Fallowing * |
|---|---|---|---|---|---|---|---|
| Paro | 2.97 | 3.07 | 3.10 | 2.48 | 3.25 | 1.90 | 2.25 |
| Punakha | 4.32 | 4.45 | 3.65 | 3.10 | 2.92 | 2.60 | 2.90 |
| Samtse | 4.22 | 4.52 | 3.32 | 3.20 | 3.20 | 3.17 | 3.02 |
| Sarpang | 4.72 | 4.62 | 3.50 | 3.25 | 3.07 | 3.15 | 2.75 |
| Tsirang | 4.40 | 4.75 | 2.65 | 2.48 | 2.65 | 1.95 | 2.57 |
| Wangdue | 3.97 | 4.67 | 3.30 | 2.95 | 3.10 | 2.42 | 3.00 |
| Mean | 4.10 | 4.35 | 3.25 | 3.06 | 3.03 | 2.53 | 2.75 |
| p value | 2 × 10−16 | 2 × 10−16 | 15 × 10−6 | 5.1 × 10−9 | 0.07 | 9.79 × 10−12 | 0.017 |
| Crops | Estimated Extent of Crop Damage (%) | Total (%) | ||||
|---|---|---|---|---|---|---|
| <10 | 11–19 | 20–29 | 30–39 | >40 | ||
| Rice | 55 | 17 | 3 | 0 | 1 | 76 |
| Maize | 21 | 21 | 5 | 1 | 1 | 49 |
| Minor cereals | 22 | 5 | 1 | 1 | 0 | 29 |
| Potato | 29 | 15 | 4 | 1 | 0 | 49 |
| Vegetables | 73 | 13 | 2 | 1 | 0 | 89 |
| Apple | 6 | 2.00 | 1 | 1 | 1 | 11 |
| Mandarin | 12 | 9.00 | 5 | 0 | 0 | 26 |
| Fruits and nuts | 43 | 6 | 0 | 0 | 0 | 49 |
| Mean | 32.62 | 11.00 | 2.62 | 0.62 | 0.37 | |
© 2020 by the authors. Licensee MDPI, Basel, Switzerland. This article is an open access article distributed under the terms and conditions of the Creative Commons Attribution (CC BY) license (http://creativecommons.org/licenses/by/4.0/).
Share and Cite
Chhogyel, N.; Kumar, L.; Bajgai, Y. Consequences of Climate Change Impacts and Incidences of Extreme Weather Events in Relation to Crop Production in Bhutan. Sustainability 2020, 12, 4319. https://doi.org/10.3390/su12104319
Chhogyel N, Kumar L, Bajgai Y. Consequences of Climate Change Impacts and Incidences of Extreme Weather Events in Relation to Crop Production in Bhutan. Sustainability. 2020; 12(10):4319. https://doi.org/10.3390/su12104319
Chicago/Turabian StyleChhogyel, Ngawang, Lalit Kumar, and Yadunath Bajgai. 2020. "Consequences of Climate Change Impacts and Incidences of Extreme Weather Events in Relation to Crop Production in Bhutan" Sustainability 12, no. 10: 4319. https://doi.org/10.3390/su12104319
APA StyleChhogyel, N., Kumar, L., & Bajgai, Y. (2020). Consequences of Climate Change Impacts and Incidences of Extreme Weather Events in Relation to Crop Production in Bhutan. Sustainability, 12(10), 4319. https://doi.org/10.3390/su12104319

