Abstract
This paper intends to analyze the role of the chief executive officer’s (CEO) Corporate Social Responsibility Orientation (CSRO) on interfirm cooperation. Interfirm cooperation is central to gaining competitiveness, particularly in international scenarios where firms must deal with uncertain challenges. Nonetheless, the current understanding of its key determinants needs further development. We argue that whereas environmental hostility pushes firms to cooperate for self-interested purposes, CEOs’ CSRO pulls towards cooperation as an end in itself, even more so under hostile conditions where the need for good-willed committed partners is higher. In a sample of 124 internationalized Spanish firms, we found that CEOs’ CSRO alone increases firms’ international interfirm cooperation and that this impact is stronger under hostile international environments. Our findings thus highlight the importance of leading firms in a socially responsible direction to boost their interfirm cooperation levels in international scenarios.
1. Introduction
Research has shown that Corporate Social Responsibility (CSR hereafter) can enhance employees’ organizational identification [], firms’ long-term performance [] and market value []. To date, most research on CSR has focused on the macro-level of firms [] and it is only recently that attention has been paid to micro-level CSR []. Additionally, while a considerable amount of literature addresses the importance of CSR, less emphasis has been placed on its effect on firms’ cooperative behavior []. The emergence of intense global competition makes strategic alliances and any other type of interfirm cooperation key in gaining success in the global environment []. Defined as a process of joint effort with other agents for the joint accomplishment of individual goals [], interfirm cooperation is critical in the current dynamic of competitive environments, especially in international scenarios, where environmental conditions change at a dramatic pace. Interfirm cooperation is a complex process that requires agreement on both sides, where trust plays a critical role, such that if there are no guarantees that each party will reciprocate, the cooperation is likely not to materialize []. Along this line, recent research shows that a firm’s Corporate Environmental Responsibility may influence its collaboration strategy by affecting its legitimacy []. Firms’ collaborative strategy fosters close relationships with its stakeholders. Firms can even gain sustainable competitiveness through collaboration by leveraging heightened support from stakeholders []. Hence, it is important to address the question of whether CSR fosters or hampers firms’ cooperative strategies.
Previous studies have suggested an important role of chief executive officer (CEO)s’ characteristics in whether, or how, business internationalization processes develop []. Additionally, based on upper echelon theory [], some studies document that CSR strategies correspond to CEOs’ intrinsic decisions and are especially determined by their characteristics [,]. Defined as the views of managers regarding their responsibilities to society and the important role of ethics and CSR in business, Corporate Social Responsibility Orientation (CSRO hereafter) is an important explicative factor behind a firm’s engagement with CSR []. Because CEOs’ CSRO implies involvement in an encompassing dialogue with stakeholders per se, such orientation might increase the intention of these CEOs to initiate cooperative relationships with other stakeholders, including other firms []. For example, as a result of their CSRO, CEOs are likely to have a social welfare orientation, and such, CSRO will accordingly transform firms’ behavior in ethical terms [], thus generating trust in their closer circles [], and gaining cooperative agreements with others more easily [].
CEOs’ CSRO therefore appears to prompt interfirm cooperation. However, the role of CSR has not been widely addressed in the international business scenarios [] and according to our knowledge, there exist no studies on the role of a CEO’s CSRO in influencing his/her decisions to engage in interfirm cooperation. This study is the first to analyze this role by examining whether or not a CEO’s CSRO has an impact on the level of interfirm cooperation in international environments. Furthermore, we aimed to study how this impact changes in different situations and environmental conditions.
Therefore, in addition to analyzing its direct effect, we studied the moderating role of environmental hostility (ENVHOST hereafter) in the effect of CEOs’ CSRO on international interfirm cooperation. Recent research suggests that CSRO can be a means of positive differentiation in a hostile environment [] that could enhance the attractiveness of a partner in terms of cooperation []. Nonetheless, no existing research has addressed this matter either, so the question of whether ENVHOST moderates the impact of CEOs’ CSRO on international interfirm cooperation remains unresolved.
Our principal objective was therefore to explain the role of CEOs’ CSRO in accounting for international interfirm cooperation, as well as what happens to this effect if the international environment is also perceived as hostile. These efforts advance prior research that suggested that firms with a strong ethical reputation tend to be more attractive to others as a cooperative partner, and such ethical reflection represents an essential element in generating interfirm cooperation [,]. We also expand previous literature on interfirm cooperation by determining under what conditions CEOs’ CSRO is more likely to impact on international interfirm cooperation. We suggest that ENVHOST will be critical to enhance the positive influence of CEOS’ CSRO on international interfirm cooperation. The current study builds upon previous research examining the role of CSR in international business and in the strategic choices of firms []. In particular, this research enhances knowledge in this field by examining whether ENVHOST makes a difference in CEOs’ CSRO-interfirm cooperation in international scenarios.
The paper is organized as follows: In the next section, we present the theoretical framework and research hypotheses. The Data and Methods Section shows the sample and measurements used in the empirical analysis. Then, we present the results and end up with discussion, conclusions, limitations and suggestions for future research.
2. Theoretical Framework
It was with stakeholder theory [] that the idea of being ethical and socially responsible started to gain greater prominence in the strategic management literature. In his work, Freeman [] re-conceptualized the nature of the firm and embraced the idea that the firm should consider the needs of new external stakeholders, defined as “any group or individual who can affect or is affected by the achievement of the firm’s objectives” [] (p. 46), beyond the needs of traditional ones—shareholders. It implied that the firm’s social responsibility had to extend to a wider circle of agents (e.g., customers, suppliers, employees, trade associations, financers, government, political groups, civil society), not only to shareholders. Thus, according to the stakeholder theory, the firm should bring all the stakeholders together to fulfill their needs and expectations, as well as create value for them []. CSR is broadly defined as “actions that appear to further some social good, beyond the interests of the firm and that which is required by law” [] (p. 117). When firms engage in CSR, they integrate social, ethical and environmental concerns in their operations and relationships with stakeholders, on a voluntary basis and beyond the level of legal compliance [,].
