Treated Wastewater and Fertigation Applied for Greenhouse Tomato Cultivation Grown in Municipal Solid Waste Compost and Soil Mixtures
Abstract
1. Introduction
2. Materials and Methods
2.1. Plant Material and Compost
2.2. Treated Wastewater
2.3. Experimental Set Up
2.4. Measurements
2.5. Statistical Analysis
3. Results and Discussion
3.1. Substrate Properties
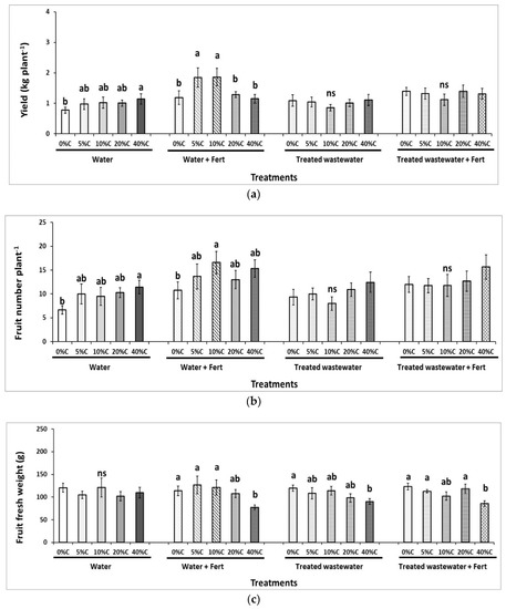
3.2. Effect on Plant Growth and Yield
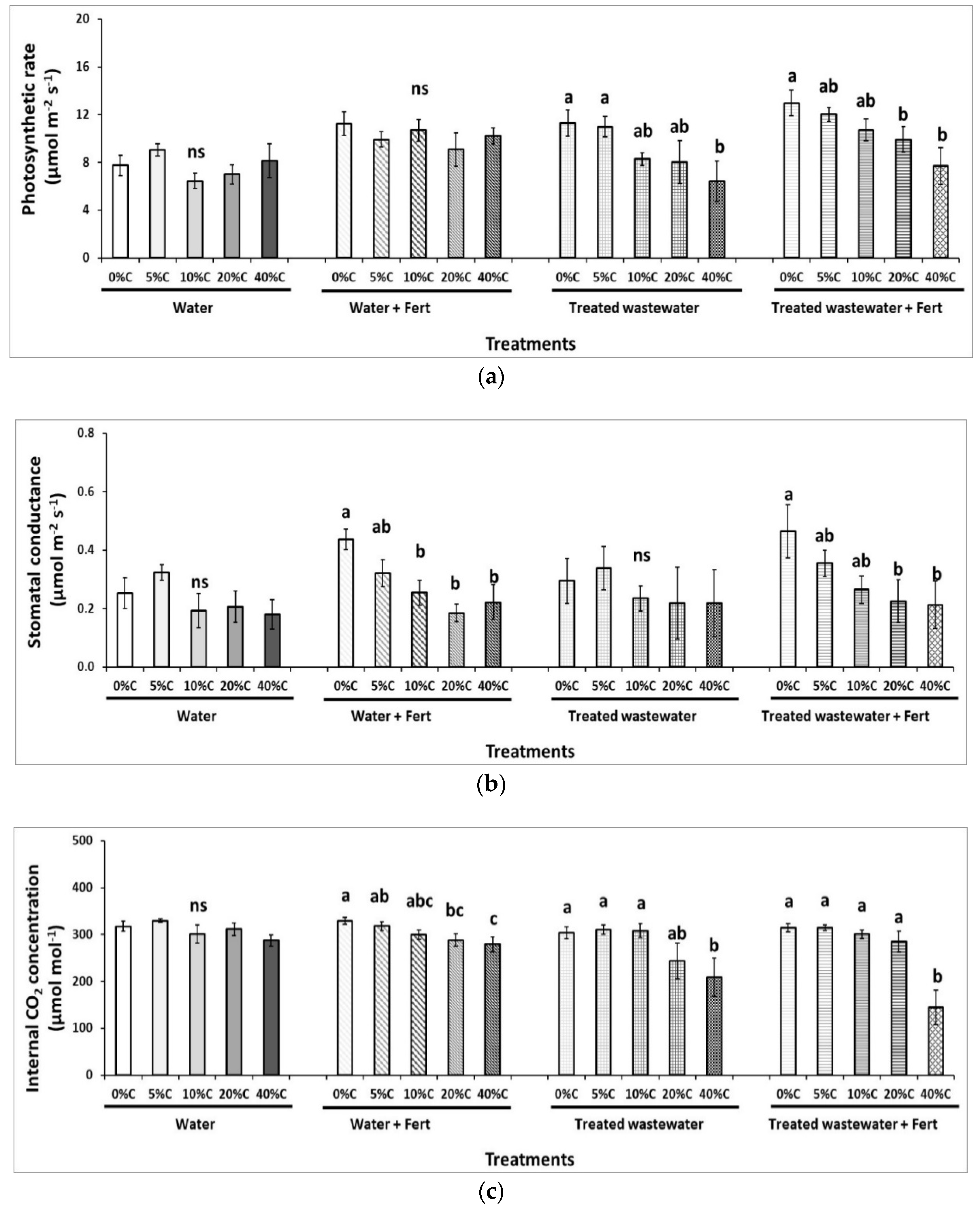
3.3. Effect on Plant Physiology
3.4. Effects on Leaf Element Content
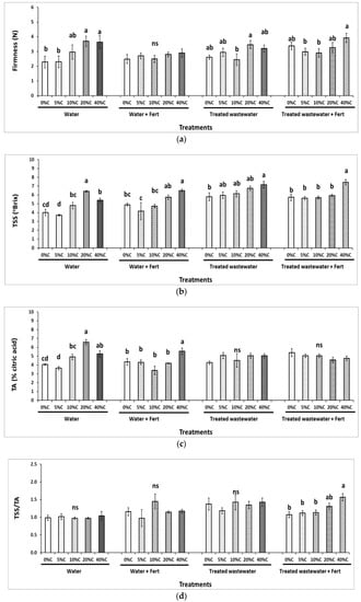
3.5. Effect on Fruit Quality
4. Conclusions
Supplementary Materials
Author Contributions
Funding
Acknowledgments
Conflicts of Interest
References
- Meena, M.D.; Yadav, R.K.; Narjary, B.; Yadav, G.; Jat, H.S.; Sheoran, P.; Meena, M.K.; Antil, R.S.; Meena, B.L.; Singh, H.V.; et al. Municipal solid waste (MSW): Strategies to improve salt affected soil sustainability: A review. Waste Manag. 2019, 84, 38–53. [Google Scholar] [CrossRef] [PubMed]
- Eurostat Yearbook. The Statistical Guide to Europe; European Communities: Luxembourg, 2017. [Google Scholar]
- Naveen, B.P.; Sumalatha, J.; Malik, R.K. A study on contamination of ground and surface water bodies by leachate leakage from a landfill in Bangalore, India. Int. J. Geo-Eng. 2018, 9, 27. [Google Scholar] [CrossRef]
- Moldes, A.; Cendón, Y.; Barral, M.T. Evaluation of municipal solid waste compost as a plant growing media component, by applying mixture design. Bioresour. Technol. 2007, 98, 3069–3075. [Google Scholar] [CrossRef] [PubMed]
- Pecorini, I.; Peruzzi, E.; Albini, E.; Doni, S.; Macci, C.; Masciandaro, G.; Iannelli, R. Evaluation of MSW Compost and Digestate Mixtures for a Circular Economy Application. Sustainability 2020, 12, 3042. [Google Scholar] [CrossRef]
- Ribeiro, H.M.; Romero, A.M.; Pereira, H.; Borges, P.; Cabral, F.; Vasconcelos, E. Evaluation of a compost obtained from forestry wastes and solid phase of pig slurry as a substrate for seedlings production. Bioresour. Technol. 2007, 98, 3294–3297. [Google Scholar] [CrossRef]
- Hargreaves, J.C.; Adl, M.S.; Warman, P.R. A review of the use of composted municipal solid waste in agriculture. Agric. Ecosyst. Environ. 2008, 123, 1–14. [Google Scholar] [CrossRef]
- Karak, T.; Paul, R.K.; Sonar, I.; Sanyal, S.; Ahmed, K.Z.; Boruah, R.K.; Das, D.K.; Dutta, A.K. Chromium in soil and tea (Camellia sinensis L.) infusion: Does soil amendment with municipal solid waste compost make sense? Food Res. Int. 2014, 64, 114–124. [Google Scholar] [CrossRef]
- Zhong, W.; Gu, T.; Wang, W.; Zhang, B.; Lin, X.; Huang, Q.; Shen, W. The effects of mineral fertilizer and organic manure on soil microbial community and diversity. Plant Soil 2010, 326, 511–522. [Google Scholar] [CrossRef]
- Wei, Y.; Zhao, Y.; Xi, B.; Wei, Z.; Li, X.; Cao, Z. Changes in phosphorus fractions during organic wastes composting from different sources. Bioresour. Technol. 2015, 189, 349–356. [Google Scholar] [CrossRef]
