Characteristics of the Soil and Vegetation along the Yulin–Jingbian Desert Expressway in China
Abstract
1. Introduction
2. Materials and Methods
2.1. Study Area
2.2. Sampling and Measurements
2.2.1. Experimental Design
2.2.2. Plant Species Identification
2.2.3. Soil Moisture Measurement
2.3. Community Parameters
2.3.1. Importance Values
2.3.2. α Diversity Indices
2.4. Statistical Analysis
3. Results
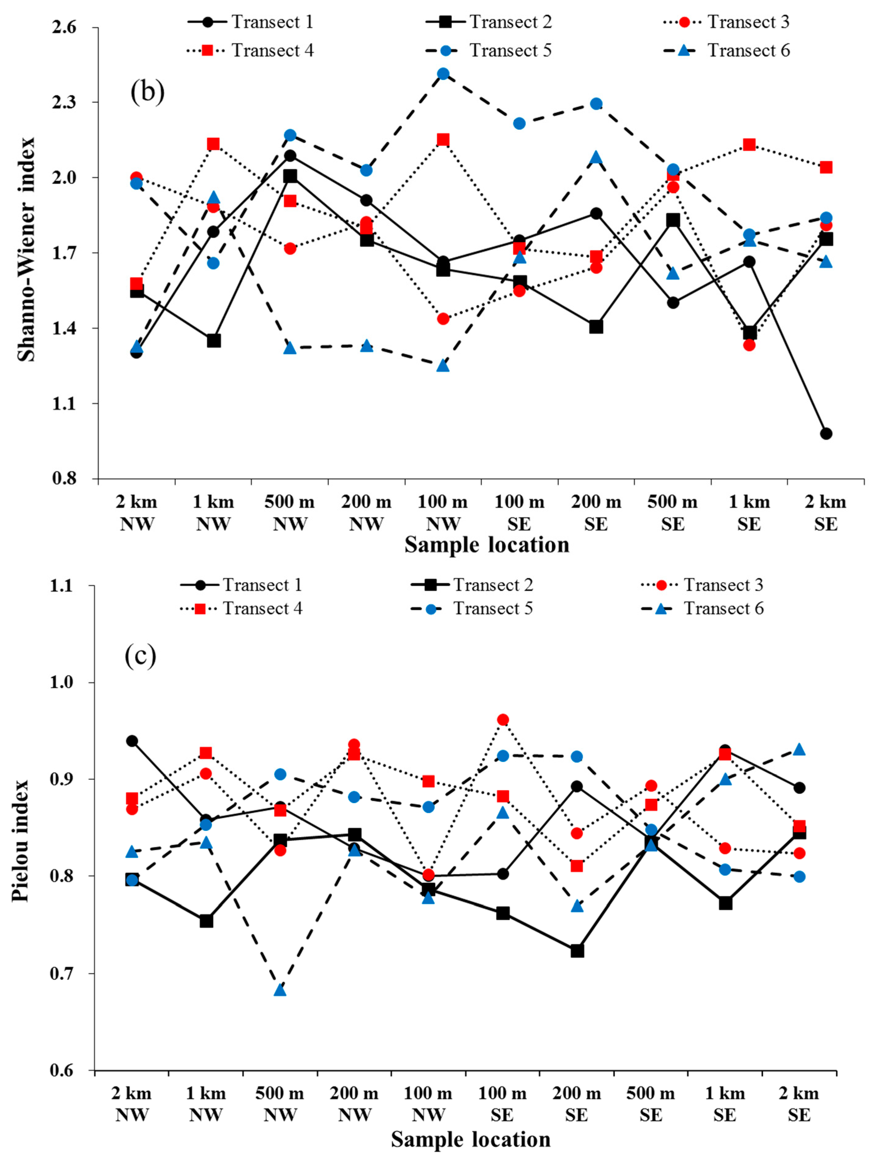
3.1. Characteristics of the Vegetation in the Communities
3.2. Soil-Moisture Content
3.3. Correlation Analysis of the α Diversity Indices and Moisture Content
4. Discussion
4.1. Characteristics of Vegetation Types within Communities
4.2. Characteristics of Soil Moisture Content
4.3. The Relationship between Species Richness and Soil Moisture Content
5. Conclusions
Author Contributions
Funding
Acknowledgments
Conflicts of Interest
References
- García-Palacios, P.; Soliveres, S.; Maestre, F.T.; Escudero, A.; Castillo-Monroy, A.P.; Valladares, F. Dominant plant species modulate responses to hydroseeding, irrigation and fertilization during the restoration of semiarid motorway slopes. Ecol. Eng. 2010, 36, 1290–1298. [Google Scholar] [CrossRef]
- Forman, R.T.T. Estimate of the area affected ecologically by the road system in the United States. Conserv. Biol. 2000, 14, 31–35. [Google Scholar] [CrossRef]
- Forman, R.T.T.; Deblinger, R.D. The ecological road-effect zone of a Massachusetts (U.S.A.) suburban highways. Conserv. Biol. 2000, 14, 36–64. [Google Scholar] [CrossRef]
- Saunders, S.C.; Mislivets, M.R.; Chen, J.; Cleland, D.T. Effects of roads on landscape structure within nested ecological units of the Northern Great Lakes Region, USA. Biol. Conserv. 2002, 103, 209–225. [Google Scholar] [CrossRef]
- Jones, D.N.; Bernede, L.; Bond, A.R.F.; Dexter, C.; Strong, C.L. Dust as a contributor to the road-effect zone: A case study from a minor forest road in Australia. Australas. J. Environ. Manag. 2016, 23, 67–80. [Google Scholar] [CrossRef]
- Boarman, W.I.; Sazaki, M. A highway’s road-effect zone for desert tortoises (Gopherus agassizii). J. Arid Environ. 2006, 65, 94–101. [Google Scholar] [CrossRef]
- Semlitsch, R.A.; Ryan, J.R.; Hamed, K.; Chatfield, M.; Drehman, B.; Pekarek, N.; Spath, M.; Watland, A. Salamander abundance along road edges and within abandoned loggingroads in Appalachian forests. Conserv. Biol. 2007, 21, 159–167. [Google Scholar] [CrossRef]
- Eigenbrod, F.; Hecnar, S.; Fahrig, J.L. Quantifying the road-effect zone: Threshold effects of a motorway on anuran populations in Ontario, Canada. Ecol. Soc. 2009, 14, 24. [Google Scholar] [CrossRef]
