The Impact of Land Use/Land Cover Change (LULCC) on Water Resources in a Tropical Catchment in Tanzania under Different Climate Change Scenarios
Abstract
1. Introduction
- (i)
- Develop scenarios for the LULC distribution for the Kilombero Catchment until 2030;
- (ii)
- Analyze the impact of the different LULC scenarios on water resources at various temporal and spatial scales;
- (iii)
- Investigate the impact of LULCC on low flow and high flow regimes;
- (iv)
- Assess the combined impact of LULCC and climate change on water resources.
2. Materials and Methods
2.1. Study Site
2.2. Input Data
2.3. Modeling Approach
2.3.1. The SWAT Model
2.3.2. Model Setup, Evaluation and Extreme Value Analysis (SWAT Model)
2.3.3. Land Use and Land Cover Change (LULCC) Scenarios
3. Results
3.1. Model Performances
3.2. Land Use Land Cover Change Scenarios
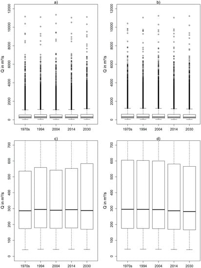
3.3. Impact of Land Use/Cover Changes on Water Resources
3.4. Combined Effect of Land Use/Cover and Climate Change on Water Resources
4. Discussion
4.1. Land Use Change Scenarios
4.2. Land Use/Cover and Climate Change Impact Assessment on Water Resources
5. Conclusions
Author Contributions
Funding
Acknowledgments
Conflicts of Interest
References
- Leemhuis, C.; Thonfeld, F.; Näschen, K.; Steinbach, S.; Muro, J.; Strauch, A.; López, A.; Daconto, G.; Games, I.; Diekkrüger, B. Sustainability in the food-water-ecosystem nexus: The role of land use and land cover change for water resources and ecosystems in the Kilombero Wetland, Tanzania. Sustainabiliyr 2017, 9, 1513. [Google Scholar] [CrossRef]
- Näschen, K.; Diekkrüger, B.; Leemhuis, C.; Steinbach, S.; Seregina, L.; Thonfeld, F.; van der Linden, R. Hydrological Modeling in Data-Scarce Catchments: The Kilombero Floodplain in Tanzania. Water 2018, 10, 599. [Google Scholar] [CrossRef]
- Yira, Y.; Diekkrüger, B.; Steup, G.; Bossa, A.Y. Modeling land use change impacts on water resources in a tropical West African catchment (Dano, Burkina Faso). J. Hydrol. 2016, 537, 187–199. [Google Scholar] [CrossRef]
- Op de Hipt, F. Modeling Climate and Land Use Change Impacts on Water Resources in the Dano Catchment. Ph.D. Thesis, University of Bonn, Bonn, Germany, 2018. [Google Scholar]
- Rosa, I.M.D.; Rentsch, D.; Hopcraft, J.G.C. Evaluating forest protection strategies: A comparison of land-use systems to preventing forest loss in Tanzania. Sustainability 2018, 10, 4476. [Google Scholar] [CrossRef]
- Gabiri, G.; Leemhuis, C.; Diekkrüger, B.; Näschen, K.; Steinbach, S.; Thonfeld, F. Modelling the impact of land use management on water resources in a tropical inland valley catchment of central Uganda, East Africa. Sci. Total Environ. 2019, 653, 1052–1066. [Google Scholar] [CrossRef]
- Guzha, A.C.; Rufino, M.C.; Okoth, S.; Jacobs, S.; Nóbrega, R.L.B. Impacts of land use and land cover change on surface runoff, discharge and low flows: Evidence from East Africa. J. Hydrol. Reg. Stud. 2018, 15, 49–67. [Google Scholar] [CrossRef]
- Mucova, S.A.R.; Filho, W.L.; Azeiteiro, U.M.; Pereira, M.J. Assessment of land use and land cover changes from 1979 to 2017 and biodiversity & land management approach in Quirimbas National Park, Northern Mozambique, Africa. Glob. Ecol. Conserv. 2018, 16, e00447. [Google Scholar]