- Tzortzakis, N.; Gouma, S.; Dagianta, E.; Saridakis, C.; Papamichalaki, M.; Goumas, D.; Manios, T. Use of fertigation and municipal solid waste compost for greenhouse pepper cultivation. Sci. World J. 2012, 2012, 1–8. [Google Scholar] [CrossRef]
- Zeng, G.; Wu, H.; Liang, J.; Guo, S.; Huang, L.; Xu, P.; Liu, Y.; Yuan, Y.; He, X.; He, Y. Efficiency of biochar and compost (or composting) combined amendments for reducing Cd, Cu, Zn and Pb bioavailability, mobility and ecological risk in wetland soil. RSC Adv. 2015, 5, 34541–34548. [Google Scholar] [CrossRef]
- Bernal, M.P.; Alburquerque, J.A.; Moral, R. Composting of animal manures and chemical criteria for compost maturity assessment. A review. Bioresour. Technol. 2009, 100, 5444–5453. [Google Scholar] [CrossRef] [PubMed]
- Paradelo, R.; Villada, A.; Devesa-Rey, R.; Moldes, A.B.; Domínguez, M.; Patiño, J.; Barral, M.T. Distribution and availability of trace elements in municipal solid waste composts. J. Environ. Monit. 2011, 13, 201–211. [Google Scholar] [CrossRef] [PubMed]
- Warman, P.R.; Rodd, A.V.; Hicklenton, P. The effect of MSW compost and fertilizer on extractable soil elements and the growth of winter squash in Nova Scotia. Agric. Ecosyst. Environ. 2009, 133, 98–102. [Google Scholar] [CrossRef]
- Ozores-Hampton, M.; Hanlon, E.; Bryan, H.; Schaffer, B. Cadmium, copper, lead, nickel and zinc concentrations in tomato and squash grown in msw compost-amended calcareous soil. Compos. Sci. Util. 1997, 5, 40–45. [Google Scholar] [CrossRef]
- Ribeiro, H.M.; Vasconcelos, E.; dos Santos, J.Q. Fertilisation of potted geranium with a municipal solid waste compost. Bioresour. Technol. 2000, 73, 247–249. [Google Scholar] [CrossRef]
- Castillo, J.E.; Herrera, F.; López-Bellido, R.J.; López-Bellido, F.J.; López-Bellido, L.; Fernández, E.J. Municipal solid waste (msw) compost as a tomato transplant medium. Compos. Sci. Util. 2004, 12, 86–92. [Google Scholar] [CrossRef]
- Chrysargyris, A.; Tzortzakis, N. Municipal solid wastes and mineral fertilizer as an eggplant transplant medium. J. Soil Sci. Plant Nutr. 2015, 15, 11–23. [Google Scholar] [CrossRef]
- Papamichalaki, M.; Papadaki, A.; Tzortzakis, N. Substitution of peat with municipal solid waste compost in watermelon seedling production combined with fertigation. Chil. J. Agric. Res. 2014, 74, 452–459. [Google Scholar] [CrossRef]
- Chrysargyris, A.; Stamatakis, A.; Moustakas, K.; Prasad, M.; Tzortzakis, N. Evaluation of Municipal Solid Waste Compost and/or Fertigation as Peat Substituent for Pepper Seedlings Production. Waste Biomass Valorization 2018, 9, 2285–2294. [Google Scholar] [CrossRef]
- Al Mamun, S.; Chanson, G.; Muliadi, M.; Benyas, E.; Aktar, M.; Lehto, N.; McDowell, R.; Cavanagh, J.; Kellermann, L.; Clucas, L.; et al. Municipal composts reduce the transfer of Cd from soil to vegetables. Environ. Pollut. 2016, 213, 8–15. [Google Scholar] [CrossRef] [PubMed]
- Bostani, A. How amending calcareous soils with municipal solid waste compost affects Fe fractionation and availability to plant. J. Trace Elem. Med. Biol. 2018, 47, 149–155. [Google Scholar] [CrossRef] [PubMed]
