Multi-Period Planning of Hydrogen Supply Network for Refuelling Hydrogen Fuel Cell Vehicles in Urban Areas
Abstract
1. Introduction
2. Problem Description
3. Optimization Model
- Sets and Indices
- : The set of demand nodes;
- : The set of candidate sites for hydrogen refuelling station;
- : The set of candidate sites for hydrogen refuelling station that can cover demand node i;
- : The set of candidate sites for hydrogen production base;
- : The set of candidate sites for hydrogen production base that can cover hydrogen refuelling station site j;
- : The set of planning periods (year).
- Parameters
- : Travel distance between demand node i and hydrogen refuelling station site j;
- : Travel distance between hydrogen refuelling station site j and hydrogen production base site k;
- : The number of HFCVs at demand node i in time period t;
- : The number of hydrogen refuelling stations to be built in time period t;
- : The number of hydrogen production bases to be built in time period t;
- : The number of hydrogen refuelling stations that can be covered by hydrogen production base k in time period t;
- p: Weight used to control the importance of two types of distance terms in the objective function.
- Decision Variables
- : 1 if hydrogen refuelling station j is in operation in time period t, 0 otherwise;
- : 1 if demand node i is covered by hydrogen refuelling station j in time period t, 0 otherwise;
- : 1 if hydrogen refuelling station j is built in time period t;
- : 1 if hydrogen production base k is in operation in time period t;
- : 1 if hydrogen production base k is constructed in time period t;
- : 1 if hydrogen refuelling station j is covered by hydrogen production base k in time period t.
4. Case Study: Area and Data
5. Results and Discussion
5.1. Comparison of Different Scenarios
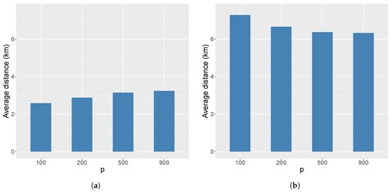
5.2. Sensitivity Analysis
5.3. Discussion
- If the hydrogen supply network is established early in the development of the hydrogen economy, the distance between the driver and the hydrogen station and the distance between the hydrogen station and the hydrogen production base are considerably reduced, which can increase convenience. Depending on the scenario, the average travel distance varies by more than 20%.
- If a sufficient hydrogen supply network is established by 2030, the average travel distance for hydrogen refuelling and hydrogen supply will be reduced by about half compared to 2021.
- The average travel distance for hydrogen refuelling and hydrogen supply is very sensitive to the parameter p, the number of hydrogen stations and the number of production bases.
6. Conclusions
Author Contributions
Funding
Conflicts of Interest
References
- McDowall, W.; Eames, M. Forecasts, scenarios, visions, backcasts and roadmaps to the hydrogen economy: A review of the hydrogen futures literature. Energy Policy 2006, 34, 1236–1250. [Google Scholar] [CrossRef]
- Hydrogen Council. Hydrogen Scaling Up, a Sustainable Pathway for the Global Energy Transition; Hydrogen Council: Brussels, Belgium, 2017. [Google Scholar]
- Hydrogen Council. Path to Hydrogen Competitiveness: A Cost Perspective; Hydrogen Council: Brussels, Belgium, 2020. [Google Scholar]
- Korean Ministry of Trade, Industry and Energy. Roadmap towards a Hydrogen Economy; Korean Ministry of Trade, Industry and Energy: Sejong City, Korea, 2019.
- Korean Ministry of Trade, Industry and Energy. The Act on the Promotion of Hydrogen Economy and Hydrogen Safety Management; Korean Ministry of Trade, Industry and Energy: Sejong City, Korea, 2020.
