Next Article in Journal
Challenges for Integrating Strategic Environmental Assessment to Enhance Environmental Thinking: A Case Study of Taiwan Energy Policy
Next Article in Special Issue
On the Reduction of the Biological Danger of Environmental Contamination by Using a “Complete and Reusable Thoracic Drainage System”
Previous Article in Journal
Characteristics of the Soil and Vegetation along the Yulin–Jingbian Desert Expressway in China
Previous Article in Special Issue
Reducing the Risks during the Purchase of Five-Axis CNC Machining Centers Using AHP Method and Fuzzy Systems
 
 
Font Type:
Arial Georgia Verdana
Font Size:
Aa Aa Aa
Line Spacing:
Column Width:
Background:
Article

Research on the Behavior of Factors That Influence the International Virtual Project Team Performance, Using Data Modeling Techniques

by
Iulia Dumitraşcu-Băldău
1,* and
Oana Dumitraşcu
2
1
Industrial Engineering and Management Department, “Lucian Blaga” University of Sibiu, 550024 Sibiu, Romania
2
Industrial Machines and Equipment Department, “Lucian Blaga” University of Sibiu, 550024 Sibiu, Romania
*
Author to whom correspondence should be addressed.
Sustainability 2019, 11(3), 607; https://doi.org/10.3390/su11030607
Submission received: 12 November 2018 / Revised: 16 January 2019 / Accepted: 21 January 2019 / Published: 24 January 2019
(This article belongs to the Collection Risk Assessment and Management)

Abstract

International projects have helped organizations around the world to better adapt to the new environmental conditions in which they operate, driven by the phenomenon of globalization. Electronic communication and information tools have enabled the creation of international virtual project teams (IVPTs), allowing team members to collaborate regardless of their geographic location or cultural, historical, socio-political, and educational differences. However, such an environment characterized by diversity will be productive only if the project team managers acknowledge and understand the behavior of influence factors comprised by the virtual environment, developing, accordingly, strategies that support team performance. In order to analyze the factors that influence IVPT performance, we used a C5.0 algorithm on the dataset through IBM SPSS Modeler software. Data collection was performed through an online survey, conducted within 107 IVPT members and managers, in order to answer the third question of the research. The predictive model created by the data mining algorithm revealed that the most important fields underlying the decision tree building were the cognitive skills training programs, team culture, and selection of IVPT members based on the characterisics of their national cultures. These results demonstrate the hypothesis that culture represents one of the most important factors influencing team performance.

1. Introduction

Many of the companies that initiate international projects develop sustainable strategies to align with international environmental policies, supporting sustainable development. Thereby, virtual teams can play a very important role by getting the “green job” title, taking into account that one of the advantages of these teams is the reduction of carbon footprints [1] (p. 694). “Sustainable development is a major concern as countries attempt to implement strategies to reduce greenhouse gas emissions. This involves reducing environmental pollution and the use of resources. The ability of organizations to respond to sustainability concerns is sometimes hindered by the complexity of integrating sustainability into business models and by the need to rethink their strategic directions” [2] (p. 1638). A green job is any job or self-employment that genuinely contributes to a more sustainable world [3]. Green jobs can also be distinguished by their contribution to more environmentally friendly processes [4]. Around 82% of Fortune magazine’s “100 Best Companies to Work For” embrace virtual work and support virtual work policies. As organizations realize fewer overhead costs and a reduction in carbon footprint, their virtual team members demonstrate increased productivity, better health and wellness, and reduced absenteeism [5] (p. 2). Until the advent of the internet, the collocated outsourced project teams communicated via telephone, fax, or through very expensive face-to-face meetings. The emergence of the internet enabled a substantial reduction in costs, and even their elimination, turning these dispersed teams into project teams in the virtual environment, enabling organizations to turn technology into a competitive advantage. This is supported by P.E. Brewer’s team definition, which states that “a virtual team is a team that performs most of its work remotely through technology, as opposed to doing tasks in face-to-face context” [6] (p. 16). “More than any other factor, information technology has allowed the proliferation of teams in the virtual environment. With mobile devices, text messages, e-learning modules, cloud computing, team members can interact in a more accessible way, from anywhere, anytime” [7] (p. 16).
Regarding the virtual team definition, most authors converge towards the same direction already mentioned in previous lines. The term “virtual team” is used to cover a wide range of activities and forms of technology-supported working. This team trait has fostered extensive use of a variety of forms of computer-mediated communication that enable geographically dispersed members to coordinate their individual efforts and inputs [8]. It must be specified that this communication through electronic tools does not transform a group of people into a team. For that, we will add to the above definition, an essential idea of Lee R. Margaret, that “these virtual teams share a work, product or a common project goal” [5] (p. 2). As project team members work in the context of a project, there is a start and a time to complete the work and time that they will spend together as a well-established team” [9]. These additions make them even more differentiated by outsourced teams that have designated a field of responsibility, each delivering a complete product or component. These specifications for the term “virtual team”, used in the research, have been made, because this work refers strictly to virtual project teams, rather than to a group of people who work together regularly from a distance. Also, a project team in the virtual environment will become international when its members operate outside national borders.
This research explores the factors that influence IVPT performance and their behavior, in order to offer an extended image of their importance and on which IVPT managers should focus the most part of their attention and efforts when creating strategies to increase IVPT performance. Our previous work is based mostly on bibliographic research regarding international projects and virtual teams management and its challengies, how to create an effective IVPT, and occupational emerging risks affecting IVPT results, by proposing different models which represented a base for the present empirical research.
Even though there is important literature regarding virtual team performance, it focuses mostly on the criteria, taking into consideration the characteristics of virtual teams as cultural differences in general, trust, team size, problems related to technology, and communication. This study tries to analyze the factors of influence also from the perspective of international projects, investigating the importance of the ones identified in previous studies, but also proposing new factors, which is considered to have a critical impact on IVPT performance, as cognitive skills training programs, national cultural dimensions, team culture, specific occupational risks of the virtual environment, and intercultural communication.