- Brink, A.B.; Eva, H.D. Monitoring 25 years of land cover change dynamics in Africa: A sample based remote sensing approach. Appl. Geogr. 2009, 29, 501–512. [Google Scholar] [CrossRef]
- Brink, A.B.; Bodart, C.; Brodsky, L.; Defourney, P.; Ernst, C.; Donney, F.; Lupi, A.; Tuckova, K. Anthropogenic pressure in East Africa—Monitoring 20 years of land cover changes by means of medium resolution satellite data. Int. J. Appl. Earth Obs. Geoinf. 2014, 28, 60–69. [Google Scholar] [CrossRef]
- Marchant, R.; Richer, S.; Boles, O.; Capitani, C.; Courtney-Mustaphi, C.J.; Lane, P.; Prendergast, M.E.; Stump, D.; De Cort, G.; Kaplan, J.O.; et al. Drivers and trajectories of land cover change in East Africa: Human and environmental interactions from 6000 years ago to present. Earth-Sci. Rev. 2018, 178, 322–378. [Google Scholar] [CrossRef]
- Kleemann, J.; Baysal, G.; Bulley, H.N.N.; Fürst, C. Assessing driving forces of land use and land cover change by a mixed-method approach in north-eastern Ghana, West Africa. J. Environ. Manag. 2017, 196, 411–442. [Google Scholar] [CrossRef] [PubMed]
- Meijer, J.; Shames, S.; Scherr, S.J.; Giesen, P. Spatial Scenario Modelling to Support Integrated Landscape Management in the Kilombero Valley Landscape in Tanzania; PBL Netherlands Environmental Assessment Agency: The Hague, The Netherlands, 2018. [Google Scholar]
- Nhemachena, C.; Matchaya, G.; Nhemachena, C.; Karuaihe, S.; Muchara, B.; Nhlengethwa, S. Measuring Baseline Agriculture-Related Sustainable Development Goals Index for Southern Africa. Sustainability 2018, 10, 849. [Google Scholar] [CrossRef]
- Faramarzi, M.; Abbaspour, K.C.; Ashraf Vaghefi, S.; Farzaneh, M.R.; Zehnder, A.J.B.; Srinivasan, R.; Yang, H. Modeling impacts of climate change on freshwater availability in Africa. J. Hydrol. 2013, 480, 85–101. [Google Scholar] [CrossRef]
- Op de Hipt, F.; Diekkrüger, B.; Steup, G.; Yira, Y.; Hoffmann, T.; Rode, M.; Näschen, K. Modeling the impact of climate change on water resources and soil erosion in a tropical catchment in Burkina Faso, West Africa. Sci. Total Environ. 2019, 653, 431–445. [Google Scholar] [CrossRef]
- Notter, B.; Hurni, H.; Wiesmann, U.; Ngana, J.O. Evaluating watershed service availability under future management and climate change scenarios in the Pangani Basin. Phys. Chem. Earth 2013, 61–62, 1–11. [Google Scholar] [CrossRef]
- Funk, C.; Dettinger, M.D.; Michaelsen, J.C.; Verdin, J.P.; Brown, M.E.; Barlow, M.; Hoell, A. Warming of the Indian Ocean threatens eastern and southern African food security but could be mitigated by agricultural development. Proc. Natl. Acad. Sci. USA 2008, 105, 11081–11086. [Google Scholar] [CrossRef]
- Williams, A.P.; Funk, C. A westward extension of the warm pool leads to a westward extension of the Walker circulation, drying eastern Africa. Clim. Dyn. 2011, 37, 2417–2435. [Google Scholar] [CrossRef]
- Shongwe, M.E.; van Oldenborgh, G.J.; van den Hurk, B.; van Aalst, M.; Shongwe, M.E.; Oldenborgh, G.J.; van den Hurk, B.; van Aalst, M. Projected Changes in Mean and Extreme Precipitation in Africa under Global Warming. Part II: East Africa. J. Clim. 2011, 24, 3718–3733. [Google Scholar] [CrossRef]