- Wulf, C.; Kaltschmitt, M. Hydrogen supply chains for mobility-environmental and economic assessment. Sustainability 2018, 10, 1699. [Google Scholar] [CrossRef]
- Valente, A.; Iribarren, D.; Candelaresi, D.; Spazzafumo, G.; Dufour, J. Using harmonised life-cycle indicators to explore the role of hydrogen in the environmental performance of fuel cell electric vehicles. Int. J. Hydrog. Energy 2019, in press. [Google Scholar] [CrossRef]
- Hwang, J.J. Sustainability study of hydrogen pathways for fuel cell vehicle applications. Renew. Sustain. Energy Rev. 2013, 19, 220–229. [Google Scholar] [CrossRef]
- Ozawa, A.; Inoue, M.; Kitagawa, N.; Muramatsu, R.; Anzai, Y.; Genchi, Y.; Kudoh, Y. Assessing uncertainties of Well-to-Tank greenhouse gas emissions from hydrogen supply chains. Sustainability 2017, 9, 1101. [Google Scholar] [CrossRef]
- Wulf, C.; Kaltschmitt, M. Life cycle assessment of hydrogen supply chain with special attention on hydrogen refuelling stations. Int. J. Hydrog. Energy 2012, 37, 16711–16721. [Google Scholar] [CrossRef]
- Burkhardt, J.; Patyk, A.; Tanguy, P.; Retzke, C. Hydrogen mobility from wind energy—A life cycle assessment focusing on the fuel supply. Appl. Energy 2016, 181, 54–64. [Google Scholar] [CrossRef]
- Li, L.; Manier, H.; Manier, M.A. Hydrogen supply chain network design: An optimization-oriented review. Renew. Sustain. Energy Rev. 2019, 103, 342–360. [Google Scholar] [CrossRef]
- Kurtz, J.; Sprik, S.; Bradley, T.H. Review of transportation hydrogen infrastructure performance and reliability. Int. J. Hydrog. Energy 2019, 44, 12010–12023. [Google Scholar] [CrossRef]
- Dagdougui, H. Models, methods and approaches for the planning and design of the future hydrogen supply chain. Int. J. Hydrog. Energy 2012, 37, 5318–5327. [Google Scholar] [CrossRef]
- Agnolucci, P.; McDowall, W. Designing future hydrogen infrastructure: Insights from analysis at different spatial scales. Int. J. Hydrog. Energy 2013, 38, 5181–5191. [Google Scholar] [CrossRef]
- Alazemi, J.; Andrews, J. Automotive hydrogen fuelling stations: An international review. Renew. Sustain. Energy Rev. 2015, 48, 483–499. [Google Scholar] [CrossRef]
- Ko, J.; Gim, T.H.T.; Guensler, R. Locating refuelling stations for alternative fuel vehicles: A review on models and applications. Transp. Rev. 2017, 37, 551–570. [Google Scholar] [CrossRef]
- ReVelle, C.S.; Swain, R.W. Central facilities location. Geogr. Anal. 1970, 2, 30–42. [Google Scholar] [CrossRef]
- Kitamura, R.; Sperling, D. Refuelling behavior of automobile drivers. Transp. Res. Part A Gen. 1987, 21, 235–245. [Google Scholar] [CrossRef]
- Nicholas, M.A.; Handy, S.L.; Sperling, D. Using geographic information systems to evaluate siting and networks of hydrogen stations. Transp. Res. Record 2004, 1880, 126–134. [Google Scholar] [CrossRef]
- Lin, Z.; Ogden, J.; Fan, Y.; Chen, C.W. The fuel-travel-back approach to hydrogen station siting. Int. J. Hydrog. Energy 2008, 33, 3096–3101. [Google Scholar] [CrossRef]
- Lin, R.; Ye, Z.; Guo, Z.; Wu, B. Hydrogen station location optimization based on multiple data sources. Int. J. Hydrog. Energy 2020, 45, 10270–10279. [Google Scholar] [CrossRef]
- Agnolucci, P.; Akgul, O.; McDowall, W.; Papageorgiou, L.G. The importance of economies of scale, transport costs and demand patterns in optimising hydrogen fuelling infrastructure: An exploration with SHIPMod. Int. J. Hydrog. Energy 2013, 38, 11189–11201. [Google Scholar] [CrossRef]