2. Literature Review

Creating teams in the virtual environment has many advantages [1] (p. 694) which can also be extended to international projects and turned into competitive advantages, especially due to low costs, access to human resources with specific skills and training regardless of the geographic area in which they are located, and more effective communication through online collaboration tools. An efficient virtual project team management can help increase the success rate of international projects. Brewer E. Pam [6] believes that IVPTs are the key to some of the greatest successes and failures in the global work environment, while the organization is learning to function as a complex network of people. As well, Nader Ale Ebrahim [8] states that virtual teams are a great area of know-how, which seems to be a promising source for the development of companies.
In order to benefit from the IVPT advantages and minimize the risks specific to the virtual environment, it is necessary to ensure a high performance of IVPT. In order to be achievable, first of all, it is required to identify the factors that could influence IVPT performance and understand their behavior. Following the literature review, the different factors which can influence IVPT performance were identified:
  • Selection of virtual project team members based on the skills and abilities needed in the virtual work environment
“Creating virtual teams gives organizations the opportunity to quickly attract talent from different functions, locations and organizations. The goal is to get intellectual capital and use it as quickly as possible. The methods used by the organization to manage this process can make the difference between success and failure” [10] (p. 14). Virtual team members, in order to communicate and collaborate successfully, must have or acquire specific skills that need to be established at the planning stage of the project in accordance with its purpose and objectives. As a result of bibliographic research, based on the characteristics of international projects (uniqueness, risk, complexity, additional resources, dynamism, multiculturalism, dispersed teams, multilateral cooperation) [11] (p. 472) and those of international virtual teams (virtual work environment, multiculturalism, geographic dispersion, complexity, uniqueness) [12] (p. 52), were identified the main competences that are necessary to be considered in the selection process, in order to build an effective IVPT: communication skills, cross-cultural intelligence skills, collaborative skills, behavioral skills, technology skills, organizational skills, time management skills [12] (p. 54). Establishing a profile of personal and professional skills required for IVPT members could facilitate their selection process, contributing to efficient team building, ensuring the performance and, implicitly, the achievement of the objectives and the purpose of the international project.
  • Selection of virtual project team members, taking into consideration the characterisics of their national cultures
Since there are more and more organizations from different countries who prefer virtual teams in order to operate, team performance may be directly or indirectly affected by the cultural contexts that each team member brings to the group. The IVPT members can be very different—in culture, skills, and even of different generations [13] (p. 33). Team building is one of the key processes that allows the creation of a high-performance team. Even though this seems similar to what is happening in traditional teams, the way the desired results are achieved differs and involves several variables, including national culture. It is very important for project managers to understand, very well, the national cultural dimensions, in order to be able to choose the appropriate management practices and tools, especially in terms of motivation and trust.
According to Hofstede, G. [14] (p. 23), a multicultural team is where members come from different cultural backgrounds. Henc, the IVPT is a multicultural team. Culture is defined as the collective programming of the mind by which members of a group or categories of persons are distinguished from others [14] (p. 23). In this research, when referring to national cultural dimensions, it means that they are taken into account using the six dimensions set by Hofstede G., which are the values that distinguish countries from one another: power distance—measures the degree to which the less powerful members of society accept the power to be unevenly distributed; individualism vs. collectivism—the position of society in this dimension is reflected by the self-image of members, which can be defined in terms of “me” or “we”; masculinity versus femininity—a male-defined society is more competitive and the one with a high degree of femininity is more oriented towards cooperation; avoiding uncertainty—the extent to which members of society feel threatened by the unknown. As a result of further research of Michael Harris Bond, supported by Hofstede, in 1991, the fifth dimension was added, namely long-term orientation—societies with a high level of this dimension are considered more pragmatic, encouraging efforts oriented towards modern education as a way of preparing for the future [14]. Additionally, in 2010, as a result of a study conducted by Michael Minkov, the sixth dimension, indulgence vs. restraint was added—indulgence is a society that allows relatively free satisfaction of the basic, natural needs of human being, related to the joy of living; instead, a restraint society is the one that suppresses the satisfaction of its needs and regulates it through strict social norms [15]. Depending on the task to be fulfilled, cultural differences, such as practices or values, may cause negative, positive, or neutral results [16].
  • Team culture/organizational culture
Organizational culture is defined as how members of an organization relate to one another, their work, and the outside environment, as compared to other organizations. These dimensions allow a tangible alignment of organizational culture and strategic objectives [15]. The type of culture built within the IVPT can contribute to a higher team performance or, on the contrary, to its total inefficiency. In order to analyze the culture within the team, we consider the model proposed by Bob Waisfisz in cooperation with Geert Hofstede [17] to be very useful, consisting of six autonomous or variable dimensions and two semi-autonomous dimensions. The organizational cultural model is “a diagnostic tool that reveals the hidden weaknesses and strengths and can predict what can happen if no action is taken or if something is done about it” [18].
  • Selection of online collaboration tools, taking into account the project team members’ national culture aspects
In this context of multiple cultures, the use of information and communication technology in favor of collaborative work offers the possibility of high performance and promotes multicultural understanding among citizens of different nations. The IVPT is a multicultural team without the benefit of direct interaction and direct communication, face-to-face, relying exclusively on electronic tools. Given the current state of technology, IVPT can function very well from a technical point of view, despite their global dispersal [16]. In order to make this possible, it is necessary that the selection of collaboration tools to be based on the preferences for certain online communication tools or technologies that characterize each national cultural dimension. Communication in the virtual environment is highly complex, due to the increased potential for inadequate or insufficient reception of the message sent by the interlocutors generated by the noise in the communication. This noise refers to any element that may interfere with the communication process, degrading the message, so its meaning will not be the intended one. Cultural differences can cause the noise during communication, so certain phrases or words can generate confusion and misunderstanding. Also, it can be determined by technology: internet connection problems that cause video or audio distortion in conferences. In these situations, feedback becomes vital, so it must be as explicit as possible, including confirmation of message reception [19] (p. 23).
  • Appropriate use of electronic instruments, depending on tasks and volume of information
The correct choice of virtual collaboration and communication tools, in line with the project objectives and the structure of the team, allows the removal of barriers created by physical distance and the lack of face-to-face communication, determining how the information sharing process will take place, the team building based on trust, maintaining motivation, prevention of physical and psycho-social professional risks, transmission of feedback, etc. An effective project team will have informed members that will know what to do, in order to have a successful project [20].
“If the chosen tools are unsafe, difficult to use or simply do not meet the needs of the team, time will be lost, the pace of work is slowed, the team can be demotivated, confusion and redundancy are created and there will be present a general picture of lacking professionalism” [21]. The choice of tools used by an IVPT is a very important process because “the richness of language elements can have a positive impact on the efficiency and effectiveness of the team, on the volume of communication, the relationship between the team members, the team commitment, planning, exchanging ideas and reaching a consensus” [22]. In order to create a successful collaboration environment, team structure, communication models and means must be effective and compatible with each other [16].
Regarding the effectiveness of the instruments in relation to the activities carried out, it is very useful the criteria set by Duarte D.L. and Snyder N. T. [10]: information sharing, discussion and brainstorming, collaborative decision making, collaborative product production.
  • Communication frequency in the virtual environment
“Communication describes the processes of distributing project information in a timely manner” [23]. “Communication is an omnipresent, dynamic and interactive process of decoding verbal and nonverbal messages within a well-defined cultural, psychological, relational and perceptual context. Although most of the transmitted messages are intended, as a rule, nonverbal messages are transmitted unintentionally and can influence the perception of others” [24] (p. 55). In a virtual work environment, communication and interaction are key success factors, and the lack of response or delayed response becomes an important non-verbal element. Instead, in an intercultural context, it is not always right to assume that more communication and interaction is better than less. The frequency and complexity of team communication must be carefully managed by team managers. Critical project reports often indicate that the main factors responsible for the poor performance of the project team are cultural and behavioral issues [25].
Communication lines may be affected by the fact that team members are geographically dispersed and that they are in areas with different time zones, which can create a temporary informational vacuum that can impact the project. A well-prepared IVPT manager will send information simultaneously to all team members and will check that the key messages of the communication have been correctly understood by those members who are directly addressed [13].
  • Establish rules on the use of online collaboration tools