- Leszczyńska, D.; Kwiatkowska-Malina, J. The influence of organic matter on yield and quality of winter wheat Triticum aestivum ssp. vulgare (L.) cultivated on soils contaminated with heavy metals. Ecol. Chem. Eng. S 2013, 20, 701–708. [Google Scholar]
- Kalavrouziotis, I.K.; Kokkinos, P.; Oron, G.; Fatone, F.; Bolzonella, D.; Vatyliotou, M.; Fatta-Kassinos, D.; Koukoulakis, P.H.; Varnavas, S.P. Current status in wastewater treatment, reuse and research in some mediterranean countries. Desalin. Water Treat. 2015, 53, 2015–2030. [Google Scholar] [CrossRef]
- Ilias, A.; Panoras, A.; Angelakis, A. Wastewater recycling in Greece: The case of Thessaloniki. Sustainability 2014, 6, 2876–2892. [Google Scholar] [CrossRef]
- Chen, W.; Bai, Y.; Zhang, W.; Lyu, S.; Jiao, W. Perceptions of different stakeholders on reclaimed water reuse: The case of Beijing, China. Sustainability 2015, 7, 9696–9710. [Google Scholar] [CrossRef]
- Pilatakis, G.; Manios, T.; Tzortzakis, N. The use of primary and secondary treated municipal wastewater for cucumber irrigation in hydroponic system. Water Pract. Technol. 2013, 8, 433–439. [Google Scholar] [CrossRef]
- Manios, T.; Papagrigoriou, I.; Daskalakis, G.; Sabathianakis, I.; Terzakis, S.; Maniadakis, K.; Markakis, G. Evaluation of Primary and Secondary Treated and Disinfected Wastewater Irrigation of Tomato and Cucumber Plants Under Greenhouse Conditions, Regarding Growth and Safety Considerations. Water Environ. Res. 2006, 78, 797–804. [Google Scholar] [CrossRef]
- Petousi, I.; Fountoulakis, M.S.; Tzortzakis, N.; Dokianakis, S.; Stentiford, E.I.; Manios, T. Occurrence of micro-pollutants in a soil-radish system irrigated with several types of treated domestic wastewater. Water. Air. Soil Pollut. 2014, 225, 1–8. [Google Scholar] [CrossRef]
- Kiziloglu, F.M.; Turan, M.; Sahin, U.; Kuslu, Y.; Dursun, A. Effects of untreated and treated wastewater irrigation on some chemical properties of cauliflower (Brassica olerecea L. var. botrytis) and red cabbage (Brassica olerecea L. var. rubra) grown on calcareous soil in Turkey. Agric. Water Manag. 2008, 95, 716–724. [Google Scholar]
- Cirelli, G.L.; Consoli, S.; Licciardello, F.; Aiello, R.; Giuffrida, F.; Leonardi, C. Treated municipal wastewater reuse in vegetable production. Agric. Water Manag. 2012, 104, 163–170. [Google Scholar] [CrossRef]
- Aiello, R.; Cirelli, G.L.; Consoli, S. Effects of reclaimed wastewater irrigation on soil and tomato fruits: A case study in Sicily (Italy). Agric. Water Manag. 2007, 93, 65–72. [Google Scholar] [CrossRef]
- Lubello, C.; Gori, R.; Nicese, F.P.; Ferrini, F. Municipal-treated wastewater reuse for plant nurseries irrigation. Water Res. 2004, 38, 2939–2947. [Google Scholar] [CrossRef] [PubMed]
- Tzortzakis, N.; Gouma, S.; Paterakis, C.; Manios, T. Deployment of municipal solid wastes as a substitute growing medium component in marigold and basil seedlings production. Sci. World J. 2012, 2012. [Google Scholar] [CrossRef] [PubMed]
