Design and Performance Characterization of Roadside Bioretention Systems
Abstract
1. Introduction
2. Methodology
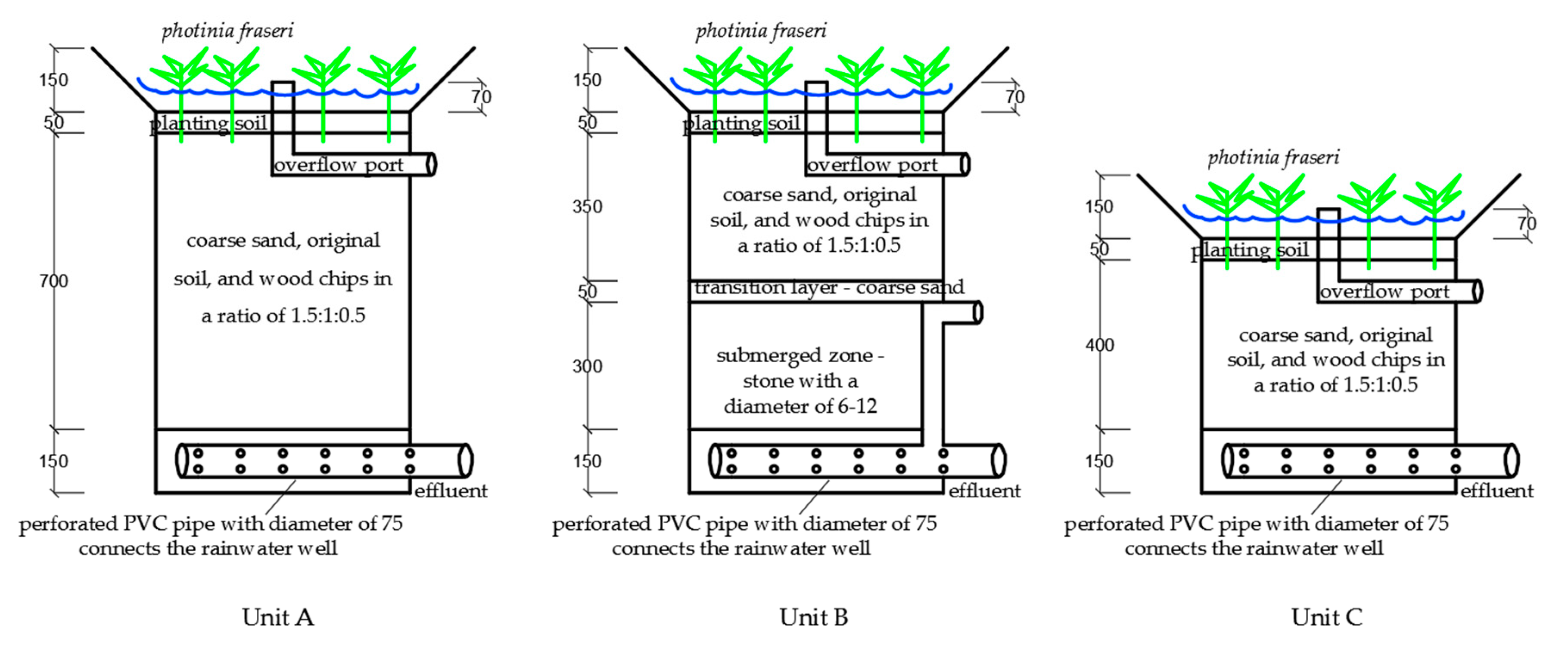
2.1. Experimental Site
2.2. Rainfall Event Selection and Hydrologic Parameters
2.3. Influent Water Volume and Quality
2.4. Experimental Procedure
2.5. Sampling and Data Analysis
3. Results and Discussion
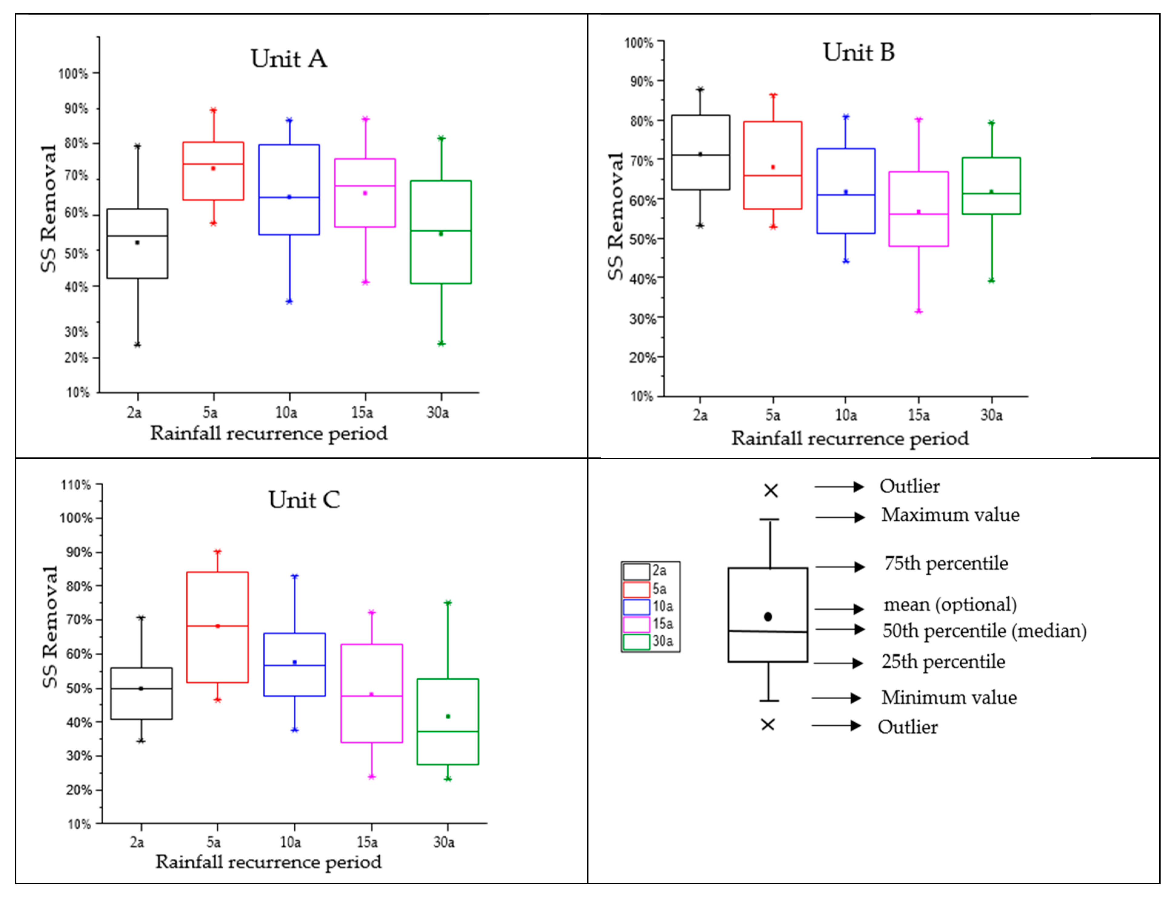
3.1. SS Removal
3.2. CODMn Removal
3.3. TP Removal
3.4. Nitrogen Removal
4. Conclusions
Supplementary Materials
Author Contributions
Acknowledgments
Conflicts of Interest
References
- Liu, Z.; Li, J.; Li, P.; Li, Y.; Li, W. Study of bioretention system on heavy-metal removal effect. Pol. J. Environ. Stud. 2017, 27, 163–173. [Google Scholar] [CrossRef]
- Brezonik, P.L.; Stadelmann, T.H. Analysis and predictive models of stormwater runoff volumes, loads, and pollutant concentrations from watersheds in the twin cities metropolitan area, Minnesota, USA. Water Res. 2002, 36, 1743–1757. [Google Scholar] [CrossRef]
- Mohammed, A.; Babatunde, A.O. Modelling heavy metals transformation in vertical flow constructed wetlands. Ecol. Model. 2017, 354, 62–71. [Google Scholar] [CrossRef]
- Uruya, W.; Winai, C.; Muhammad Mudassar, R.; Sutat, W. Modification of a design storm pattern for urban drainage systems considering the impact of climate change. Eng. Appl. Sci. Res. 2017, 44, 161–169. [Google Scholar]
- Pochwat, K.B.; Słyś, D. Application of artificial neural networks in the dimensioning of retention reservoirs. Ecol. Chem. Eng. S 2018, 25, 605–617. [Google Scholar] [CrossRef]
- Mazurkiewicz, K.; Skotnicki, M.; Cimochowicz-Rybicka, M. The influence of synthetic hyetograph parameters on simulation results of runoff from urban catchment. E3S Web Conf. 2018, 30, 01018. [Google Scholar] [CrossRef]
- Davydova, Y.; Volkova, Y.; Nikonorov, A.; Aleksandrovskiy, M. Drainage of small volume reservoirs on the technogenic territories. MATEC Web Conf. 2018, 170, 02025. [Google Scholar] [CrossRef]
- Douglas, N.I. On-site stormwater detention: Improved implementation techniques for runoff quantity and quality management in Sydney. Water Sci. Technol. 1995, 32, 85–91. [Google Scholar]