The project manager will need to establish a set of procedures whereby each team member knows how and when to use each tool according to the information to be transmitted and the time at which it is to be transmitted so that the project team’s performance would not be affected. “Lines of communication are very important, because they represent the fluidity of information exchange, with great impact on the project. Any blockage in communication can have catastrophic effects” [13] (p. 33). “In a virtual team, communication is much more difficult. What could be solved by immediate interaction, just by going into someone else’s office in an ordinary work environment, can take longer when an email is not answered because the person is not in front of the computer, or if Skype does not work or is not active. In a present work environment, you can discuss easier the ideas of a colleague. In an online environment, more effort is needed to get involved, besides, you ask yourself if the others are too busy for something that can be very simple (analyst UX and virtual employee)” [19] (p. 23).
“Technological platforms available today have reached such a quality in communication that they have replaced the need for physical sessions and social interactions. We do not claim that this is not necessary or that it may not work well. We argue that technical solutions are so well-developed that they can replace physical interaction in global projects” [26] (p. 1446). However, it is necessary to establish rules for the communication and use of collaboration tools. For example, an auto-reply email should be set for each member of the team, specifying the maximum response time for e-mail and compliance. “Not answering to virtual messages causes silence. This can be detrimental to the team’s confidence and cohesion when team members are expected to be available for communication, but instead remain silent. This silence can be interpreted differently by the participants in the communication. Project team members may become silent because they agree, because they disagree, because they are absent or due to technical failures” [21]. “As a rule, communication involves feedback between the transmitter and receiver. It is very important for an efficient communication that the transmitter receives confirmation from the receiver that the information has been correctly interpreted” [27] (p. 559). This rule becomes even more important when we have only non-verbal communication tools: the written word. Also, for team meetings, it would be necessary to use a tool to keep participants involved, such as video technologies, always when internet connections allow it, or telephone conferencing or chat as the ultimate solution. Video conferencing is most appropriate because it provides important information about non-verbal and paraverbal language, about the status and responses of participants and which, in written communication, are lost.
  • Intercultural communication
In the literature regarding virtual teams [5,6] and international projects [28,29], a particular importance is given to the way in which communication is made between the IVPT members, as the main element of team building in the presence of multiculturalism.
Doctor Edward T. Hall is considered to be the first to use, in his works, the term “intercultural communication” [23]. Intercultural communication occurs when project team members who come from different cultures are forced to communicate, exchanging between them both verbal and non-verbal messages that contain cultural elements and social perceptions. “Intercultural communication often involves the use of a language other than native, with at least one of the interlocutors using a different language than the native one. True intercultural communication goes beyond mere exchange of information and narrow conceptions of cultural membership, where culture is reduced to nationality, and variations within cultural groups are largely ignored. Intercultural communication focuses on verbal and nonverbal behaviors, attitudes and perceptions of people from different cultural and linguistic backgrounds that interact with each other” [30] (p. 28). Even when virtual team members are motivated and willing to participate in sharing the information, communication challenges can arise due to differences in communication styles typical of each culture, with some cultures being very direct in verbal communication, while others rely on communication, mostly, indirect. Individuals using a direct style will communicate what they want without ambiguity, while team members with an indirect style will communicate in a circular manner, not clearly specifying what they want. Such differences can lead to misunderstandings, feelings of frustration, nervousness, lack of respect, with the potential to turn them into conflicts within the team from the virtual environment [19]. As we have seen, the challenges of cultural diversity are many, but effective intercultural communication can bring great benefits in the IVTP context: increasing productivity, increasing project team performance (team members work together to meet the same goals, regardless of the culture they belong to), reducing project costs, avoiding conflicts, and personal development of project team members through tolerance to other cultures.
  • Training courses for team members during the project, according the needs identified by the project manager
The biggest challenges in IVPT are communication, especially intercultural communication, as a result of misunderstandings generated by a discontinuous flow of information between team members and incorrectly received messages that lead to overcoming the terms, conflicts, increased effort, lost time. These can be largely diminished, avoided or overcome, through a solid training of IVPT members, intercultural communication courses, with an emphasis on the individual cultures of project team members before the start of the project and during the project, if the project manager observes certain communication or conflict issues within the team. “The 1999 International Business Trend Report identified three key competences for the twenty-first century global work: intercultural communication skills, problem solving skills, and global leadership [31] (p. 59). Jackson Jane believes that improving intercultural communication skills means building consciousness about ourselves, and learning as much about individuals who speak a different language and have different values and habits [30] (p. 28).
  • Cognitive skills training programs for project team members
IVPT management is a complex process. Decision-making, moments of crisis or conflict within the teams, is a state of stress that could be overcome, according to studies by some researchers in the field, such as Néstor Braidot [32] and Carlos Herreros [33], through the training of the emotional system of the brain. The whole activity of the virtual team focuses on communication and the problems that may arise in the case of deficient communication can be determined both by technology and, above all, by the cognitive capabilities of team members. Thus, innovative management should consider inovative techniques that allow the optimization of intellectual performance, as well as the orientation towards achieving the organization’s objectives. In this respect, neuromanagement applications can help to effectively manage IVPTs. If, until now, organizations were looking for outsourced management solutions, industry-specific or sector-specific management models, neuromanagement proposes that solutions come from inside by using the brainpower of those who make up the organization, the leader, and the team. Thus, the structure of an organization or project team is no longer represented by the organigram, not even by the flow of processes, but by the configuration of the interconnections between the neural networks of the individual brains. Applied neuroscience is a relatively new area, which aims to overcome this gap. It is about how the brain causes people to behave the way they do it, developing the ability to make changes in the brain, and what they can do when changes become useful. The brain is an extremely complex process of parallel systems which can be combined to represent themselves in a productive and sustainable way—which is also interesting, this being the goal of all organizations [34].
Neuromanagement applications can help to efficiently manage IVPTs to achieve a high performance. Among the applications of neuromanagement are the change and complexity management, and the development of specific leadership and motivation skills, taking into account the characteristics of each member of the team [35]. Neuroscience is the key to a better understanding of culture, how it develops, how it works, and how it affects the behavior of individuals [36]. An appropriate brain work tailored to project needs—such as visual, auditory memory, communication, motivation, innovation, attention, concentration, planning ability, time management, amplification of communication between the two brain hemispheres, and speed of information processing—could allow anticipation of unforeseen situations and overcoming them through rapid adaptation and the development of creative solutions. Néstor Braidot [37] called this workout BrainGym.
  • Specific occupational risks of the virtual environment (physical, psychosocial, combined)
The emergence of the virtual work environment as a result of the development of information and communication technology has also led to new risks to safety and health at work. “Occupational safety and health risks (OSH), new and emerging, can have different origins, in particular: new technologies, new production processes, new working conditions and emerging forms of work” [38]. The European Parliament has noted that globalization has negative effects on work safety and fairness [39].
It is very important for project managers to identify and realize the impact of these risks on team performance in order to establish effective strategies to prevent them, so that the results of IVTP will not be affected. Absenteeism and low performance have significant economic implications. The total cost of psychosocial and work-related stress for the business and society as a whole—including health care, disability, early retirement, reduced productivity, high staff fluctuation, and other direct and indirect costs—is estimated at several billion euros [40].
“If risks are not adequately evaluated or managed, effective risk management cannot be initiated and it is unlikely that adequate prevention measures are found or implemented” [41]. “In addition, case studies have shown that good OSH management within a company is closely linked to improved performance and profitability. Not only that low security and health protection measures represent a much higher cost for companies, but at the same time a good OSH pays dividends” [42]. As a result of the bibliographic research on occupational risks [40,42,43,44,45,46], as well as by evaluating them through the OIRA tool [47], we can state that the main risks which can significantly affect the IVPT performance, are the psychosocial risks and stress represents one of the most complex phenomena studied and analyzed in accordance with the characteristics of the virtual work environment and international projects.
In view of the above, we can state that the central objective of the research is to validate the factors that influence the IVPT performance, as well as to understand their behavior. These factors will be analyzed through a sociological survey based on a questionnaire and the collected data, through statistical analysis and, further, through modeling technique.
The study has the following assumptions:
Hypothesis 1:
All of the 11 factors proposed for analysis influence the IVPT perfromance.
Hypothesis 2:
The dimensions of the national culture to which IVPT members belong, team culture, and applying neuromanagement techniques to the IVPTs management have a major influence on the IVPT performance.

