A Bi-Objective Approach to Minimize Makespan and Energy Consumption in Flow Shops with Peak Demand Constraint
Abstract
1. Introduction
2. Literature Review
3. Problem Statement
3.1. Problem Description
3.2. Mathematical Programming Model
- If job is processed at the kth position on machine with speed , it is 1; else, 0.
- If there is a PM immediately before , ; else, 0.
- If there is a setup immediately before , ; else, 0.
- If is started in the interval and there is a setup before , it is 1; else, 0.
- Actual processing time of .
- Actual energy consumption per unit time when processing .
- Start time of .
- Finish time of .
- Machine’s age immediately before .
- Machine’s age immediately after .
- Energy consumption of machine during the interval.
- Energy consumption of caused by during the interval.
- Energy consumption of caused by idle time before during the interval.
4. Algorithm Designing
4.1. Framework
4.2. Decoding Method
- Step 1.
- Set . Set .
- Step 2.
- Set .
- Step 3.
- Calculate the energy consumption of in the interval, which is . Then, we have . If , then change the speed level of and update . Calculate the finish time of for each machine, which is .
- Step 4.
- Set .
- Step 5.
- If , then set , go to Step 2. Else, if , set , go to Step 6. Else, go to Step 6.
- Step 6.
- If , then set , , go to Step 5; else, go to Step 7.
- Step 7.
- Let be the successor of . Let be the basic processing time of . If , then set and perform a PM to set .
- Step 8.
- Find the earliest allowed start time of , which is . If , then go to Step 9; else, go to Step 11.
- Step 9.
- If , then set , go to Step 5; else, go to Step 10.
- Step 10.
- Calculate the energy consumption of the remaining idle time of this interval, which is . If , then set , , go to Step 5. Else, set , , go to Step 5.
- Step 11.
- If , then try to start the job as early as possible, update , go to Step 12; else, go to Step 14.
- Step 12.
- If the idle consumption between and is smaller than , then set . If the length of this idle time is longer than and , then set . Go to Step 13.
- Step 13.
- If the finish time of is smaller than , then set , consider the next operation in this machine, go to Step 7. Else, this job will be one job started in the interval and finished in the following intervals, set , go to Step 5.
- Step 14.
- If , then set , , go to Step 11. Else, set , go to Step 5.
5. Numerical Results
5.1. Validation of Algorithm
5.2. Impact of Constraints
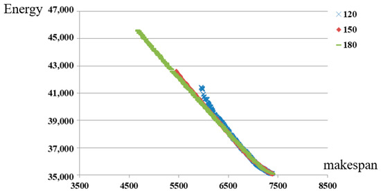
5.3. Comparison between Different Solutions
5.4. Discussions
6. Conclusions
Author Contributions
Funding
Conflicts of Interest
References
- Ribas, I.; Leisten, R.; Framinan, J.M. Review and classification of hybrid flow shop scheduling problems from a production system and a solutions procedure perspective. Comput. Oper. Res. 2010, 37, 1439–1454. [Google Scholar] [CrossRef]
- Yenisey, M.M.; Yagmahan, B. Multi-objective permutation flow shop scheduling problem: Literature review, classification and current trends. Omega 2014, 45, 119–135. [Google Scholar] [CrossRef]
- Komaki, G.M.; Sheikh, S.; Malakooti, B. Flow shop scheduling problems with assembly operations: A review and new trends. Int. J. Prod. Res. 2019, 57, 2926–2955. [Google Scholar] [CrossRef]
- U.S. Energy Information Administration. International Energy Outlook; U.S. Energy Information Administration: Washington, DC, USA, 2016. Available online: http://www.eia.gov/forecasts/ieo/pdf/0484(2016).pdf (accessed on 18 November 2016).
- Dababneh, F.; Li, L. Integrated Electricity and Natural Gas Demand Response for Manufacturers in the Smart Grid. IEEE Trans. Smart Grid 2019, 10, 4164–4174. [Google Scholar] [CrossRef]
- Schipper, M. Energy-Related Carbon Dioxide Emissions in U.S. Manufacturing; Report #: DOE/EIA0573 (2005); Energy Information Administration: Washington, DC, USA, 2005.