- Lyon, B.; DeWitt, D.G. A recent and abrupt decline in the East African long rains. Geophys. Res. Lett. 2012, 39, 1–5. [Google Scholar] [CrossRef]
- Environmental Resources Management. Southern Agricultural Growth Corridor of Tanzania (SAGCOT): Environmental and Social Management Framework (ESMF); SAGCOT: Dar es Salaam, Tanzania, 2013. [Google Scholar]
- Msofe, N.K.; Sheng, L.; Lyimo, J. Land use change trends and their driving forces in the Kilombero Valley Floodplain, Southeastern Tanzania. Sustainability 2019, 11, 505. [Google Scholar] [CrossRef]
- Milder, J.C.; Hart, A.K.; Buck, L.E. Applying an Agriculture Green Growth Approach in the SAGCOT Clusters: Challenges and Opportunities in Kilombero, Ihemi and Mbarali; SAGCOT Centre Limited: Dar es Salaam, Tanzania, 2013. [Google Scholar]
- Steffens, V.; Hartmann, G.; Dannenberg, P. Eine neue Generation von Wachstumskorridoren als Entwicklungsmotor in Afrika? Standort 2019, 43, 2–8. [Google Scholar] [CrossRef]
- Muro, J.; Strauch, A.; Heinemann, S.; Steinbach, S.; Thonfeld, F.; Waske, B.; Diekkrüger, B. Land surface temperature trends as indicator of land use changes in wetlands. Int. J. Appl. Earth Obs. Geoinf. 2018, 70, 62–71. [Google Scholar] [CrossRef]
- Kangalawe, R.Y.M.; Liwenga, E.T. Livelihoods in the wetlands of Kilombero Valley in Tanzania: Opportunities and challenges to integrated water resource management. Phys. Chem. Earth Parts A/B/C 2005, 30, 968–975. [Google Scholar] [CrossRef]
- Johansson, E.L.; Abdi, A.M. Mapping and quantifying perceptions of environmental change in Kilombero Valley, Tanzania. Ambio 2019, 1–12. [Google Scholar] [CrossRef] [PubMed]
- Duku, C.; Zwart, S.J.; Hein, L. Modelling the forest and woodland-irrigation nexus in tropical Africa: A case study in Benin. Agric. Ecosyst. Environ. 2016, 230, 105–115. [Google Scholar] [CrossRef]
- Eastman, J.R. TerrSet Tutorial: Geospatial Monitoring and Modeling System; Clark University: Worcester, MA, USA, 2016. [Google Scholar]
- Mas, J.-F.; Kolb, M.; Paegelow, M.; Camacho Olmedo, M.T.; Houet, T. Inductive pattern-based land use/cover change models: A comparison of four software packages. Environ. Model. Softw. 2014, 51, 94–111. [Google Scholar] [CrossRef]
- Eastman, J.R. TerrSet Manual. Geospatial Monitoring and Modeling System; Clark University: Worcester, MA, USA, 2016. [Google Scholar]
- Näschen, K.; Diekkrüger, B.; Leemhuis, C.; Seregina, L.S.; Linden, R. van der Impact of Climate Change on Water Resources in the Kilombero Catchment in Tanzania. Water 2019, 11, 859. [Google Scholar] [CrossRef]
- Daconto, G.; Games, I.; Lukumbuzya, K.; Raijmakers, F. Integrated Management Plan for the Kilombero Valley Ramsar Site; Ministry of Natural Resources and Tourism: Dar es Salaam, Tanzania, 2018.
- Wilson, E.; McInnes, R.; Mbaga, D.P.; Ouedaogo, P. Ramsar Advisory Mission Report: United Republic of Tanzania, Kilombero Valley; Ramsar Secretariat: Gland, Switzerland, 2017. [Google Scholar]
- CDM Smith. Environmental Flows in Rufiji River Basin Assessed from the Perspective of Planned Development in Kilombero and Lower Rufiji Sub-Basins; Report to the United States Agency for International Development; US AID: Dar es Salaam, Tanzania, 2016.