3. Methodology

The research methodology is based, in the first stage, on descriptive research, from which information from secondary sources, such as books, scientific articles, studies provided by companies in the field, was collected. The bibliographic research has contributed to the description of the existing situation regarding the international projects and virtual teams and we succeeded in realizing a detailed picture of the researched field in order to clearly formulate the objectives and hypotheses of the empirical study.
Regarding the research methodology from primary sources, we approached a quantitative method through the survey based on the opinion questionnaire composed of 27 items, conducted through electronic means—CASI (Computer Assisted Self Interviewing). The research tool was the self-administered questionnaire created through the Google Forms service, and it was sent to the subjects as an access link via email, but also through the professional social networking, LinkedIn, and the instant messaging tool Facebook Messenger, because we observed a much higher response rate. The choice of this tool was motivated by the low costs, the availability of subjects, the high rate and speed of response, and the streamlining of data centralization time. The population included individuals who have been working or are operating within an IVPT. For the analysis of collected quantitative data (a total of 86 variables) we used the IBM SPSS Statistics and IBM SPSS Modeler software. Univariate analysis involves presenting the characteristics of the variables measured in the research. In the bivariate analysis, the relationship between two variables will be analyzed through cross-tables. The modeling technique will analyze the behavior of various factors of influence, which will allow the creation of a predictive model.
The sample is non-probabilistic because the probability that a member of the population selected to be selected in the sample cannot be determined as there is no official data on the total population. The selection was rational [48] based on the interviewer’s reasoning that the respondent represented the population of interest, but also the “snowball technique”, where the research participants recruited other members for the study [49], such as teammates within the same project. Not knowing the volume of the total collectivity, the size of the non-aleatory sample was established in such a way as to achieve the objectives of the study, taking into account the sampling base, and the available budget and time. Under these circumstances, the margin of error and the level of trust were impossible to calculate because they only applied to random samples.
The variables used in the modeling process were obtained from the third question of the questionnaire. The question has been designed in the form of 5-point Likert scales (Figure 1).

4. Data and Variables Description

4.1. Sample Description

The research took place from 18th May to 18th June 2018. In total, 352 forms were sent directly to individuals from IT, telecom, e-commerce, education, and outsourcing fields. The total number of valid responses was 107, representing a response rate of 30.4%. The analysis procedure for the data obtained from the survey was quantitative (statistical) due to the objectivity of the procedure and the possibility of generalizing the results. The sample consists of 107 respondents, 43.9% male, 59% female, and 0.9% preferred not to respond. Subjects have different nationalities—86 Romanian, 4 Spanish, and 17 other nationalities (Turkey, Pakistan, Sweden, Slovakia, Ukraine, Armenia, Malaysia, Bangladesh, India, Australia, the United States, Chile, Costa Rica, and Guatemala). They were part of IVPTs, which took place over different periods—most of the respondents, 39.3%, fall within the “over 18 months” category, corresponding to complex projects, a characteristic of international projects. The field of activity of the respondents’ organizations, which carry out international projects, is represented by 30.84% IT, 10.28% education, 4.67% telecommunication, and 42.99% other fields. Regarding the distribution of respondents’ roles in international projects, 36 project managers were distinguished (33.6%), 24 team leaders (22.4%), and 47 team members (43.9%). Thereby 56.1% of the respondents were members of the management team.
Regarding the distribution of respondents by international projects, virtual teams’ experience, age, and level of education, we created cluster diagrams generated on the basis of personalized cross-tables between the variables mentioned above and respondents’ position in the project, for a more detailed description of the sample and verification of its representativeness.
Most respondents (65.42%) in each of the three roles were found in the 31–40 age group (22.43% are project managers, 15.89% team leaders, and 27.10% team members. As the age group advanced, the best-represented category was the one of the project managers. This distribution demonstrates that the sample is representative and, as a result of the experience, most of those who are in the age categories over 41 have the experience of project manager.
Distribution of respondents by level of education and position occupied within the project: the majority of respondents were grouped in the higher education category, especially at master level (43.9%, of which 11.21% are project managers) and a bachelor´s degree (42.06%, of which 16.82% are project managers).
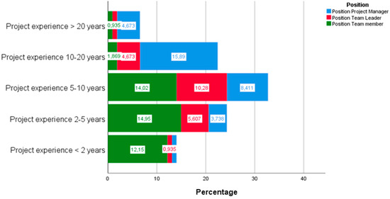
We can observe in Figure 2 that 61.68% of respondents had more than 5 years of experience in international projects, and project managers were distributed over the top of the chart, especially in the part corresponding to 10–20 years of experience. This ensured that the data collected in this research was relevant.
Regarding experience in virtual teams, 37.38% of respondents had over 5 years of experience, of which 18.69% have the role of project manager (Figure 3).
IVPTs are composed of members who operate remotely, being in geographic areas with different time zones, especially using electronic tools. The survey sample confirmed these time differences, with 92.52% of the respondents replying that there was a time zone difference of at least one hour between them and the rest of their colleagues (30.84%—more than five hours’ difference; 23.36%—between 2 and 5 hours; 38.32%—one hour).
In IVPTs, members of different cultures use different foreign languages: 70.09 % of respondents said they use only one language in the projects, namely English; 17.76% use two languages; 10.28% use three languages; and 1.87% use four languages.

4.2. Variables Description

Figure 4 is a result of descriptive statistics as a stacked bar chart, representing the frequencies of the 11 variables analyzed in item number three regarding the virtual team performance, in which over 90% of respondents consider that all the 11 factors analyzed have an important influence.
The factor with the greatest influence on the virtual team performance was identified as “Selection of virtual project team members, based on the skills and abilities needed in the virtual work environment” (45.79%—to a very large extent, and 35.51%—to a large extent), followed by “Communication frequency in the virtual environment” (36.45%—to a very large extent, and 36.45%—to a large extent). At the opposite end, there was “Selection of virtual project team members, taking into consideration the characterisics of their national cultures” and “Selection of online collaboration tools, taking into account the project team members national culture aspects”, two factors that synthesize the influence of national cultural dimensions on the virtual team performance, but also aspects related to occupational risks specific to the virtual work environment. It can also be seen clearly that these three variables record the largest number of answers at the middle of the scale (41.12%, 36.45%, and 37.38%, respectively), being interpreted as neutral answers, and that this situation may be due to a lack of awareness or lack of information on the implications of national cultures and occupational risks on the IVPT performance.
After descriptive statistics, we used factorial analysis in order to reduce the number of factors, and the result revealed three principal factors, which included the 11 variables analyzed, as will be shown in the data preparation subsection.

5. Data Analysis Using Modeling Techniques

5.1. Conceptual Elements on Modeling Technique Using IBM SPSS Modeler Software

IBM SPSS Modeler is one of the most powerful and complete data mining software. As a result of discovering and interpreting existing patterns in the data used, data mining is a way of using knowledge in the business environment to create new knowledge in a natural or artificial form. The first form of creating new knowledge, the natural one, refers to their understanding, and the second, artificial knowledge, is in the form of a computer program, generally called a predictive model [50] (pp. 3–4). IBM SPSS Modeler offers a great variety of modeling methods obtained from machine learning, artificial intelligence, and statistics. Thus, modeling methods are divided into three categories: classification, association, and segmentation. The classification models use one or more input values to predict the value of one or more target values (QUEST, CHAID, C5.0, regressions—linear, logistic, linear, and Cox—neural networks, Bayesian networks). Modeling techniques include automated learning, induction rule, subgroup identification, statistical methods, and multiple pattern generation. Association patterns identify patterns in the dataset where one or more entities are associated with other entities. Models build sets of rules that define these relationships. Segmentation models divide the dataset into multiple segments or clusters of records whose input fields have common patterns (Kohen networks, K-means clustering) [51].
Stream canvas is the main work area within the program, where nodes and other types of icons can be placed in the modeling process. Nodes are operations that will be performed on the data. Once the nodes have been placed on the stream canvas, they can be joined together to form a stream [52] (pp. 35–36).