Corporate Responsibility decisions are often taken by top management [,] and in most SMEs, CEO and owner are the same person. Along this line, the role played by the manager with regard to integrating CSR, especially in SMEs, has been widely recognized [,], stressing the importance of the perceived role of ethics []. A review of recent empirical research corroborates that CSRO boosts the firm’s CSR activities [,,]. Regarding theoretical approaches and explanations, Table 1 shows the main drivers or motivations for CEOs to pursue CSR. Based on upper echelon theory [], some studies argued that CSR strategies correspond to CEOs’ intrinsic decisions and that personal values affect the business choices that CEOs make, and can shape the way corporations are governed [,]. Therefore, according to the literature, CSR can be undertaken to fulfill CEO’s personal values and interests [], but also to increase reputation [], to provide a favorable business context for the company [], or even that CEOs can be “forced” to imitate other firms’ CSR activities to gain legitimacy [].

Table 1.
Chief executive officers (CEOs) motivation for Corporate Social Responsibility Orientation (CSRO).
Hence, in addition to economic [,] and social motivations [,], a firms’ engagement in CSR depends on their managers’ values and CSR strategies, correspond to CEOs’ intrinsic decisions, and are especially determined by their interests and characteristics [,]. The literature shows that Corporate Responsibility can be motivated by a moral and ethical discourse [,]. It then follows that CSRO, a strong interest in being ethical and socially responsible to society [], might play a role in explaining a firm’s engagement in CSR. In fact, CSRO has been associated with morality and altruism in firms and with a willingness to sacrifice self-interests for the common good [,].
Thus, with a strong CSRO, firms gain social legitimacy [] and corporate reputation [], which generates trust in their immediate, close business circles []. Trust, which is “the perceived likelihood of the other not behaving in a self-interested manner” [] (p. 32) is the glue that cements alliance relationships an interfirm cooperation []. It creates a climate that facilitates joint activities and makes cooperative endeavors happen more easily []. Trust is key in establishing interfirm cooperation as it is the basis for partnering, and without trust, opportunities for mutually beneficial cooperation would not present themselves [,]. Because trust is a perception of confidence in others’ reliability and integrity and reflects the expectation that others will do what they say they will do [], CEOs’ CSRO is attractive in terms of cooperation. This is especially relevant in international scenarios, where trust is a prerequisite to get involved in coopetitive relationships [] and one the key success factors for international cooperation identified in the literature []. In a local and more face-to-face cooperation, firms can build up trust more easily [], whereas in international scenarios, other elements need to be added to the equation. Here is where CEOs’ CSRO may play a key role in fostering the development of trust and favoring cooperation.
In addition to achieving cooperation by attracting others to do so, CEOs’ CSRO involves a willingness to cooperate as an end in itself. The concept of CSR presupposes a willingness to initiate and form cooperative agreements with stakeholders []. In fact, firms with a strong CSRO tend to form closer relationships with stakeholders, including competitors [], leading to a better understanding of the needs of each party and opening the door to future cooperative agreements to find joint solutions. Hence, when CEOs exhibit strong CSRO, they are more likely to reflect a prosocial value orientation [,,,] and such an orientation is linked to a natural willingness to cooperate [,,,], so CEOs’ CSRO becomes a pull factor in explaining the decision of firms to engage in international interfirm cooperation.
In summary, firms led by CEOs with a strong CSRO may become more attractive in terms of cooperation and may show a more proactive, cooperative behavior. Thus, we propose the following:
Hypothesis 1 (H1).
CEOs’ CSRO is positively related to international interfirm cooperation.
One important dimension of the environment with a high influence on the firm’s strategic actions is the perceived level of ENVHOST []. Hostile environments are described as “risky, stressful, and dominating” [] (p. 335) with few opportunities. ENVHOST indicates unfavorable external conditions due to radical industry changes [] and fierce rivalry among competitors []. This hostility may also result from market and product-related uncertainty []. Hostile environments are defined by Covin et al. [] as “characterized by high levels of competitive intensity, a paucity of readily exploitable market opportunities, tremendous competitive, market, and/or product-related uncertainties, and a general vulnerability to influence from forces and elements external to the firm’s immediate environment” (p. 24).
The recent literature stresses the role of ENVHOST on international performance [,], on environmental innovation [] and entrepreneurial orientation [], especially in SMEs [] and family firms []. In hostile environments, the intensity of competition exerts more pressure to the firms, forcing them to be more oriented towards markets and competitors and to make a more efficient use of existing resources since there is less room for experimentation and error []. Hence, ENVHOST increases competition as well as legal, political, or economic constraints [] and under hostile conditions, managers perceive a high level of regulatory, technological, competitor, and customer hostilities []. This translates into “intense competition, harsh, overwhelming business climates, a relative lack of exploitable opportunities” [] (p. 75), a relatively high market uncertainty, a low market growth rate and a low amount of available resources. Thus, hostile environments are perceived as highly unfavorable, which can negatively affect the financial and market performance of firms, including those operating abroad [,,,].
The perception that the environment is hostile and that it involves resource-shortage situations, pushes firms to seek alliances with other agents as a means to gain access to other resources and overcome the challenges faced []. However, in ENVHOST scenarios, a feeling of distrust typically emerge and dominate all types of inter-organizational relationships. Hostile environments represent unfavorable and resource-unavailability situations that hamper trust building and instigate opportunistic behavior []. In such a context, interfirm cooperation, although necessary to survive, is difficult to obtain, unless the firm possesses other intangible, non-economic resources of value that make it attractive in terms of cooperation.
A strong CSRO can be such a resource because it can help the firm to gain a reputation as a good corporate citizen that keeps promises and engages in fair dealing [,,]. This helps other agents think of the firm as one that is unlikely to incur in exploitative behaviors, thus making it easier for it to find cooperative partners, especially when ENVHOST is perceived []. Because hostile environments indicate uncertainty and invite all the agents to distrust one other, firms with strong CSRO gain social legitimacy [] and corporate reputation [,], which are helpful in limiting the impression that these firms will engage in opportunistic behaviors. The role of trust is even stronger under environmental hostility conditions as it may also foster long-term commitment in cooperation relationships and at the same time, provide the flexibility to cope with inevitable uncertainties that arise in a long-term exchange []. This flexibility may help firms mitigate exchange hazards under uncertainty and external hostility conditions, as well as strengthens partners’ commitment to a cooperative relationship []. Following these arguments, in hostile contexts, a strong CSRO makes firms more attractive as cooperative partners in international scenarios. Thus, our second hypothesis reads as follows:
Hypothesis 2 (H2).
