Peer-Reviewed Literature on Grain Legume Species in the WoS (1980–2018): A Comparative Analysis of Soybean and Pulses
Abstract
:1. Introduction
2. Materials and Methods
2.1. Overview of the Methodology Adopted
- Theme expertsWe identified leading scientists in several fields (Table 1) who helped to delineate search queries for 10 key themes and to check the validity of the records retrieved. (Delineation of scientific fields or subject areas is a question under much discussion in scientometrics. Bibliometric databases developed their own classification reflecting the scope of journals. As such classification were not directly suitable to break down agricultural and food research activity in several fields on which to build our search queries, we relied on experts’ judgement to define 10 themes of main interest covering the research on grain-legumes. We used the term of “theme” as a synonym of “subject area”. See [20] to go further on this question of delineation of scientific fields).
- ScientometriciansWe collaborated with scientists who specialize in the quantitative study of science and database management systems to create an online platform giving access to the corpora collected. This platform was used to then incrementally refine search queries to build the corpora. Since the number of records to collect from the WoS (100 k) exceeded the amount of records one can extract from the web interface (limited to 5 k), we resorted to a Web of Science Data Integration feature. Data collection was then performed with an in-house program using the Web of Science API Expanded.
2.2. Designing Search Queries on the WoS: Main Principles
2.2.1. Documents Type
2.2.2. Time Range
2.2.3. Indexing as a Post-Processing Step to Cleanse the WoS Results
2.2.4. Interactive Browsing of the Bibliographic Corpora
2.2.5. Iterative Design and Validation of the Search Queries
- Checking of a random sample from the thematic corpus.Each expert was asked to examine the records from a random selection of the 300 documents published during the last three years and present in the thematic corpus he/she was responsible for. Documents considered irrelevant were analyzed to deduce the changes that needed to be made on the search query in order not to retrieve these in the next iteration. Conversely, experts were also asked to identify those aspects of the theme that were not caught by the query. In particular, experts expected the leading authors or topics to appear (the three last years corresponding to the current state of the art); they used this information to adjust search queries when necessary. Overall, the search operator t1 near/10 t2 (i.e., term t1 must be within 10 words away from term t2) proved the most efficient for identifying relevant thematic corpora. In our case, t1 were names of the species studied while t2 were terms related to the considered theme. This first task iterated until the percentage of irrelevant documents was less than 20% of the random sample.
- Checking of the entire thematic corpus.This second task relied on descriptive statistics. For each thematic corpus, experts were instructed to assess the relevance of the most frequent:
- ○
- terms in the title, abstract, authors’ keywords of the records; and
- ○
- WoS categories (wcs) reflecting the scope of the journal or the book that the WoS attributes to each record of the bibliographic database.
2.2.6. Excluding Conditions
- For instance, in the Processing query, the “germination” keyword is ambiguous, as it relates to either a food subject or an agronomic subject (as regards the germination step of seeds in the soil concerning more the Ecophysiology corpus). As “germination” was a keyword that we need to keep for the Processing query, we excluded the wcs of the Processing corpus not related to “Nutrition Dietetics” and “Food Science Technology”.
- For all queries:
- ○
- The terms “coffee” and “cacao” where excluded because they also appear in the underlying paper under the generic term “bean”.
- ○
- The phrase “soya oil” was excluded due to a twofold rationale. First, it is over-represented in the literature on soya. Second, comparing soya and pulses requires selecting common features of legume interests, such as the increasing interest in plant-based protein development for food instead for oil [28].
- ○
- The phrase “biodiesel” and “biofuel” as products linked to oil fraction was excluded. In general, non-food uses are beyond the scope of this study.
2.3. Focus on the Design of the Species WoS Query
3. Results and Discussion
3.1. Proportions of Grain-Legume Species in the Scientific Literature
- G1 is for Soya.
- Pulses divided into three groups:
- G2 groups “PFL” including Pea, Fababean, and Lupin species. This group is the European classification of the main protein-rich crops among pulses.
