Abstract
The impact of social network position on innovation has been widely confirmed in past studies. However, research on the time-lag structure of the impact is still insufficient. Within the time window 2010 to 2017, this study constructs a two-mode social network between Chinese listed companies and other participants. To analyze the lag structure of the effect of social network position on innovation, this study uses a panel negative binomial regression model transformed by the Almon polynomial. The results show that a firm does need an advantageous past social network position for innovation. Previous local and global centrality in a social network has a different influence on innovation. For the local centrality indices, degree centrality has a positive impact in the short-term, but has a negative impact in the long-term; the impact of betweenness centrality is not significant in the short-term and is negative in the long run. For the global centrality indices, closeness centrality has a positive influence that decreases with the increase of the time-lag. At the same time, using the method of necessary condition analysis (NCA), this study calculates the bottleneck for a given innovation level. Finally, based on these research conclusions, the theoretical implications and management practice implications are summarized.
1. Introduction
In the era of knowledge economy, innovation has become a critical factor for the sustainable development of firms. Innovation has also been a hot research topic of organizational management in recent decades. Many researchers have studied the relevant influencing factors of firms’ innovation. On the other hand, with changes in economic activity in the Internet economy and the supply chain economy, the degree of information or resources exchanged among various entities is increasing. Cooperation and sustainable innovation are promoting and upgrading. In such a situation, firms need to better integrate into the social network, which is formed by the market. Past research has shown that the position in which a firm is embedded has a significant impact on innovation [1,2].
“In standard economics textbooks, firms have an infinite range of technologies from which they can choose and markets they can occupy. Changes in product or factor prices will be responded to instantaneously, with technologies moving in and out according to value maximization criteria. This is a major limitation of microeconomic theory” [3]. The main objective of this study is to explore the different effects of different dimensions of social network position on innovation in the short and long term. Although past studies have dealt with this problem, most of them have only set a constant lag length between social network position and innovation, rarely considering the lag structure of the impact. Innovation activity has a strong historical dependence. Information and knowledge storage provided by the external network is an important part of this historical dependence. Therefore, determining the influence of past social network position upon innovation is beneficial for firms to allow them to use their resources rationally. It is also beneficial in allowing firms to adjust their development and management strategies.
This study makes a two-fold contribution on sustained social networks oriented to innovation. On the one hand, our research provides a new way of understanding the role of social network position on innovation. By studying the impact of different perspectives of previous social network positions on firms’ innovation, including degree centrality, betweenness centrality, and closeness centrality, this study finds that the impact of the “history” of a firm’s social networks position on current innovations is complex. Hence, for sustainable innovation, firms should adopt strategies based on their self-condition and try to occupy an advantageous social network position. On the other hand, our research establishes a new research paradigm to quantify the impact of “history” on innovation. First, a panel negative binomial regression model is constructed, as the dependent variable is count data. Second, an Almon polynomial distributed transformation is used on the model. In this way, past variables of social network position can be placed in the same model, and the multicollinearity problem is avoided. Third, this study analyzes the bottleneck conditions of previous social network position on improving innovation, thus helping firms’ management practice.
This article is organized as follows. The next section reviews several innovation theories and summarizes the current related research (Section 2). Following this is the methodology, including the description and measurement of variables and the model specification for this study (Section 3). Then, the paper presents the results of the empirical study (Section 4). In the last section, we discuss the results of this research, and finish with conclusions, management practice implications and research deficiency prospects (Section 5).
2. Literature Review
2.1. Why History Matters for Innovation
Barney [4] summarizes the concept of “sustained competitive advantage” as “a firm is said to have a sustained competitive advantage when it is implementing a value creating strategy not simultaneously being implemented by any current or potential competitors and when these other firms are unable to duplicate the benefits of this strategy”. This concept has an important impact on innovation studies, especially in the understanding of the historical dependence of innovation. Previous studies have developed several theories and views, including dynamic capabilities theory, absorptive capacity theory, the knowledge-based view, and market orientation theory.
First, absorptive capacity theory and the knowledge-based view emphasize the importance of past knowledge to innovation; “prior knowledge permits the assimilation and exploitation of new knowledge and has important implications for the development of absorptive capacity over time and, in turn, the innovative performance of organizations” [5]. Nonaka and Takeuchi [6] point out that an organization itself cannot create knowledge but needs to mobilize tacit knowledge created and accumulated by individuals.
Second, the theory of dynamic capabilities uses the concept of the “path” to explain why the past is important for innovation. Teece, Pisano, and Shuen [3] define dynamic capabilities as “the firm’s ability to integrate, build, and reconfigure internal and external competencies to address rapidly changing environments”. Dynamic capabilities thus reflect an organization’s ability to achieve new and innovative forms of competitive advantage given path dependencies and market positions.
Third, from the perspective of cultural training, market-oriented theory shows that innovation is not a one-off effort. Jaworski and Kohli [7] suggest that market orientation is an antecedent to innovation. Furthermore, “Being oriented toward markets provides a source of ideas for change and improvement; being oriented toward learning indicates an appreciation for and a desire to assimilate new ideas. Leaders cannot simply select an organization’s culture; they must shape it” [8].
2.2. Why Previous Social Network Position Matters for Innovation
Based on the above analysis, there are two main reasons for the effects of previous social network position on current innovations:
First, the accumulation and discovery of innovation opportunities depends on the interaction of various participators in a social network. When he proposed the theory of innovation, Schumpeter [9] indicated that it was no part of entrepreneurs’ function to “find” or to “create” new possibilities; possibilities were always present, abundantly accumulated by all sorts of people. Researchers developed this idea from multiple perspectives. Nelson and Winter [10] have proposed the concepts of “routine” and “search”. The term “routine” indicates knowledge exists in the memory of an organization and that memory is realized through routines. The result of innovation is to change routines. “The term ‘search’ to denote a firm’s activities aimed at improving on its current technology invokes the idea of a preexisting set of technological possibilities, with the firm engaged in exploring this set. A searching firm may look to what other firms are doing” [10]. Hence, if the organization does not have a certain social network connection as a basis, it will be challenging to conduct external search activities. From the concept of “path dependence” proposed by Teece, Pisano, and Shuen [3], where a firm can go is a function of its current position and the paths ahead. The path it has traveled often shapes its current position. The notion of path dependencies recognizes that “history matters”. Previous social networks are part of this path. Furthermore, based on Nonaka and Takeuchi [6], an organization’s knowledge creation is a spiraling process. It originates from the individual, and, as the interactive community expands, it moves beyond the boundaries of the group, department, business unit, and organization. Redundancy knowledge in social networks is one of the necessary conditions for promoting the organization’s knowledge spiral activity. Redundancy is the information that members of the organization do not need immediately in their work. Redundant information can encourage the sharing of hidden knowledge and accelerate the process of creating knowledge.