- Theobald, D.M.; Crooks, K.R.; Norman, J.B. Assessing effects of landuse on landscape connectivity: Loss and fragmentation of western U.S. forests. Ecol. Appl. 2011, 21, 2445–2458. [Google Scholar] [CrossRef] [PubMed]
- Torres, A.A.; Palacín, C.; Seoane, J.; Alonso, J.C. Assessing the effects of a highway on a threatened species using Before-During-After and Before-During-After-Control-Impact designs. Biol. Conserv. 2011, 144, 2223–2232. [Google Scholar] [CrossRef]
- Godar, J.; Tizado, E.J.; Pokorny, B. Who is responsible for deforestation in the Amazon? A spatially explicit analysis along the Transamazon Highway in Brazil. For. Ecol. Manag. 2012, 267, 58–73. [Google Scholar] [CrossRef]
- Cai, X.; Wu, Z.; Cheng, J. Using kernel density estimation to assess the spatial pattern of road density and its impact on landscape fragmentation. Int. J. Geogr. Inf. Sci. 2013, 27, 222–230. [Google Scholar] [CrossRef]
- Forman, R.T.T.; Reineking, B.; Hersperger, A.M. Road traffic and nearby grassland bird patterns in a suburbanizing landscape. Environ. Manag. 2002, 29, 782–800. [Google Scholar] [CrossRef] [PubMed]
- Francis, C.D.; Ortega, C.P.; Cruz, A. Noise pollution filters bird communities based on vocal frequency. PLoS ONE 2011, 6, e27052. [Google Scholar] [CrossRef]
- Helldin, J.O.; Seiler, A. Effects of roads on the abundance of birds in Swedish forest and farmland. In Proceedings of the IENE conference on Habitat Fragmentation due to Transport Infrastructure, Infra Eco Network Europe, Brussels, Belgium, 13–15 of November 2003; On file at White River Field Office. pp. 13–14. [Google Scholar]
- Reijnen, R.; Foppen, R.; Meeuwsen, H. The effects of traffic on the density of breeding birds in Dutch agricultural grasslands. Biol. Conserv. 1996, 75, 255–260. [Google Scholar] [CrossRef]
- Rheindt, F.E. The impact of roads on birds: Does song frequency play a role in determining susceptibility to noise pollution? J. Ornithol. 2003, 144, 295–306. [Google Scholar] [CrossRef]
- Mao, X.; Wang, F.; Wang, B. Nationwide desert highway assessment: A case study in China. Int. J. Environ. Res. Public Health 2011, 8, 2734–2746. [Google Scholar] [CrossRef]
- Yan, F.; Wu, B.; Wang, Y. Estimating spatiotemporal patterns of aboveground biomass using Landsat TM and MODIS images in the Mu Us Sandy Land, China. Agric. For. Meteorol. 2015, 200, 119–128. [Google Scholar] [CrossRef]
- Huang, Y.; Wang, N.A.; He, T.; Chen, H.; Zhao, L. Historical desertification of the Mu Us Desert, Northern China: A multidisciplinary study. Geomorphology 2009, 110, 108–117. [Google Scholar] [CrossRef]