- G3 groups “Other pulses” for the remaining pulses but excluding “Lathyrus and Vicia”
- G4 groups Lathyrus and Vicia species together as the number of records related to those species are very low and currently the least used.
- G5 is for Groundnut (not considered as a pulse because of its oil richness).
3.1.1. The Number of Grain-Legume Publications Grew at the Same Rate as All Records in the WoS Core Collection
3.1.2. Generic Terms Referring to Legume or Pulse Family Are More Used with Pulse Species than with Soya Species
3.1.3. Soya Strongly Dominates within Grain-Legume Publications
3.1.4. Changes in the Mentions of Species over Time
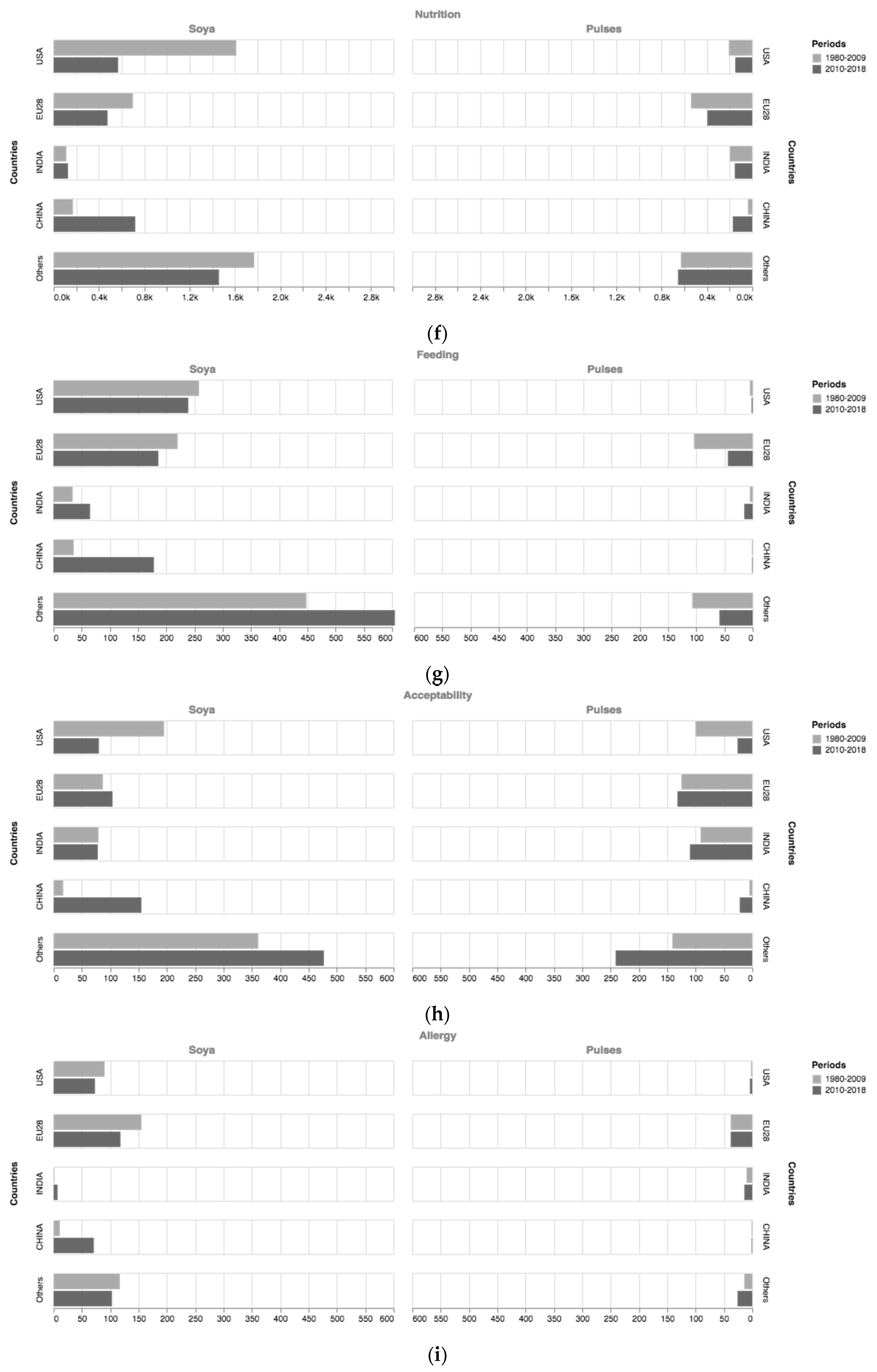
3.2. Percentage of Grain-Legume Species in Literature across Countries
3.2.1. The Ranking of Countries Was Rather Stable over Time, with China, Brazil, and India Rising
3.2.2. The Percentage of Soya and Pulses Records per Country Is Quite Stable over Time
3.2.3. International Collaboration Research Is Increasing, but Unevenly on Soya or Pulses
3.3. Percentage of Themes in the Soya and Pulses Literature
3.4. Implications for Future Research Policy on Grain-Legumes
4. Conclusions
Author Contributions
Funding
Acknowledgments
Conflicts of Interest
Appendix A
| Species | Year | |||||
|---|---|---|---|---|---|---|
| 1971 | 1981 | 1991 | 2001 | 2011 | 2017 | |
| Bean (dry) | 12 | 15 | 18 | 18 | 24 | 34 |
| Chickpea | 6 | 5 | 8 | 6 | 11 | 14 |
| Pea (dry) | 9 | 7 | 12 | 10 | 10 | 16 |
| Faba/broadbean | 8 | 8 | 6 | 8 | 8 | 8 |
| Lentil | 1 | 1 | 2 | 3 | 4 | 7 |
| Pigeon pea | 2 | 2 | 2 | 3 | 4 | 6 |
| Cowpea | 1 | 1 | 2 | 3 | 4 | 7 |
| Vetches | 1 | 1 | 1 | 1 | 1 | 1 |
| Lupin | 0.3 | 1 | 1 | 1 | 1 | 1 |
| Bambara Bean | 0.03 | 0.03 | 0.08 | 0.08 | 0.14 | 0.18 |
| Other pulses | 3 | 2 | 4 | 3 | 3 | 4 |
| Total Pulses | 42 | 41 | 56 | 56 | 69 | 95 |
| Soya | 45 | 88 | 102 | 177 | 261 | 352 |
| Cereals | 1229 | 1632 | 1890 | 2104 | 2588 | 2980 |