Second, the acquisition of innovative resources depends on a certain position in social networks. Schumpeter [9] indicates that “field of personal choice is always (although in very different ways and very different degrees) restricted by social habits or customs … It has already been established that the entrepreneur does need credit to be able to carry out his new combinations, to become an entrepreneur. If he does not succeed, then obviously he cannot become an entrepreneur”. Mowery et al. [11] suggest that “a firm’s current absorptive capacity is influenced by its historic participation in specific product markets, lines of R&D, and other technical activities”. The extent of a firm’s absorption of technological capabilities from its alliance partners will be positively related to its pre-alliance level of technological overlap with partner firms. Prior knowledge underlies absorptive capacity and has important implications for the development of absorptive capacity over time and, in turn, the innovative performance of organizations. Burt [12] explains the relationship between structural holes and entrepreneurial innovation: “Networks are more often built in the course of doing something else. If your work, for example, involves meeting people from different walks of life, your network will end up composed of contacts who without you have no contact with one another”, and “As the volume of structural holes in a player’s network increases the entrepreneurial behavior of making and negotiating relations between others becomes a way of life”. At the same time, past social network locations may not only lead to success but may also lead to failure. For example, Christenson [13] argues that technology opportunities are both attractive and challenging for manufacturers. The level of the attraction and challenge is determined by the position of the enterprise in relevant value network and many other factors.
2.3. Research Status of the Time-Lag Effect of Social Network Position on Innovation
In previous research on the relationship between social network position and firms’ innovation, there are two main types of processing for time-lag:
First, most of the previous literature has noticed the problem of time lag. These documents generally deal with this problem by setting a constant lag length. However, most of them do not explain the basis for their selection. Table 1 lists the statistical description of the lag length setting by some of these documents. It can be seen that literature with a lag setting of 1 year, 3 years, and 5 years accounts for the majority. This situation indicates that these choices have strong subjectivity, or rely on the subjective judgment of other studies.
Table 1.
Previous literature’s time-lag length settings.
Second, there are some studies which have considered the time-lag structure of the impact of social network position on innovation, but there are still some problems. For example, Schilling and Phelps [35] have established 1 year, 2 year and 3 year lag models to analyze the impact. The collinearity of the lag variables is avoided by dividing lag variables into different models, but the missing variables in each model lead to the possible deviation of the model results. Stuart [36] sets a five-year lag between inter-firm partnerships and innovation and gives a certain weight to each time-lag variable. However, this weight value has certain subjectivity and may not apply to all samples.
In summary, the time lag structure of the effect of social network position on innovation has been measured widely in previous literature [37]. However, there are still problems in treatment methods that need further research.
3. Methodology
3.1. Social Network Construction and Data Source
This study selected all listed companies that have public stock offerings on the Shanghai stock exchange and the Shenzhen stock exchange in China. A two-mode social network was constructed using these companies. To study the dynamic nature of the network, eight different social networks were generated for each year between 2010 and 2017. Network relationships included the following two types:
First, past research suggests that supply and demand relationships and cooperative relationships are the two most important links in a social network that affects firms’ innovation. Specifically, these relationships mainly include links between firms in the form of cooperation agreements, investment, project cooperation, joint operations, supply or purchase, and becoming a major shareholder [38].
Second, from the social activities of executives and directors such as manager contacts and chain directors, firms can obtain network benefits that are conducive to innovation [39], so in the social network used in this research, when there is at least one identical executive or director between two firms, there is a link between them. At the same time, because educational background linkages promote the firm’s innovation [40], when executives in both firms have the same educational background, there is a link between the two firms.
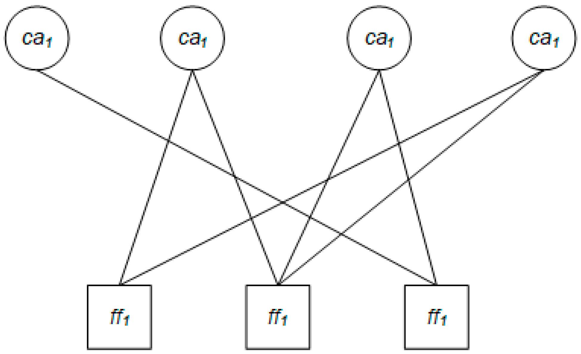
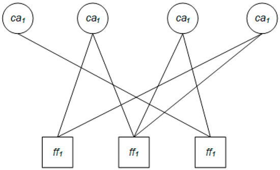
In the social network used in this research, the focal firms are the listed companies and many other nodes are not listed companies, so we chose to establish two-mode social networks. The two-mode social network is one of the basic social network models. In a two-mode social network, all nodes are divided into two types and links in the network exist only between different types of nodes [41]. The first type is listed companies, and all other nodes belong to the second type. When two listed companies connect to the same node of the second type, there is an indirect link between the two listed companies [42].
The relationship of the two-mode social network can be expressed as follows: If represents a set of l listed companies, and represents a set of g other types of network nodes (allowing an intersection with two sets), then a two-mode social network consisting of two sets can be represented as , where indicates there is a connection between company i in the set FF and node j in the set CA, and:
For example, if there are three focal firms , and four connected actors , and the matrix of their relations is as is presented in Table 2, where 1 represents there being a link between two actors and 0 represents there being no link between two actors, then the graph of this two-mode network can be depicted as in Figure 1.
Table 2.
Matrix of the two-mode network example.
Figure 1.
Network graph of the two-mode network example.