- Mombo, F.; Speelman, S.; Van Huylenbroeck, G.; Hella, J.; Moe, S. Ratification of the Ramsar convention and sustainable wetlands management: Situation analysis of the Kilombero Valley wetlands in Tanzania. J. Agric. Ext. Rural Dev. 2011, 3, 153–164. [Google Scholar]
- Nindi, S.J.; Maliti, H.; Bakari, S.; Kija, H.; Machoke, M. Conflicts over Land and water resources in the Kilombero Valley Floodplain, Tanzania. Afr. Study Monogr. 2014, 50, 173–190. [Google Scholar]
- Camberlin, P.; Philippon, N. The East African March–May Rainy Season: Associated Atmospheric Dynamics and Predictability over the 1968–97 Period. J. Clim. 2002, 15, 1002–1019. [Google Scholar] [CrossRef]
- Zorita, E.; Tilya, F.F. Rainfall variability in Northern Tanzania in the March-May season (long rains) and its links to large-scale climate forcing. Clim. Res. 2002, 20, 31–40. [Google Scholar] [CrossRef]
- Seregina, L.S.; Fink, A.H.; van der Linden, R.; Elagib, N.A.; Pinto, J.G. A new and flexible rainy season definition: Validation for the Greater Horn of Africa and application to rainfall trends. Int. J. Climatol. 2018, 39, 989–1012. [Google Scholar] [CrossRef]
- Koutsouris, A.J.; Chen, D.; Lyon, S.W. Comparing global precipitation data sets in eastern Africa: A case study of Kilombero Valley, Tanzania. Int. J. Climatol. 2016, 36, 2000–2014. [Google Scholar] [CrossRef]
- Nicholson, S.E. Climate and climatic variability of rainfall over eastern Africa. Rev. Geophys. 2017, 55, 590–635. [Google Scholar] [CrossRef]
- Dewitte, O.; Jones, A.; Spaargaren, O.; Breuning-Madsen, H.; Brossard, M.; Dampha, A.; Deckers, J.; Gallali, T.; Hallett, S.; Jones, R.; et al. Harmonisation of the soil map of africa at the continental scale. Geoderma 2013, 211–212, 138–153. [Google Scholar] [CrossRef]
- Zemandin, B.; Mtalo, F.; Mkhandi, S.; Kachroo, R.; McCartney, M. Evaporation Modelling in Data Scarce Tropical Region of the Eastern Arc Mountain Catchments of Tanzania. Nile Basin Water Sci. Eng. J. 2011, 4, 1–13. [Google Scholar]
- Kato, F. Development of a major rice cultivation area in the Kilombero Valley, Tanzania. Afr. Study Monogr. 2007, 36, 3–18. [Google Scholar]
- National Bureau of Statistics. 2012 Population and Housing Census Report; National Bureau of Statistics: Dar es Salaam, Tanzania, 2012. [Google Scholar]
- RBWB. The Rufiji Basin Water Board (RBWB) Discharge Database; RBWB: Iringa, Tanzania, 2014. [Google Scholar]
- Mack, B.; Leinenkugel, P.; Kuenzer, C.; Dech, S. A semi-automated approach for the generation of a new land use and land cover product for Germany based on Landsat time-series and Lucas in-situ data. Remote Sens. Lett. 2017, 8, 244–253. [Google Scholar] [CrossRef]
- Breiman, L. Random forests. Mach. Learn. 2001, 45, 5–32. [Google Scholar] [CrossRef]
- Gutowski, J.W.; Giorgi, F.; Timbal, B.; Frigon, A.; Jacob, D.; Kang, H.S.; Raghavan, K.; Lee, B.; Lennard, C.; Nikulin, G.; et al. WCRP Coordinated Regional Downscaling EXperiment (CORDEX): A diagnostic MIP for CMIP6. Geosci. Model Dev. 2016, 9, 4087–4095. [Google Scholar] [CrossRef]
- Lehner, B.; Verdin, K.; Jarvis, A. New Global Hydrography Derived From Spaceborne Elevation Data. Eos Trans. Am. Geophys. Union 2008, 89, 93–104. [Google Scholar] [CrossRef]
- United States Geological Survey (USGS). EarthExplorer. Available online: https://earthexplorer.usgs.gov/ (accessed on 8 December 2016).
- USGS. Department of the Interior Product Guide–Landsat 4–7 Surface Reflectance (LEDAPS) Product Version 8.0. Available online: https://landsat.usgs.gov/sites/default/files/documents/ledaps_product_guide.pdf (accessed on 8 December 2016).
- USGS. Department of the Interior Product Guide Landsat 8 Surface Reflectance Code (LASRC) Product Version 4.1. Available online: https://landsat.usgs.gov/sites/default/files/documents/lasrc_product_guide.pdf (accessed on 8 December 2016).