- Wang, X.; Chen, F.H.; Dong, Z.; Xia, D. Evolution of the southern Mu Us Desert in north China over the past 50 years: An analysis using proxies of human activity and climate parameters. Land Degrad. Dev. 2005, 16, 351–366. [Google Scholar] [CrossRef]
- Li, J.; Zhao, Y.; Liu, H.; Su, Z. Sandy desertification cycles in the southwestern Mu Us Desert in China over the past 80 years recorded based on nebkha sediments. Aeolian Res. 2016, 20, 100–107. [Google Scholar] [CrossRef]
- Liu, B.; Jin, H.; Sun, L.; Sun, Z.; Niu, Q.; Xie, S.; Li, G. Holocene moisture change revealed by the Rb/Sr ratio of aeolian deposits in the southeastern Mu Us Desert, China. Aeolian Res. 2014, 13, 109–119. [Google Scholar] [CrossRef]
- Saxena, S.K.; Aggarwal, R.K. Primary productivity and nutrient composition of desert grasses from a common habitat II Grass species. Indian J. Ecol. 1983, 12, 205–208. [Google Scholar]
- Narita, K.; Wada, N. Ecological significance of the aerial seed pool of a desert lignified annual, Blepharis sindica (Acanthaceae). Plant Ecol. 1998, 135, 177–184. [Google Scholar] [CrossRef]
- Editorial Committee of Chinese Flora. Chinese Academy of Sciences. Flora of China; Science Press: Beijing, China, 2004. (In Chinese) [Google Scholar]
- Inner Mongolia Botany Editorial Committee. Flora of Inner Mongolia; Inner Mongolia People’s Publishing House: Hohhot, China, 1992. (In Chinese) [Google Scholar]
- Lu, Q.; Wang, X.H.; Chu, J.M. Desert Plants in China; China Forestry Press: Beijing, China, 2012. (In Chinese) [Google Scholar]
- Wu, Z.; Zhou, Z.; Li, D.; Peng, H.; Sun, H. The areal types of the world families of seed plants. Acta Bot. Yunnanica 2003, 25, 245–257. [Google Scholar]
- Curtis, J.T.; McIntosh, R.P. An upland forest continuum in the prairie-forest border region of Wisconsin. Ecology 1951, 32, 476–496. [Google Scholar] [CrossRef]
- Lindsey, A.A. Sampling methods and community attributes in forest ecology. For. Sci. 1956, 2, 287–296. [Google Scholar] [CrossRef]
- Ayyad, M.A.; Dix, R.L. An Analysis of a Vegetation—Microenvironmental Complex on Prairie Slopes in Saskatchewan. Ecol. Monogr. 1964, 34, 421–442. [Google Scholar] [CrossRef]
- Wang, Y.S.; Shangguan, T.L. Discussion on Calculating Method of Important Values. J. Shanxi Univ. 2010, 33, 312–316. (In Chinese) [Google Scholar]
- Whittaker, R.H. Evolution and measurement of species diversity. Taxon 1972, 213–251. [Google Scholar] [CrossRef]
- Ludwig, J.A.; Reynolds, J.F. Statistical Ecology, a Primary Methods and Computing; John Wiley and Sons: New York, NY, USA, 1999; p. 337. [Google Scholar]
- Maranon, T.; Garcia, L.V. The relationship between diversity and productivity in plant communities, factors and artefacts. J. Ecol. 1997, 85, 95–96. [Google Scholar] [CrossRef]
