Impacts of Climate on Spatiotemporal Variations in Vegetation NDVI from 1982–2015 in Inner Mongolia, China
Abstract
1. Introduction
2. Materials and Methods
2.1. Study Area
2.2. Datasets
2.2.1. GIMMS NDVI Version 3
2.2.2. Meteorological Datasets
2.3. Methods
2.3.1. Fast Fourier Transformation
2.3.2. Complete Ensemble Empirical Mode Decomposition with Adaptive Noise
- Calculate ;
- Decompose the signals to obtain the first modes by EMD, calculating the first mode function by CEEMDAN as :
- Calculate the first residual as :
- Decompose realizations (i = 1, 2, ..., I) to the first EMD mode, where is the standard deviation of the white Gaussian noise for the first stage, and the second mode is :
- Compute the residual (k = 2, 3, ..., K) as the :
- According to formula (4), the mode is , and is the standard deviation of the white Gaussian noise for the stage with k = 1, 2, ..., K:
- Repeat Equations (5),(6) until the obtained residual is a monotonic function that cannot be further decomposed by EMD. If k is the total number of modes and is the final residual, the target signal will be described as follows:
2.3.3. Trend Line Analysis
2.3.4. Piecewise Linear Regression Analysis
2.3.5. Hurst Index (R/S)
- Define the sequence of the time series,
- Calculate the accumulated deviation,
- Create the range sequence,
- Create the standard deviation sequence,
- Acquire the Hurst exponent,
3. Result and Discussion
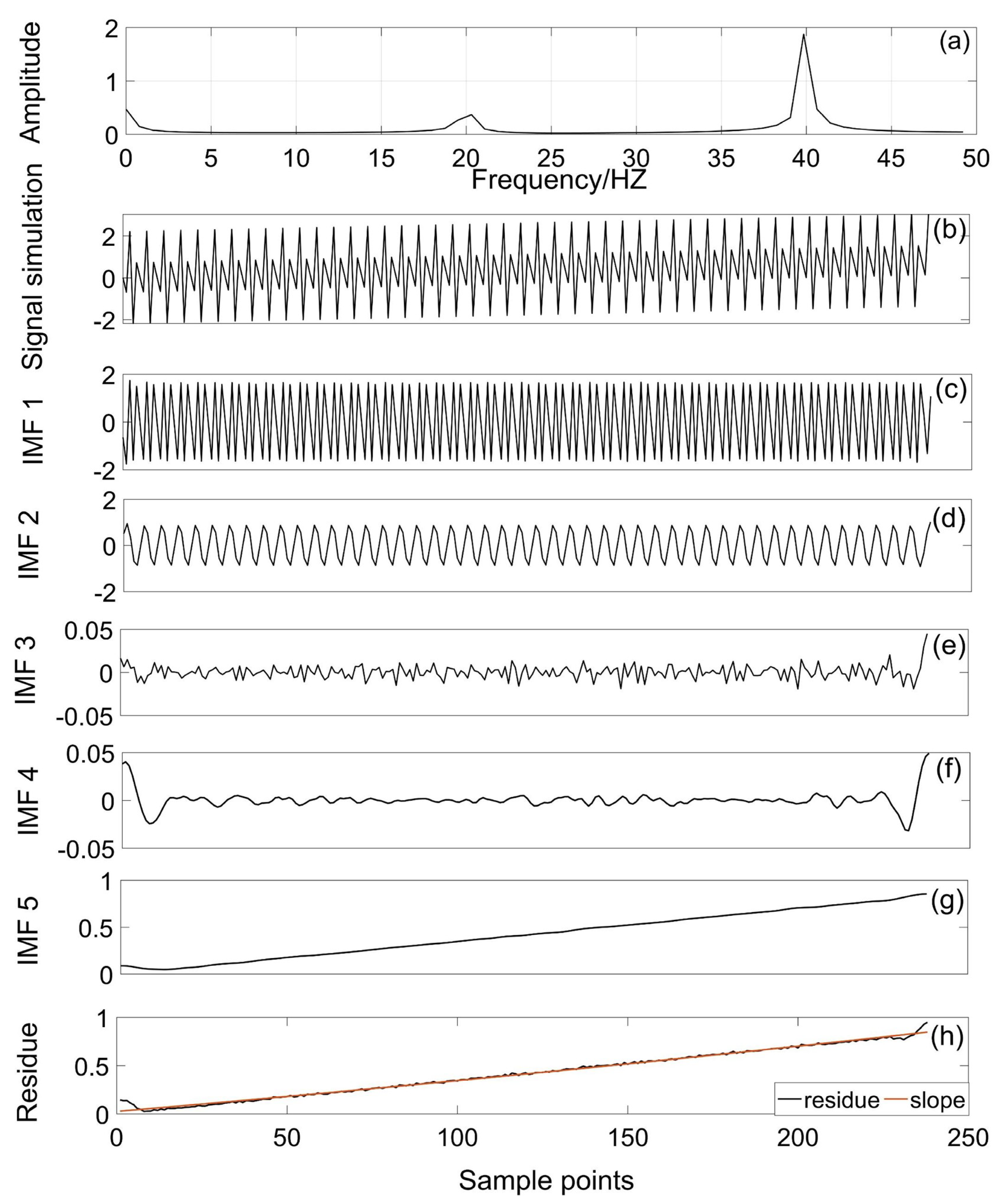
3.1. Signal Simulation
3.2. Periodicity Analysis
3.2.1. Periodicity Analysis of NDVI
3.2.2. Periodicity Analysis of Meteorological Factors
3.3. Temporal and Spatial Variations in Vegetation
3.3.1. Interannual Variations in NDVI
3.3.2. Spatial Characteristics of Vegetation Variations
3.3.3. Continuity Characteristics of Vegetation
3.4. The Influencing Factors Analysis
3.4.1. Correlation Analysis between Vegetation and Climate on a Monthly Scale
3.4.2. The Partial Correlation between NDVI and Climatic Factors based on an Annual Scale
4. Conclusions
Author Contributions
Acknowledgments
Conflicts of Interest
References
- Liu, R.; Shang, R.; Liu, Y.; Lu, X. Global evaluation of gap-filling approaches for seasonal ndvi with considering vegetation growth trajectory, protection of key point, noise resistance and curve stability. Remote Sens. Environ. 2017, 189, 164–179. [Google Scholar] [CrossRef]
- Peng, S.; Chen, A.; Xu, L.; Cao, C.; Fang, J.; Myneni, R.B.; Pinzon, J.E.; Tucker, C.J.; Piao, S. Recent change of vegetation growth trend in China. Environ. Res. Lett. 2011, 6, 044027. [Google Scholar] [CrossRef]