- Cui, W.; Sun, H.; Xia, B. Integrating production scheduling, maintenance planning and energy controlling for the sustainable manufacturing systems under TOU tariff. J. Oper. Res. Soc. 2019, in press. [Google Scholar]
- Durr, C.; Jez, Ł.; Vasquez, O.C. Scheduling under dynamic speed-scaling for minimizing weighted completion time and energy consumption. Discret. Appl. Math. 2015, 196, 20–27. [Google Scholar] [CrossRef]
- Cui, Y.; Geng, Z.; Zhu, Q.; Han, Y. Review: Multi-objective optimization methods and application in energy saving. Energy 2017, 125, 681–704. [Google Scholar] [CrossRef]
- Chupka, M.W.; Earle, R.; Fox-Penner, P.; Hledik, R. Transforming America’s Power Industry: The Investment Challenge 2010–2030. Available online: http://www.eei.org/ourissues/finance/Documents/Transforming_Americas_Power_Industry_Exec_ Summary.pdf (accessed on 1 March 2019).
- Cui, W.; Lu, Z.; Li, C.; Han, X. A proactive approach to solve integrated production scheduling and maintenance planning problem in flow shops. Comput. Ind. Eng. 2018, 115, 342–353. [Google Scholar] [CrossRef]
- Abadi, I.N.K.; Hall, N.G.; Sriskandarajah, C. Minimizing cycle time in a blocking flowshop. Oper. Res. 1996, 48, 177–180. [Google Scholar] [CrossRef]
- Aldowaisan, T.; Allahverdi, A. New heuristics for m-machine no-wait flowshop to minimize total completion time. Omega 2004, 32, 345–352. [Google Scholar] [CrossRef]
- Tseng, F.T.; Stafford, E.F. Two MILP models for the N X M SDST flowshop sequencing problem. Int. J. Prod. Res. 2001, 39, 1777–1809. [Google Scholar] [CrossRef]
- Lee, C.Y. Minimizing the Makespan in the Two-Machine Flowshop Scheduling Problem with an Availability Constraint. Oper. Res. Lett. 1997, 20, 129–139. [Google Scholar] [CrossRef]
- Cheng, T.C.E.; Wang, G. An Improved Heuristic for Two-Machine Flowshop Scheduling with an Availability Constraint. Oper. Res. Lett. 2000, 26, 223–229. [Google Scholar] [CrossRef]
- Breit, J. An Improved Approximation Algorithm for Two-Machine Flow Shop Scheduling with an Availability Constraint. Inf. Process. Lett. 2004, 90, 273–278. [Google Scholar] [CrossRef]
- Hadda, H.; Dridi, N.; Hajri-Gabouj, S. An Improved Heuristic for Two-Machine Flowshop Scheduling with an Availability Constraint and Nonresumable Jobs. 4or-Q J. Oper. Res. 2010, 8, 87–99. [Google Scholar] [CrossRef]
- Chihaoui, F.B.; Kacem, I.; Hadj-Alouane, A.B.; Dridi, N.; Rezg, N. No-Wait Scheduling of a Two-Machine FlowShop to Minimise the Makespan under Non-Availability Constraints and Different Release Dates. Int. J. Prod. Res. 2011, 49, 6273–6286. [Google Scholar] [CrossRef]
- Kubiak, W.; Błażewicz, J.; Formanowicz, P.; Breit, J.; Schmidt, G. Two Machine Flow Shops with Limited Machine Availability. Eur. J. Oper. Res. 2002, 136, 528–540. [Google Scholar] [CrossRef]
- Rapine, C. Scheduling of a Two-Machine Flowshop with Availability Constraints on the First Machine. Int. J. Prod. Econ. 2013, 142, 211–212. [Google Scholar] [CrossRef]
- Hadda, H. A Note on ‘Simultaneously Scheduling N Jobs and the Preventive Maintenance on the Two-Machine Flow Shop to Minimize the Makespan’. Int. J. Prod. Econ. 2005, 159, 221–222. [Google Scholar] [CrossRef]