- Almansoori, A.; Betancourt-Torcat, A. Design of optimization model for a hydrogen supply chain under emission constraints-a case study of Germany. Energy 2016, 111, 414–429. [Google Scholar] [CrossRef]
- Almansoori, A.; Shah, N. Design and operation of a stochastic hydrogen supply chain network under demand uncertainty. Int. J. Hydrog. Energy 2012, 37, 3965–3977. [Google Scholar] [CrossRef]
- Almaraz, S.D.L.; Azzaro-Pantel, C.; Montastruc, L.; Pibouleau, L.; Senties, O.B. Assessment of mono and multi-objective optimization to design a hydrogen supply chain. Int. J. Hydrog. Energy 2013, 38, 14121–14145. [Google Scholar] [CrossRef]
- Almaraz, S.D.L.; Azzaro-Pantel, C.; Montastruc, L.; Domenech, S. Hydrogen supply chain optimization for deployment scenarios in the midi-pyrenees region, France. Int. J. Hydrog. Energy 2014, 39, 11831–11845. [Google Scholar] [CrossRef]
- Almaraz, S.D.L.; Azzaro-Pantel, C.; Montastruc, L.; Boix, M. Deployment of a hydrogen supply chain by multi-objective/multi-period optimisation at regional and national scales. Chem. Eng. Res. Des. 2015, 104, 11–31. [Google Scholar] [CrossRef]
- Andre, J.; Auray, S.; Brac, J.; De Wolf, D.; Maisonnier, G.; Ould-Sidi, M.M.; Simonnet, A. Design and dimensioning of hydrogen transmission pipeline networks. Eur. J. Oper. Res. 2013, 229, 239–251. [Google Scholar] [CrossRef]
- Andre, J.; Auray, S.; De Wolf, D.; Memmah, M.M.; Simonnet, A. Time development of new hydrogen transmission pipeline networks for France. Int. J. Hydrog. Energy 2014, 39, 10323–10337. [Google Scholar] [CrossRef]
- Bique, A.O.; Zondervan, E. An outlook towards hydrogen supply chain networks in 2050? Design of novel fuel infrastructures in Germany. Chem. Eng. Res. Des. 2018, 134, 90–103. [Google Scholar] [CrossRef]
- Brey, J.J.; Carazo, A.F.; Brey, R. Using AHP and binary integer programming to optimize the initial distribution of hydrogen infrastructures in Andalusia. Int. J. Hydrog. Energy 2012, 37, 5372–5384. [Google Scholar] [CrossRef]
- Cho, S.; Woo, Y.B.; Kim, B.S.; Kim, J. Optimization-based planning of a biomass to hydrogen (B2H2) system using dedicated energy crops and waste biomass. Biomass Bioenergy 2016, 87, 144–155. [Google Scholar] [CrossRef]
- Dagdougui, H.; Ouammi, A.; Sacile, R. Modelling and control of hydrogen and energy flows in a network of green hydrogen refuelling stations powered by mixed renewable energy systems. Int. J. Hydrog. Energy 2012, 37, 5360–5371. [Google Scholar] [CrossRef]
- Dayhim, M.; Jafari, M.A.; Mazurek, M. Planning sustainable hydrogen supply chain infrastructure with uncertain demand. Int. J. Hydrog. Energy 2014, 39, 6789–6801. [Google Scholar] [CrossRef]
- Gim, B.; Boo, K.J.; Cho, S.M. A transportation model approach for constructing the cost effective central hydrogen supply system in Korea. Int. J. Hydrog. Energy 2012, 37, 1162–1172. [Google Scholar] [CrossRef]
- Han, J.H.; Ryu, J.H.; Lee, I.B. Modeling the operation of hydrogen supply networks considering facility location. Int. J. Hydrog. Energy 2012, 37, 5328–5346. [Google Scholar] [CrossRef]
- Han, J.H.; Ryu, J.H.; Lee, I.B. Multi-objective optimization design of hydrogen infrastructures simultaneously considering economic cost, safety and CO2 emission. Chem. Eng. Res. Des. 2013, 91, 1427–1439. [Google Scholar] [CrossRef]
- He, C.; Sun, H.; Xu, Y.; Lv, S. Hydrogen refuelling station siting of expressway based on the optimization of hydrogen life cycle cost. Int. J. Hydrog. Energy 2017, 42, 16313–16324. [Google Scholar] [CrossRef]