- Sun, W.; Song, X.; Mu, X.; Gao, P.; Wang, F.; Zhao, G. Spatiotemporal vegetation cover variations associated with climate change and ecological restoration in the Loess Plateau. Agric. For. Meteorol. 2015, 209–210, 87–99. [Google Scholar] [CrossRef]
- Zhao, A.; Zhang, A.; Lu, C.; Wang, D.; Wang, H.; Liu, H. Spatiotemporal variation of vegetation coverage before and after implementation of grain for green program in loess plateau, China. J. Nat. Resour. 2017, 104, 13–22. [Google Scholar] [CrossRef]
- Piao, S.; Wang, X.; Ciais, P.; Zhu, B.; Wang, T.; Liu, J. Changes in satellite-derived vegetation growth trend in temperate and boreal Eurasia from 1982 to 2006. Glob. Chang. Biol. 2011, 17, 3228–3239. [Google Scholar] [CrossRef]
- Wen, Z.; Wu, S.; Chen, J.; Lü, M. Ndvi indicated long-term interannual changes in vegetation activities and their responses to climatic and anthropogenic factors in the three gorges reservoir region, china. Sci. Total Environ. 2017, 574, 947–959. [Google Scholar] [CrossRef]
- De Keersmaecker, W.; Lhermitte, S.; Hill, M.; Tits, L.; Coppin, P.; Somers, B. Assessment of regional vegetation response to climate anomalies: A case study for australia using gimms ndvi time series between 1982 and 2006. Remote Sens. 2017, 9, 34. [Google Scholar] [CrossRef]
- Miao, C.; Yang, L.; Chen, X.; Gao, Y. The vegetation cover dynamics (1982–2006) in different erosion regions of the Yellow River Basin, China. Land Degrad. Dev. 2012, 23, 62–71. [Google Scholar] [CrossRef]
- Davis, C.L.; Hoffman, M.T.; Roberts, W. Long-term trends in vegetation phenology and productivity over namaqualand using the gimms avhrr ndvi3g data from 1982 to 2011. South Afr. J. Bot. 2017, 111, 76–85. [Google Scholar] [CrossRef]
- Ulsig, L.; Nichol, C.J.; Huemmrich, K.F.; Landis, D.R.; Middleton, E.M.; Lyapustin, A.I.; Mammarella, I.; Levula, J.; Porcar-Castell, A. Detecting inter-annual variations in the phenology of evergreen conifers using long-term modis vegetation index time series. Remote Sens. 2017, 9, 49. [Google Scholar] [CrossRef]
- Zhang, H.; Tang, H.; Yang, G.; Li, G.; Chen, B.; Xin, X. Changes of spatial-temporal characteristics based on MODIS NDVI data in Inner Mongolia grassland from 2000 to 2008. Trans. Chin. Soc. Agric. Eng. 2009, 25, 168–175. [Google Scholar]
- Sellers, P.J. Canopy reflectance, photosynthesis and transpiration. Int. J. Remote Sens. 1985, 6, 1335–1372. [Google Scholar] [CrossRef]
- Hope, A.S.; Boynton, W.L.; Stow, D.A.; Douglas, D.C. Interannual growth dynamics of vegetation in the kuparuk river watershed, alaska based on the normalized difference vegetation index. Int. J. Remote Sens. 2003, 24, 3413–3425. [Google Scholar] [CrossRef]
- Zhang, X.; Hu, Y.; Zhuang, D.; Qi, Y.; Ma, X. Ndvi spatial pattern and its differentiation on the mongolian plateau. J. Geogr. Sci. 2009, 19, 403–415. [Google Scholar] [CrossRef]