5.2. Preparing Data for Processing

IBM SPSS Modeler can read data from a wide variety of sources. In the present case, we have chosen to use Microsoft Excel as a source, so we have restructured and adapted the data for this format and the analysis of the components evaluated in question three of the research. Each of these components is broken down into the factors that we identified through the factorial analysis and their characteristics, represented by the variables whose numerical attributes were obtained through the questionnaire (Table 1).
In the modeling process using IBM SPSS Modeler, it is very important to correctly define the size of each variable through the ‘Type’ hexagonal node in the Field Ops palette. Also, with the help of the ‘Type’ node connected to the source file, the role of each variable in the modeling process, meaning ‘input’ or ‘target’ variables [53] (p. 27) and their values, can be read.
As mentioned above, as a result of the data collected through the questionnaire, we obtained the values of the ‘ordinal’ variable and the role of ‘input’ but, in order to be able to perform the modeling analyses, it was necessary to create a variable with a ‘target’ role, which we named ’Model’, and which was flagged as ‘binary’ because it received binary values ‘1’/’0’. These values were calculated for each instance based on the mean of each component, which can be viewed in Table 1, so that the ‘Model’ variable received the value ‘1’ if the average value of the instance is equal or greater than the average value of the analyzed component. Otherwise, it received the value ‘0’. Each questionnaire means an instance of the behavior of the group of variables that are part of a component.

5.3. Results and Discussion

In order to create the modeling stream (Figure 5), we chose the source node, Excel, to access the respondents’ answers to question number three, where the characteristics of the factors influencing the virtual team performance were then assessed.
To read and prepare the data in order to apply the modeling algorithm, we linked the Excel source node to the node in the Field Ops palette, named Type, and set the unit of measurement for each field analyzed, as well as their role. Thus, the characteristics of the factors are an ordinal type and have the role ‘input’ and the ‘Model’ field is a flag type because it receives binary values, 1 and 0, and has the ‘target’ role (Figure 6).
The stream continues by connecting the Type node to the modeling node of the classification model, called C5.0. This node uses a C5.0 algorithm to build either a decision tree or a set of rules. A C5.0 works by dividing the sample by the field that provides the maximum gain of information. Each subsample defined by the first division is divided and, depending on another field, the process is repeated until subsamples can no longer be divided. Finally, lower-level divisions are re-examined, and those that do not significantly contribute to the value of the model are eliminated [51] (p. 94). In the case of this analysis, we chose the predictive model to be a decision tree, working by partitioning data based on field values. Data partitions are called branches. The initial branch, sometimes called the root, includes all the data records. The root is divided into subsets or child-branches, depending on the value of a given input field. Each child-branch can be divided into sub-branches which, in turn, can be divided again. At the lowest level of the tree, where branches have no divisions, they are called terminal branches or leaves. Therefore, the decision tree is a simple description of the divisions found by the algorithm. Each terminal node (“leaf”) describes a certain subset of the training data, and each case from the training data belongs exactly to a terminal node in the tree. This means that only one prediction is possible for any data record presented in a decision tree. The C5.0 models are robust in the case of a large amount of data or missing data, do not require a long training time, and are easier to understand than other models because the rules derived from the model have a very simple interpretation.
After operationg the modeling node, a “nugget” is automatically created as a diamond shape. In the case of classification trees, two new fields are created, containing the estimated values and the confidence level for each record (see Figure 7). With the help of the Table node connected to the model nugget, these new fields can be viewed—$C for the predicted field and $CC for the trust field. The prediction is based on the most common category for the terminal node to which the recording is assigned; if most respondents in a node represent ‘1’, the prediction for all records in that node will be ‘1’ [51] (p. 95).
By running the model nugget, predictive model results can be viewed, which will be presented in the following three figures. Thus, in the first window, in the left panel (Figure 7), the conditions defining the partitioning of the data identified by the algorithm are basically a set of rules that can be used to assign individual records to a child node according to the values of different predictors, and on the right, the ‘Predictors Importance’ chart is displayed (Figure 8). Thus, the C5.0 algorithm identified that the most important predictor is “use of cognitive skills training programs for project team members” (0.33), followed by “establishing rules on the use of online collaboration tools” (0.20), “team culture” (0.17), and “Selection of virtual project team members, taking into consideration the characterisics of their national cultures” (0.11). These first four variables represent the most important ones in constructing the decision tree-predictive model. Also it can be observed that this result only contains 8 of the 11 variables analyzed, which means that the other three were eliminated during the algorithm process, due to their lack of importance in predicting that IVPT performance will be affected by the following: selection of virtual project team members, based on the skills and abilities needed in the virtual work environment; training courses for team members during the project, according the needs identified by the project manager; specific occupational risks of the virtual environment (physical, psychosocial, combined).
In Figure 9 the decision rules can be viewed, as well as the number of records to which the rules (instances) apply, and the proportion of those records for which the rule is true (trust).
Thus, it can be observed that the basis of the decision to divide the data, from Node 0 (the root), is the characteristic that represents the neuromanagement techniques of increasing the virtual team performance by means of cognitive skills training programs, obtaining a child-branch with Node 2, for which there are 84 instances, where the respondents answered that this characteristic influences the virtual team performance to a very large extent (5), to a large extent (4), and moderate (3), of which 61 instances confirm the proposed model (target field is ‘1’). The child-branch is then subdivided into sub-branches according to the field—team culture, obtaining Node 6, for which there are 72 instances, where the respondents claimed that this characteristic influences IVTP performance to a very large extent (5), to a large extent (4), and moderate (3), of which 59 instances confirm the proposed model (the target field is ‘1’). Subsequently, this sub-branch is divided by the field of “selection of online collaboration tools, taking into account the project team members national culture aspects”, resulting in a terminal sub-branch (leaf) (Node 20) for which there are 36 instances fully confirming the proposed model, in which respondents answered that this characteristic influences performance to a very large extent (5) and to a large extent (4). This can be seen in the decision tree, existing in the ‘Viewer’ window, partially represented in Figure 10. There are many more sub-branches that we did not specify because we highlighted the best-classified (decision rules with the highest number of instances, for which the target field value is ‘1’, confirming the proposed model). Thus, the factors best represented in the predictive model are “Training programs, professional development and occupational risks prevention” represented by the characteristic “Cognitive skills training programs for project team members” and the factor “cultural influences”, through to the characteristics “team culture” and “selection of virtual project team members”, taking into consideration the characterisics of their national cultures. It could therefore be argued that culture plays a vital role in the success or failure of project management. Thus, in the practice of project management, culture should be treated as a significant aspect in controlling conflicts, improving quality outcomes, and encouraging innovation [54].
Research results support the hypotheses of the study: thus, the first one was validated through descriptive statistics and partially, through the modeling technique, using C5.0 algorithm, since the predictive model only included eight of the eleven variables that were analyzed; the second hypothesis was validated through the modeling technique, which demonstrated that applying neuromanagement techniques (cognitive skills training being one of them) to the IVPT management, team culture, and the dimensions of the national culture to which IVPT members belong (as the selection of online collaboration tools have to be done according to these), has a major influence on the IVPT performance, being the most important characteristics on which the predictive model is based.
Finally, the model nugget was linked to the ‘Analysis’ node to evaluate the predictive model (Figure 11). Thus, the level of precision of the predictive model is 100% compared to the real model. In terms of metric evaluation, the AUC values (area under the curve) and the Gini coefficients are valued at 1, which means that the predictive classification model obtained by the C5.0 algorithm is a very good one. The AUC rating metric is calculated as the surface under a ROC curve (characteristic of the receiving operator) and is a scalar representation of the expected performance of a classifier. AUC is always between 0 and 1, and the closer it is to 1, the better a classification is. Thus, a realistic classifier will not have an AUC of less than 0.5. The metric of the Gini coefficients is sometimes used as an alternative metric to the AUC, and the two measures are closely interrelated [51].