- Stamatakis, A.; Chrysargyris, A. Municipal Solid Waste Compost (MSWC) in pot culture growing media in Greece. In Municipal Solid Waste: Management Strategies, Challenges and Future Directions; Tzortzakis, Ν., Ed.; Nova Science Publishers: New York, NY, USA, 2017; pp. 387–414. [Google Scholar]
- Xylia, P.; Clark, A.; Chrysargyris, A.; Romanazzi, G.; Tzortzakis, N. Quality and safety attributes on shredded carrots by using Origanum majorana and ascorbic acid. Postharvest Biol. Technol. 2019, 155, 120–129. [Google Scholar] [CrossRef]
- Tzortzakis, N.G.; Tzanakaki, K.; Economakis, C.D.C.D. Effect of origanum oil and vinegar on the maintenance of postharvest quality of tomato. Food Nutr. Sci. 2011, 02, 974–982. [Google Scholar] [CrossRef][Green Version]
- Dagianta, E.; Goumas, D.; Manios, T.; Tzortzakis, N. The use of treated wastewater and fertigation in greenhouse pepper crop as affecting growth and fruit quality. J. Water Reuse Desalin. 2014, 4, 92–99. [Google Scholar] [CrossRef]
- Byamukama, D.; Kansiime, F.; Mach, R.L.; Farnleitner, A.H. Determination of Escherichia coli contamination with chromocult coliform agar showed a high level of discrimination efficiency for differing fecal pollution levels in tropical waters of Kampala, Uganda. Appl. Environ. Microbiol. 2000, 66, 864–868. [Google Scholar] [CrossRef]
- Mami, Y.; Peyvast, G. Substitution of municipal solid waste compost for peat in cucumber transplant production. J. Hortic. For. 2010, 2, 154–160. [Google Scholar]
- Gautam, S.P.; Bundela, P.S.; Pandey, A.K.; Awasthi, M.K.; Sarsaiya, S. Composting of municipal solid waste of Jabalpur city. Glob. J. Environ. Res. 2010, 4, 43–46. [Google Scholar]
- Zhang, M.; Heaney, D.; Henriquez, B.; Solberg, E.; Bittner, E. A four-year study on influence of biosolids/msw cocompost application in less productive soils in alberta: Nutrient dynamics. Compos. Sci. Util. 2006, 14, 68–80. [Google Scholar] [CrossRef]
- Kałuza-Haładyn, A.; Jamroz, E.; Bekier, J. Humic substances of differently matured composts produced from municipal solid wastes and biomass of energetic plants. Soil Sci. Annu. 2020, 70, 292–297. [Google Scholar] [CrossRef]
- Weber, J.; Karczewska, A.; Drozd, J.; Licznar, M.; Licznar, S.; Jamroz, E.; Kocowicz, A. Agricultural and ecological aspects of a sandy soil as affected by the application of municipal solid waste composts. Soil Biol. Biochem. 2007, 39, 1294–1302. [Google Scholar] [CrossRef]
- Montemurro, F.; Maiorana, M.; Convertini, G.; Ferri, D. Alternative sugar beet production using shallow tillage and municipal solid waste fertiliser. Agron. Sustain. Dev. 2007, 27, 129–137. [Google Scholar] [CrossRef]
- Asgharipour, M.R.; Armin, M. Growth and elemental accumulation of tomato seedlings grown in composted solid waste soil amended. Am.-Eurasian J. Sustain. Agric. 2010, 4, 94–101. [Google Scholar]
- Stevenson, F.J. Humus Chemistry: Genesis, Composition, Reactions, 2nd ed.; John Wiley & Sons: New York, NY, USA, 1994. [Google Scholar]