- Arnold, J.G.; Srinivasan, R.; Muttiah, R.S.; Williams, J.R. Large area hydrologic modeling and assessment part I: Model development. J. Am. Water Resour. Assoc. 1998, 34, 73–89. [Google Scholar] [CrossRef]
- Williams, J.R. The EPIC Model. In Computer Models of Watershed Hydrology; Water Resources Publications: Highlands Ranch, CO, USA, 1995; pp. 909–1000. [Google Scholar]
- Neitsch, S.L.; Arnold, J.G.; Kiniry, J.R.; Williams, J.R. Soil & Water Assessment Tool Theoretical Documentation, version 2009; Neitsch, S.L., Arnold, J.G., Kiniry, J.R., Williams, J.R., Eds.; Grassland, Soil and Water Research Laboratory: Temple, TX, USA, 2011. [Google Scholar]
- Soil Conservation Service (Ed.) Hydrology. In National Engineering Handbook; Soil Conservation Service: Lakewood, CO, USA, 1972. [Google Scholar]
- Monteith, J.L.; Moss, C.J. Climate and the Efficiency of Crop Production in Britain. Philos. Trans. R. Soc. B Biol. Sci. 1977, 281, 277–294. [Google Scholar] [CrossRef]
- Sloan, P.G.; Moore, I.D. Modeling subsurface stormflow on steeply sloping forested watersheds. Water Resour. Res. 1984, 20, 1815–1822. [Google Scholar] [CrossRef]
- Liu, W.; Park, S.; Bailey, R.T.; Molina-Navarro, E.; Andersen, H.E.; Thodsen, H.; Nielsen, A.; Jeppesen, E.; Jensen, J.S.; Jensen, J.B.; et al. Comparing SWAT with SWAT-MODFLOW hydrological simulations when assessing the impacts of groundwater abstractions for irrigation and drinking water. Hydrol. Earth Syst. Sci. Discuss. 2019, 1–51. [Google Scholar] [CrossRef]
- Arnold, J.G.; Kiniry, J.R.; Srinivasan, R.; Williams, J.R.; Haney, E.B.; Neitsch, S.L. Soil & Water Assessment Tool: Input/output Documentation; Texas Water Recources Institute: College Station, TX, USA, 2012. [Google Scholar]
- Abbaspour, K.C. SWAT-CUP 2012. SWAT Calibration and Uncertainty Programs; Abbaspour, K.C., Ed.; Eawag: Dübendorf, Switzerland, 2013. [Google Scholar]
- Gilleland, E.; Katz, R.W. extRemes 2.0: An Extreme Value Analysis Package in R. J. Stat. Softw. 2016, 72, 1–39. [Google Scholar] [CrossRef]
- Smakhtin, V.U. Low flow hydrology: A review. J. Hydrol. 2001, 240, 147–186. [Google Scholar] [CrossRef]
- van Vliet, M.T.H.; Franssen, W.H.P.; Yearsley, J.R.; Ludwig, F.; Haddeland, I.; Lettenmaier, D.P.; Kabat, P. Global river discharge and water temperature under climate change. Glob. Environ. Chang. 2013, 23, 450–464. [Google Scholar] [CrossRef]
- Bond, N. Hydrostats: Hydrologic Indices for Daily Time Series Data, R package version 0.2.4. 16 October 2015.