- Honma, Y.; Kuby, M. Node-based vs. path-based location models for urban hydrogen refuelling stations: Comparing convenience and coverage abilities. Int. J. Hydrog. Energy 2019, 44, 15246–15261. [Google Scholar] [CrossRef]
- Hwangbo, S.; Lee, I.B.; Han, J. Mathematical model to optimize design of integrated utility supply network and future global hydrogen supply network under demand uncertainty. Appl. Energy 2017, 195, 257–267. [Google Scholar] [CrossRef]
- Johnson, N.; Ogden, J. A spatially-explicit optimization model for long-term hydrogen pipeline planning. Int. J. Hydrog. Energy 2012, 37, 5421–5433. [Google Scholar] [CrossRef]
- Konda, N.M.; Shah, N.; Brandon, N.P. Optimal transition towards a large-scale hydrogen infrastructure for the transport sector: The case for the Netherlands. Int. J. Hydrog. Energy 2011, 36, 4619–4635. [Google Scholar] [CrossRef]
- Krishnan, V.; Gonzalez-Marciaga, L.; McCalley, J. A planning model to assess hydrogen as an alternative fuel for national light-duty vehicle portfolio. Energy 2014, 73, 943–957. [Google Scholar] [CrossRef]
- Lahnaoui, A.; Wulf, C.; Heinrichs, H.; Dalmazzone, D. Optimizing hydrogen transportation system for mobility by minimizing the cost of transportation via compressed gas truck in North Rhine-Westphalia. Appl. Energy 2018, 223, 317–328. [Google Scholar] [CrossRef]
- Kim, M.; Kim, J. Optimization model for the design and analysis of an integrated renewable hydrogen supply (IRHS) system: Application to Korea’s hydrogen economy. Int. J. Hydrog. Energy 2016, 41, 16613–16626. [Google Scholar] [CrossRef]
- Kim, M.; Kim, J. An integrated decision support model for design and operation of a wind-based hydrogen supply system. Int. J. Hydrog. Energy 2017, 42, 3899–3915. [Google Scholar] [CrossRef]
- Moreno-Benito, M.; Agnolucci, P.; Papageorgiou, L.G. Towards a sustainable hydrogen economy: Optimisation-based framework for hydrogen infrastructure development. Comput. Chem. Eng. 2017, 102, 110–127. [Google Scholar] [CrossRef]
- Nunes, P.; Oliveira, F.; Hamacher, S.; Almansoori, A. Design of a hydrogen supply chain with uncertainty. Int. J. Hydrog. Energy 2015, 40, 16408–16418. [Google Scholar] [CrossRef]
- Ogumerem, G.S.; Kim, C.; Kesisoglou, I.; Diangelakis, N.A.; Pistikopoulos, E.N. A multi-objective optimization for the design and operation of a hydrogen network for transportation fuel. Chem. Eng. Res. Des. 2018, 131, 279–292. [Google Scholar] [CrossRef]
- Parker, N.; Fan, Y.; Ogden, J. From waste to hydrogen: An optimal design of energy production and distribution network. Transp. Res. Part E Logist. Transp. Rev. 2010, 46, 534–545. [Google Scholar] [CrossRef]
- Rosenberg, E.; Fidje, A.; Espegren, K.A.; Stiller, C.; Svensson, A.M.; Moller-Holst, S. Market penetration analysis of hydrogen vehicles in Norwegian passenger transport towards 2050. Int. J. Hydrog. Energy 2010, 35, 7267–7279. [Google Scholar] [CrossRef]
- Sabio, N.; Gadalla, M.; Guillen-Gosalbez, G.; Jimenez, L. Strategic planning with risk control of hydrogen supply chains for vehicle use under uncertainty in operating costs: A case study of Spain. Int. J. Hydrog. Energy 2010, 35, 6836–6852. [Google Scholar] [CrossRef]
- Sabio, N.; Kostin, A.; Guillen-Gosalbez, G.; Jimenez, L. Holistic minimization of the life cycle environmental impact of hydrogen infrastructures using multi-objective optimization and principal component analysis. Int. J. Hydrog. Energy 2012, 37, 5385–5405. [Google Scholar] [CrossRef]