- Aggoune, R.; Portmann, M.C. Flow Shop Scheduling Problem with Limited Machine Availability: A Heuristic Approach. Int. J. Prod. Econ. 2006, 99, 4–15. [Google Scholar] [CrossRef]
- Shoaardebili, N.; Fattahi, P. Multi-Objective MetaHeuristics to Solve Three-Stage Assembly Flow Shop Scheduling Problem with Machine Availability Constraints. Int. J. Prod. Res. 2015, 53, 944–968. [Google Scholar] [CrossRef]
- Cui, W.; Lu, Z.; Zhou, B.H.; Li, C.; Han, X. A hybrid genetic algorithm for non-permutation flow shop scheduling problems with unavailability constraints. Int. J. Comput. Integr. Manuf. 2016, 29, 1–18. [Google Scholar] [CrossRef]
- Aggoune, R. Minimizing the Makespan for the Flow Shop Scheduling Problem with Availability Constraints. Eur. J. Oper. Res. 2004, 153, 534–543. [Google Scholar] [CrossRef]
- Tayeb, F.B.S.; Belkaaloul, W. Towards an Artificial Immune System for Scheduling Jobs and Preventive Maintenance Operations in Flowshop Problems. In Proceedings of the 2014 IEEE 23rd International Symposium on Industrial Electronics (ISIE), Istanbul, Turkey, 1–4 June 2014; pp. 1065–1070. [Google Scholar]
- Liu, Y.; Dong, H.; Lohse, N.; Petrovic, S.; Gindy, N. An investigation into minimising total energy consumption and total weighted tardiness in job shops. J. Clean. Prod. 2014, 65, 87–96. [Google Scholar] [CrossRef]
- Yan, J.; Li, L.; Zhao, F.; Zhang, F.; Zhao, Q. A multi-level optimization approach for energy-efficient flexible flow shop scheduling. J. Clean. Prod. 2016, 137, 1543–1552. [Google Scholar] [CrossRef]
- Li, J.Q.; Sang, H.Y.; Han, Y.Y.; Wang, C.G.; Gao, K.Z. Efficient multi-objective optimization algorithm for hybrid flow shop scheduling problems with setup energy consumptions. J. Clean. Prod. 2018, 181, 584–598. [Google Scholar] [CrossRef]
- Dai, M.; Tang, D.; Giret, A.; Salido, M.A. Multi-objective optimization for energy-efficient flexible job shop scheduling problem with transportation constraints. Robot. Comput. Integr. Manuf. 2019, 59, 143–157. [Google Scholar] [CrossRef]
- Dai, M.; Zhang, Z.; Giret, A.; Salido, M.A. An Enhanced Estimation of Distribution Algorithm for Energy-efficient Job-Shop Scheduling Problems with Transportation Constraints. Sustainability 2019, 11, 3085. [Google Scholar] [CrossRef]
- Mouzon, G.; Yildirim, M. A framework to minimise total energy consumption and total tardiness on a single machine. Int. J. Sustain. Eng. 2008, 1, 105–116. [Google Scholar] [CrossRef]
- Liu, C.G.; Yang, J.; Lian, J.; Li, W.; Evans, S.; Yin, Y. Sustainable performance oriented operational decision-making of single machine systems with deterministic product arrival time. J. Clean. Prod. 2014, 85, 318–330. [Google Scholar] [CrossRef]
- Che, A.; Wu, X.; Peng, J.; Yan, P. Energy-efficient bi-objective single-machine scheduling with power-down mechanism. Comput. Oper. Res. 2017, 85, 172–183. [Google Scholar] [CrossRef]
- Lin, W.; Yu, D.Y.; Zhang, C.; Liu, X.; Zhang, S.; Tian, Y.; Liu, S.; Xie, Z. A multi-objective teaching−learning-based optimization algorithm to scheduling in turning processes for minimizing makespan and carbon footprint. J. Clean. Prod. 2015, 101, 337–347. [Google Scholar] [CrossRef]