ENVHOST positively moderates the relationship between CEOs’ CSRO and international interfirm cooperation.
3. Data and Methods
To test our hypotheses, we used a survey instrument to gather data from CEOs of Spanish internationalized firms operating in a variety of subsectors. The questionnaire was pilot tested on a panel of expertise scholars and professionals of different industries and revealed no need for further revisions, thus confirming its clarity, comprehension, readability and suitability.
We selected a random sample of 1200 internationalized firms from the SABI (Iberian Balance Sheet Analysis System) database. After two months and two mailings, we obtained a sample of 124 valid records, representing a response rate of 10.33%. We tested non-response bias and observed no differences between responding and non-responding firms on structural characteristics of the firms surveyed—size and age.
By internationalized company, we refer to those firms that have an international activity, either exporting, commercial agents, licensing, joint-ventures or foreign direct investment. The main entry modes of the companies in our sample are the following: exporting (45.2%), international commercial agents (20.2%), licensing (4.8%), joint-ventures (9.7%) and foreign direct investment such as overseas manufacturing or international sales subsidiaries (20.2%).
The firms in our sample operate in different subsectors, within the manufacturing and service industries. These include knowledge-intensive services (22.6%), technological manufacturing (18%), commerce (15.3%), agro-food (4%), building (3.2%), energy (0.8%), natural resource extraction (0.8%), and other various services (35.4%). Many firms (30%) originate from larger firms and have been operating in their sectors for 5 years or more (66%). Regarding size, 45.2% of the firms in our sample are micro-firms (less than 10 employees), 17.7% are small firms (less than 50 employees) and 17.6% are medium-sized firms.
Because the study was cross-sectional and used self-report measures, common method bias (CMB hereafter) might be a concern. However, the questionnaire design followed earlier suggestions made in the literature to mitigate this issue [,]. For example, we ensured both physical and psychological separation between the predictors and criterion variables in the questionnaire, to make them appear unrelated and part of different general topic areas. We also included simple, specific, and concise items according to our pilot test results and encouraged motivation to respond accurately by promising feedback to respondents and by keeping the questionnaire short. Additionally, we conducted several tests following earlier recommendations [,]. We employed a combination of statistical-post hoc techniques, rather than a single one, to control for this issue. First, we conducted an exploratory factor analysis (EFA) by using Harman’s single factor test [], which determines whether the majority of the variance can be explained by a single factor. The test revealed five factors with eigenvalues greater than 1, explaining the 66% of the total variance. Because the variance of the first factor proved to be around 25% (less than 50%), one factor did not appear to account for the majority of variance in the variables and hence, this bias appears not to be a serious threat. The marker variable technique also helped us to reach the same conclusion. Following Lindell-Whitney [], we prepared a marker variable, which measured with a single item “the importance of academic publications as a source of firm’s innovation” in a 5-point Likert scale response format (1 = minor importance; 5 = major importance). The second smallest correlation between this marker variable and the study variables (r = 0.017), considered as a proxy for CMB, was used to partial out our correlation estimates, so we calculated the CMB-adjusted estimates and the test statistic for each pair of correlations using equations 4 and 5 from Lindell and Whitney [] (p.116). After controlling for CMB, and because the CMB-estimate was close to zero, all the CMB-adjusted correlations remained significant, thus suggesting that CMB was unlikely to have affected our findings.
Our measures are defined as follows:
International Interfirm Cooperation. Our dependent variable was measured with a question about whether the firm was cooperating or not with other firms in international scenarios at the moment of the survey. This variable used the value of 1 when the firm was cooperating and 0 otherwise.
ENVHOST. To measure this variable, we used a six-item five-point response format scale (1 = not hostile at all, 5 = very hostile) designed by Zahra and Garvish [] (see Appendix). This scale measures the degree of ENVHOST that the CEO perceives concerning several aspects (industry growth rate, access to financial markets, qualified workers, and distribution channels). The firms’ responses were averaged, so a higher score on this scale indicates a stronger ENVHOST (Cronbach α = 0.83).
CEOs’ CSRO. Five items from Etheredge’s Perceived Role of Ethics and Social Responsibility (PRESOR) scale [], were utilized to measure this variable (see Appendix). Using a 5-point response format (1 = totally disagree, 5 = totally agree), the CEOs were asked to assess the extent to which Ethics and CSR was paramount to run their firms. Each firm’s participant’s response was averaged, with higher scores on the scale indicating a stronger CSRO (Cronbach α = 0.90).
As control variables, we introduced firm age (measured as number of years since creation) and size (measured as the Napierian logarithm of number of employees). These variables have previously been used in the literature to explain interfirm network and cooperation []. Additionally, we controlled for industry (services = 1; manufacturing = 0) as this characteristic can yield differences in terms of cooperation []. Finally, we controlled for intrapreneurship origin of the firm, since when firms are created this way, they are likely to be more entrepreneurial [] and thus more linked to take cooperation-related decisions. We measured this variable with a dummy variable that takes the value of 1 when the firm has an intrapreneurship origin and 0 otherwise.
To test our hypotheses, we used two logistic regressions. While the maximum likelihood method was used to estimate the logit coefficients, we generated the required odds ratios to test our two hypotheses, as recommended []. With a sample size of 124 firms, and for a statistical power considerably above 80% at the 0.05 significance level, our study was able to detect medium effect sizes []. Specifically, G*Power 3.1.9.2 [] confirmed that at the 0.05 significance level, our most complex logistic regression (7 predictors included) yielded around 99% probability of detecting a true medium size effect. It also yielded a likelihood of more than 99% that the R2 we obtained significantly differs from zero, or that there is little likelihood of rejecting the null hypothesis “R2 deviates significantly from zero” when it is false. Thus, the number of informants was high enough to test the model [].