- De Beurs, K.M.; Henebry, G.M. Land surface phenology, climatic variation, and institutional change: Analyzing agricultural land cover change in Kazakhstan. Remote Sens. Environ. 2004, 89, 497–509. [Google Scholar] [CrossRef]
- Alcantara, C.; Kuemmerle, T.; Prishchepov, A.V.; Radeloff, V.C. Mapping abandoned agriculture with multi-temporal MODIS satellite data. Remote Sens. Environ. 2012, 124, 334–347. [Google Scholar] [CrossRef]
- Guo, X.; Zhang, H.; Wu, Z.; Zhao, J.; Zhang, Z. Comparison and evaluation of annual ndvi time series in china derived from the noaa avhrr ltdr and terra modis mod13c1 products. Sensors 2017, 17, 1298. [Google Scholar]
- Tong, S.; Zhang, J.; Bao, Y.; Lai, Q.; Lian, X.; Li, N.; Bao, Y. Analyzing vegetation dynamic trend on the mongolian plateau based on the hurst exponent and influencing factors from 1982–2013. J. Geogr. Sci. 2018, 28, 595–610. [Google Scholar] [CrossRef]
- Turner, B.L., II; Lambin, E.F.; Reenberg, A. From the cover land change science special feature:The emergence of land change science for global environmental change and sustainability. Proc. Natl. Acad. Sci. USA 2007, 104, 20666–20671. [Google Scholar] [CrossRef]
- Miao, L.; Luan, Y.; Luo, X.; Liu, Q.; John, C.M.; Reshmita, N.; He, B.; Zhu, F.; Cui, X. Analysis of the phenology in the Mongolian Plateau by inter-comparison of global vegetation datasets. Remote Sens. 2013, 5, 5193–5208. [Google Scholar] [CrossRef]
- Lee, R.; Yu, F.; Price, K.P.; Ellis, J.; Shi, P. Evaluating vegetation phenological patterns in Inner Mongolia using NDVI time series analysis. Int. J. Remote Sens. 2002, 23, 2505–2512. [Google Scholar] [CrossRef]
- Bhatt, U.S.; Walker, D.A.; Raynolds, M.K.; Bieniek, P.A.; Epstein, H.E.; Comiso, J.C.; Pinzon, J.E.; Tucker, C.J.; Steele, M.; Ermold, W. Changing seasonality of panarctic tundra vegetation in relationship to climatic variables. Environ. Res. Lett. 2017, 12, 055003. [Google Scholar] [CrossRef]
- Cao, X.J.; Gao, Q.Z.; Hasbagan, G.; Liang, Y.; Li, W.H.; Hu, G.Z. Influence of climatic factors on variation in the normalised difference vegetation index in mongolian plateau grasslands. Rangel. J. 2017, 40, 91–100. [Google Scholar] [CrossRef]
- Guo, L.; Wu, S.; Zhao, D.; Yin, Y.; Leng, G.; Zhang, Q. NDVI-Based Vegetation Chang in Inner Mongolia from 1982 to 2006 and Its Relationship to Climate at the Biome Scale. Adv. Meteorol. 2014. [Google Scholar] [CrossRef]
- Liu, B.; Henderson, M.; Zhang, Y.; Xu, M. Spatiotemporal change in China’s climatic growing season: 1955–2000. Clim. Chang. 2010, 99, 93–118. [Google Scholar] [CrossRef]