- Lu, C.; Gao, L.; Li, X.; Pan, Q.; Wang, Q. Energy-efficient permutation flow shop scheduling problem using a hybrid multi-objective backtracking search algorithm. J. Clean. Prod. 2017, 144, 228–238. [Google Scholar] [CrossRef]
- Liu, Y.; Dong, H.; Lohse, N.; Petrovic, S. A multi-objective genetic algorithm for optimisation of energy consumption and shop floor production performance. Int. J. Prod. Econ. 2016, 179, 259–272. [Google Scholar] [CrossRef]
- Jiang, E.; Wang, L. An improved multi-objective evolutionary algorithm based on decomposition for energy-efficient permutation flow shop scheduling problem with sequence-dependent setup time. Int. J. Prod. Res. 2019, 57, 1756–1771. [Google Scholar] [CrossRef]
- Mansouri, S.A.; Aktas, E.; Besikci, U. Green scheduling of a two-machine flowshop: Trade-off between makespan and energy consumption. Eur. J. Oper. Res. 2016, 248, 772–788. [Google Scholar] [CrossRef]
- Ding, J.Y.; Song, S.; Wu, C. Carbon-efficient scheduling of flow shops by multi-objective optimization. Eur. J. Oper. Res. 2016, 248, 758–771. [Google Scholar] [CrossRef]
- Zhang, R.; Chiong, R. Solving the energy-efficient job shop scheduling problem: A multi-objective genetic algorithm with enhanced local search for minimizing the total weighted tardiness and total energy consumption. J. Clean. Prod. 2016, 112, 3361–3375. [Google Scholar] [CrossRef]
- Lei, D.; Gao, L.; Zheng, Y. A novel teaching-learning-based optimization algorithm for energy-efficient scheduling in hybrid flow shop. IEEE Trans. Eng. Manag. 2018, 65, 330–340. [Google Scholar] [CrossRef]
- Fu, Y.; Tian, G.; Fathollahi-Fard, A.M.; Ahmadi, A.; Zhang, C. Stochastic multi-objective modelling and optimization of an energy-conscious distributed permutation flow shop scheduling problem with the total tardiness constraint. J. Clean. Prod. 2019, 226, 515–525. [Google Scholar] [CrossRef]
- Li, M.; Lei, D.; Cai, J. Two-level imperialist competitive algorithm for energy-efficient hybrid flow shop scheduling problem with relative importance of objectives. Swarm Evol. Comput. 2019, 49, 34–43. [Google Scholar] [CrossRef]
- Wu, X.; Che, A. Energy-efficient no-wait permutation flow shop scheduling by adaptive multi-objective variable neighborhood search. Omega 2019, in press. [Google Scholar] [CrossRef]
- Luo, S.; Zhang, L.; Fan, Y. Energy-efficient scheduling for multi-objective flexible job shops with variable processing speeds by grey wolf optimization. J. Clean. Prod. 2019, 234, 1365–1384. [Google Scholar] [CrossRef]
- Wu, X.; Sun, Y. A green scheduling algorithm for flexible job shop with energy-saving measures. J. Clean. Prod. 2018, 3249–3264. [Google Scholar] [CrossRef]
- Nagasawa, K.; Ikeda, Y.; Irohara, T. Robust flow shop scheduling with random processing times for reduction of peak power consumption. Simul. Model. Pract. Theory 2015, 59, 102–113. [Google Scholar] [CrossRef]
- Sharma, A.; Zhao, F.; Sutherland, J.W. Econological scheduling of a manufacturing enterprise operating under a time-of-use electricity tariff. J. Clean. Prod. 2015, 108, 256–270. [Google Scholar] [CrossRef]