4. Results
Table 2 shows descriptive statistics and zero-order correlations. Table 3 reports our hypothesis testing, which we present in a two-model phase procedure that helps note the distinctive effects of entering the independent variables and its interaction term. As seen, while Model 1 includes the control variables and the direct effect of our independent variables, Model 2 adds the interaction term to the equation (ENVHOST × CEO’s CSRO).

Table 2.
Descriptive statistics and zero-order correlations. Cronbach α in parentheses.

Table 3.
Logistic regression (unstandarized coefficients (coeff), standard errors (SE) and odds ratios (eb).
Model 1 (χ2 = 24.39, p < 0.01) was able to classify the cases reasonably well (68.5%). Nevertheless, Model 2 provided the best fit to the data (χ2 = 27.34, p < 0.01), and the best correct total percentage rate (around 70%), including both a good sensitivity rate (79.1%) and a good specificity power (57.9%). In addition, Model 2 explained best our dependent variable, including non-negligible rates of around 20% (Cox and Snell, R2 = 0.20) or higher (Nagerlkerke R2 = 0.26) in its explained variance (Table 2).
We used the estimates presented in Model 2 to evaluate the significant effects of control variables on interfirm cooperation in international scenarios. The analysis revealed interesting findings. For example, firm size was positively associated (coefficient = 0.20, p < 0.05; odds ratio = 1.21) so versus smaller firms, large firms are 21% more likely to cooperate in international contexts. Table 3 also shows that firms with an intrapreneurship origin are 2.30 times more likely to cooperate than firms without such origin (coefficient = 0.83, p < 0.10, odds ratio = 2.30). This suggests the importance of this aspect—linked to a strong entrepreneurial orientation []—in making firms more likely to cooperate in international scenarios.
Model 1 includes the control variables, while model 2 incorporates the independent variables and model 3 the interactions. Changes in R2 are also presented in Table 2. Model 2 shows that ENVHOST is not significantly associated with international interfirm cooperation. We also found a significant positive association between CEOs’ CSRO and our dependent variable (coefficient = 0.66, p < 0.01; odds ratio = 1.94), in clear support of H1. Model 2 confirms these findings. It shows a significant positive effect of CEOs’ CSRO on international interfirm cooperation (coefficient = 0.78, p < 0.01). The logistic odds ratio produced for the latter effect is 2.18, suggesting that firms with a strong CSRO are more than two times as likely to cooperate with other firms in international contexts.
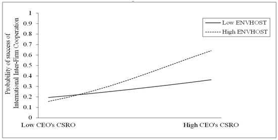
Model 3 also reflects that the interaction term between ENVHOST and CEO’s CSRO is significant, in clear support of H2. Specifically, the interaction term was positively associated with interfirm cooperation in international contexts (coefficient = 0.35, p < 0.10; odds ratio = 1.42). Thus, in line with H2, firms that face ENVHOST and have a strong CSRO are 42% more likely to cooperate in international scenarios than firms that (i) face ENVHOST but do not have a strong CSRO or, (ii) have a strong CSRO but do not face ENVHOST or, (iii) neither face ENVHOST nor have a strong CSRO. Therefore, we can accept that ENVHOST positively moderates the relationship between CEOs’ CSRO and international interfirm cooperation (H2).
For its ease of interpretation, we plotted in Figure 1 the relationship between CEOs’ CSRO and the predicted log odds for interfirm cooperation in international scenarios (for those plus or minus 1 standard deviation from the mean) on ENVHOST, as recommended []. Figure 1 reveals that the significant interaction between ENVHOST and CSRO suggests a stronger positive effect of CEOs’ CSRO on international interfirm cooperation in the presence of a higher ENVHOST.

Figure 1.
Plot of Interaction between ENVHOST (Environmental Hostility) and chief executive officer’s (CEO), Corporate Social Responsibility Orientation (CSRO) for predicted log odds of International Inter-Firm Cooperation.
5. Discussion and Conclusions
An increasing number of firms are engaging in interfirm cooperative processes on an international basis. However, the risks of these processes might be high as the partner may not cooperate in good faith and he/she may use the cooperation agreement to gain unfair advantage []. These risks are sufficiently deterring to prevent many firms from engaging in such processes. Thus, we analyzed how a CEO’s characteristics can foster international interfirm cooperation. Specifically, given that inter-organizational trust is a critical antecedent of interfirm cooperation [], and CEOs’ values play a role in building trust [], we analyzed whether CEOs’ CSRO facilitates engagement in interfirm cooperation with international partners. The results obtained allow us to advance the current literature to better understand the role of CEOs’ CSRO as an antecedent of interfirm cooperation in international scenarios.
According to our findings, CEOs’ CSRO, by emphasizing morality to a great extent, is more akin to articulating the shared sense of the value that inter-firm cooperation creates, and is more likely to think about what brings partners together to relate to them in order to meet joint interests [,,]. Hence, through CSR orientation, CEOs, and therefore, their firms, are more likely to cooperate with others as well as to be perceived as partners that can be trusted, thus making interfirm international cooperation emerge more naturally.
Importantly, our findings also reveal that ENVHOST plays a positive role in encouraging international interfirm cooperation in firms with a strong CSRO and does so by increasing the levels of their interfirm cooperation. While hostile conditions lead firms to cooperate more for survival purposes [], these conditions make the agents become reluctant to do so [] unless they see signs that the other parties in the relationship can be trusted to be truly committed to the relationship. It seems then that a strong CSRO plays a key role and makes it more likely for a firm to cooperate with others, especially in hostile international markets. CEOs’ CSRO generates trust and trust is especially relevant in international scenarios, where it is a prerequisite to get involved in coopetitive relationships [] and it is considered a key success factor for international cooperation []. The role of trust is even stronger under environmental hostility conditions as it may also foster long-term commitment in cooperation relationships and at the same time, provide the flexibility to cope with inevitable uncertainties that arise in a long-term exchange []. This flexibility may help firms mitigate exchange hazards under uncertainty and external hostility conditions, as well as strengthen partners’ commitment to a cooperative relationship [].
Our results are somehow consistent with recent research on SMES [] that found that expectations of external stakeholders, particularly international business partners, is related with CSR and the accomplishment of international standards. Therefore, in international scenarios, CSR and cooperation seem to be linked.