- Oba, G.; Vitaas, O.R.; Stenseth, N.C. Relationship between biomass and plant species richness in arid zone grazing lands. J. Appl. Ecol. 2001, 38, 836–845. [Google Scholar] [CrossRef]
- Bhattarai, K.R.; Vetaas, O.R.; Grytnes, J.A. Relationship between plant species richness and biomass in an arid sub-alpine grassland of the central Himalayas Nepal. Folia Geobot. 2004, 39, 57–71. [Google Scholar] [CrossRef]
- Li, S.Y.; Lei, J.Q. Study on the vegetation restoration of the disturbance belt along the highways in the Gurbantunggut desert. Environ. Prot. Xinjiang 2002, 24, 1–7. (In Chinese) [Google Scholar]
- Forman, R.T.; Alexander, L.E. Roads and their major ecological effects. Annu. Rev. Ecol. Syst. 1998, 29, 207–231. [Google Scholar] [CrossRef]
- Bennett, A.F. Roads, roadsides and wildlife conservation: A review. In Nature Conservation 2: The Role of Corridors; Surrey Beatty and Sons: Sydney, Australia, 1991; Volume 111, pp. 99–117. [Google Scholar]
- Cale, P.; Hobbs, R. Condition of roadside vegetation in relation to nutrient status. In Nature Conservation 2: The Role of Corridors; Surrey Beatty and Sons: Sydney, Australia, 1991; Volume 111, pp. 353–362. [Google Scholar]
- Tyser, R.W.; Worley, C.A. Alien flora in grasslands adjacent to road and trail corridors in Glacier National Park, Montana (USA). Conserv. Biol. 1992, 6, 253–262. [Google Scholar] [CrossRef]
- Lonsdale, W.M.; Lane, A.M. Tourist vehicles as vectors of weed seeds in Kakadu National Park, northern Australia. Biol. Conserv. 1994, 69, 277–283. [Google Scholar] [CrossRef]
- Ross, S.M. Vegetation change on highway verges in south-east Scotland. J. Biogeogr. 1986, 13, 109–113. [Google Scholar] [CrossRef]
- Wilcox, D.A. Migration and control of purple loosestrife (Lythrum salicaria L.) along highway corridors. Environ. Manag. 1989, 13, 365–370. [Google Scholar] [CrossRef]
- Panetta, F.D.; Hopkins, A.J.M. Weeds in corridors: Invasion and management. In Nature Conservation 2: The Role of Corridors; Surrey Beatty and Sons: Sydney, Australia, 1991; Volume 111, pp. 341–351. [Google Scholar]
- Zhou, Z.B.; Li, P.J.; Xu, X.W.; Pan, B.R. Effect of artificial green belt on salt distribution in sand land in hinterland of Taklimakan Desert. J. Soil Water Conserv. 2002, 16, 126–132. (In Chinese) [Google Scholar] [CrossRef]
- Wang, J.; Liu, M.S.; Sheng, S.; Chi, X.U.; Liu, X.K. Spatial distributions of soil water, salts and roots in an arid arbor-herb community. Acta Ecol. Sin. 2008, 28, 4120–4127. [Google Scholar]
- Xue, L.I.; Guomin, L.I.; Wang, Z.M.; Shan, S.; Zhang, J.Y.; Sheng-Yu, L.I. Soil water and salt with different water table depths along the Tarim Desert Highway. Arid Land Geogr. 2013, 36, 393–399. (In Chinese) [Google Scholar] [CrossRef]