- Wang, Y.; Li, L. Manufacturing profit maximization under time-varying electricity and labor pricing. Comput. Ind. Eng. 2017, 104, 23–34. [Google Scholar] [CrossRef]
- Dababneh, F.; Li, L.; Sun, Z. Peak power demand reduction for combined manufacturing and HVAC system considering heat transfer characteristics. Int. J. Prod. Econ. 2016, 177, 44–52. [Google Scholar] [CrossRef]
- Fang, K.; Uhan, N.A.; Zhao, F.; Sutherland, J.W. Flow shop scheduling with peak power consumption constraints. Ann. Oper. Res. 2013, 206, 115–145. [Google Scholar] [CrossRef]
- Wang, J.J.; Wang, L. Decoding methods for the flow shop scheduling with peak power consumption constraints. Int. J. Prod. Res. 2019, 57, 3200–3218. [Google Scholar] [CrossRef]
- Reeves, C.R.; Gendreau, M. Genetic Algorithms. In Handbook of Meta-heuristics, International Series in Operations Research and Management Science, 2nd ed.; Gendreau, M., Potvin, J.Y., Eds.; Springer: New York, NY, USA, 2010; Volume 146, pp. 109–139. [Google Scholar]
- Yu, C.L.; Semeraro, Q.; Matta, A. A genetic algorithm for the hybrid flow shop scheduling with unrelated machines and machine eligibility. Comput. Oper. Res. 2018, 100, 211–229. [Google Scholar] [CrossRef]
- Zheng, X.; Zhou, S.; Xu, R.; Chen, H.P. Energy-efficient scheduling for multi-objective two-stage flow shop using a hybrid ant colony optimisation algorithm. Int. J. Prod. Res. 2019. [Google Scholar] [CrossRef]
- Bewoor, L.A.; Prakash, V.C.; Sapkal, S.U. Evolutionary Hybrid Particle Swarm Optimization Algorithm for Solving NP-Hard No-Wait Flow Shop Scheduling Problems. Algorithms 2017, 10, 121. [Google Scholar] [CrossRef]
- Deb, K.; Pratap, A.; Agarwal, S.; Meyarivan, T. A fast and elitist multiobjective genetic algorithm: Nsga-ii. IEEE Trans. Evol. Comput. 2002, 6, 182–197. [Google Scholar] [CrossRef]








| Reference | Production Scheduling | Maintenance Planning | Energy Controlling | |||||
|---|---|---|---|---|---|---|---|---|
| Production | Jobs Sequencing | Fixed | Flexible | Objective | On/Off | Speed Selection | Peak Demand | |
| [12,13,14] | √ | √ | ✕ | ✕ | ✕ | ✕ | ✕ | ✕ |
| [15,16,17,18,19,20,21,22,23,24] | √ | √ | √ | ✕ | ✕ | ✕ | ✕ | ✕ |
| [25,26,27] | √ | √ | ✕ | √ | ✕ | ✕ | ✕ | ✕ |
| [28,29,30,31,32] | √ | √ | ✕ | ✕ | √ | ✕ | ✕ | ✕ |
| [33,34,35,36,37,38,39] | √ | √ | ✕ | ✕ | √ | √ | ✕ | ✕ |
| [40,41,42,43,44,45,46,47] | √ | √ | ✕ | ✕ | √ | ✕ | √ | ✕ |
| [48] | √ | √ | ✕ | ✕ | √ | √ | √ | ✕ |
| [49] | √ | √ | ✕ | ✕ | √ | ✕ | ✕ | √ |
| [50] | √ | ✕ | ✕ | ✕ | √ | ✕ | √ | √ |
| [51,52] | √ | ✕ | ✕ | ✕ | √ | √ | ✕ | √ |
| [53,54] | √ | √ | ✕ | ✕ | √ | ✕ | √ | √ |
| This paper | √ | √ | ✕ | √ | √ | √ | √ | √ |
| pt | n | Peak Limit | |||||||||
|---|---|---|---|---|---|---|---|---|---|---|---|
| 120 | 135 | 150 | 165 | 180 | |||||||
| 60 | 50 | 1 | 0 | 1 | 0 | 0.96 | 0 | 1 | 0 | 1 | 0 |
| 100 | 1 | 0 | 1 | 0 | 0.94 | 0 | 0.87 | 0 | 1 | 0 | |
| 200 | 0.98 | 0 | 0.98 | 0 | 0.89 | 0 | 0.77 | 0 | 0.94 | 0 | |
| 180 | 50 | 1 | 0 | 1 | 0 | 1 | 0 | 1 | 0 | 1 | 0 |
| 100 | 1 | 0 | 1 | 0 | 0.98 | 0 | 1 | 0 | 1 | 0 | |
| 200 | 1 | 0 | 1 | 0 | 0.97 | 0 | 1 | 0 | 1 | 0 | |
| 300 | 50 | 1 | 0 | 1 | 0 | 1 | 0 | 1 | 0 | 0.99 | 0 |
| 100 | 1 | 0 | 1 | 0 | 1 | 0 | 1 | 0 | 1 | 0 | |