The results of the present study allow us to suggest several implications for managers and institutions. First, firms who are willing to engage in cooperation with value-adding partners in international environments should make every effort to make their ethical and socially responsible business behavior more perceptible. When this orientation is perceptible, trust is gained from other firms [], which is an important element to both initiate and develop cooperation processes []. Additionally, potential partners may seek more objective evidence that increases credibility concerning this strategic posture [,]. Thus, we encourage managers to supplement their willingness to attach importance to ethical and social responsibility issues by complying with relevant international standards verified by independent third parties. For example, compliance with standards for product/service quality (ISO 9000), environmental responsibility (ISO 14000), occupational health and safety management (OSHAS 18001), fair treatment of workers across industries/countries and along the supply-chain (SA 8000) or social responsibility in general (IQnet SR 10) could help show other parties the ethical and socially responsible attitude of the firm. We also recommend reporting on dialogue with stakeholders. The simple fact of issuing CSR reports voluntarily is inexorably linked to the existence of a responsible behavior or, at least, to having some social responsibility facts to communicate [,].
Secondly, in institutional terms, some recommendations can also be provided. For example, we suggest that institutions such as business associations or Chambers of Commerce offer programs to encourage internationalization for firms that emphasize the importance of adopting an ethical and socially responsible posture. Thus, the possibilities of these firms to engage in interfirm cooperation would increase, which not only facilitates internationalization [,] but is also a necessity, for many, to survive in the global marketplace [,]. These programs should offer “soft” support measures (e.g., assistance in CSR reporting; assistance in implementing a code of ethics; counselling concerning the international standards to comply with) to help these firms acquire and make this CSRO posture more perceptible to others.
Despite the precautions taken in the preparation of this paper, we should note some limitations. First, we used cross-sectional data, so our results cannot offer causal inferences. Intuition suggests that interfirm cooperation is a consequence of CEOs having a strong CSRO, and not the reverse process. However, we recommend further longitudinal studies to address causality inferences more precisely. Our research is based on SMEs, where the CEO is also the owner of the firm. Other studies trying to replicate our findings in different contexts should consider and review the effect of size. In large companies, there are other managerial bodies such as Board of Directors that take part in strategic decisions such as cooperation in international scenarios. Secondly, the self-reported nature of our data could have led to problems of subjectivity that bias the findings. However, we know that managers’ perceptions determine a firm’s strategic behavior [], so these can accurately capture a firm’s reality. Nevertheless, continued work might replicate and extend our findings by gathering data from different sources and in a more objective manner. In this sense, future research should also incorporate information from potential partners as cooperation is a decision of several agents.
Additionally, other variables not contemplated in our research may also influence the decision to cooperate. Among these missing variables, we can include absorptive capacity and knowledge spillovers [,]. The positive effect of knowledge spillovers on the decision to cooperate is based on the fact that cooperation requires both intensive contacts and a high level of trust. Through cooperation agreements, partners can mutually internalize their outgoing spillovers. Additionally, absorptive capacity is key to learning from others. Firms choose to cooperate and select their partners conditional on the investments in absorptive capacity they are willing to make []. Hence, future studies should incorporate proxies of absorptive capacity and spillovers.
Another important limitation was that of data being collected from one single national context (Spain), with all that this implies in terms of cultural background, which has been shown to have an influence in firms’ decisions to cooperate []. Knowledge and cultural values of potential partners may influence the decision to cooperate as trust mechanisms are sensitive to cultural value dispositions when managing shared business internationally []. Hofstede’s cultural dimensions [] or some proxies for cultural distance should be included in future research. Thus, our findings might be more applicable in firms coming from countries which, like Spain, share similar cultural features. For example, Spaniards are characterized as being relatively collectivistic and finding it reasonably easy to relate with certain cultures by holding a self-image defined in terms of “We” instead of “I” []. This may have influenced our study regarding CEOs’ responses to interfirm cooperation and CSRO. Earlier research, for example, revealed that cultural aspects, uncertainty avoidance and collectivism, indeed show a positive and significant influence in the decision of firms to cooperate with other firms []. Despite the seeming applicability of our findings to similar cultures, further research should design cross-cultural studies to test for the universality (or context sensitivity) of our findings in similar or different cultures and their underlying theories.
Author Contributions
Conceptualization, Á.G.M. and F.J.S.-M.; Formal analysis, P.R.-P. and Á.G.M.; Methodology, P.R.-P.; Project administration, F.J.S.-M.; Resources, F.J.S.-M.; Writing—original draft, P.R.-P., Á.G.M. and F.J.S.-M.
Funding
This study was supported by project RTI2018-101867-B-I00 founded by the Spanish Ministry of Science, Innovation and Universities.
Acknowledgments
The authors would like to thank three anonymous reviewers for their helpful comments and suggestions. A shorter version of this paper was presented at the fifth ICRMR. Useful comments from participants to the conference are also acknowledged.
Conflicts of Interest
The authors declare no conflict of interest.
Appendix A
Environmental Hostility (ENVHOST)
Please, rate and evaluate the following factors of your firm’s foreign markets in terms of the degree of hostility that they represent for your firm (1 = not hostile at all, 5 = very hostile):
- -
- The access to channels of distribution
- -
- The access to capital
- -
- The access to skilled labor
- -
- Bankruptcy among companies in the industry
- -
- The level of obsolescence of the products in the industry
- -
- The rate of demand for the industry products
CEO’s Corporate Social Responsibility Orientation (CSRO)
Please, rate your level of agreement (1 = “strongly disagree”, 5 = “strongly agree”) about the extent to which the following statements describe your idea of how to run in the business world.
- -
- Being ethical and socially responsible is the most important thing a firm can do.
- -
- Business has a social responsibility beyond making a profit.
- -
- Business ethics and social responsibility are critical to the survival of a business enterprise.
- -
- The ethics and social responsibility of a firm is essential to its long-term profitability.
- -
- The overall effectiveness of a business can be determined to a great extent by the degree to which it is ethical and socially responsible.