6. Contributions

This research is the first one which offers empirical informations about the influence factors on IVPT performance, taking into consideration both characteristics of international projects and virtual teams, at the same time. This study reveals a strong connection between team culture, national culture dimensions, cognitive skills training programs and IVPT performance, by using a data mining process, providing an important pattern which can represent a guide for international project managers to create effective IVPTs. At the same time, the study offers empirical evidence about the influence of new factors’ characteristics, which we have proposed based on literature review and which had not yet been analyzed at IVPT level: selection of virtual project team members, based on the skills and abilities needed in the virtual work environment; establishing rules on the use of online collaboration tools; selection of online collaboration tools, taking into account the project team members’ national culture aspects; appropriate use of electronic instruments, depending on tasks and volume of information; intercultural communication; selection of virtual project team members, taking into consideration the characteristics of their national cultures; cognitive skills training programs for project team members; specific occupational risks of the virtual environment (physical, psychosocial, combined). Two of the new proposed factors’ characteristics were validated by the predictive model as being of critical importance and influence.

7. Research Limitations

This research has several distinct limitations. First of all, sampling is non-random, which is why the volume of the sample cannot be calculated, nor the maximum admissible error (precision). The sample size was relatively small and included, mostly, Romanian nationality respondents, with the other nationalities failing to form a critical mass. Therefore, the information obtained can be influenced to a greater extent by the cultural dimensions specific to Romanian culture but, at the same time, it is possible that these dimensions may have been dimmed if the respondents operate beyond the borders of the country of origin. The responses of study participants may have been influenced by the level of education (by understanding the terms used, taking into account that the questionnaire was written in English) and by the mental state at the time of completion. Another survey limitation is the fact that the participants have not been screened on project cost, size of projects, and their present success. Also, the present research did not analyze a particular type of international project based on the activity area. A larger and more rigorous sample could lead to new findings.

8. Conclusions

This research was conducted in order to offer better understanding regarding the importance of factors that influence IVPT performance, on which international project managers should concentrate their attention and resources, in order to create the IVPT which will ensure international project success. Following the literature review, 11 factors were identified, which were adapted and included in the present study. Results were, first, analyzed through descriptive statistics and also through factorial analysis (PCA), which helped us to reduce the number of factors. The latter analysis results helped us in preparing data for the modeling technique, establishing the target variable needed for the C5.0 algorithm. Following the data mining process using the IBM SPSS Modeler software, we have been able to interpret the behavior of factors that influence the IVPT performance, which can be the starting point for future research studies, due to the accuracy of this method and predictive model obtained.The research results are of particular importance, pointing out that IVPT performance can be strongly influenced by the cognitive skills training of IVPT members, the national cultural dimensions that differentiate countries from which team members originate, and team culture. Thereby, neuromanagement becomes a solution to overcome stress created by uncertainty, risks, and multiple changes throughout the project which influence the IVTP efficiency. This requires further research in this field by conducting empirical studies to validate a specific training of cognitive abilities of IVPT members and the optimal moment in which it is to be realized, so as to generate an increase in IVPT performance. As far as the cultural influence factor is concerned, we consider empirical research on the influence of each national cultural dimension on IVPT performance to be appropriate, taking into account the preferences for different online collaboration tools and the validation of a model on the optimal culture profile for work in the virtual environment, built on dominant cultural dimensions. This model could be useful for the human resources department and project manager at the IVPT member selection phase. As far as organizational culture is concerned, we have conducted an empirical study validating the dimensions of a proposed model, which we will present in a future paper.

Author Contributions

Conceptualization, I.D.-B. and O.D.; methodology, I.D.-B. and O.D.; software, I.D.-B. and O.D.; validation, I.D.-B. and O.D.; formal analysis, I.D.-B. and O.D.; investigation, I.D.-B. and O.D.; resources, I.D.-B. and O.D.; data curation, I.D.-B. and O.D.; writing—original draft preparation, I.D.-B. and O.D.; writing—review and editing, I.D.-B. and O.D.; visualization, I.D.-B. and O.D.; supervision, I.D.-B. and O.D.; project administration, I.D.-B. and O.D.; funding acquisition, I.D.-B. and O.D.

Funding

This research received no external funding.

Conflicts of Interest

The authors declare no conflict of interest.