- Lu, N.; Wilske, B.; Ni, J.; John, R.; Chen, J. Climate change in Inner Mongolia from 1955 to 2005—Trends at regional, biome and local scales. Environ. Res. Lett. 2009, 4, 045006. [Google Scholar] [CrossRef]
- Gu, Z.; Duan, X.; Shi, Y.; Li, Y.; Pan, X. Spatiotemporal variation in vegetation coverage and its response to climatic factors in the red river basin, china. Ecol. Indic. 2018, 93, 54–64. [Google Scholar] [CrossRef]
- Sha, Z.; Bai, Y.; Xie, Y.; Yu, M.; Zhang, L. Using a hybrid fuzzy classifier (HFC) to map typical grassland vegetation in Xilin River Basin, Inner Mongolia, China. Int. J. Remote Sens. 2008, 29, 2317–2337. [Google Scholar] [CrossRef]
- Xie, Y.; Sha, Z. Quantitative analysis of driving factors of grassland degradation: A case study in Xilin River Basin, Inner Mongolia. The Sci. World J. 2012, 2012. [Google Scholar] [CrossRef]
- Bailing, M.; Li, Z.Y.; Liang, C.Z.; Wang, L.X.; Jia, C.Z.; Bao, F.X.; Chao, J. Temporal and spatial heterogeneity of drought impact on vegetation growth on the inner mongolian plateau. Rangel. J. 2018, 40, 113–128. [Google Scholar] [CrossRef]
- Zhang, A.; Xie, Y. Chaos Theory-Based Data-Mining Technique for Image Endmember Extraction: Laypunov Index and Correlation Dimension (L and D). IEEE Trans. Geosci. Remote Sens. 2014, 52, 1935–1947. [Google Scholar] [CrossRef]
- Xie, Y.; Sha, Z.; Bai, Y. Classifying historical remotely sensed imagery using a tempo-spatial feature evolution (T-SFE) model. ISPRS J. Photogramm. Remote Sens. 2010, 65, 182–190. [Google Scholar] [CrossRef]
- Li, S.; Xie, Y.; Brown, D.G.; Bai, Y.; Hua, J.; Judd, K. Spatial variability of the adaptation ofgrassland vegetation to climatic change in Inner Mongolia of China. Appl. Geogr. 2013, 43, 1–2. [Google Scholar] [CrossRef]
- Cao, X.; Gu, Z.H.; Jin, C.; Liu, J.; Shi, P.J. Analysis of human-induced steppe degradation based on remote sensing in Xilin Gole, Inner Mongolia, China. J. Plant Ecol. 2005, 30, 268–277. [Google Scholar]
- Hirano, A.; Batbileg, B. Identifying trends in the distribution of vegetation in mongolia in the decade after its transition to a market economy. Jpn. Agric. Res. Q. 2013, 47, 203–208. [Google Scholar] [CrossRef]
- Li, S.; Xie, Y. Investigating Coupled Impacts of Climate Change and Socioeconomic Transformation on Desertification by Using Multitemporal Landsat Images: A Case Study in Central Xilingol, China. IEEE Geosci. Remote Sens. Lett. 2013, 10, 1244–1248. [Google Scholar]
- Mu, S.; Yang, H.; Li, J.; Chen, Y.; Gang, C.; Zhou, W.; Ju, W. Spatio-temporal dynamics of vegetation coverage and its relationship with climate factors in inner mongolia, China. J. Geogr. Sci. 2013, 23, 231–246. [Google Scholar] [CrossRef]