- Guo, X.C.; Zhao, D.Q.; Du, P.F.; Li, M. Automatic setting of urban drainage pipe monitoring points based on scenario simulation and fuzzy clustering. Urban Water J. 2018, 15, 700–712. [Google Scholar] [CrossRef]
- Liang, J.; Melching, C.S. Experimental evaluation of the effect of storm movement on peak discharge. Int. J. Sediment Res. 2015, 30, 167–177. [Google Scholar] [CrossRef]
- De, M.M.; Rosa, A.; Do, C.L.; Mendiondo, E.M.; De, V.S. Learning from the operation, pathology and maintenance of a bioretention system to optimize urban drainage practices. J. Environ. Manag. 2017, 204, 454–466. [Google Scholar]
- Wang, C.; Wang, F.; Qin, H.; Zeng, X.; Li, X.; Yu, S.-L. Effect of saturated zone on nitrogen removal processes in stormwater bioretention systems. Water 2018, 10, 162. [Google Scholar] [CrossRef]
- Hao, W.; Chao, M.; Liu, J.H.; Shao, W.W. A new strategy for integrated urban water management in China: Sponge city. China Technol. Sci. 2018, 61, 317–329. [Google Scholar]
- Zhang, L.; Lu, Q.; Ding, Y.; Peng, P.; Yao, Y. Design and performance simulation of road bioretention media for sponge cities. Perform. Constr. Facil. 2018, 32, 04018061. [Google Scholar] [CrossRef]
- Davis, A.P. Green engineering principles promote low impact development. Environ. Sci. Technol. 2005, 39, 338–344. [Google Scholar] [CrossRef]
- Mei, C.; Liu, J.; Wang, H.; Yang, Z.; Ding, X.; Shao, W. Integrated assessments of green infrastructure for flood mitigation to support robust decision making for sponge city construction in an urbanized watershed. Sci. Total Environ. 2018, 639, 1394–1407. [Google Scholar] [CrossRef]
- Chin, D.A. Designing bioretention areas for stormwater management. Environ. Proc. 2017, 4, 1–13. [Google Scholar] [CrossRef]
- Gülbaz, S.; Kazezyılmaz-Alhan, C.M. Hydrological model of LID with rainfall-watershed-bioretention system. Water Resour. Manag. 2017, 31, 1931–1946. [Google Scholar] [CrossRef]
- Jiang, C.; Li, J.; Li, H.; Li, Y.; Chen, L. Field performance of bioretention systems for runoff quantity regulation and pollutant removal. Water Air Soil Pollut. 2017, 228, 468. [Google Scholar] [CrossRef]
- Kim, S.; An, K. Exploring psychological and aesthetic approaches of bioretention facilities in the urban open space. Sustainability 2017, 9, 2067. [Google Scholar] [CrossRef]