References
- De Roeck, K.; El Akremi, A.; Swaen, V. Consitency matters! How and when does Corporate Social Responsibility affect employees’ organizational identification? J. Manag. Stud. 2016, 53, 1141–1168. [Google Scholar] [CrossRef]
- Mahoney, L.S.; Thorn, L. An examination of the structure of executive compensation and corporate social responsibility: A Canadian investigation. J. Bus. Eth. 2006, 69, 241–253. [Google Scholar] [CrossRef]
- Wahba, H. Does the market value corporate environmental responsibility? An empirical examination. Corp. Soc. Responsib. Environ. Manag. 2008, 15, 89–99. [Google Scholar] [CrossRef]
- Aguinis, H.; Glavas, A. What we know and don’t know about corporate social responsibility: A review and research agenda. J. Manag. 2012, 38, 932–968. [Google Scholar] [CrossRef]
- Maak, T.; Pless, N.M.; Voegtlin, C. Business statesman or shareholder advocate? CEO responsible leadership styles and the micro-foundations of political CSR. J. Manag. Stud. 2016, 53, 463–493. [Google Scholar] [CrossRef]
- Mayrhofer, U. The influence of national origin and uncertainty on the choice between cooperation and merger-acquisition: An analysis of French and German firms. Inter. Bus. Rev. 2004, 13, 83–99. [Google Scholar] [CrossRef]
- Parkhe, A. Building Trust in International Alliances. J. World Bus. 1998, 33, 417–437. [Google Scholar] [CrossRef]
- Liao, Z.; Long, S. Can interfirm trust improve firms’ cooperation on environmental innovation? The moderating role of environmental hostility. Bus. Strategy Environ. 2019, 28, 198–205. [Google Scholar] [CrossRef]
- Chen, J.F.; Zhang, L.L.; Zhu, L. Does environmental responsibility matter in cross-sector partnership formation? A legitimacy perspective. J. Environ. Manag. 2019, 231, 612–621. [Google Scholar] [CrossRef]
- Kivleniece, I.; Quelin, B.V. Creating and capturing value in public-private ties: A private actor’s perspective. Acad. Manag. Rev. 2012, 37, 272–299. [Google Scholar] [CrossRef]
- Belso-Martinez, J.A. Why are some Spanish manufacturing firms internationalizing rapidly? The role of business and institutional international networks. Entrep. Reg. Dev. 2006, 18, 207–226. [Google Scholar] [CrossRef]
- Hambrick, D.C. Upper echelons theory: An update. Acad. Manag. Rev. 2007, 32, 334–343. [Google Scholar] [CrossRef]
- Hemingway, C.A.; Maclagan, P.W. Managers’ Personal Values as Drivers of Corporate Social Responsibility. J. Bus. Eth. 2004, 50, 33–44. [Google Scholar] [CrossRef]
- Burton, B.K.; Goldsby, M. Corporate Social Responsibility Orientation, Goals and Behavior. A Study of Small Business Owners. Bus. Soc. 2009, 48, 88–104. [Google Scholar] [CrossRef]
- Barnett, M.L. Stakeholder Influence Capacity and the variability of financial returns to corporate social responsibility. Acad. Manag. Rev. 2007, 32, 794–816. [Google Scholar] [CrossRef]
- Sharfman, M.P.; Shaft, T.M.; Anex, R.P., Jr. The road to cooperative supply-chain environmental management: Trust and uncertainty among pro-active firms. Bus. Strategy Environ. 2010, 18, 1–13. [Google Scholar] [CrossRef]
- Kolk, A. The social responsibility of international business: From ethics and the environment to CSR and sustainable development. J. World Bus. 2016, 51, 23–34. [Google Scholar] [CrossRef]
- Chassé, S.; Courrent, J.-M. Linking owner–managers’ personal sustainability behaviors and corporate practices in SMEs: The moderating roles of perceived advantages and environmental hostility. Bus. Eth. A Eur. Rev. 2018, 27, 127–143. [Google Scholar] [CrossRef]
- Norheim-Hansen, A. Are ‘Green Brides’ More Attractive? An Empirical Examination of How Prospective Partners’ Environmental Reputation Affects the Trust-Based Mechanism in Alliance Formation. J. Bus. Eth. 2015, 132, 813–830. [Google Scholar] [CrossRef]
- Freeman, R.E. Strategic Management: A Stakeholder Approach; Pitman Publishing: Boston, MA, USA, 1984. [Google Scholar]
- Freeman, R.E.; Kujala, J.; Sachs, S.; Stuzt, S. Stakeholder Engagement: Practicing the Ideas of Stakeholder Theory. In Stakeholder Engagement: Clinical Research Cases. Issues in Business Ethics; Freeman, R., Kujala, J., Sachs, S., Eds.; Springer: Berlin, Germany, 2017. [Google Scholar]
- McWilliams, A.; Siegel, D. Corporate social responsibility: A theory of the firm perspective. Acad. Manag. Rev. 2001, 26, 117–127. [Google Scholar] [CrossRef]
- Heikkurinen, P.; Ketola, T. Corporate Responsibility and Identity: From Stakeholder to an Awareness Approach. Bus. Strategy Environ. 2012, 21, 326–337. [Google Scholar] [CrossRef]
- Bhattacharya, C.B.; Korschun, D.; Sen, S. Strengthening Stakeholder–Company Relationships through Mutually Beneficial Corporate Social Responsibility Initiatives. J. Bus. Eth. 2009, 85, 257–272. [Google Scholar] [CrossRef]
- Ditlev-Simonsen, C.D.; Midttun, A. What motivates managers to pursue corporate responsibility? A survey among key stakeholders. Corp. Soc. Responsib. Environ. Manag. 2011, 18, 25–38. [Google Scholar] [CrossRef]
- Quazi, A.M. Identifying the Determinants of Corporate Managers Perceived Social Obligations. Manag. Decis. 2003, 41, 822–831. [Google Scholar] [CrossRef]