The data sources for social network nodes and connections were the China Stock Market and Accounting Research (CSMAR) database and the RESSET Financial Research database (RESSET is the full name of a professional data platform). The time window was 2010–2017. The basic description of network nodes, connections, and network density are shown in Table 3.
Table 3.
Basic description of the network in different years.
The patent data was derived from the patent search database of the State Intellectual Property Office of China. The data of other variables were collected from the CSMAR database and the RESSET Financial Research database. The time window was 2010–2017. Due to the lack of data of the listed companies in the network, in the measurement model, the number of final focal firms in the sample was 87.
3.2. Measures
3.2.1. Dependent Variable: Patents
The number of patents is one of the most commonly used indicators for measuring firms’ innovation [35]. Therefore, this study uses the number of valid patent applications generated as the explanatory variables of the model.
3.2.2. Independent Variable: Network Position
Centrality is the primary indicator used to measure the network position of the focal firm. Based on Freeman [43] and other related studies, this study uses three centrality indicators to measure the network position of a node:
First, degree centrality refers to the number of connections between one node and other nodes in the network [44]. In a two-mode social network , the degree centrality of focal firm k can be expressed as:
Second, betweenness centrality indicates the number of times that a focal firm is the shortest path between other nodes in the network. In a two-mode social network , the betweenness centrality of focal firm k can be expressed as
where represents the number of the shortest paths between two nodes i and j, and represents the number of the shortest paths which pass through the focal firm k between i and j.
Third, closeness centrality is an indicator used to measure the average distance between a node and all other nodes in the network. Referring to the algorithm of [45], we used the following method to calculate the closeness centrality.
The sum of the shortest path of the focal firm and all other nodes is obtained from the network , and then the closeness centrality of the node is:
3.2.3. Control Variables
In order to avoid the problem of missing variables, the following control variables were added to the model:
First, past research usually uses research and development (R&D) capital investment and R&D personnel input as the most important variables affecting the number of patents. Therefore, in the model of this study, both variables were added as control variables.
Second, network density refers to the ratio of the number of real connections in the network to the number of all possible connections [46], which is a global measure of network attributes. Past research has generally suggested that increased network density can inhibit firms’ social activity in social networks [35]. Therefore, this study also used network density as a control variable.
Third, this study also included the following variables, which have been commonly used in previous studies: scale, assets, market capitalization, and the industry to which the firm belongs [38].
The statistical description of each variable is shown in Table 4. Table 5 displays the correlations of all variables. This study uses variance inflation factors (VIF) to examine the effect of multicollinearity. The values of the VIF associated with the predictors show a range from 1.26 to 6.79, which fall within acceptable limits [47], suggesting no need for concern with respect to multicollinearity.
Table 4.
Variable statistical description.
Table 5.
Correlations.
3.3. Model Specification
3.3.1. Negative Binomial Regression Based on the Almon Transformation
Since the number of the firm’s patents can only take non-negative integers, which is count data, the count regression model is usually used in this condition. It is noted that the explanatory variable of the year t of the firm i is , and when the probability of obeys the Poisson distribution of the parameter (, which indicates the Poisson arrival rate), there are:
To ensure that is non-negative, assume that the conditional mean function of is
where β is the coefficient of the independent variable , and is the multiplicative individual effects.
Since the Poisson distribution assumes that the conditional expectation is equal to the conditional variance, i.e.,
but the number of firm patents tends to be overdispersion [48], the Poisson regression model is converted into a negative binomial regression model, assuming that obeys the Gamma distribution with the parameter , and , upon which represents the individual effect or time effect. Then, the expectation of the negative binomial regression model is
And the variance is
The problem of excessive dispersion is solved and the choice between fixed effect and random effect can be selected.
By taking the logarithm of the conditional expectation functions, the logarithmic linear model of the negative binomial distribution is obtained, and is
To examine the time-lag structure of the effect of social network position on firms’ patent output, we set the following polynomial distributed lag model on the basis of negative binomial regression:
In this equation, j is the time-lag order, and n1, n2, and n3 represent the maximum lag period of each variable, respectively. This model can not only can reflect the influence of each independent variable on the current period of the dependent variable but can also reflect the influence structure of different time-lag lengths. However, in the estimation of the model, multi-collinearity problems often occur. To avoid this problem, we performed an Almon transformation on this model [49,50], which is obtained as:
where , represent the first k1, k2, and k3 lines of the Vandermonde matrices of n1-order, n2-order, and n3-order, respectively, and .
After estimating the model, according to the estimated value of α in Equation (12), Equation (12) is reduced to Equation (11), thereby obtaining values of the respective β coefficients.
3.3.2. Analysis of Necessary Conditions
When a certain condition cannot be reached, the expected event will not occur. This condition is the so-called necessary condition. Dul proposed a method for the analysis of necessary conditions in causality [51]. After using the regression model to derive the time-lag structure of the impact of social network position on firms’ innovation, this study uses the necessary condition analysis method to study the necessary conditions for better innovation. Dul [51] recommends the following six steps to complete the necessary analysis:
First, draw a scatter plot between the dependent variable and the condition variable.
Second, a preliminary judgment is made on whether there is a necessary relationship between the dependent variable and the condition variable, and it is determined whether there is a blank area at the upper left of the scattergram.
Third, the blank area in the upper left of the scatter plot is separated from the other areas by the Ceiling Lines technique.
Fourth, calculate the relevant indicators for the analysis of the necessary conditions. The main indicator is the effect size, which is the ratio of the area of the upper left of the slanted top line and the area of the scatter plot.
Fifth, analyze the effectiveness of the relevant indicators. When the value of the effect value d satisfies 0 < d < 0.1, the necessity is weak. When the value of the effect value d satisfies 0.1 < d < 0.3, the necessity is medium. When the value of the effect value d satisfies 0.3 < d < 0.5, the necessary condition is large. When the value of the effect value d satisfies d > 0.5, the necessary condition is very large.
Sixth, according to the above analysis, when the necessity of the condition exists, according to the data, calculate the necessary condition structure to satisfy the conditional variable to reach a certain level.