- Guo, J.; Yu, B.; Zhang, Y.; Che, S. Predicted models for potential canopy rainfall interception capacity of landscape trees in Shanghai, China. Eur. J. For. Res. 2017, 136, 387–400. [Google Scholar] [CrossRef]
- Tahvonen, O. Adapting bioretention construction details to local practices in Finland. Sustainability 2018, 10, 276. [Google Scholar] [CrossRef]
- Keifer, C.J.; Chu, H.H. Synthetic storm pattern for drainage design. J. Hydraul. Div. 1957, 83, 1–25. [Google Scholar]
- Taylor, S.R.; Mclennan, S.M. The geochemical evolution of the continental crust. Rev. Geophys. 1995, 33, 241–265. [Google Scholar] [CrossRef]
- Xie, J.F.; Hu, Z.X.; Xu, T.; Han, H.Y.; Yin, D.Q. Analysis on characteristics of rainfall runoff water quality of different underlying surfaces in Hefei City. J. China Environ. Sci. 2012, 32, 1018–1025. (In Chinese) [Google Scholar]
- Mangangka, I.R.; Liu, A.; Egodawatta, P.; Goonetilleke, A. Performance characterisation of a stormwater treatment bioretention basin. J. Environ. Manag. 2015, 150, 173–178. [Google Scholar] [CrossRef]
- American Public Health Association; American Water Works Association; Water Environment Federation. Standard Methods for the Examination of Water and Wastewater, 22nd ed.; American Public Health Association, American Water Works Association, Water Environment Federation: Washington, DC, USA, 2012. [Google Scholar]
- Brown, R.A.; Hunt, W.F. Impacts of media depth on effluent water quality and hydrologic performance of undersized bioretention cells. J. Irrig. Drain. Eng. 2011, 137, 132–143. [Google Scholar] [CrossRef]
- Cording, A.; Hurley, S.; Adair, C. Influence of critical bioretention design factors and projected increases in precipitation due to climate change on roadside bioretention performance. J. Environ. Eng. 2018, 144, 04018082. [Google Scholar] [CrossRef]
- Bratieres, K.; Fletcher, T.; Deletic, A.; Zinger, Y. Nutrient and sediment removal by stormwater biofilters: A large-scale design optimisation study. Water Res. 2008, 423, 930–3940. [Google Scholar] [CrossRef] [PubMed]
- Hatt, B.E.; Fletcher, T.D.; Deletic, A. Hydraulic and pollutant removal performance of fine media stormwater filtration systems. Environ. Sci. Technol. 2008, 42, 2535–2541. [Google Scholar] [CrossRef]