- Anand, J.; Gosain, A.K.; Khosa, R. Prediction of land use changes based on Land Change Modeler and attribution of changes in the water balance of Ganga basin to land use change using the SWAT model. Sci. Total Environ. 2018, 644, 503–519. [Google Scholar] [CrossRef]
- Gashaw, T.; Tulu, T.; Argaw, M.; Worqlul, A.W. Modeling the hydrological impacts of land use/land cover changes in the Andassa watershed, Blue Nile Basin, Ethiopia. Sci. Total Environ. 2018, 619–620, 1394–1408. [Google Scholar] [CrossRef]
- Adhikari, S.; Southworth, J.; Adhikari, S.; Southworth, J. Simulating Forest Cover Changes of Bannerghatta National Park Based on a CA-Markov Model: A Remote Sensing Approach. Remote Sens. 2012, 4, 3215–3243. [Google Scholar] [CrossRef]
- Vogelmann, J.E.; Gallant, A.L.; Shi, H.; Zhu, Z. Perspectives on monitoring gradual change across the continuity of Landsat sensors using time-series data. Remote Sens. Environ. 2016, 185, 258–270. [Google Scholar] [CrossRef]
- Duvail, S.; Hamerlynck, O. The Rufiji River flood: Plague or blessing? Int. J. Biometeorol. 2007, 52, 33–42. [Google Scholar] [CrossRef] [PubMed]
- Kwesiga, J.; Grotelüschen, K.; Neuhoff, D.; Senthilkumar, K.; Döring, T.F.; Becker, M. Site and Management Effects on Grain Yield and Yield Variability of Rainfed Lowland Rice in the Kilombero Floodplain of Tanzania. Agronomy 2019, 9, 632. [Google Scholar] [CrossRef]
- Rathjens, H.; Oppelt, N. SWATgrid: An interface for setting up SWAT in a grid-based discretization scheme. Comput. Geosci. 2012, 45, 161–167. [Google Scholar] [CrossRef]
- Niraula, R.; Meixner, T.; Norman, L.M. Determining the importance of model calibration for forecasting absolute/relative changes in streamflow from LULC and climate changes. J. Hydrol. 2015, 522, 439–451. [Google Scholar] [CrossRef]
- Cornelissen, T.; Diekkrüger, B.; Giertz, S. A comparison of hydrological models for assessing the impact of land use and climate change on discharge in a tropical catchment. J. Hydrol. 2013, 498, 221–236. [Google Scholar] [CrossRef]
- Martinez-Martinez, E.; Nejadhashemi, A.P.; Woznicki, S.A.; Love, B.J. Modeling the hydrological significance of wetland restoration scenarios. J. Environ. Manag. 2014, 133, 121–134. [Google Scholar] [CrossRef]
- Gabiri, G.; Burghof, S.; Diekkrüger, B.; Steinbach, S.; Näschen, K. Modeling Spatial Soil Water Dynamics in a Tropical Floodplain, East Africa. Water 2018, 10, 191. [Google Scholar] [CrossRef]
- Wambura, F.J.; Dietrich, O.; Graef, F. Analysis of infield rainwater harvesting and land use change impacts on the hydrologic cycle in the Wami River basin. Agric. Water Manag. 2018, 203, 124–137. [Google Scholar] [CrossRef]
- Danvi, A.; Giertz, S.; Zwart, S.J.; Diekkrüger, B. Rice intensification in a changing environment: Impact on water availability in inland valley landscapes in Benin. Water 2018, 10, 74. [Google Scholar] [CrossRef]
- Schäfer, M.P.; Dietrich, O.; Mbilinyi, B. Streamflow and lake water level changes and their attributed causes in Eastern and Southern Africa: State of the art review. Int. J. Water Resour. Dev. 2016, 32, 853–880. [Google Scholar] [CrossRef]
- Wagner, P.D.; Kumar, S.; Schneider, K. An assessment of land use change impacts on the water resources of the Mula and Mutha Rivers catchment upstream of Pune, India. Hydrol. Earth Syst. Sci. 2013, 17, 2233–2246. [Google Scholar] [CrossRef]
- National Bureau of Statistics. The National Environment Statistics Report, 2017 (NESR, 2017)–Tanzania Mainland; National Bureau of Statistics: Dar es Salaam, Tanzania, 2017. [Google Scholar]
- Reshmidevi, T.V.; Nagesh Kumar, D.; Mehrotra, R.; Sharma, A. Estimation of the climate change impact on a catchment water balance using an ensemble of GCMs. J. Hydrol. 2018, 556, 1192–1204. [Google Scholar] [CrossRef]