- Guay, K.C.; Beck, P.S.; Berner, L.T.; Goetz, S.J.; Baccini, A.; Buermann, W. Wolfgang Buermann. Vegetation productivity patterns at high northern latitudes: A multi-sensor satellite data assessment. Glob. Chang. Biol. 2014, 20, 3147–3158. [Google Scholar] [CrossRef]
- Piao, S.; Mohammat, A.; Fang, J.; Cai, Q.; Feng, J. Ndvi-based increase in growth of temperate grasslands and its responses to climate changes in china. Glob. Environ. Chang. 2006, 16, 340–348. [Google Scholar] [CrossRef]
- Zhong, L.; Ma, Y.; Salama, M.S.; Su, Z. Assessment of vegetation dynamics and their response to variations in precipitation and temperature in the Tibetan Plateau. Clim. Chang. 2010, 103, 519. [Google Scholar] [CrossRef]
- Wang, J.; Rich, P.M.; Price, K.P. Temporal responses of ndvi to precipitation and temperature in the central great plains. USA Int. J. Remote Sens. 2003, 24, 20. [Google Scholar] [CrossRef]
- Fabricante, I.; Oesterheld, M.; Paruelo, J.M. Annual and seasonal variation of ndvi explained by current and previous precipitation across northern patagonia. J. Arid Environ. 2009, 73, 745–753. [Google Scholar] [CrossRef]
- Schultz, P.A.; Halpert, M.S. Global correlation of temperature, ndvi and precipitation. Adv. Space Res. 2009, 13, 277–280. [Google Scholar] [CrossRef]
- Li, Q.; Li, F.; Wu, L. A primary analysis on climatic change and grassland degradation in Inner Mongolia. Agric. Res. Arid Areas 2002, 20, 98–102. [Google Scholar]
- Han, F.; Kang, S.; Buyantuev, A.; Zhang, Q.; Niu, J.; Yu, D.; Ding, Y.; Liu, P.; Ma, W. Effects of climate change on primary production in the inner mongolia plateau, china. Int. J. Remote Sens. 2016, 37, 5551–5564. [Google Scholar] [CrossRef]
- Tucker, C.; Pinzon, J.; Brown, M.; Slayback, D.; Pak, E.; Mahoney, R.; Vermote, E.; Saleous, E. An extended AVHRR 8-km NDVI dataset compatible with MODIS and SPOT vegetation NDVI data. Int. J. Remote Sens. 2005, 26, 4485–4498. [Google Scholar] [CrossRef]
- Anyamba, A.; Small, J.L.; Tucker, C.J.; Pak, E.W. Thirty-two years of sahelian zone growing season Non-Stationary NDVI3g patterns and trends. Remote Sens. 2014, 6, 3101–3122. [Google Scholar] [CrossRef]
- Cooley, J.W.; Tukey, J.W. An algorithm for the machine calculation of complex fourier series. Math. Comput. 1965, 19, 297–301. [Google Scholar] [CrossRef]
- Guelachvili, G. Transform Spectrum; Peking University Press: Beijing, China, 1990; pp. 55–93. [Google Scholar]
- LÜ, N.; Chen, J.B. Fourier Optics; Science Press: Beijing, China, 1985; pp. 144–189. [Google Scholar]
- Pang, J.; Wen, J.; Zhao, M. The N = 2M FFT Algorithm for Decimation in Time. Opt. Precis. Eng. 1995, 480, 589–597. [Google Scholar]