- Wang, Q.; Li, B. Preliminary study on biomass of artemisia ordosica community in ordos plateau sandland of China. Acta Phytoecol. Sin. 1994, 18, 347–353. (In Chinese) [Google Scholar]
- Zhang, J.; Wu, B. Influences of biological soil crusts on physicochemical properties of soil in artemisia ordosica and sabina vulgaris communities. J. Northeast For. Univ. 2012, 40, 58–61. (In Chinese) [Google Scholar]
- Zhang, J.H. Distribution characteristics of biological soil crust for artemisis ordosica community in mu us sandy land. Bull. Soil Water Conserv. 2014, 34, 227–230. (In Chinese) [Google Scholar] [CrossRef]
- Zawadzki, J.; Cieszewski, C.J.; Zasada, M.; Lowe, R.C. Applying geostatistics for investigations of forest ecosystems using remote sensing imagery. Silva Fenn. 2005, 39, 599–617. [Google Scholar] [CrossRef]






| Transect | Plant community |
|---|---|
| 1 | Artemisia ordosica Krasch., Heteropappus altaicus (Willd.) Novopokr., Hedysarum mongolicum Turcz., Corispermum candelabrum Iljin |
| 2 | Artemisia ordosica Krasch., Heteropappus altaicus (Willd.) Novopokr., Salix psammophila C. Wang & Chang Y. Yang, Cynanchum hancockianum (Maxim.) Iljinski |
| 3 | Artemisia ordosica Krasch., Poa annua L., Calamagrostis pseudophragmites (Haller f.) Koeler., Caragana korshinskii Kom., Wikstroemia chamaedaphne (Bunge) Meisn., Chenopodium aristatum L. |
| 4 | Artemisia ordosica Krasch., Heteropappus altaicus (Willd.) Novopokr., Poa annua L., Calamagrostis pseudophragmites (Haller f.) Koeler., Corispermum candelabrum Iljin, Hedysarum scoparium Fisch. & C.A.Mey. |
| 5 | Artemisia ordosica Krasch., Heteropappus altaicus (Willd.) Novopokr., Salix psammophila C. Wang & Chang Y. Yang, Caragana korshinskii Kom., Melilotus suaveolens Ledeb., Cynanchum thesioides (Freyn) K.Schum. |
| 6 | Artemisia ordosica Krasch., Heteropappus altaicus (Willd.) Novopokr., Hedysarum mongolicum Turcz., Calamagrostis pseudophragmites (Haller f.) Koeler., Setaria viridis (L.) P.Beauv. |
| Biotype | Plant Name | Family | T1 | T2 | T3 | T4 | T5 | T6 |
|---|---|---|---|---|---|---|---|---|
| Shrubs and subshrubs | Artemisia ordosica | Asteraceae | 0.35 | 0.39 | 0.23 | 0.26 | 0.23 | 0.26 |
| Salix psammophila | Salicaceae | 0.11 | 0.20 | 0.11 | ||||
| Caragana korshinskii | Leguminosae | 0.11 | 0.14 | 0.10 | ||||
| Hedysarum mongolicum | Leguminosae | 0.13 | ||||||
| Hedysarum scoparium | Leguminosae | 0.10 | 0.11 | |||||
| Lespedeza davurica | Leguminosae | 0.11 | ||||||
| Wikstroemia chamaedaphne | Thymelaeaceae | 0.11 | ||||||