- Reshmidevi, T.V.; Nagesh Kumar, D. Modelling the impact of extensive irrigation on the groundwater resources. Hydrol. Process. 2014, 28, 628–639. [Google Scholar] [CrossRef]
- Cuthbert, M.O.; Taylor, R.G.; Favreau, G.; Todd, M.C.; Shamsudduha, M.; Villholth, K.G.; MacDonald, A.M.; Scanlon, B.R.; Kotchoni, D.O.V.; Vouillamoz, J.-M.; et al. Observed controls on resilience of groundwater to climate variability in sub-Saharan Africa. Nature 2019, 572, 230–234. [Google Scholar] [CrossRef]
- Burghof, S.; Gabiri, G.; Stumpp, C.; Chesnaux, R.; Reichert, B. Development of a hydrogeological conceptual wetland model in the data-scarce north-eastern region of Kilombero Valley, Tanzania. Hydrogeol. J. 2017, 26, 267–284. [Google Scholar] [CrossRef]
- Burghof, S. Hydrogeology and Water Quality of Wetlands in East Africa. Ph.D. Thesis, University of Bonn, Bonn, Germany, 2017. [Google Scholar]
- Kim, N.W.; Chung, I.M.; Won, Y.S.; Arnold, J.G. Development and application of the integrated SWAT–MODFLOW model. J. Hydrol. 2008, 356, 1–16. [Google Scholar] [CrossRef]
- Mango, L.M.; Melesse, A.M.; McClain, M.E.; Gann, D.; Setegn, S.G. Land use and climate change impacts on the hydrology of the upper Mara River Basin, Kenya: Results of a modeling study to support better resource management. Hydrol. Earth Syst. Sci. 2011, 15, 2245–2258. [Google Scholar] [CrossRef]
- Kashenge, S.; Makoninde, E. Perception and Indicators of Climate Change, Its Impacts, Available Mitigation Strategies in Rice Growing Communities Adjoining Eastern Arc Mountains. Univers. J. Agric. Res. 2017, 5, 267–279. [Google Scholar]
- Munishi-Kongo, S. Ground and Satellite-Based Assessment of Hydrological Responses To Land Cover Change in the Kilombero River Basin. Ph.D. Thesis, University of KwaZulu-Natal, Durban, South Africa, 2013. [Google Scholar]
- Yang, W.; Long, D.; Bai, P. Impacts of future land cover and climate changes on runoff in the mostly afforested river basin in North China. J. Hydrol. 2019, 570, 201–219. [Google Scholar] [CrossRef]
- Msofe, N.K. Socio-Ecological Drivers of Land Use Change and Wetland Conversion in Kilombero Valley Floodoplain, Tanzania. Am. J. Environ. Resour. Econ. 2019, 4, 1–11. [Google Scholar] [CrossRef]
- Johansson, E.L.; Isgren, E. Local perceptions of land-use change: Using participatory art to reveal direct and indirect socioenvironmental effects of land acquisitions in Kilombero Valley, Tanzania. Ecol. Soc. 2017, 22, 1–12. [Google Scholar] [CrossRef]
- Hrachowitz, M.; Savenije, H.H.G.; Blöschl, G.; McDonnell, J.J.; Sivapalan, M.; Pomeroy, J.W.; Arheimer, B.; Blume, T.; Clark, M.P.; Ehret, U.; et al. A decade of Predictions in Ungauged Basins (PUB)—A review. Hydrol. Sci. J. 2013, 58, 1198–1255. [Google Scholar] [CrossRef]












| Abbreviation | Meaning | Abbreviation | Meaning |
|---|---|---|---|
| CLMcom | Climate Limited-area Modeling Community | Q10 | Flow exceeded in 10% of the specified period |
| CORDEX | Coordinated Regional Downscaling Experiment | Q90 | Flow exceeded in 90% of the specified period |
| DEM | Digital elevation model | RCM | Regional climate models |
| EPIC | Erosion-Productivity Impact Calculator | RCP | Representative Concentration Pathways |
| GCM | Global Climate Model | RF | Random Forest |
| HRU | Hydrologic response unit | RBWB | Rufiji Basin Water Board |
| HWSD | Harmonized World Soil Database | SAGCOT | Southern Agricultural Growth Corridor of Tanzania |
| KGE | Kling-Gupta efficiency | SCS | Soil conservation service |
| LCM | Land Change Modeler | SDGs | Sustainable Development Goals |
| LULC | Land use/land cover | SMHI | Swedish Meteorological and Hydrological Institute |
| LULCC | Land use/land cover change | SRTM | Shuttle Radar Topography Mission |