| Query Name | Link to the Search Query Applied on the Web of Science (WoS) Core Collection |
|---|---|
| THE SPECIES SEARCH QUERY | |
| SPECIES | DUC, Gérard; WERY, Jacques; MAGRINI, Marie-Benoit; CABANAC, Guillaume, 2019, “Grain-Legumes Species WoS DataSet 1980–2018”, https://doi.org/10.15454/QBQFCX, Portail Data Inra |
| THE 10 THEMATIC SEARCH QUERIES | |
| GENETICS | DUC, Gérard; WERY, Jacques; MILLOT, Dominique; CABANAC, Guillaume, 2019, “Genetics and Grain-Legumes WoS DataSet 1980–2018”, https://doi.org/10.15454/PFV9JK, Portail Data Inra |
| AGRONOMY | JEUFFROY, Marie-Hélène; BEDOUSSAC, Laurent; MILLOT, Dominique; CABANAC, Guillaume, 2019, “Agronomy and Grain-Legumes WoS DataSet 1980–2018”, https://doi.org/10.15454/W6BAUG, Portail Data Inra |
| ECOPHYSIOLOGY | VOISIN, Anne-Sophie; JOURNET, Etienne-Pascal; LEISER, Hugues; CABANAC, Guillaume, 2019, “Ecophysiology and Grain-Legumes WoS DataSet 1980–2018”, https://doi.org/10.15454/F0CNNS, Portail Data Inra |
| BIOTICSTRESS | BARANGER, Alain; PILET-NAYEL, Marie-Laure; MILLOT, Dominique; CABANAC, Guillaume, 2019, “Biotic Stress and Grain-Legumes WoS DataSet 1980–2018”, https://doi.org/10.15454/L79X2K, Portail Data Inra |
| FEEDING | JUIN, Hervé; LEISER, Hugues; CABANAC, Guillaume, 2019, “Feeding and Grain-Legumes WoS DataSet 1980–2018”, https://doi.org/10.15454/BNKFVC, Portail Data Inra |
| PROCESSING | ANTON, Marc; MICARD, Valérie; NGUYEN-THE, Christophe; LEISER, Hugues; CABANAC, Guillaume, 2019, “Processing and Grain-Legumes WoS DataSet 1980–2018”, https://doi.org/10.15454/VP7PRI, Portail Data Inra |
| NUTRITION | AMIOT-CARLIN, Marie-Josephe; CHARDIGNY, Jean-Michel; WALRAND, Stéphane; LEISER, Hugues; CABANAC, Guillaume, 2019, “Nutrition and Grain-Legumes WoS DataSet 1980–2018”, https://doi.org/10.15454/5MI04S, Portail Data Inra |