- Noguera, P.; Abad, M.; Puchades, R.; Maquieira, A.; Noguera, V. Influence of particle size on physical and chemical properties of coconut corrı´ dust as a container medium. Commun. Soil Sci. Plant Anal. 2003, 34, 593–605. [Google Scholar] [CrossRef]
- Rietz, D.N.; Haynes, R.J. Effects of irrigation—Induced salinity and sodicity on soil microbial activity. Soil Biol. Biochem. 2003, 35, 845–854. [Google Scholar] [CrossRef]
- Karak, T.; Sonar, I.; Paul, R.K.; Frankowski, M.; Boruah, R.K.; Dutta, A.K.; Das, D.K. Aluminium dynamics from soil to tea plant (Camellia sinensis L.): Is it enhanced by municipal solid waste compost application? Chemosphere 2015, 119, 917–926. [Google Scholar] [CrossRef]
- Lakhdar, A.; Falleh, H.; Ouni, Y.; Oueslati, S.; Debez, A.; Ksouri, R.; Abdelly, C. Municipal solid waste compost application improves productivity, polyphenol content, and antioxidant capacity of Mesembryanthemum edule. J. Hazard. Mater. 2011, 191, 373–379. [Google Scholar] [CrossRef]
- Shanmugam, G.S.; Warman, P.R. Soil and plant response to organic amendments to three strawberry cultivars. In Proceedings of the International Humic Substances Society; Martin-Neto, L., Milori, D., DaSilva, W., Eds.; Embrapa: Sao Pedro, Brazil, 2004; pp. 230–232. [Google Scholar]
- Fagnano, M.; Adamo, P.; Zampella, M.; Fiorentino, N. Environmental and agronomic impact of fertilization with composted organic fraction from municipal solid waste: A case study in the region of Naples, Italy. Agric. Ecosyst. Environ. 2011, 141, 100–107. [Google Scholar] [CrossRef]
- Warman, P.R.; Burnham, J.C.; Eaton, L.J. Effects of repeated applications of municipal solid waste compost and fertilizers to three lowbush blueberry fields. Sci. Hortic. 2009, 122, 393–398. [Google Scholar] [CrossRef]
- Shahalam, A.; Abu Zahra, B.M.; Jaradat, A. Wastewater irrigation effect on soil, crop and environment: A pilot scale study at Irbid, Jordan. Water. Air. Soil Pollut. 1998, 106, 425–445. [Google Scholar] [CrossRef]
- Najafi, S.; Mousavi, F.; Feizi, M. Effects of using sub surface drip in irrigation of tomato and eggplant with treated municipal wastewater. Iran. J. Soil Water Sci. 2006, 20, 155–164. [Google Scholar]
- Mañas, P.; Castro, E.; De Las Heras, J. Irrigation with treated wastewater: Effects on soil, lettuce (Lactuca sativa L.) crop and dynamics of microorganisms. J. Environ. Sci. Health—Part A 2009, 44, 1261–1273. [Google Scholar] [CrossRef]
- Papafilippaki, A.; Nikolaidis, N.P. Comparative study of wild and cultivated populations of Cichorium spinosum: The influence of soil and organic matter addition. Sci. Hortic. 2020, 261, 108942. [Google Scholar] [CrossRef]
- Papafilippaki, A.; Paranychianakis, N.; Nikolaidis, N.P. Effects of soil type and municipal solid waste compost as soil amendment on Cichorium spinosum (spiny chicory) growth. Sci. Hortic. 2015, 195, 195–205. [Google Scholar] [CrossRef]
- Tzortzakis, N.G.; Economakis, C.D. Maintaining Postharvest Quality of the Tomato. J. Food Qual. 2007, 30, 567–580. [Google Scholar] [CrossRef]