4. Results
4.1. Results of the Time-lag Distribution Regression Model
Before the model analysis, the rationality of the adopted model was analyzed. First, the model, after being Almon-transformed, was tested for overdispersion. The result strongly rejected the null hypothesis that there was no overdispersion, indicating that it is reasonable to use the panel negative binomial regression. Second, the Hausman test was used to judge whether the fixed effect model or the random effect model should be selected. The results show that there is no systematic difference between the coefficients of the fixed effect model and the random effect model. At the same time, the Likelihood-ratio (LR) test results of the random effect model shown in Table 6 are significant. The null hypothesis that the random effect model and the pooled negative binomial distribution model are not different is rejected, indicating that it is more rational to use the random effects model than the fixed effect model and the pooled model. Thirdly, this study used the Akaike information criterion (AIC) and Bayesian information criterion (BIC) to select the largest time-lag length. It found that in the estimated model, the larger the lag length, the smaller the value of AIC and BIC. Because of the time window being 2010–2017, a maximum length of six years that can be delayed was selected, and the Almon polynomial expansion was second order.
Table 6.
Two-order Almon polynomial distribution lag model regression results.
After the Almon transformation, Table 6 shows the results obtained by the panel negative binomial regression model. From the results, the Wald test results are significant, indicating that the model results are valid. VD61 and VD62, VB61 and VB62, VC61 and VC62, VI61 and VI62, and VH61 and VH62 represent the coefficients of degree centrality, betweenness centrality, closeness centrality, R&D capital investment, and R&D personnel input in the original model after the Almon transformation, respectively.
After reversing the transformation, Table 7 shows the coefficient values and significance results of the different lag variables and other control variables. The following results can be obtained from Table 5:
Table 7.
Model results after reversing the transformation.
First, for 0–3 year(s) of lag, degree centrality has a significant positive impact on innovation. The impact coefficients are 0.014 (p-value < 0.01), 0.010 (p-value < 0.01), 0.006 (p-value < 0.01), and 0.003 (p-value < 0.05), respectively. During this period, the influence of degree centrality showed a decreasing trend. The effect of the 4 year lag of degree centrality on innovation is no longer significant. However, the 5–6 year lag of degree centrality has a significant negative impact on innovation. The impact coefficients are −0.005 (p-value < 0.05) and −0.009 (p-value < 0.05), respectively, and the level of influence increases gradually. Hence, the level of influence of degree centrality on innovation shows an inverted U-shaped trend. An increase in degree centrality can promote innovation in the short term. However, in the long run, the accumulation of degree centrality will have a negative effect.
Second, for 0–2 year(s) of lag, betweenness centrality has no significant impact on innovation. However, 3–6 years of lag of betweenness centrality has a significant negative impact. The impact coefficients are −96.493 (p-value < 0.1), −103.877 (p-value < 0.05), −111.262 (p-value < 0.05), and −118.646 (p-value < 0.1), respectively. It can be seen that as the time-lag increases, the level of the negative effect of betweenness centrality increases gradually.
Third, for 0−4 year(s) of lag, closeness centrality has a significant positive impact on innovation. The impact coefficients are 3.800 (p-value < 0.05), 3.296 (p-value < 0.05), 2.791 (p-value < 0.05), 2.287 (p-value < 0.05), and 1.783 (p-value < 0.1), respectively. As the time-lag increases, the coefficient value shows a decreasing trend. When the time lag is 5–6 years, the coefficient of closeness centrality still shows a decreasing trend, but the test result is not significant.
Fourth, it can be seen that as the time-lag increases, the impact of R&D capital investment continues to increase. Specifically, the impact of R&D capital investment is not significant for 0–1 years of lag, but when the lag is 2–6 years, the impact coefficient is significant and increasing (0.0001 (p-value < 0.01), 0.0002 (p-value < 0.01), 0.0003 (p-value < 0.01), 0.0003 (p-value < 0.01), and 0.0004 (p-value < 0.01), respectively). The impact of the number of R&D personnel on innovation is mainly in the short-term. When the time-lag is less than 3 years, the coefficients of the number of R&D personnel are 0.00005 (p-value < 0.1), 0.00004 (p-value < 0.05), 0.00003 (p-value < 0.05), and 0.00002 (p-value < 0.1), which shows a decreasing trend. When the time-lag is greater than 4 years, the impact of R&D personnel input is no longer significant.
4.2. Necessary Condition Analysis Results
Combined with the results of the regression model, this article analyzes the necessary conditions of the core explanatory variables and control variables for innovation in different time-lag lengths. Figure 2 shows the necessary relationship of each variable to innovation to each time-lag, where the blank grid indicates that the variable has no significant effect based on the regression model results. The blank area at the top left of each necessary diagram shows the size of necessity.
Figure 2.
Analysis of the necessary conditions for innovation of each lag variable.
It can be seen from Figure 2 that for time-lags of 0–3 year(s), when the degree centrality has a positive impact, its necessity decreases with time-lag increase. The necessary effect value is between 0.1 and 0.3. It is indicated that when the time-lag is 0–3 years, the necessity of degree centrality is at a medium level. When the time-lag of degree centrality is 5–6 years, the influence of degree centrality on innovation becomes negative, so the degree centrality data is monotonically transformed. It can be seen from Figure 1 that the necessary effect value is less than 0.1, indicating that although the effect of degree centrality is negative when the time-lag order is 5–6 years, this is not a necessary condition to limit the improvement of firms’ innovation.
According to the results of the regression model, when the time-lag order is 3–6 years, the influence of betweenness centrality on innovation is significant and negative. Therefore, the betweenness centrality data is monotonically transformed. It can be seen from Figure 1 that when the time-lag is 3–5 years, the necessary effect size of betweenness centrality is between 0.3 and 0.5, which is a large level. Therefore, when the time-lag is 3–5 years, the smaller the betweenness centrality, the better firm innovation can be guaranteed. However, from the perspective of changes in effect size values, this necessity shows a decreasing trend. The effect size value is reduced to 0.012 when the time-lag is 6 years.
According to Figure 2, closeness centrality has a high level of necessity for 0–4 year(s) lag, with an effect size value above 0.493. However, it will also decrease as the time-lag increases.