- Torres, M.E.; Colominas, M.A.; Schlotthauer, G.; Flandrin, P. A complete ensemble empirical mode decomposition with adaptive noise. In Proceedings of the 2011 IEEE International Conference on Acoustics, Speech and Signal (ICASSP), Prague, Czech Republic, 22–27 May 2011; pp. 4144–4147. [Google Scholar]
- Huang, N.E.; Shen, Z.; Long, S.R.; Wu, M.C.; Shih, H.H.; Zheng, Q.; Yen, N.C.; Tung, C.C.; Liu, H.H. The empirical mode decomposition and the Hilbert spectrum for nonlinear and non-stationary time series analysis. Proc. R. Soc. Lond. A Math. Phys. Eng. Sci. 1998, 454, 903–995. [Google Scholar] [CrossRef]
- Rao, S.K.; Hsu, C.C.; Chan, K.K. Antenna system supporting multiple frequency bands and multiple beams. IEEE Trans. Antennas Propag. 2008, 56, 3327–3329. [Google Scholar] [CrossRef]
- Son, N.T.; Chen, C.F.; Chen, C.R.; Chang, L.Y.; Duc, H.N.; Nguyen, L.D. Prediction of rice crop yield using modis evi−lai data in the mekong delta, vietnam. Int. J. Remote Sens. 2013, 34, 18. [Google Scholar] [CrossRef]
- Wang, J.; Li, B.; Yu, W. Analysis of vegetation trend and their causes during recent 30 years in Inner Mongolia Autonomous Region. J. Arid Land Res. Environ. 2012, 26, 132–138. [Google Scholar]
- Stanley, W.D. Technical Analysis and Applications with Matlab; Cengage Learning: Boston, MA, USA, 2004; p. 143. ISBN 1401864813. [Google Scholar]
- Tom, A.R.; Miranda, P.M.A. Piecewise linear fitting and trend changing points of climate parameters. Geophys. Res. Lett. 2004, 31. [Google Scholar] [CrossRef]
- Sun, J.; Wang, X.; Chen, A.; Ma, Y.; Cui, M.; Piao, S. NDVI indicated characteristics of vegetation cover change in China’s metropolises over the last three decades. Environ. Monit. Assess. 2011, 179, 1–4. [Google Scholar] [CrossRef]
- Wang, G.; Zhou, K.; Sun, L.; Qin, Y.; Li, M. Study on the Vegetation Dynamic Change and R/S Analysis in the Past Ten Years in Xinjiang. Remote Sens. Technol. Appl. 2010, 25, 84–90. [Google Scholar]
- Yin, X.; Wang, S. Fractal Characteristics and Trend Forecast of Dust-Storms and Severe- Dust-Storms in Northern China. J. Desert Res. 2007, 27, 130–136. [Google Scholar]
- Miao, L.; Jiang, C.; Xue, B.; Liu, Q.; He, B.; Nath, R.; Cui, X. Vegetation dynamics and factor analysis in arid and semi-arid Inner Mongolia. Environ. Earth Sci. 2015, 73, 2343–2352. [Google Scholar] [CrossRef]
- Zhang, Q.Y.; Wu, S.H.; Zhao, D.S.; Dai, E.F. Responses of growing season vegetation changes to climatic factors in inner mongolia grassland. J. Nat. Resour. 2013, 28, 754–764. [Google Scholar]
- Chen, X.; Wang, H. Spatial and temporal variations of vegetation belts and vegetation cover degrees in inner mongolia from 1982 to 2003. Acta Geogr. Sin. 2009, 64, 84–94. [Google Scholar]