References

  1. Dumitraşcu, I.; Dumitraşcu, D.D. Virtual Teams management in global international projects. Rev. Manag. Econ. Eng. 2015, 14, 691–701. [Google Scholar]
  2. Cioca, L.I.; Ivascu, L.; Rada, E.C.; Torretta, V.; Ionescu, G. Sustainable Development and Technological Impact on CO2 Reducing Conditions in Romania. Sustainability 2015, 7, 1637–1650. Available online: https://www.mdpi.com/2071-1050/7/2/1637 (accessed on 10 October 2018). [CrossRef]
  3. GoodWork.ca. Available online: https://www.goodwork.ca/what-is-a-green-job (accessed on 5 July 2018).
  4. International Labour Organization. Available online: https://www.ilo.org/global/topics/green-jobs/news/WCMS_220248/lang--en/index.htm (accessed on 5 July 2018).
  5. Lee, R.M. Leading Virtual Teams; CRC Press-Taylor & Francis Group LLC: New York, NY, USA, 2014; ISBN 9781466576896. [Google Scholar]
  6. Brewer, P.E. International Virtual Teams: Engineering Global Success (IEEE PCS Professional Engineering Communication Series); Wiley-IEEE Press: Hoboken, NJ, USA, 2015; ISBN 9781119064084. [Google Scholar]
  7. Zofi, Y. A Manager´s Guide to Virtual Teams; AMACOM: New York, NY, USA, 2012; ISBN 9780814416600. [Google Scholar]
  8. Nader, A.E.; Shamsuddin, A.; Zahari, T. Virtual Teams and Management Challenges. Acad. Leadersh. J. 2011, 9, 1–7. Available online: https://halshs.archives-ouvertes.fr/hal-00690027/document (accessed on 20 January 2015).
  9. Reed, H.A.; Knight, V.L. Project Risk Differences between Virtual and Co-Located Teams. J. Comput. Inf. Syst. 2010, 51, 19–30. Available online: https://www.researchgate.net/publication/289588268_Project_risk_differences_between_virtual_and_co-located_teams (accessed on 1 July 2016).
  10. Duarte, D.L.; Snyder, T.N. Mastering Virtual Teams: Strategies, Tools, and Techniques That Succeed, 3rd ed.; Revised and Expanded; John Wiley & Sons: Hoboken, NJ, USA, 2006; ISBN 9781118047040. [Google Scholar]
  11. Dumitraşcu, I.; Dumitraşcu, D.D. How to face globalization challenges through international project management. Rev. Manag. Econ. Eng. 2015, 14, 467–476. [Google Scholar]
  12. Dumitraşcu, I.; Dumitraşcu, D.D. Creating Effective International Virtual Project Team. Rev. Econ. 2016, 68, 46–56. Available online: http://economice.ulbsibiu.ro/revista.economica/archive/68304dumitrascu&dumitrascu.pdf (accessed on 1 December 2016).
  13. Curlee, W.; Gordon, R.L. Complexity Theory and Project Management; John Wiley and Sons, Inc.: Hoboken, NJ, USA, 2011; ISBN 9780470769744. [Google Scholar]
  14. Hofstede, G. Culture’s Consequences: Comparing Values, Behaviors, Institutions, and Organizations across Nations, 2nd ed.; Sage Publications: Thousand Oaks, CA, USA, 2001; ISBN 9781544340258. [Google Scholar]
  15. Hofstede, G.; Hofstede, G.J.; Minkov, M. Cultures and Organizations: Software of the Mind, 3rd ed.; Revised and Expanded; McGraw-Hill: New York, NY, USA, 2010; ISBN 9780071505680. [Google Scholar]
  16. Cagiltay, K.; Bichelmeyer, B.; Kaplan, A.G. Working with multicultural virtual teams: Critical factors for facilitation, satisfaction and success. Smart Learn. Environ. 2015, 2, 11. Available online: https://link.springer.com/article/10.1186/s40561-015-0018-7 (accessed on 10 January 2017). [CrossRef]
  17. Hofstede Insights. Available online: https://www.hofstede-insights.com (accessed on 10 June 2016).
  18. ITIM.org. Available online: http://itim.org (accessed on 10 June 2016).
  19. Flammia, M.; Cleary, Y.; Slattery, D.M. Virtual Teams in Higher Education, A Handbook for Students and Teachers; Information Age Publishing, Inc.: Charlotte, NC, USA, 2016; ISBN 9781681232645. [Google Scholar]
  20. Kifor, C.V. Tehnici şi Instrumente ale Managementului Calităţii; Editura Universităţii “Lucian Blaga”: Sibiu, Romania, 2005. [Google Scholar]
  21. HBR—20 Minute Manager Collection. Leading Virtual Teams; Harvard Business Review Press: Boston, MA, USA, 2016; ISBN 9781633692381.
  22. Cisco Systems. The Psychology of Effective Business Communications in Geographically Dispersed Teams. 2006. Available online: http://newsroom.cisco.com/ (accessed on 14 March 2016).
  23. Project Management Institute. A Guide to the Project Management Body of Knowdlege, 5th ed.; Project Management Institute, Inc.: Newtown Square, PA, USA, 2013; ISBN 978-1-935589-67-9. Available online: http://dinus.ac.id/repository/docs/ajar/PMBOKGuide_5th_Ed.pdf (accessed on 9 November 2015).
  24. Neuliep, J.W. Intercultural Communication, a Contextual Approach, 7th ed.; Sage Publications, Inc.: Thousand Oaks, CA, USA, 2018; ISBN 9781506361871. [Google Scholar]
  25. Lock, D.; Scott, L. Gower Handbook of People in Project Management; Routledge: Oxon, NY, USA, 2016; ISBN 9781409437857. [Google Scholar]
  26. Olaisen, J.; Revang, O. Working smarter and greener: Collaborative knowdlege sharing in virtual global project team. Int. J. Inf. Manag. 2017, 37, 1441–1448. Available online: http://www.sciencedirect.com (accessed on 9 February 2017). [CrossRef]
  27. Tavcar, J.; Zavi, R.; Verlinden, J.; Duhovnik, J. Skills for Effective Communication and Work in Global Product Development Teams. J. Eng. Des. 2005, 16, 557–576. Available online: http://www.staff.city.ac.uk/~ra600/ETM062/Misc/Tavcar_Duhovnik_2005.pdf (accessed on 10 February 2017). [CrossRef]
  28. Binder, J. Global Project Management; Gower Publishing Limited: Hampshire, UK, 2007; ISBN 9781409458104. [Google Scholar]
  29. Koster, K. International Project Management; Sage Publications Ltd.: London, UK, 2010; ISBN 9781446204832. [Google Scholar]
  30. Jackson, J. Introducing Language and Intercultural Communication; Routledge: London, UK; New York, NY, USA, 2014; ISBN 9781317908357. [Google Scholar]
  31. Liu, S.; Volcic, Z.; Gallois, C. Introducing Intercultural Communication, Global Cultures and Contexts, 2nd ed.; Sage Publications Ltd.: London, UK, 2015; ISBN 978-1-4462-8590-9. [Google Scholar]
  32. Braidot, N. Sácale partido a tu cerebro: Todo lo que necesitas saber para mejorar tu memoria, tomar mejores decisiones y aprovechar todo tu potencial; Grupo Planeta Spain: Madrid, Spain, 2011; ISBN 9788498751857. [Google Scholar]
  33. Herreros, C. #Neuromanagement; LID Editorial: Madrid, Spain, 2012; ISBN 9788483566770. [Google Scholar]
  34. Swart, T.; Chisholm, K.; Brown, P. Neuroscience for Leadership, Harnessing the Brain Gain Advantage; Palgrave Macmillan: Hampshire, UK, 2015; ISBN 9781137478320. [Google Scholar]
  35. Sutil Martín, L. Neurociencia, Empresa y Marketing; Esic Editorial: Madrid, Spain, 2013; ISBN 9788416462421. [Google Scholar]
  36. Reisyan, D.G. Neuro-Organizational Culture, A New Approach to Understanding Human Behavior and Interaction in the Workplace; Springer International Publishing: Cham, Switzerland, 2016; ISBN 9783319221472. [Google Scholar]
  37. Braidot Business & Neuroscience. Available online: http://braidot.com/brain-gym/ (accessed on 5 October 2016).
  38. OSH Wiki Networking Knowledge. Available online: https://oshwiki.eu/wiki/OSH_in_general (accessed on 5 February 2017).
  39. European Commission. EU Employment and Social Situation: Quarterly Review (European Commission, Brussels); Publication Office of the European Union: Luxembourg, 2013; ISBN 978-92-79-30496-5. Available online: file:///C:/Users/Iulia/Downloads/ESSQR_June-2013_main%20doc_final2_en.pdf (accessed on 5 February 2017).
  40. European Agency for Safety and Health at Work—EU-OSHA. Scoping Study for a Foresight on New and Emerging Occupational Safety and Health (OSH) Risks and Challenges; Publications Office of the European Union: Luxembourg, 2014; Available online: https://osha.europa.eu/ (accessed on 21 November 2016).
  41. Bräunig, D.; Kohstall, T. Calculating the International Return on Prevention for Companies Final Report; German Social Accident Insurance (DGUV): Berlin, Germany, 2013; ISBN 978-3-86423-080-6. Available online: http://publikationen.dguv.de/dguv/pdf/10002/23_05_report_2013-en--web-doppelseite.pdf (accessed on 19 January 2017).
  42. Reinert, D.; Flapsoler, E.; Hauke, A.; Brun, E. Identification of emerging occupational safety and health risks. Saf. Sci. Monit. 2007, 11, 1–17. [Google Scholar]
  43. International Labour Organization. ILO ‘XIX World Congress on Safety and Health at Work—Global Trends and Challenges’ (ILO, Geneva); International Training Centre of the ILO: Turin, Italy, 2011; ISBN 978-92-2-125340-2. Available online: https://www.ilo.org/safework/info/publications/WCMS_162662/lang--en/index.htm (accessed on 19 January 2017).
  44. Kyaw-Myint, S.M.; Strazdins, L.; Clements, M.; Butterworth, P.; Gallagher, L. A method of identifying health-based benchmarks for psychosocial risks at work: A tool for risk assessment. Saf. Sci. 2007, 93, 143–151. Available online: http://www.sciencedirect.com (accessed on 23 January 2017). [CrossRef]
  45. Karasek, R.A., Jr. Job Demands, Job Decision Latitude, and Mental Strain: Implications for Job Redesign. Adm. Sci. Q. 1979, 24, 285–308. Available online: https://www.jstor.org/journal/admisciequar?refreqid=excelsior%3A23b732e73663c56e23a0aefee85f49e4 (accessed on 23 January 2017). [CrossRef]
  46. Cioca, L.I.; Moraru, R.I. Managementul Riscurilor Profesionale Psihosociale; Editura Universitatii “Lucian Blaga”: Sibiu, Romania, 2010. [Google Scholar]
  47. Dumitraşcu, I.; Dumitraşcu, D.D. Occupational emerging risks affecting international virtual project Team Results. MATEC Web Conf. 2017, 121, 07003. Available online: https://www.matec-conferences.org/articles/matecconf/abs/2017/35/matecconf_mse2017_07003/matecconf_mse2017_07003.html (accessed on 6 June 2018). [CrossRef]
  48. Saunders, M.; Lewis, P.; Thornhill, A. Research Methods for Business Students, 6th ed.; Pearson Education Limited: Essex, UK, 2012; ISBN 9780273750758. [Google Scholar]
  49. American Association for Public Opinion Research. Available online: https://www.aapor.org/Education-Resources/Reports/Non-Probability-Sampling.aspx (accessed on 5 July 2018).
  50. McCormick, K.; Abbott, D.; Brown, S.M.; Khabaza, T.; Mutchler, S.R. IBM SPSS Modeler Cookbook; Packt Publishing Ltd.: Birmingham, UK, 2013; ISBN 978-1849685467. [Google Scholar]
  51. IBM Software Group. IBM SPSS Modeler 17 Modeling Nodes. Available online: ftp://public.dhe.ibm.com/software/analytics/spss/documentation/modeler/17.0/en/ModelerModelingNodes.pdf (accessed on 1 August 2018).
  52. Salcedo, J.; McCormick, K. IBM SPSS Modeler Essentials, Effective Techniques for Building Powerful Data Mining and Predictive Analytics Solution; Packt Publishing Ltd.: Birmingham, UK, 2017; ISBN 978-1-78829-111-8. [Google Scholar]
  53. Sören, G.; Wendler, T. Data Mining with SPSS Modeler, Theory, Exercises and Solutions; Springer International Publishing: Cham, Switzerland, 2016; ISBN 978-3-319-28709-6. [Google Scholar]
  54. Nguyen, L.H.; Watanabe, T. The Impact of Project Organizational Culture on the Performance of Construction Projects. Sustainability 2017, 9, 781. Available online: https://www.mdpi.com/2071-1050/9/5/781/pdf (accessed on 19 December 2018). [CrossRef]
Figure 1. Likert scale used in the third question of the survey.
Figure 1. Likert scale used in the third question of the survey.
Sustainability 11 00607 g001
Figure 2. Distribution of respondents based on their experience in international projects and the position occupied within the project.
Figure 2. Distribution of respondents based on their experience in international projects and the position occupied within the project.
Sustainability 11 00607 g002
Figure 3. Respondents’ distribution according to the experience in virtual teams and the position occupied within the international project.
Figure 3. Respondents’ distribution according to the experience in virtual teams and the position occupied within the international project.
Sustainability 11 00607 g003
Figure 4. To what extent do you consider that the performance of the virtual project team is determined by the following aspects?
Figure 4. To what extent do you consider that the performance of the virtual project team is determined by the following aspects?
Sustainability 11 00607 g004
Figure 5. The modeling stream on the behavior of the factors that influence international virtual project team (IVPT) performance.
Figure 5. The modeling stream on the behavior of the factors that influence international virtual project team (IVPT) performance.
Sustainability 11 00607 g005
Figure 6. Data preparation through the Type node.
Figure 6. Data preparation through the Type node.
Sustainability 11 00607 g006
Figure 7. New fields created in the C5.0 model.
Figure 7. New fields created in the C5.0 model.
Sustainability 11 00607 g007
Figure 8. Predictor importance.
Figure 8. Predictor importance.
Sustainability 11 00607 g008
Figure 9. Decision rules in the C5.0 algorithm.
Figure 9. Decision rules in the C5.0 algorithm.
Sustainability 11 00607 g009
Figure 10. Predictive model decision tree—factors influencing IVPT performance.
Figure 10. Predictive model decision tree—factors influencing IVPT performance.
Sustainability 11 00607 g010
Figure 11. Predictive model evaluation.
Figure 11. Predictive model evaluation.
Sustainability 11 00607 g011
Table 1. Decomposition of components into factors and characteristics.
Table 1. Decomposition of components into factors and characteristics.
ComponentFactorsCharacteristicsMean/CharacteristicMean/FactorMean/Component
IVTP performanceCommunication in the virtual work
environment
Selection of virtual project team members, based on the skills and abilities needed in the virtual work environment.4.2523.8133.527
Communication frequency in the virtual environment.4.056
Establish rules on the use of online collaboration tools.3.832
Selection of online collaboration tools, taking into account the project team members’ national culture aspects.3.159
Appropriate use of electronic instruments, depending on tasks and volume of information.3.766
Cultural influencesIntercultural communication.3.5423.252
Team culture.3.364
Selection of virtual project team members, taking into consideration the characteristics of their national cultures.2.850
Training programs, professional development and occupational risk preventionTraining courses for team members during the project, according the needs identified by the project manager.3.7763.327
Cognitive skills training programs for project team members.3.364
Specific occupational risks of the virtual environment (physical, psychosocial, combined).2.841