Finally, from the perspective of the necessity of two control variables, when time-lag is 2–6 years, the effect size values of R&D capital investment are 0.074, 0.063, 0.050, 0.066, and 0.126, respectively, showing a U-shaped trend which decreases first and then increases. When the time-lag is 0–3 year(s), the necessary effect size values of the R&D personnel input are 0.177, 0.180, 0.156, and 0.158, respectively, which shows a trend of fluctuation.
Combined with the analysis of the necessary effect size values, Table 8 lists the bottleneck of variables in different lag length for a given innovation level. Taking the example of Y = 60 for 3 year lag in Table 8, this shows that if a firm wants to make the current innovation level rank in the top 60% in the social network, three years ago, its degree centrality should be in the top 15%, its betweenness centrality should not exceed that of 75.6% of others, its closeness centrality should not be lower than that of 57.8% of others, its R&D capital investment should not be lower than that of 9.6% of others, and its R&D personnel should be no less than that of 23.7% of others.
Table 8.
Combination of necessary conditions for each lag order.
4.3. Discussion and Contrast with Previous Literature
In this study, we have tested the time-lag effect of social network position on innovation using an econometric model and have verified the structure of this time-lag impact using necessary condition analysis. Our review of previous literature reveals that “history” is important for innovation. However, as far as our knowledge goes, there has been little quantitative analysis carried out on the contribution of “history” on innovation in previous literature. The results of this study have improved past research in two ways.
On the one hand, our research provides a new way of understanding the role of social network position on innovation. There is a controversy about whether the increase in social network cooperation is beneficial to innovation in previous empirical studies [28]. Most current research explains the difference in empirical results using the three-dimensional classification of social capital, including relational dimension [52], structural dimension [53], and cognitive dimension [54]. The results of this study show that time is another key dimension that creates a complex impact of social network position on innovation.
On the other hand, our research has established a new research paradigm to quantify the impact of “history” on innovation. First, the relationship between the variables is fitted by the econometric model. The distributed lag model is a very effective tool, which has been widely used in economic [55] and environmental [56,57] sustainability research. This study proposes to adopt this model in innovative research. The use of patents as a dependent variable should be noted to be converted into a counting model. Secondly, the robust of the economic model and the bottleneck for a given innovation level can be drawn through the analysis of the necessary conditions. This paradigm may be equally applicable to the analysis of time-lag structures of other sustainable innovation factors.
5. Concluding Remarks and Implications
5.1. Conclusions
Previous literature has explored the relationship between firm position and innovation in social networks from both theoretical and empirical perspectives. This study has focused on the impact of a firm’s past social network position on current innovation. Through the construction of a two-mode social network of various related types of Chinese listed companies, using panel negative binomial regression and a necessary condition analysis method based on the Almon transformation, the relationship between social network position and innovation from a time perspective has been reflected. From these results, combined with past literature, this study proposes the following meaningful conclusions:
First, time is an important adjustment variable that affects the relationship between social network position and innovation. The impact of social network connections on innovation is not a one-off process, but rather a series of processes such as information identification, information screening, information utilization, and results transformation. Social network position can be measured from different perspectives with different variables. Some variables have no effect on innovation in the short-term (long-term), and some variables only have an impact in the short-term (long-term). However, overall, as time goes by, the impact and necessity of social network centrality on innovation improvement are gradually weakened.
Second, as the time-lag increases, the positive influence of degree centrality is gradually reduced, and the negative influence of degree centrality gradually increased. Degree centrality describes the level of the number of network subjects directly connected to the firm compared with other firms. It is a local centrality indicator [44,58]. Previous research suggests that high degree centrality means a firm can access resources and information from direct connections [34]. Previous research has produced controversy about the relationship between degree centricity and innovation. Some studies believe that the impact of degree centricity is positive [31] while some other studies believe that degree centrality has little impact on innovation [59]. The conclusions of this study indicate that these contradictions can be explained from the perspective of time-lag structure. The positive effect of degree centrality on innovation mainly occurs in the short term. While in the long run, on the one hand, the knowledge resources directly available to firms are limited, on the other hand, the value of this knowledge itself is exhaustive [60] and may lead to an innovative “stepping-to-toe” effect [61].
Third, betweenness centrality is an indicator between local and global. The conclusions of past research on the relationship of betweenness centrality and innovation are also controversial. Some studies suggest that when the betweenness is high, it means that a firm can form “bridges” between other network nodes. Thus, firms can promote innovation through discovering asymmetric information [29,44,62]. However, other studies argue that when a firm uses external knowledge resources to innovate, the firm may have little knowledge of how to use the external knowledge resources; the technical support and guidance of the partners is indispensable [63]. Hence, even if the firm increases access to information through high betweenness centrality, this does not help to improve its innovation [31]. The results of this study show that in the short-term, the impact of the increase in betweenness centrality on innovation is not obvious, but in the long-term, higher betweenness centrality will limit the growth of innovation, and the larger the number of the time-lag order, the greater the limit will be. This conclusion indicates that the ability of Chinese firms to integrate and utilize external information is still at a low level.
Fourth, according to the analysis of model results and necessary condition analysis, the increase of closeness centrality has a significant impact on the improvement of innovation. Closeness centrality is a global centrality indicator. Some studies suggest that the increase in closeness centrality also increases the risk of network fragmentation and increased costs, and it may reduce the firm’s autonomy in networks [64,65]. Some empirical analysis considers the relationship between closeness centrality and innovation promotion to not be significant [66]. However, other studies suggest that the reduction in average distance from other nodes can increase the efficiency of firm resource allocation and help attract new network entities to connect with them [67]. The conclusions of this article support the view that closeness centrality promotes innovation and that this impact is in the long-term, but that as the number of lag years increases, the positive impact and necessity of closeness centrality on innovation will weaken gradually.
Fifth, the results of necessary condition analysis showed that even if a centrality variable has a significant impact on innovation in a certain time-lag, there is no guarantee that changes in the variable will result in changes in innovation. Furthermore, the change in the innovation of a firm in a certain time-lag need not only consider the development of the main influencing factors currently but also those in the past. In the short-term, increasing degree centrality and closeness centrality can improve innovation, but to achieve long-term innovation improvement, firms should also pay attention to breaking the accumulated redundant network connection. In addition to the centrality of social networks, the results of this study also show that firms’ R&D investment is a necessary condition for enterprises to obtain long-term innovation improvement. At the same time, firms’ R&D investment is necessary for short-term innovation improvement.