- Li, J.; Zhao, R.; Li, Y.; Chen, L. Modeling the effects of parameter optimization on three bioretention tanks using the Hydrus-1d model. J. Environ. Manag. 2018, 217, 38–46. [Google Scholar] [CrossRef]
- Shrestha, P.; Hurley, S.E.; Wemple, B.C. Effects of different soil media, vegetation, and hydrologic treatments on nutrient and sediment removal in roadside bioretention systems. Ecol. Eng. 2018, 112, 116–131. [Google Scholar] [CrossRef]
- Liu, J. The Design and Operation of the Bioretention with Submerge Area Zone. Ph.D. Thesis, Southeast University, Nanjing, China, 2015. (In Chinese). [Google Scholar]
- Lefevre, G.H.; Paus, K.H.; Natarajan, P.; Gulliver, J.S.; Novak, P.J.; Hozalski, R.M. Review of dissolved pollutants in urban storm water and their removal and fate in bioretention cells. J. Environ. Eng. 2015, 141, 04014050. [Google Scholar] [CrossRef]
- Li, J.; Liang, Z.; Li, Y.; Li, P.; Jiang, C. Experimental study and simulation of phosphorus purification effects of bioretention systems on urban surface runoff. PLoS ONE 2018, 13, e0196339. [Google Scholar] [CrossRef] [PubMed]
- Brown, R.A.; Birgand, F.; Hunt, W.F. Analysis of consecutive events for nutrient and sediment treatment in field-monitored bioretention cells. Water Air Soil Pollut. 2013, 224, 1581. [Google Scholar] [CrossRef]
- Wu, J.; Cao, X.; Zhao, J.; Dai, Y.; Cui, N.; Li, Z.; Cheng, S. Performance of biofilter with a saturated zone for urban stormwater runoff pollution control: Influence of vegetation type and saturation time. Ecol. Eng. 2017, 105, 355–361. [Google Scholar] [CrossRef]
- Afrooz, A.R.M.N.; Boehm, A.B. Effects of submerged zone, media aging, and antecedent dry period on the performance of biochar-amended biofilters in removing fecal indicators and nutrients from natural stormwater. Ecol. Eng. 2017, 102, 320–330. [Google Scholar] [CrossRef]
- Li, L.; Davis, A.P. Urban stormwater runoff nitrogen composition and fate in bioretention systems. Environ. Sci. Technol. 2014, 48, 3403–3410. [Google Scholar] [CrossRef]







| Integrated rainfall peak position coefficient (r) | 0.4 |
| Total rainfall duration (T) min | 120 |
| Rain force parameter (A) mm | 36.61 |
| Rain force variation parameter (C) | 0.77 |
| Rainfall duration correction parameter (b) min | 23.15 |
| Rain attenuation index (n) | 0.93 |