Share and Cite

MDPI and ACS Style

Dumitraşcu-Băldău, I.; Dumitraşcu, O. Research on the Behavior of Factors That Influence the International Virtual Project Team Performance, Using Data Modeling Techniques. Sustainability 2019, 11, 607. https://doi.org/10.3390/su11030607

AMA Style

Dumitraşcu-Băldău I, Dumitraşcu O. Research on the Behavior of Factors That Influence the International Virtual Project Team Performance, Using Data Modeling Techniques. Sustainability. 2019; 11(3):607. https://doi.org/10.3390/su11030607

Chicago/Turabian Style

Dumitraşcu-Băldău, Iulia, and Oana Dumitraşcu. 2019. "Research on the Behavior of Factors That Influence the International Virtual Project Team Performance, Using Data Modeling Techniques" Sustainability 11, no. 3: 607. https://doi.org/10.3390/su11030607

APA Style

Dumitraşcu-Băldău, I., & Dumitraşcu, O. (2019). Research on the Behavior of Factors That Influence the International Virtual Project Team Performance, Using Data Modeling Techniques. Sustainability, 11(3), 607. https://doi.org/10.3390/su11030607

Note that from the first issue of 2016, this journal uses article numbers instead of page numbers. See further details here.

Article Metrics

Back to TopTop