- Swanson, D.L. Top Managers as Drivers for Corporate Social Responsibility. In The Oxford Handbook of Corporate Social Responsibility; Crane, A., Matten, D., McWilliams, A., Moon, J., Siegel, S.D., Eds.; Oxford University Press: Norfolk, UK, 2008; pp. 227–248. [Google Scholar]
- Godós-Díez, J.L.; Fernández-Gago, R.; Martínez-Campillo, A. How important are CEOs to CSR practices? An analysis of the mediating effect of the perceived role of ethics and social responsibility. J. Bus. Eth. 2011, 98, 531–548. [Google Scholar] [CrossRef]
- Helfaya, A.; Moussa, T. Do Board’s Corporate Social Responsibility Strategy and Orientation Influence Environmental Sustainability Disclosure? UK Evidence. Bus. Strategy Environ. 2017, 26, 1061–1077. [Google Scholar] [CrossRef]
- Shaukat, A.; Qiu, Y.; Trojanowski, G. Board attributes, corporate social responsibility strategy, and corporate environmental and social performance. J. Bus. Eth. 2016, 135, 569–585. [Google Scholar] [CrossRef]
- Fombrun, C.J. Reputation: Realizing value from the corporate image; Harvard Business School: Boston, MA, USA, 1996. [Google Scholar]
- Porter, M.E.; Kramer, M.R. Strategy and society: The link between competitive advantage and corporate social responsibility. Harv. Bus. Rev. 2007, 85, 136–137. [Google Scholar]
- DiMaggio, P.J.; Powell, W.W. The iron cage revisited: Institutional isomorphism and collective rationality in organizational fields. Am. Sociol. Rev. 1983, 48, 147–160. [Google Scholar] [CrossRef]
- Friedman, M. The social responsibility of business is to increase its profits. N.Y. Times Mag. 13 September 1970; P. 12. [Google Scholar]
- Jensen, M.C. Value maximisation, stakeholder theory, and the corporate objective function. Eur. Financ. Manag. 2001, 7, 297–317. [Google Scholar] [CrossRef]
- Midttun, A. Strategic CSR Innovations: Serving Societal and Individual Needs; BI—Norwegian School of Management: Oslo, Norway, 2008. [Google Scholar]
- Etheredge, J.M. The Perceived Role of Ethics and Social Responsibility: An Alternative Scale Structure. J. Bus. Eth. 1999, 18, 51–64. [Google Scholar] [CrossRef]
- Enderwick, P. The scope of corporate social responsibility in networked multinational Enterprises. Int. Bus. Rev. 2018, 27, 410–417. [Google Scholar] [CrossRef]
- Madhok, A. Revisiting multinational firms’ tolerance for joint ventures: A trust-based approach. J. Int. Bus. Stud. 2006, 37, 30–43. [Google Scholar] [CrossRef]
- Ceptureanu, E.G.; Ceptureanu, S.I.; Radulescu, V.; Ionescu, S.A. What Makes Coopetition Successful? An Inter-Organizational Side Analysis on Coopetition Critical Success Factors in Oil and Gas Distribution Networks. Energies 2018, 11, 3447. [Google Scholar] [CrossRef]
- Lydeka, Z.; Adomavicius, B. Cooperation among the competitors in international cargo transportation sector: Key factors to Success. Eng. Econ. 2007, 51, 80–90. [Google Scholar]
- Harrison, B. Industrial districts: Old wines in new bottles. Reg. Stud. 1992, 26, 469–483. [Google Scholar] [CrossRef]
- De Cremer, D.; Van Lange, P.A.M. Why prosocials exhibit greater cooperation than proselfs: The roles of social responsibility and reciprocity. Eur. J. Personality 2001, 15, S5–S18. [Google Scholar] [CrossRef]
- Covin, J.; Slevin, D.P. Strategic Management of Small Firms in Hostile and Benign Environments. Strategic Manag. J. 1989, 10, 75–87. [Google Scholar] [CrossRef]
- Khandwalla, P.N. The Design of Organizations; Harcourt Brace Jovanovich: New York, NY, USA, 1977. [Google Scholar]
- Zahra, S.; Garvish, D.M. International corporate entrepreneurship and firm performance: The moderating effect of international environmental hostility. J. Bus. Ventur. 2000, 15, 469–492. [Google Scholar] [CrossRef]
- Werner, S.; Brouthers, L.E.; Brouthers, K.D. International risk and perceived environmental uncertainty: The dimensionality and internal consistency of Miller’s measure. J. Int. Bus. Stud. 1996, 27, 571–587. [Google Scholar] [CrossRef]
- Dess, G.; Beard, D. Dimensions of organizational task environments. Adm. Sci. Q. 1984, 29, 52–73. [Google Scholar] [CrossRef]
- Covin, J.G.; Slevin, D.P.; Schultz, R.L. Top management decision sharing and adherence to plans. J. Bus. Res. 1997, 40, 21–36. [Google Scholar] [CrossRef]
- Hosseini, M.; Dadfar, H.; Brege, S. Firm-level entrepreneurship and international performance: A simultaneous examination of orientation and action. J. Int. Entrep. 2018, 16, 338–368. [Google Scholar] [CrossRef]
- Augustie, C.; Saad, N.M. Examining the Moderating Effect of Environmental Hostility on the Relationship between Entrepreneurial Orientation and International Performance of Indonesian SMES. Int. J. Acad. Res. Bus. Soc. Sci. 2019, 9, 520–526. [Google Scholar]
- Anderson, B.S.; Kreiser, P.M.; Kuratko, D.F.; Hornsby, J.S.; Eshima, Y. Reconceptualizing entrepreneurial orientation. Strateg. Manag. J. 2015, 36, 1579–1596. [Google Scholar] [CrossRef]
- Pérez-Luño, A.; Saparito, P.; Gopalakrishman, S. Small and Medium-Sized Enterprise’s Entrepreneurial versus Market Orientation and the Creation of Tacit Knowledge. J. Small Bus. Manag. 2016, 54, 262–278. [Google Scholar] [CrossRef]
- Hernández-Perlines, F.; Cisneros, M.A.I. The Role of Environment in Sustainable Entrepreneurial Orientation. The Case of Family Firms. Sustainability 2018, 10, 2037. [Google Scholar] [CrossRef]