| Pollutant | Mean Inflow Concentration (mg/L) | Source |
|---|---|---|
| COD | 120 | Glucose (C6H12O6) |
| TP | 1.0 | Monopotassium phosphate |
| TN | 8.0 | Alanine |
| NH4+-N | 4.0 | Ammonium chloride |
| NO3−-N | 2.0 | Potassium nitrate |
| Unit | Recurrence Interval (Years) | Mean Removal Efficiency (%) | |||||
|---|---|---|---|---|---|---|---|
| SS | CODMn | TP | NH4+-N | NO3−-N | TN | ||
| A | 2 | 52.4 | 51.4 | 65.8 | 82.9 | 32.1 | 68.1 |
| 5 | 73.5 | 60.3 | 30.4 | 77.6 | 38.2 | 59.3 | |
| 10 | 66.7 | 78.7 | 51.0 | 68.3 | 50.5 | 62.4 | |
| 15 | 66.7 | 69.2 | 75.8 | 66.6 | 42.9 | 57.1 | |
| 30 | 55.2 | 47.5 | 84.5 | 51.7 | 23.5 | 48.3 | |
| B | 2 | 71.3 | 12.7 | 51.4 | 74.4 | 47.9 | 63.6 |
| 5 | 68.5 | 38.5 | 17.0 | 68.1 | 49.5 | 57.1 | |
| 10 | 62.2 | 63.4 | 54.4 | 70.1 | 67.3 | 71.4 | |
| 15 | 57.1 | 83.4 | 71.9 | 61.7 | 58.3 | 68.3 | |
| 30 | 62.1 | 79.9 | 65.0 | 68.4 | 42.3 | 56.2 | |
| C | 2 | 49.9 | 30.4 | 30.1 | 55.4 | 23.1 | 41.1 |
| 5 | 68.2 | 54.2 | 24.7 | 48.6 | 27.8 | 37.4 | |
| 10 | 57.7 | 67.8 | 30.7 | 50.8 | 37.4 | 43.9 | |
| 15 | 48.2 | 58.7 | 35.1 | 39.3 | 28.6 | 32.6 | |
| 30 | 41.7 | 50.4 | 31.2 | 28.0 | 25.2 | 25.1 | |
© 2019 by the authors. Licensee MDPI, Basel, Switzerland. This article is an open access article distributed under the terms and conditions of the Creative Commons Attribution (CC BY) license (http://creativecommons.org/licenses/by/4.0/).
Share and Cite
Singh, R.P.; Zhao, F.; Ji, Q.; Saravanan, J.; Fu, D. Design and Performance Characterization of Roadside Bioretention Systems. Sustainability 2019, 11, 2040. https://doi.org/10.3390/su11072040
Singh RP, Zhao F, Ji Q, Saravanan J, Fu D. Design and Performance Characterization of Roadside Bioretention Systems. Sustainability. 2019; 11(7):2040. https://doi.org/10.3390/su11072040
Chicago/Turabian StyleSingh, Rajendra Prasad, Fei Zhao, Qian Ji, Jothivel Saravanan, and Dafang Fu. 2019. "Design and Performance Characterization of Roadside Bioretention Systems" Sustainability 11, no. 7: 2040. https://doi.org/10.3390/su11072040
APA StyleSingh, R. P., Zhao, F., Ji, Q., Saravanan, J., & Fu, D. (2019). Design and Performance Characterization of Roadside Bioretention Systems. Sustainability, 11(7), 2040. https://doi.org/10.3390/su11072040