- Hargreaves, J.C.; Adl, M.S.; Warman, P.R.; Warman, P.R. The Effects of Municipal Solid Waste Compost And Compost Tea on Mineral Element Uptake And Fruit Quality of Strawberries. Compos. Sci. Util. 2009, 17, 85–94. [Google Scholar] [CrossRef]
- Al-Lahham, O.; El Assi, N.M.; Fayyad, M. Impact of treated wastewater irrigation on quality attributes and contamination of tomato fruit. Agric. Water Manag. 2003, 61, 51–62. [Google Scholar] [CrossRef]
- Scherer, R.; Lemos, M.F.; Lemos, M.F.; Martinelli, G.C.; Martins, J.D.L.; da Silva, A.G. Antioxidant and antibacterial activities and composition of Brazilian spearmint (Mentha spicata L.). Ind. Crops Prod. 2013, 50, 408–413. [Google Scholar] [CrossRef]
- Zavadil, J. The effect of municipal wastewater irrigation on the yield and quality of vegetables and crops. Soil Water Res. 2009, 4, 91–103. [Google Scholar] [CrossRef]
- Gattullo, C.E.; Mininni, C.; Parente, A.; Montesano, F.F.; Allegretta, I.; Terzano, R. Effects of municipal solid waste- and sewage sludge-compost-based growing media on the yield and heavy metal content of four lettuce cultivars. Environ. Sci. Pollut. Res. 2017, 24, 25406–25415. [Google Scholar] [CrossRef] [PubMed]
- Mohammad, M.J.; Mazahreh, N. Changes in soil fertility parameters in response to irrigation of forage crops with secondary treated wastewater. Commun. Soil Sci. Plant Anal. 2003, 34, 1281–1294. [Google Scholar] [CrossRef]








| Organic Matter (%) | Organic C (%) | pH | EC (mS cm−1) | Total N (%) | C/N | P (mg kg−1) | K (mg kg−1) | Na (mg kg−1) | |
|---|---|---|---|---|---|---|---|---|---|
| 0% C | 0.825 | 0.48 | 6.94 | 0.71 | 0.014 | 21.7 | 21.73 | 5.55 | 0.32 | 
| 5% C | 1.513 | 0.88 | 7.17 | 1.38 | 0.024 | 31.9 | 31.97 | 11.38 | 10.24 | 
| 10% C | 2.098 | 1.22 | 7.33 | 2.03 | 0.056 | 53.8 | 53.79 | 25.93 | 26.11 | 
| 20% C | 2.304 | 1.34 | 7.51 | 3.39 | 0.081 | 58.4 | 58.45 | 43.40 | 40.99 | 
| 40% C | 4.506 | 2.61 | 7.58 | 7.35 | 0.168 | 79.8 | 79.88 | 124.37 | 117.02 | 
| Compost | Height (cm) | Leaf No | Flower No | Stem Diameter (mm) | Biomass (g plant−1) | Biomass Dry Content (%) | |
|---|---|---|---|---|---|---|---|
| Water/-Fert (W) | 0% C | 115.83 ± 9.37a | 12.3 ± 0.9a | 5.1 ± 0.7b | 8.01 ± 0.43b | 315.51 ± 13.23b | 35.67 ± 1.97a | 
| 5% C | 96.91 ± 6.10a | 13.3 ± 1.2a | 4.8 ± 0.7b | 8.57 ± 0.46b | 320.80 ± 8.62ab | 37.50 ± 3.12a | |
| 10% C | 106.50 ± 9.99a | 13.1 ± 1.4a | 7.1 ± 0.9ab | 9.26 ± 0.24ab | 345.67 ± 18.09ab | 36.33 ± 8.41a | |
| 20% C | 109.41 ± 9.09a | 13.0 ± 1.5a | 5.6 ± 1.3b | 8.75 ± 0.59ab | 360.05 ± 21.99a | 34.61 ± 5.18a | |
| 40% C | 108.66 ± 8.98a | 13.3 ± 1.0a | 8.6 ± 0.8a | 9.93 ± 0.31a | 376.08 ± 17.48a | 35.55 ± 5.51a | |
| Water/+Fert (W+F) | 0% C | 120.08 ± 13.99a | 13.3 ± 1.7b | 8.3 ± 0.8ab | 8.08 ± 0.57b | 331.55 ± 20.03c | 39.65 ± 4.88a | 
| 5% C | 137.66 ± 8.19a | 16.8 ± 1.1a | 7.8 ± 0.9b | 9.29 ± 0.40ab | 398.70 ± 6.22b | 28.81 ± 2.15b | |
| 10% C | 136.33 ± 9.99a | 18.3 ± 0.9a | 11.1 ± 1.0a | 9.62 ± 0.57a | 401.65 ± 16.36b | 30.46 ± 2.93b | |