| Perennial herbs | Heteropappus altaicus | Asteraceae | 0.21 | 0.10 | 0.10 | 0.11 | ||
| Cynanchum hancockianum | Asclepiadaceae | 0.11 | ||||||
| Cynanchum thesioides | Asclepiadaceae | 0.12 | ||||||
| Astragalus melilotoides | Leguminosae | 0.13 | ||||||
| Bassia dasyphylla | Chenopodiaceae | 0.12 | ||||||
| Calamagrostis pseudophragmites | Poaceae | 0.12 | 0.11 | |||||
| Annual herbs | Corispermum candelabrum | Chenopodiaceae | 0.13 | 0.10 | ||||
| Chenopodium aristatum | Chenopodiaceae | 0.10 | ||||||
| Setaria viridis | Poaceae | 0.13 | ||||||
| Annual/biennial herbs | Melilotus suaveolens | Leguminosae | 0.11 | |||||
| Poa annua | Poaceae | 0.10 | 0.15 |
| S | H′ | Jsw | 0–10 cm | 10–20 cm | 20–30 cm | 30–50 cm | 50–70 cm | 70–100 cm | |
|---|---|---|---|---|---|---|---|---|---|
| S | 0.000 | 0.562 | 0.463 | 0.482 | 0.781 | 0.006 | 0.000 | 0.023 | |
| H′ | 0.885 ** | 0.002 | 0.173 | 0.925 | 0.631 | 0.001 | 0.000 | 0.007 | |
| Jsw | 0.076 | 0.392 ** | 0.040 | 0.323 | 0.860 | 0.192 | 0.560 | 0.823 | |
| 0–10 cm | 0.097 | 0.178 | 0.266 * | 0.000 | 0.000 | 0.322 | 0.710 | 0.150 | |
| 10–20 cm | 0.093 * | 0.012 | 0.130 | 0.783 ** | 0.000 | 0.279 | 0.465 | 0.002 | |
| 20–30 cm | −0.037 | −0.063 | −0.023 | 0.558 ** | 0.757 ** | 0.009 | 0.089 | 0.000 | |
| 30–50 cm | −0.349 ** | −0.428 ** | −0.171 | −0.130 | 0.142 | 0.333 ** | 0.000 | 0.000 | |
| 50–70 cm | −0.469 ** | −0.513 ** | −0.077 | −0.013 | 0.186 | 0.276 * | 0.587 ** | 0.000 | |
| 70–100 cm | −0.292 * | −0.344 ** | −0.030 | 0.235 | 0.401 ** | 0.487 ** | 0.544 ** | 0.609 ** |
© 2019 by the authors. Licensee MDPI, Basel, Switzerland. This article is an open access article distributed under the terms and conditions of the Creative Commons Attribution (CC BY) license (http://creativecommons.org/licenses/by/4.0/).
Share and Cite
Chen, H.; Dong, Z.; Song, S.; Li, C.; Cui, X. Characteristics of the Soil and Vegetation along the Yulin–Jingbian Desert Expressway in China. Sustainability 2019, 11, 606. https://doi.org/10.3390/su11030606
Chen H, Dong Z, Song S, Li C, Cui X. Characteristics of the Soil and Vegetation along the Yulin–Jingbian Desert Expressway in China. Sustainability. 2019; 11(3):606. https://doi.org/10.3390/su11030606
Chicago/Turabian StyleChen, Hao, Zhibao Dong, Shaopeng Song, Chao Li, and Xujia Cui. 2019. "Characteristics of the Soil and Vegetation along the Yulin–Jingbian Desert Expressway in China" Sustainability 11, no. 3: 606. https://doi.org/10.3390/su11030606
APA StyleChen, H., Dong, Z., Song, S., Li, C., & Cui, X. (2019). Characteristics of the Soil and Vegetation along the Yulin–Jingbian Desert Expressway in China. Sustainability, 11(3), 606. https://doi.org/10.3390/su11030606