| 200 | 1 | 0 | 1 | 0 | 1 | 0 | 1 | 0 | 1 | 0 | |
| pt | n | Peak Limit | |||||||||
|---|---|---|---|---|---|---|---|---|---|---|---|
| 120 | 135 | 150 | 165 | 180 | |||||||
| NS-II | CH | NS-II | CH | NS-II | CH | NS-II | CH | NS-II | CH | ||
| 60 | 50 | 200 | 18 | 200 | 25 | 200 | 30 | 200 | 35 | 200 | 37 |
| 100 | 200 | 16 | 200 | 22 | 200 | 27 | 200 | 31 | 200 | 33 | |
| 200 | 200 | 16 | 200 | 21 | 200 | 25 | 200 | 29 | 200 | 32 | |
| 180 | 50 | 200 | 17 | 200 | 23 | 200 | 28 | 200 | 31 | 200 | 33 |
| 100 | 200 | 18 | 200 | 24 | 200 | 28 | 200 | 32 | 200 | 35 | |
| 200 | 200 | 18 | 200 | 24 | 200 | 26 | 200 | 30 | 200 | 33 | |
| 300 | 50 | 200 | 19 | 200 | 23 | 200 | 29 | 200 | 33 | 200 | 34 |
| 100 | 200 | 17 | 200 | 22 | 200 | 26 | 200 | 28 | 200 | 30 | |
| 200 | 200 | 15 | 200 | 21 | 200 | 24 | 200 | 26 | 200 | 29 | |
| pt | n | “Left Solution” | “Right Solution” | ||||||||||
|---|---|---|---|---|---|---|---|---|---|---|---|---|---|
| Peak = 120 | Peak = 150 | Peak = 180 | Peak = 120 | Peak = 150 | Peak = 180 | ||||||||
| Cmax | TEC | Cmax | TEC | Cmax | TEC | Cmax | TEC | Cmax | TEC | Cmax | TEC | ||
| 60 | 50 | 1438 | 10,117 | 1335 | 10,428 | 1127 | 11,355 | 1896 | 8543 | 1903 | 8539 | 1927 | 8531 |
| 100 | 2894 | 20,093 | 2653 | 20,878 | 2208 | 23,036 | 3715 | 17,209 | 3744 | 17,233 | 3708 | 17,230 | |
| 200 | 5958 | 41,418 | 5451 | 42,558 | 4674 | 45,587 | 7387 | 35,092 | 7395 | 35081 | 7396 | 35,072 | |
| 180 | 50 | 1560 | 10,125 | 1333 | 11,102 | 1211 | 11,489 | 2023 | 8545 | 2023 | 8533 | 2023 | 8551 |
| 100 | 3101 | 20,271 | 2896 | 21,022 | 2456 | 22,565 | 4021 | 17,112 | 4030 | 17,146 | 4045 | 17,160 | |
| 200 | 6417 | 40,994 | 5965 | 42,450 | 4871 | 47,640 | 7880 | 35,035 | 7846 | 35,049 | 7852 | 35,060 | |
| 300 | 50 | 1685 | 10,115 | 1422 | 11,246 | 1337 | 11,421 | 2146 | 8536 | 2132 | 8554 | 2139 | 8557 |
| 100 | 3364 | 20,011 | 3032 | 21,367 | 2691 | 22,836 | 4315 | 17,101 | 4411 | 17,075 | 4294 | 17,121 | |
| 200 | 6924 | 40,962 | 5813 | 46,168 | 5288 | 48,373 | 8382 | 35,013 | 8378 | 35,053 | 8448 | 35,035 | |
© 2020 by the authors. Licensee MDPI, Basel, Switzerland. This article is an open access article distributed under the terms and conditions of the Creative Commons Attribution (CC BY) license (http://creativecommons.org/licenses/by/4.0/).
Share and Cite
Cui, W.; Lu, B. A Bi-Objective Approach to Minimize Makespan and Energy Consumption in Flow Shops with Peak Demand Constraint. Sustainability 2020, 12, 4110. https://doi.org/10.3390/su12104110
Cui W, Lu B. A Bi-Objective Approach to Minimize Makespan and Energy Consumption in Flow Shops with Peak Demand Constraint. Sustainability. 2020; 12(10):4110. https://doi.org/10.3390/su12104110
Chicago/Turabian StyleCui, Weiwei, and Biao Lu. 2020. "A Bi-Objective Approach to Minimize Makespan and Energy Consumption in Flow Shops with Peak Demand Constraint" Sustainability 12, no. 10: 4110. https://doi.org/10.3390/su12104110
APA StyleCui, W., & Lu, B. (2020). A Bi-Objective Approach to Minimize Makespan and Energy Consumption in Flow Shops with Peak Demand Constraint. Sustainability, 12(10), 4110. https://doi.org/10.3390/su12104110