- Yang, Y.; Xu, J.; Hong, Y.; Lv, G. The dynamic of vegetation coverage and its response to climate factors in inner mongolia, china. Stoch. Environ. Res. Risk Assess. 2012, 26, 357–373. [Google Scholar] [CrossRef]
- Liu, X.F.; Zhu, X.F.; Pan, Y.Z.; Zhao, A.Z.; Li, Y.Z. Spatiotemporal changes of cold surges in Inner Mongolia between 1960 and 2012. J. Geogr. Sci. 2015, 25, 259–273. [Google Scholar] [CrossRef]
- Liu, Y.X.; Liu, X.F.; Hu, Y.N.; Li, S.S.; Peng, J.; Wang, Y.L. Analyzing nonlinear variations in terrestrial vegetation in China during 1982–2012. Environ. Monit. Assess 2015, 187, 722. [Google Scholar] [CrossRef] [PubMed]
- Du, J.Q.; Zhao, C.X.; Shu, J.M.; Jiaerheng, A.; Yuan, X.J.; Yin, J.Q.; Fang, S.F.; He, P. Spatiotemporal changes of vegetation on the Tibetan Plateau and relationship to climatic variables during multiyear periods from 1982–2012. Environ. Earth Sci. 2015, 75, 77. [Google Scholar] [CrossRef]
- Zhao, Y.; Zhang, X.; Wang, J.; Shen, Z. Correlation analysis between ndvi and climatic factors of grassland ecosystems in the northern tibetan plateau from 1982 to 2003. Resour. Sci. 2009, 31, 1988–1998. [Google Scholar]
- Meng, M.; Zheng, N. Change characteristic of ndvi and its response to climate change in inner mongolia over the past 30 years. Remote Sens. Technol. Appl. 2018, 33, 676–685. [Google Scholar]
- Bai, M.; Hao, R.; Xicang, L.I.; Yang, J. Variable characteristics of extreme climate events during 1961–2010 in inner mongolia. J. Arid Meteorol. 2014, 32, 189–193. [Google Scholar]
- Bao, Y.; Li, X.B.; Li, C. Spatial temporal distribution characteristics of temperature in Inner Mongolia during 1961–2007. J. Arid Land Resour. Environ. 2010, 24, 80–84. [Google Scholar]
- Zhang, L.Y.; Liu, A.J.; Xin, Q.; Liu, D.F.; Gan, W. Trend and analysis of vegetation variation of typical rangeland in inner Mongolia-A case study of typical rangeland of Xinlinguole. J. Arid Land Resour. Environ. 2006, 20, 185–190. [Google Scholar]
- Yang, Q.; Wang, T.; Chen, H.; Wang, Y. Characteristics of vegetation cover change in xilin gol league based on modis evi data. Trans. Chin. Soc. Agric. Eng. 2015, 31, 191–198. [Google Scholar]
- Zhou, X.Y. The Impacts of Climate Change and Land Use on Vegetation Cover in Mongolia Plateau; Beijing Forestry University: Beijing, China, 2014. [Google Scholar]












| Area/km2 | Area Percentage/% | ||||||||
|---|---|---|---|---|---|---|---|---|---|
| P | Rank | 1982–1999 | 1999–2009 | 2009–2015 | 1982–2015 | 1982–1999 | 1999–2009 | 2009–2015 | 1982–2015 |
| <0.01 | Extremely Significant Degradation | 2944 | / | 768 | 196,544 | 0.26% | / | 0.07% | 17.24% |