5.2. Management Practice Implications
According to the conclusions of this study, the following implications of management practice can be provided:
First, firms must have long-term strategic awareness and develop their social network resources rationally. On the one hand, current innovation depends on the past position in social networks. On the other hand, the resources of firms are limited, so they may not be able to pursue the most ideal centrality position in a social network. Previous research has shown that to succeed in a social network under an open innovation environment, firms need to have a proper business pattern at the same time, which may cost a lot [68]. Therefore, firms must understand the characteristics, influence laws, and promotion strategies of the various elements of social networks that have an impact on innovation to occupy the social network positions that are needed for long-term development more efficiently.
Second, firms should evaluate their position in social networks timely and rationally, which is conducive to adopting correct development tools. The impacts of different aspects of social network positions on future innovation will change over time, so firms must assess their past social network location on current innovation performance regularly and make predictions about the impact that will be formed. Specifically, this should include evaluations of both local centrality and global centrality.
Based on the conclusion that degree centrality has a positive impact on innovation in the short term and a negative impact in the long run, a firm’s innovation can be brought about by direct links in social networks, but the advantage is time-sensitive. At the same time, closeness centrality has a declining positive impact on innovation. According to past theoretical analysis, the increase in closeness centrality also increases the likelihood that a firm will gain new connections to network individuals. Therefore, firms should consciously reduce the number of network connections that can no longer acquire new value, and look for opportunities to establish new network connections.
Based on the conclusion that in Chinese listed companies, innovation will reduce due to the high betweenness centrality in the long run, according to past theories, this may be because despite the high betweenness centrality, firms have the opportunity to discover asymmetric information. However, because of the lack of targeted guidance, Chinese firms cannot convert opportunities into innovation. Therefore, Chinese listed companies should consider adopting a deeper cooperation approach to achieve knowledge sharing and innovative development.
Based on the results that the investment in R&D capital investment has a long-term effect on the improvement of innovation and that R&D personnel input will have short-term effects, this study suggests that the relationship between R&D capital investment and R&D personnel input plays an important role in improving external knowledge transfer capabilities. The fund investment in R&D cannot pursue short-term gains, while the human resources investment in R&D should ensure the continuity of existing research while maintaining liquidity.
5.3. Research Deficiency and Prospects
First, due to the lack of data, although the social network model constructed in this study covers all listed companies in China, the final sample contains only 87 companies. Although the size, industry, age, and ownership of these 87 companies are relatively scattered, they may still cause deviations from the actual laws. Secondly, the social network constructed includes various types of network connection forms, such as project cooperation relationship, supply-demand relationship, and executive director relationship. According to previous research, these network relationships will generate innovation for firms. However, these impacts may be different, and this article has not yet added appropriate weights to these connections, which should be the main direction of future research.
Author Contributions
Conceptualization, X.W. and W.C.; data curation, W.C.; formal analysis, X.W.; investigation, X.W.; methodology, X.W.; project administration, W.C.; resources, W.C.; software, X.W.; supervision, X.W.; validation, X.W. and W.C.; visualization, X.W.; writing—original draft, X.W.; writing—review & editing, X.W. and W.C.
Funding
This research was funded by the Research Funding of Central China Normal University, grant number HEUCFW170906.
Acknowledgments
We acknowledge the dataset support of Mengtian Chen from Shandong University and Hongyu Wu from Harbin Institute of Technology.
Conflicts of Interest
The authors declare no conflict of interest.
References
- Muller, E.; Peres, R. The effect of social networks structure on innovation performance: A review and directions for research. IJRM 2018, 34, 1–17. [Google Scholar] [CrossRef]
- Yuan, C.-H.; Wu, Y.J.; Tsai, K.-m. Supply Chain Innovation in Scientific Research Collaboration. Sustainability 2019, 11, 753. [Google Scholar] [CrossRef]
- Teece, D.J.; Pisano, G.; Shuen, A. Dynamic capabilities and strategic management. Strat. Manag. J. 1997, 18, 509–533. [Google Scholar] [CrossRef]
- Barney, J. Firm resources and sustained competitive advantage. J. Manag. 1991, 17, 99–120. [Google Scholar] [CrossRef]
- Cohen, W.M.; Levinthal, D.A. Absorptive capacity: A new perspective on learning and innovation. Adm. Sci. Q. 1990, 35, 128–152. [Google Scholar] [CrossRef]
- Nonaka, I.; Takeuchi, H. The Knowledge Creation Company: How Japanese Companies Create the Dynamics of Innovation; Oxford University Press: Oxford, UK, 1995. [Google Scholar]
- Jaworski, B.J.; Kohli, A.K. Market orientation: Review, refinement, and roadmap. JMFM 1996, 1, 119–135. [Google Scholar] [CrossRef]