- Samsatli, S.; Staffell, I.; Samsatli, N.J. Optimal design and operation of integrated wind-hydrogen-electricity networks for decarbonising the domestic transport sector in Great Britain. Int. J. Hydrog. Energy 2016, 41, 447–475. [Google Scholar] [CrossRef]
- Stephens-Romero, S.D.; Brown, T.M.; Kang, J.E.; Recker, W.W.; Samuelsen, G.S. Systematic planning to optimize investments in hydrogen infrastructure deployment. Int. J. Hydrog. Energy 2010, 35, 4652–4667. [Google Scholar] [CrossRef]
- Sun, H.; He, C.; Wang, H.; Zhang, Y.; Lv, S.; Xu, Y. Hydrogen station siting optimization based on multi-source hydrogen supply and life cycle cost. Int. J. Hydrog. Energy 2017, 42, 23952–23965. [Google Scholar] [CrossRef]
- Sun, H.; He, C.; Yu, X.; Wu, M.; Ling, Y. Optimal siting and sizing of hydrogen refuelling stations considering distributed hydrogen production and cost reduction for regional consumers. Int. J. Energy Res. 2019, 43, 4184–4200. [Google Scholar] [CrossRef]
- Won, W.; Kwon, H.; Han, J.H.; Kim, J. Design and operation of renewable energy sources based hydrogen supply system: Technology integration and optimization. Renew. Energy 2017, 103, 226–238. [Google Scholar] [CrossRef]
- Hodgson, M.J. A flow-capturing location-allocation model. Geogr. Anal. 1990, 22, 270–279. [Google Scholar] [CrossRef]
- Kuby, M.; Lim, S. The flow-refuelling location problem for alternative-fuel vehicles. Soc. Econ. Plan. Sci. 2005, 39, 125–145. [Google Scholar] [CrossRef]
- MirHassani, S.A.; Ebrazi, R. A flexible reformulation of the refuelling station location problem. Transp. Sci. 2012, 47, 617–628. [Google Scholar] [CrossRef]
- Capar, I.; Kuby, M.; Leon, V.J.; Tsai, Y.J. An arc cover-path-cover formulation and strategic analysis of alternative-fuel station locations. Eur. J. Oper. Res. 2013, 227, 142–151. [Google Scholar] [CrossRef]
- Yıldız, B.; Arslan, O.; Karaşan, O.E. A branch and price approach for routing and refuelling station location model. Eur. J. Oper. Res. 2016, 248, 815–826. [Google Scholar] [CrossRef]
- Lee, C.; Han, J. Benders-and-Price approach for electric vehicle charging station location problem under probabilistic travel range. Transp. Res. Part B Meth. 2017, 106, 130–152. [Google Scholar] [CrossRef]
- Kuby, M.; Lines, L.; Schultz, R.; Xie, Z.; Kim, J.G.; Lim, S. Optimization of hydrogen stations in Florida using the flow-refuelling location model. Int. J. Hydrog. Energy 2009, 34, 6045–6064. [Google Scholar] [CrossRef]
- Upchurch, C.; Kuby, M. Comparing the p-median and flow-refuelling models for locating alternative-fuel stations. J. Transp. Geogr. 2010, 18, 750–758. [Google Scholar] [CrossRef]
- Kim, J.; Lee, Y.; Moon, I. Optimization of a hydrogen supply chain under demand uncertainty. Int. J. Hydrog. Energy 2008, 33, 4715–4729. [Google Scholar] [CrossRef]
- Seo, S.K.; Yun, D.Y.; Lee, C.J. Design and optimization of a hydrogen supply chain using a centralized storage model. Appl. Energy 2020, 262, 114452. [Google Scholar] [CrossRef]
- Ogden, J.; Jaffe, A.M.; Scheitrum, D.; McDonald, Z.; Miller, M. Natural gas as a bridge to hydrogen transportation fuel: Insights from the literature. Energy Policy 2018, 115, 317–329. [Google Scholar] [CrossRef]
- Seoul Metropolitan Government. Hydrogen Leading City, Seoul; Seoul Metropolitan Government: Seoul, Korea, 2018.