| 20% C | 125.5 ± 4.19a | 16.0 ± 0.8a | 10.9 ± 1.1a | 9.72 ± 0.44a | 442.51 ± 19.74b | 25.38 ± 1.24b | |
| 40% C | 125.75 ± 3.49a | 17.0 ± 0.5a | 10.8 ± 1.0a | 9.71 ± 0.32a | 514.73 ± 20.21a | 21.58 ± 1.48b | |
| Treated wastewater/-Fert (TWW) | 0% C | 120.66 ± 11.66a | 15.8 ± 1.8a | 9.8 ± 1.6a | 8.75 ± 0.25a | 400.21 ± 17.38b | 23.87 ± 0.65a | 
| 5% C | 114.50 ± 6.22a | 15.5 ± 1.0a | 8.5 ± 0.8a | 8.51 ± 0.44a | 382.67 ± 23.20b | 26.18 ± 1.59a | |
| 10% C | 125.33 ± 4.22a | 18.3 ± 0.6a | 8.0 ± 0.7a | 9.58 ± 0.58a | 449.53 ± 15.73ab | 21.34 ± 0.86a | |
| 20% C | 107.33 ± 4.51a | 18.1 ± 1.6a | 8.3 ± 0.8a | 8.54 ± 0.23a | 429.46 ± 12.13ab | 21.80 ± 0.85a | |
| 40% C | 120.66 ± 7.37a | 16.8 ± 1.3a | 7.6 ± 1.3a | 9.87 ± 0.79a | 501.86 ± 39.79a | 21.49 ± 1.46a | |
| Treated wastewater/+Fert (TWW+F) | 0% C | 137.00 ± 6.97a | 18.5 ± 0.7a | 11.1 ± 0.9a | 9.25 ± 0.67a | 451.55 ± 18.43b | 22.14 ± 1.29ab | 
| 5% C | 138.83 ± 11.82a | 19.3 ± 1.9a | 12.3 ± 2.5a | 9.37 ± 0.63a | 507.48 ± 48.99ab | 22.74 ± 1.14a | |
| 10% C | 131.00 ± 6.47a | 20.6 ± 1.6a | 11.1 ± 1.7a | 9.02 ± 0.61a | 474.61 ± 16.81ab | 21.70 ± 1.11ab | |
| 20% C | 132.83 ± 6.26a | 21.1 ± 1.6a | 12.5 ± 1.2a | 9.40 ± 0.36a | 545.28 ± 56.91ab | 19.35 ± 1.72b | |
| 40% C | 129.83 ± 4.05a | 21.1 ± 1.8a | 10.1 ± 0.9a | 10.07 ± 0.33a | 571.45 ± 15.90a | 19.31 ± 1.09b | 
| Compost | N | K | P | Na | |
|---|---|---|---|---|---|
| Water/-Fert (W) | 0% C | 44.52 ± 0.77bc | 51.15 ± 0.88c | 1.17 ± 0.04a | 8.56 ± 0.56c | 
| 5% C | 33.22 ± 2.76c | 38.18 ± 3.17c | 1.11 ± 0.04a | 10.94 ± 0.68c | |
| 10% C | 37.85 ± 11.06c | 43.51 ± 9.71c | 1.12 ± 0.04a | 9.24 ± 4.41c | |
| 20% C | 61.32 ± 5.98b | 78.08 ± 6.16b | 1.17 ± 0.05a | 24.17 ± 0.91b | |
| 40% C | 85.54 ± 5.56a | 109.99 ± 9.66a | 1.16 ± 0.02a | 41.47 ± 5.13a | |
| Water/+Fert (W+F) | 0% C | 58.09 ± 11.92b | 66.77 ± 13.68b | 1.26 ± 0.03a | 15.34 ± 1.22c | 
| 5% C | 50.86 ± 1.81b | 58.46 ± 2.08b | 1.21 ± 0.04a | 13.99 ± 1.48c | |
| 10% C | 63.32 ± 10.11b | 72.76 ± 12.42b | 1.28 ± 0.03a | 24.17 ± 4.71bc | |
| 20% C | 63.84 ± 8.45b | 75.41 ± 8.48b | 1.21 ± 0.02a | 30.95 ± 4.81b | |
| 40% C | 99.52 ± 0.25a | 133.93 ± 2.91a | 1.18 ± 0.01a | 45.88 ± 4.33a | |
| Treated wastewater/-Fert (TWW) | 0% C | 32.64 ± 1.51b | 37.52 ± 1.73b | 1.35 ± 0.05a | 49.95 ± 7.32b | 
| 5% C | 38.71 ± 2.29b | 44.51 ± 2.64b | 1.38 ± 0.02a | 49.24 ± 1.17b | |
| 10% C | 55.49 ± 13.01ab | 63.78 ± 14.95b | 1.21 ± 0.07a | 52.66 ± 6.47b | |
| 20% C | 47.54 ± 6.72b | 60.79 ± 8.67b | 1.35 ± 0.01a | 49.61 ± 2.65b | |
| 40% C | 76.98 ± 7.99a | 98.69 ± 11.65a | 1.32 ± 0.09a | 86.93 ± 5.61a | |
| Treated wastewater/+Fert (TWW+F) | 0% C | 32.45 ± 5.65b | 38.85 ± 7.61b | 1.31 ± 0.08a | 48.61 ± 12.65a | 
| 5% C | 49.42 ± 5.94ab | 56.81 ± 6.82ab | 1.21 ± 0.02a | 48.59 ± 8.84a | |
| 10% C | 55.21 ± 2.79ab | 63.95 ± 3.21ab | 1.36 ± 0.04a | 47.91 ± 4.41a | |
| 20% C | 61.86 ± 4.26a | 71.09 ± 4.89ab | 1.27 ± 0.09a | 63.18 ± 8.32a | |
| 40% C | 65.16 ± 9.41a | 84.06 ± 11.62a | 1.18 ± 0.07a | 57.41 ± 9.45a | 