- Hurley, R.F.; Hult, G.T.M. Innovation, market orientation, and organizational learning: An integration and empirical examination. J. Market. 1998, 62, 42–54. [Google Scholar] [CrossRef]
- Schumpeter, J.A. The Theory of Economic Development: An Inquiry into Profits, Capital, Credit, Interest, and the Business Cycle; Harvard University Press: Cambridge, MA, USA, 1934. [Google Scholar]
- Nelson, R.R.; Winter, S.G. An Evolutionary Theory of Economic Change; Belknap Press: Cambridge, MA, USA, 1982. [Google Scholar]
- Mowery, D.C.; Oxley, J.E.; Silverman, B.S. Strategic alliances and interfirm knowledge transfer. Strat. Manag. J. 1996, 17, 77–91. [Google Scholar] [CrossRef]
- Burt, R.S. Structural Holes: The Social Structure of Competition; Harvard University Press: Cambridge, MA, USA, 1992. [Google Scholar]
- Christenson, C. The Innovator’s Dilemma; Harvard Business School Press: Cambridge, MA, USA, 1997. [Google Scholar]
- Ahuja, G. Collaboration networks, structural holes, and innovation: A longitudinal study. Adm. Sci. Q. 2000, 45, 425–455. [Google Scholar] [CrossRef]
- Liao, Y.-C.; Phan, P.H. Internal capabilities, external structural holes network positions, and knowledge creation. J. Technol. Transfer 2016, 41, 1148–1167. [Google Scholar] [CrossRef]
- Rost, K. The strength of strong ties in the creation of innovation. Res. Policy 2011, 40, 588–604. [Google Scholar] [CrossRef]
- Shipilov, A.V.; Li, S.X. Can you have your cake and eat it too? Structural holes‘ influence on status accumulation and market performance in collaborative networks. Adm. Sci. Q. 2008, 53, 73–108. [Google Scholar] [CrossRef]
- Zaheer, A.; Bell, G.G. Benefiting from network position: firm capabilities, structural holes, and performance. Strat. Manag. J. 2005, 26, 809–825. [Google Scholar] [CrossRef]
- Gray, P.H.; Parise, S.; Iyer, B. Innovation Impacts of Using Social Bookmarking Systems. MIS Q. 2011, 35, 629–643. [Google Scholar] [CrossRef]
- Guan, J.; Liu, N. Exploitative and exploratory innovations in knowledge network and collaboration network: A patent analysis in the technological field of nano-energy. Res. Policy 2016, 45, 97–112. [Google Scholar] [CrossRef]
- Cummings, J.N. Work groups, structural diversity, and knowledge sharing in a global organization. Manag. Sci. 2004, 50, 352–364. [Google Scholar] [CrossRef]
- Srinivasan, R.; Wuyts, S.; Mallapragada, G. Corporate Board Interlocks and New Product Introductions. J. Market. 2018, 82, 132–148. [Google Scholar] [CrossRef]
- Turkina, E.; van Assche, A. Global connectedness and local innovation in industrial clusters. JIBS 2018, 6, 706–728. [Google Scholar] [CrossRef]
- Cui, V.; Yang, H.; Vertinsky, I. Attacking Your Partners: Strategic Alliances and Competition Between Partners in Product Markets. Strat. Manag. J. 2017, 39, 3116–3139. [Google Scholar] [CrossRef]
- Roper, S.; Hewitt-Dundas, N. Knowledge stocks, knowledge flows and innovation: Evidence from matched patents and innovation panel data. Res. Policy 2015, 44, 1327–1340. [Google Scholar] [CrossRef]
- Zheng, Y.; Liu, J.; George, G. The dynamic impact of innovative capability and inter-firm network on firm valuation: A longitudinal study of biotechnology start-ups. J. Bus. Ventur. 2010, 25, 593–609. [Google Scholar] [CrossRef]
- Bellamy, M.A.; Ghosh, S.; Hora, M. The influence of supply network structure on firm innovation. J. Oper. Manag. 2014, 32, 357–373. [Google Scholar] [CrossRef]
- Ahuja, G. The duality of collaboration: Inducements and opportunities in the formation of interfirm linkages. Strat. Manag. J. 2000, 21, 317–343. [Google Scholar] [CrossRef]
- Han, Y.; Li, Y.; Taylor, J.E.; Zhong, J. Characteristics and Evolution of Innovative Collaboration Networks in Architecture, Engineering, and Construction: Study of National Prize-Winning Projects in China. J. Construct. Eng. Manag. 2018, 144. Available online: https://ascelibrary.org/doi/10.1061/%28ASCE%29CO.1943-7862.0001499 (accessed on 19 January 2019). [CrossRef]
- Gilsing, V.; Nooteboom, B.; Vanhaverbeke, W.; Duysters, G.; van den Oord, A. Network embeddedness and the exploration of novel technologies: Technological distance, betweenness centrality and density. Res. Policy 2008, 37, 1717–1731. [Google Scholar] [CrossRef]
- Dong, J.Q.; Yang, C.-H. Being central is a double-edged sword: Knowledge network centrality and new product development in US pharmaceutical industry. Technol. Forecast. Soc. Change 2016, 113, 379–385. [Google Scholar] [CrossRef]
- Mazzola, E.; Perrone, G.; Kamuriwo, D.S. Network embeddedness and new product development in the biopharmaceutical industry: The moderating role of open innovation flow. Int. J. Prod. Econ. 2015, 160, 106–119. [Google Scholar] [CrossRef]
- Operti, E.; Carnabuci, G. Public knowledge, private gain: The effect of spillover networks on firms’ innovative performance. J. Manag. 2014, 40, 1042–1074. [Google Scholar] [CrossRef]
- Wang, C.; Rodan, S.; Fruin, M.; Xu, X. Knowledge networks, collaboration networks, and exploratory innovation. Acad. Manag. J. 2014, 57, 484–514. [Google Scholar] [CrossRef]
- Schilling, M.A.; Phelps, C.C. Interfirm collaboration networks: The impact of large-scale network structure on firm innovation. Manag. Sci. 2007, 53, 1113–1126. [Google Scholar] [CrossRef]
- Stuart, T.E. Interorganizational alliances and the performance of firms: A study of growth and innovation rates in a high-technology industry. Strat. Manag. J. 2000, 21, 791–811. [Google Scholar] [CrossRef]
- Wang, D.; Zhao, X.; Zhang, Z. The Time Lags Effects of Innovation Input on Output in National Innovation Systems: The Case of China. DDNS 2016. Available online: https://www.hindawi.com/journals/ddns/2016/1963815/ (accessed on 19 January 2019). [CrossRef]