- Lindelöf, P.; Löfsten, H. Environmental hostility and firm behaviour: An empirical examination of new technology based firms on science parks. J. Small Bus. Manag. 2006, 44, 386–406. [Google Scholar] [CrossRef]
- Luo, Y.; Tan, J. Structuring International Joint Ventures: How Should Contractual Design Be Aligned with Environmental Conditions? MIR Manag. Int. Rev. 2003, 43, 185–211. [Google Scholar]
- Saeidi, S.P.; Sofian, S.; Saeidi, P.; Saeidi, S.P.; Saaeidi, S.A. How Does Corporate Social Responsibility Contribute to Firm Financial Performance? The Mediating Role of Competitive Advantage, Reputation, and Customer Satisfaction. J. Bus. Res. 2015, 68, 341–350. [Google Scholar] [CrossRef]
- Wang, L.; Yeung, J.H.Y.; Zhang, M. The impact of trust and contract on innovation performance: The moderating role of environmental uncertainty. Int. J. Prod. Econ. 2011, 134, 114–122. [Google Scholar] [CrossRef]
- Craighead, C.W.; Ketchen, D.J.; Dunn, K.S.; Hult, G.T.M. Addressing Common Method Variance: Guidelines for Survey Research on Information Technology, Operations, and Supply Chain Management. IEEE Trans. Eng. Manag. 2011, 58, 578–588. [Google Scholar] [CrossRef]
- Podsakoff, P.M.; MacKenzie, S.B.; Podsakoff, N.P. Sources of Method Bias in Social Science Research and Recommendations on How to Control It. Annu. Rev. Psychol. 2012, 63, 539–569. [Google Scholar] [CrossRef]
- Lindell, M.K.; Whitney, D.J. Accounting for common method variance in cross-sectional research designs. J. Appl. Psych. 2001, 86, 114–121. [Google Scholar] [CrossRef]
- Ripollés, M.; Blesa, A. Development of interfirm network management activities: The impact of industry, firm age and size. J. Manag. Organ. 2016, 22, 186–204. [Google Scholar]
- Hagedoorn, J.; Narula, R.J. Choosing Organizational Modes of Strategic Technology Partnering: International and Sectoral Differences. J. Int. Bus. Stud. 1996, 27, 265–284. [Google Scholar] [CrossRef]
- Lages, M.; Marques, C.S.; Ferreira, J.J.M.; Ferreira, F.A.F. Intrapreneurship and firm entrepreneurial orientation: Insights from the health care service industry. Int. Entrep. Manag. J. 2017, 13, 837–854. [Google Scholar] [CrossRef]
- Mukherjee, C.; White, H.; Wuyts, M. Econometrics and Data Analysis for Developing Countries; Routledge: London, UK, 1998. [Google Scholar]
- Cohen, J. Statistical Power Analysis for the Behavioral Sciences, 2nd ed.; Erlbaum: Hillsdale, NJ, USA, 1988. [Google Scholar]
- Faul, F.; Erdfelder, E.; Lang, A.G.; Buchner, A. G*Power 3: A flexible statistical power analysis program for the social, behavioral, and biomedical sciences. Behav. Res. Methods 2007, 39, 175–191. [Google Scholar] [CrossRef]
- Jaccard, J. Interaction Effects in Logistic Regression; Sage: Thousand Oaks, CA, USA, 2001. [Google Scholar]
- Das, T.K.; Teng, B.S. Trust, Control and Risk in Strategic Alliances: An Integrated Framework. Organ. Stud. 2001, 22, 251–283. [Google Scholar] [CrossRef]
- Fernández-Feijoo, B.; Romero, S.; Ruiz, S. Commitment to Corporate social responsibility measured through global reporting initiative reporting: Factors affecting the behavior of companies. J. Cleaner Prod. 2014, 81, 244–254. [Google Scholar] [CrossRef]
- Van, L.H.; Nguyen, P.A. Corporate Social Responsibility and SMEs in Vietnam: A Study in the Textile and Garment Industry. J. Risk Financ. Manag. 2019, 12, 174. [Google Scholar] [CrossRef]
- Junior, R.M.; Best, P.J.; Cotter, J. Sustainability reporting and assurance: A historical analysis on a world-wide phenomenon. J. Bus. Eth. 2014, 120, 1–11. [Google Scholar] [CrossRef]
- Perego, P.; Kolk, A. Multinationals’ accountability on sustainability: The evolution of third-party assurance of sustainability reports. J. Bus. Eth. 2012, 110, 173–190. [Google Scholar] [CrossRef]
- Covin, J.G.; Slevin, D.P.; Heeley, M.B. Strategic decision making in an intuitive vs. technocratic mode: Structural and environmental considerations. J. Bus. Res. 2000, 52, 51–67. [Google Scholar] [CrossRef]
- Girma, S. Absorptive Capacity and Productivity Spillovers from FDI: A threshold regression analysis. Oxf. Bull. Econ. Stat. 2005, 67, 281–306. [Google Scholar] [CrossRef]
- Li, Z.; Dong, H.; Huan, Z.; Failler, P. Impact of Foreing Direct Investment on Environmental Performance. Sustainabilty 2019, 11, 3538. [Google Scholar] [CrossRef]
- Egbetokun, A.; Savin, I. Absorptive Capacity and Innovation: When Is It Better to Cooperate? In The Evolution of Economic and Innovation Systems. Economic Complexity and Evolution; Pyka, A., Foster, J., Eds.; Springer: Berlin, Germany, 2015; pp. 373–399. [Google Scholar]
- Steensma, H.K.; Marino, L.; Weaver, K.M.; Dickson, P.H. The influence of national culture on the formation of technology alliances by entrepreneurial firms. Acad. Manag. J. 2000, 43, 951–973. [Google Scholar]
- Wu, X.; Shen, J. A Study of Airbnb’s Trust Mechanism and the Effects of Cultural Values Based on a Survey of Chinese Consumers. Sustainability 2018, 10, 3041. [Google Scholar] [CrossRef]
- Hofstede Center. Available online: https://geert-hofstede.com/ (accessed on 24 February 2019).
© 2019 by the authors. Licensee MDPI, Basel, Switzerland. This article is an open access article distributed under the terms and conditions of the Creative Commons Attribution (CC BY) license (http://creativecommons.org/licenses/by/4.0/).