| Compost | Color L* | Color a* | Color b* | Color Index | |
|---|---|---|---|---|---|
| Water/-Fert (W) | 0% C | 34.76 ± 0.92a | 18.38 ± 0.79a | 15.29 ± 1.18a | 33.88 ± 2.19a | 
| 5% C | 38.01 ± 2.20a | 16.24 ± 2.66a | 17.11 ± 2.04a | 31.32 ± 4.76a | |
| 10% C | 35.61 ± 0.85a | 15.47 ± 0.91a | 14.99 ± 0.91a | 30.26 ± 2.12a | |
| 20% C | 36.49 ± 0.98a | 17.39 ± 2.12a | 14.61 ± 0.73a | 32.45 ± 4.24a | |
| 40% C | 36.48 ± 1.01a | 16.56 ± 1.72a | 15.14 ± 0.93a | 34.57 ± 3.61a | |
| Water/+Fert (W+F) | 0% C | 36.71 ± 0.88a | 16.81 ± 1.18b | 16.38 ± 0.98a | 30.59 ± 2.71a | 
| 5% C | 35.06 ± 1.36a | 16.78 ± 1.72b | 13.82 ± 0.78a | 37.45 ± 3.63a | |
| 10% C | 35.71 ± 0.69a | 18.79 ± 0.77ab | 16.08 ± 1.01a | 34.83 ± 2.25a | |
| 20% C | 35.62 ± 0.67a | 20.51 ± 0.52a | 15.34 ± 0.89a | 38.46 ± 2.72a | |
| 40% C | 36.02 ± 0.63a | 20.32 ± 0.82a | 15.61 ± 0.87a | 37.56 ± 2.12a | |
| Treated wastewater/-Fert (TWW) | 0% C | 34.85 ± 0.93a | 17.76 ± 0.85a | 15.16 ± 1.06ab | 38.36 ± 2.06a | 
| 5% C | 34.15 ± 0.57a | 18.47 ± 0.77a | 13.02 ± 0.32b | 42.96 ± 1.82a | |
| 10% C | 34.74 ± 0.73a | 19.66 ± 0.49a | 14.11 ± 0.91ab | 39.55 ± 3.46a | |
| 20% C | 36.20 ± 0.71a | 19.96 ± 1.33a | 15.75 ± 0.78a | 37.41 ± 2.86a | |
| 40% C | 34.20 ± 0.44a | 20.92 ± 0.69a | 13.51 ± 0.46b | 44.64 ± 1.77a | |
| Treated wastewater/+Fert (TWW+F) | 0% C | 35.14 ± 0.68a | 19.77 ± 0.56a | 15.78 ± 0.86a | 36.36 ± 2.21b | 
| 5% C | 36.84 ± 0.69a | 20.49 ± 0.52a | 16.87 ± 0.92a | 34.41 ± 2.02b | |
| 10% C | 35.24 ± 0.91ab | 19.01 ± 1.08a | 14.37 ± 0.74ab | 41.59 ± 2.98a | |
| 20% C | 35.26 ± 0.67ab | 19.59 ± 0.71a | 14.74 ± 0.97ab | 38.67 ± 2.09ab | |
| 40% C | 34.63 ± 0.46b | 19.25 ± 0.57a | 13.75 ± 0.57b | 42.01 ± 2.01a | 
© 2020 by the authors. Licensee MDPI, Basel, Switzerland. This article is an open access article distributed under the terms and conditions of the Creative Commons Attribution (CC BY) license (http://creativecommons.org/licenses/by/4.0/).
Share and Cite
Tzortzakis, N.; Saridakis, C.; Chrysargyris, A. Treated Wastewater and Fertigation Applied for Greenhouse Tomato Cultivation Grown in Municipal Solid Waste Compost and Soil Mixtures. Sustainability 2020, 12, 4287. https://doi.org/10.3390/su12104287
Tzortzakis N, Saridakis C, Chrysargyris A. Treated Wastewater and Fertigation Applied for Greenhouse Tomato Cultivation Grown in Municipal Solid Waste Compost and Soil Mixtures. Sustainability. 2020; 12(10):4287. https://doi.org/10.3390/su12104287
Chicago/Turabian StyleTzortzakis, Nikolaos, Christos Saridakis, and Antonios Chrysargyris. 2020. "Treated Wastewater and Fertigation Applied for Greenhouse Tomato Cultivation Grown in Municipal Solid Waste Compost and Soil Mixtures" Sustainability 12, no. 10: 4287. https://doi.org/10.3390/su12104287
APA StyleTzortzakis, N., Saridakis, C., & Chrysargyris, A. (2020). Treated Wastewater and Fertigation Applied for Greenhouse Tomato Cultivation Grown in Municipal Solid Waste Compost and Soil Mixtures. Sustainability, 12(10), 4287. https://doi.org/10.3390/su12104287
 
        



 
       