- Powell, W.W.; Koput, K.W.; Smith-Doerr, L. Interorganizational collaboration and the locus of innovation: Networks of learning in biotechnology. Adm. Sci. Q. 1996, 41, 116–145. [Google Scholar] [CrossRef]
- Shu, C.; Page, A.L.; Gao, S.; Jiang, X. Managerial Ties and Firm Innovation: Is Knowledge Creation a Missing Link? J. Prod. Innovat. Manag. 2012, 29, 125–143. [Google Scholar] [CrossRef]
- Bruynseels, L.; Cardinaels, E. The audit committee: Management watchdog or personal friend of the CEO? Account. Rev. 2013, 89, 113–145. [Google Scholar] [CrossRef]
- Rojas, M.G.A.; Solis, E.R.R.; Zhu, J.J. Innovation and network multiplexity: R&D and the concurrent effects of two collaboration networks in an emerging economy. Res. Policy 2018, 47, 1111–1124. [Google Scholar]
- Leiponen, A.E. Competing through cooperation: The organization of standard setting in wireless telecommunications. Manag. Sci. 2008, 54, 1904–1919. [Google Scholar] [CrossRef]
- Freeman, L.C. Centrality in social networks conceptual clarification. Soc. Netw. 1978, 1, 215–239. [Google Scholar] [CrossRef]
- Ahuja, M.K.; Galletta, D.F.; Carley, K.M. Individual Centrality and Performance in Virtual R&D Groups: An Empirical Study. Manag. Sci. 2003, 49, 21–38. [Google Scholar]
- Sabidussi, G. The centrality index of a graph. Psychometrika 1966, 31, 581–603. [Google Scholar] [CrossRef] [PubMed]
- Lee, D.H.; Seo, I.W.; Choe, H.C.; Kim, H.D. Collaboration network patterns and research performance: The case of Korean public research institutions. Scientometrics 2012, 91, 925–942. [Google Scholar] [CrossRef]
- Hair, J.F.; Anderson, R.E.; Tatham, R.L.; Black, W.C. Multivariate Data Analysis; Prentice-Hall: Upper Saddle River, NJ, USA, 1998. [Google Scholar]
- Hausman, J.A.; Hall, B.H.; Griliches, Z. Econometric Models for Count Data with an Application to the Patents-R&D Relationship; National Bureau of Economic Research: Cambridge, MA, USA, 1984. [Google Scholar]
- Almon, S. The distributed lag between capital appropriations and expenditures. Econometrica 1965, 33, 178–196. [Google Scholar] [CrossRef]
- Almon, S. Lags between investment decisions and their causes. Rev. Econ. Stat. 1968, 50, 193–206. [Google Scholar] [CrossRef]
- Dul, J. Necessary condition analysis (NCA) logic and methodology of “Necessary but Not Sufficient” causality. Organ. Res. Meth. 2016, 19, 10–52. [Google Scholar] [CrossRef]
- Shin, N.; Park, S.H.; Park, S. Partnership-Based Supply Chain Collaboration: Impact on Commitment, Innovation, and Firm Performance. Sustainability 2019, 11, 449. [Google Scholar] [CrossRef]
- Ze, R.; Kun, Z.; Boadu, F.; Yu, L. The Effects of Boundary-Spanning Search, Network Ties, and Absorptive Capacity for Innovation: A Moderated Mediation Examination. Sustainability 2018, 10, 3980. [Google Scholar] [CrossRef]
- Wen, X.; Quacoe, D.; Quacoe, D.; Appiah, K.; Ada Danso, B. Analysis on Bioeconomy’s Contribution to GDP: Evidence from Japan. Sustainability 2019, 11, 712. [Google Scholar] [CrossRef]
- Dickson, H.D.; Starleaf, D.R. Polynomial distributed lag structures in the demand function for money. J. Finance 1972, 27, 1035–1043. [Google Scholar] [CrossRef]
- Fraga, J.; Botelho, A.; Sá, A.; Costa, M.; Quaresma, M. The Lag Structure and the General Effect of Ozone Exposure on Pediatric Respiratory Morbidity. Int. J. Environ. Res. Publ. Health 2011, 8, 4013–4024. [Google Scholar] [CrossRef] [PubMed]
- Neuberger, M.; Moshammer, H.; Rabczenko, D. Acute and Subacute Effects of Urban Air Pollution on Cardiopulmonary Emergencies and Mortality: Time Series Studies in Austrian Cities. Int. J. Environ. Res. Publ. Health 2013, 10, 4728–4751. [Google Scholar] [CrossRef] [PubMed]
- Scott, J.; Carrington, P.J. The SAGE Handbook of Social Network Analysis; SAGE Publications: New York, NY, USA, 2011. [Google Scholar]
- Ho, Y.; Chiu, H. A social network analysis of leading semiconductor companies’ knowledge flow network. Asia Pac. J. Manag. 2013, 30, 1265–1283. [Google Scholar] [CrossRef]
- Antonelli, C. Knowledge exhaustibility and Schumpeterian growth. J. Technol. Transfer 2018, 43, 779–791. [Google Scholar] [CrossRef]
- Jones, C.I.; Williams, J.C. Measuring the social return to R&D. Q. J. Econ. 1998, 113, 1119–1135. [Google Scholar]
- Kao, T.-W.D.; Simpson, N.C.; Shao, B.B.M.; Lin, W.T. Relating supply network structure to productive efficiency: A multi-stage empirical investigation. Euro. J. Oper. Res. 2017, 259, 469–485. [Google Scholar] [CrossRef]
- Gittelman, M.; Kogut, B. Does good science lead to valuable knowledge? Biotechnology firms and the evolutionary logic of citation patterns. Manag. Sc. 2003, 49, 366–382. [Google Scholar] [CrossRef]
- Borgatti, S.P.; Xun, L.I. On social network analysis in a supply chain context. J. Supply Chain Manag. 2010, 45, 5–22. [Google Scholar] [CrossRef]
- Kim, Y.; Choi, T.Y.; Yan, T.; Dooley, K. Structural investigation of supply networks: A social network analysis approach. J. Oper. Manag. 2011, 29, 194–211. [Google Scholar] [CrossRef]
- Perrysmith, J.E. Social Yet Creative: The role of social relationships in facilitating individual creativity. Acad. Manag. J. 2006, 49, 85–101. [Google Scholar] [CrossRef]
- Liu, F.; Zhang, N.; Cao, C. An evolutionary process of global nanotechnology collaboration: A social network analysis of patents at USPTO. Scientometrics 2017, 111, 1449–1465. [Google Scholar] [CrossRef]
- Gassmann, O.; von Zedtwitz, M. New Concepts and Trends in International R&D Organization. Res. Policy 1999, 28, 231–250. [Google Scholar]
© 2019 by the authors. Licensee MDPI, Basel, Switzerland. This article is an open access article distributed under the terms and conditions of the Creative Commons Attribution (CC BY) license (http://creativecommons.org/licenses/by/4.0/).