- Google Maps. Available online: https://www.google.com/maps (accessed on 16 January 2020).
- Korean Statistical Information Service. Available online: http://www.kosis.kr/eng (accessed on 23 April 2020).
- FICO Xpress Optimization. Available online: https://www.fico.com/fico-xpress-optimization/docs/latest/overview.html (accessed on 16 January 2020).
















| Scope | Spatial Scale | |||||
|---|---|---|---|---|---|---|
| TR | RS | Multi | NAT | REG | URB | |
| Agnolucci et al. [23] | × | × | ||||
| Almansoori and Betancourt-Torcat [24] | × | × | ||||
| Almansoori and Shah [25] | × | × | ||||
| Almaraz et al. [26] | × | × | ||||
| Almaraz et al. [27] | × | × | ||||
| Almaraz et al. [28] | × | × | ||||
| Andre et al. [29] | × | × | ||||
| Andre et al. [30] | × | × | ||||
| Bique and Zondervan [31] | × | × | ||||
| Brey et al. [32] | × | × | ||||
| Cho et al. [33] | × | × | ||||
| Dagdougui et al. [34] | × | × | ||||
| Dayhim et al. [35] | × | × | ||||
| Gim et al. [36] | × | × | ||||
| Han et al. [37] | × | × | ||||
| Han et al. [38] | × | × | ||||
| He et al. [39] | × | × | ||||
| Honma and Kuby [40] | × | × | ||||
| Hwangbo et al. [41] | × | × | ||||
| Johnson and Ogden [42] | × | × | ||||
| Konda et al. [43] | × | × | ||||
| Krishnan et al. [44] | × | × | ||||
| Lahnaoui et al. [45] | × | × | ||||
| Lin et al. [22] | × | × | ||||
| Kim and Kim [46] | × | × | ||||
| Kim and Kim [47] | × | × | ||||
| Moreno-Benito et al. [48] | × | × | ||||
| Nunes et al. [49] | × | × | ||||
| Ogumerem et al. [50] | × | × | ||||
| Parker [51] | × | × | ||||
| Rosenberg et al. [52] | × | × | ||||
| Sabio et al. [53] | × | × | ||||
| Sabio et al. [54] | × | × | ||||
| Samsatli et al. [55] | × | × | ||||
| Stephens-Romero et al. [56] | × | × | ||||
| Sun et al. [57] | × | × | ||||
| Sun et al. [58] | × | × | ||||
| Won et al. [59] | × | × | ||||
© 2020 by the authors. Licensee MDPI, Basel, Switzerland. This article is an open access article distributed under the terms and conditions of the Creative Commons Attribution (CC BY) license (http://creativecommons.org/licenses/by/4.0/).
Share and Cite
Bae, S.; Lee, E.; Han, J. Multi-Period Planning of Hydrogen Supply Network for Refuelling Hydrogen Fuel Cell Vehicles in Urban Areas. Sustainability 2020, 12, 4114. https://doi.org/10.3390/su12104114
Bae S, Lee E, Han J. Multi-Period Planning of Hydrogen Supply Network for Refuelling Hydrogen Fuel Cell Vehicles in Urban Areas. Sustainability. 2020; 12(10):4114. https://doi.org/10.3390/su12104114
Chicago/Turabian StyleBae, Sungmi, Eunhan Lee, and Jinil Han. 2020. "Multi-Period Planning of Hydrogen Supply Network for Refuelling Hydrogen Fuel Cell Vehicles in Urban Areas" Sustainability 12, no. 10: 4114. https://doi.org/10.3390/su12104114
APA StyleBae, S., Lee, E., & Han, J. (2020). Multi-Period Planning of Hydrogen Supply Network for Refuelling Hydrogen Fuel Cell Vehicles in Urban Areas. Sustainability, 12(10), 4114. https://doi.org/10.3390/su12104114