| MLP | Multi-Layer Perceptron | SSA | Sub-Saharan Africa |
| MSS | Multispectral scanner | SWAT | Soil and Water Assessment Tool |
| NGO | Non-Governmental Organisation | TMA | Tanzania Meteorological Agency |
| NSE | Nash-Sutcliffe-Efficiency | UDSM | University of Dar es Salaam |
| PPP | Public-private partnership |
| Data Set | Resolution/Scale | Source | Required Parameters |
|---|---|---|---|
| Digital elevation model (DEM) | 90 m | Shuttle Radar Topography Mission (SRTM) [52] | Topographical data |
| Soil map | 1 km | FAO [44] | Soil classes and physical properties |
| Land use map | 60 m (1970s), 30 m (1994, 2004, 2014) | Landsat Pre-Collection Level-1 [53], Landsat TM, ETM+, OLI Surface Reflectance Level-2 Science Products [54,55], SRTM [52] | Land use/cover classes |
| Precipitation | Daily | Personal communication: Rufiji Basin Water Board (RBWB), University of Dar es Salaam (UDSM), Tanzania Meteorological Agency (TMA) | Measured precipitation |
| Climate | Daily/0.44° (1951–2060) | CORDEX Africa [51] | Temperature, humidity, solar radiation, wind speed, precipitation |
| Discharge | Daily (1958–1970) | RBWB [48] | Discharge |
| GCM | RCM | Institution | URL | In This Study Referred to as |
|---|---|---|---|---|
| CNRM-CM5 | CCLM4-8-17_v1 | Climate Limited-area Modeling Community (CLMcom) | https://esg-dn1.nsc.liu.se/ | Dry model |
| MIROC5 | RCA4_v1 | Rossby Centre, Swedish Meteorological and Hydrological Institute (SMHI) | https://esg-dn1.nsc.liu.se/ | Wet model |
| Climate Model | Historical Precipitation (after Bias Correction) in mm | RCP Precipitation Changes in mm (%) | RCP Actual Evapotranspiration Changes in mm (%) | RCP Overall Water Yield Changes in mm (%) |
|---|---|---|---|---|
| “Dry Model” (RCP4.5) | 1311 | −109 (−8.3) | −10 (−1.4) | −103 (−19.8) |
| “Wet Model” (RCP4.5) | 1345 | 218 (16.2) | 14 (1.5) | 163 (42.1) |
| “Dry Model” (RCP8.5) | 1311 | −76 (−5.8) | 11 (1.5) | −85 (−16.3) |
| “Wet Model” (RCP8.5) | 1345 | 302 (22.5) | 25 (2.7) | 239 (61.6) |
| Simulation Period (Daily) | R2 | NSE | KGE |
|---|---|---|---|
| Calibration (1958–1965) | 0.86 | 0.85 | 0.93 |
| Validation (1966–1970) | 0.80 | 0.80 | 0.89 |
| Transition | Skill Measure |
|---|---|
| to cropland | 0.69 |
| to cropland-rice | 0.77 |
© 2019 by the authors. Licensee MDPI, Basel, Switzerland. This article is an open access article distributed under the terms and conditions of the Creative Commons Attribution (CC BY) license (http://creativecommons.org/licenses/by/4.0/).
Share and Cite
Näschen, K.; Diekkrüger, B.; Evers, M.; Höllermann, B.; Steinbach, S.; Thonfeld, F. The Impact of Land Use/Land Cover Change (LULCC) on Water Resources in a Tropical Catchment in Tanzania under Different Climate Change Scenarios. Sustainability 2019, 11, 7083. https://doi.org/10.3390/su11247083
Näschen K, Diekkrüger B, Evers M, Höllermann B, Steinbach S, Thonfeld F. The Impact of Land Use/Land Cover Change (LULCC) on Water Resources in a Tropical Catchment in Tanzania under Different Climate Change Scenarios. Sustainability. 2019; 11(24):7083. https://doi.org/10.3390/su11247083
Chicago/Turabian StyleNäschen, Kristian, Bernd Diekkrüger, Mariele Evers, Britta Höllermann, Stefanie Steinbach, and Frank Thonfeld. 2019. "The Impact of Land Use/Land Cover Change (LULCC) on Water Resources in a Tropical Catchment in Tanzania under Different Climate Change Scenarios" Sustainability 11, no. 24: 7083. https://doi.org/10.3390/su11247083
APA StyleNäschen, K., Diekkrüger, B., Evers, M., Höllermann, B., Steinbach, S., & Thonfeld, F. (2019). The Impact of Land Use/Land Cover Change (LULCC) on Water Resources in a Tropical Catchment in Tanzania under Different Climate Change Scenarios. Sustainability, 11(24), 7083. https://doi.org/10.3390/su11247083