| <0.05 | Significant Degradation | 4352 | / | 4608 | 15,616 | 0.38% | / | 0.40% | 1.37% |
| <0.1 | Weakly Significant Degradation | 2624 | / | 7744 | 6848 | 0.23% | / | 0.68% | 0.60% |
| >0.1 | No Significant Degradation | 155,200 | 601,728 | 179,136 | 40,640 | 13.62% | 52.78% | 15.71% | 3.57% |
| >0.1 | No Significant Improvement | 549,952 | 538,368 | 604,736 | 44,096 | 48.24% | 47.22% | 53.03% | 3.87% |
| <0.1 | Weak Improvement | 100,416 | / | 105,408 | 8128 | 8.81% | / | 9.24% | 0.71% |
| <0.05 | Significant Improvement | 132,352 | / | 162,432 | 19,392 | 11.61% | / | 14.24% | 1.70% |
| <0.01 | Extremely Significant Improvement | 192,064 | / | 75,584 | 808,576 | 16.85% | / | 6.63% | 70.94% |
| Total | 1,139,904 | 1,140,096 | 1,140,416 | 1,139,840 | 100.00% | 100.00% | 100.00% | 100.00% | |
| H | Rank | Area/km2 | Area Percentage/% |
|---|---|---|---|
| <0.2 | Anti-persistent strong | 16064 | 1.41% |
| 0.2~0.35 | Anti-persistent stronger | 50176 | 4.42% |
| 0.35~0.5 | Anti-persistent weakness | 135104 | 11.90% |
| 0.5~0.65 | Persistent weakness | 267904 | 23.58% |
| 0.65~0.75 | Persistent stronger | 237440 | 20.91% |
| >0.75 | Persistent strong | 429056 | 37.78% |
| Total | 1135744 | 100.00% |
| Partial Correlation Coefficient | Correlation Coefficient | ||||
|---|---|---|---|---|---|
| NDVI | Original data | IMF1 | Residual (no IMF1) | IMF2 | Residual (no IMF1 or IMF2) |
| Temperature | 0.894 | 0.92 | 0.582 | 0.651 ** | 0.135 * |
| Precipitation | 0.526 | 0.672 | −0.057 | / | / |
© 2019 by the authors. Licensee MDPI, Basel, Switzerland. This article is an open access article distributed under the terms and conditions of the Creative Commons Attribution (CC BY) license (http://creativecommons.org/licenses/by/4.0/).
Share and Cite
Liu, X.; Tian, Z.; Zhang, A.; Zhao, A.; Liu, H. Impacts of Climate on Spatiotemporal Variations in Vegetation NDVI from 1982–2015 in Inner Mongolia, China. Sustainability 2019, 11, 768. https://doi.org/10.3390/su11030768
Liu X, Tian Z, Zhang A, Zhao A, Liu H. Impacts of Climate on Spatiotemporal Variations in Vegetation NDVI from 1982–2015 in Inner Mongolia, China. Sustainability. 2019; 11(3):768. https://doi.org/10.3390/su11030768
Chicago/Turabian StyleLiu, Xinxia, Zhixiu Tian, Anbing Zhang, Anzhou Zhao, and Haixin Liu. 2019. "Impacts of Climate on Spatiotemporal Variations in Vegetation NDVI from 1982–2015 in Inner Mongolia, China" Sustainability 11, no. 3: 768. https://doi.org/10.3390/su11030768
APA StyleLiu, X., Tian, Z., Zhang, A., Zhao, A., & Liu, H. (2019). Impacts of Climate on Spatiotemporal Variations in Vegetation NDVI from 1982–2015 in Inner Mongolia, China. Sustainability, 11(3), 768. https://doi.org/10.3390/su11030768