| ALLERGY | LARRE, Colette; DENERY, Sandrine; LESIER, Hugues; CABANAC, Guillaume, 2019, “Allergy and Grain-Legumes WoS DataSet 1980–2018”, https://doi.org/10.15454/BZG0R7, Portail Data Inra |
| ACCEPTABILITY | ARVISENET, Gaelle; MAGRINI, Marie-Benoit; LEISER, Hugues; CABANAC, Guillaume, 2019, “Acceptability and Grain-Legumes WoS DataSet 1980–2018”, https://doi.org/10.15454/PDXRYM, Portail Data Inra |
| SOCIOECONOMICS | Magrini, Marie-Benoit; Plumecocq, Gael; Leiser, Hugues; Cabanac, Guillaume, 2019, “Socioeconomics and Grain-Legumes WoS DataSet 1980–2018”, https://doi.org/10.15454/JNIPX5, Portail Data Inra |
| Themes Index Colum A | Records Number Indexed with a Single Theme * | Frequency Ranking of the Single Theme | Other Themes Index Combined with the Theme in Colum A ** | |||||||||||||
|---|---|---|---|---|---|---|---|---|---|---|---|---|---|---|---|---|
| 1st Most Freq. | Nb. Records | 2nd Most Freq. | Nb. Records | 3nd Most Freq. | Nb. Records | 4th Most Freq. | Nb. Records | 5th Most Freq. | Nb. Records | 6th Most Freq. | Nb. Records | Total nb of Records Indexed with the Theme of Column A | Share of Themes | |||
| Genetics | 13,336 | 1 | Ecophy. | 6845 | BioticS. | 4887 | Agro. | 2176 | Agro. & Ecophy. | 1250 | Ecophy. & BioticS. | 1119 | Process. | 977 | 34,388 | 22% |
| Ecophysiology (Ecophy.) | 12,841 | 2 | Genetics | 6845 | Agro. | 3263 | BioticS.s | 1411 | Agro. & Genetics | 1250 | BioticS. & Genetics | 1119 | Process. | 878 | 29,867 | 19% |
| Processing (Process.) | 12,049 | 3 | Nutrition | 5965 | Accep. | 1298 | Nutrition & Accept. | 1046 | Allergy | 1015 | Genetics | 977 | Ecophy. | 878 | 27,180 | 17% |
| BioticStress (BioticS.) | 9109 | 4 | Genetics | 4887 | Ecophy. | 1411 | Agro. | 1556 | Ecophy. & Genetics | 1119 | Accept. & Nutrition | 1046 | Agro. & Genetics | 583 | 20,243 | 13% |
| Agronomy (Agro.) | 7982 | 5 | Ecophy. | 3263 | Genetics | 2176 | BioticS. | 1556 | Ecophy. & Genetics | 1250 | BioticS. & Genetics | 583 | Process. | 505 | 19,070 | 12% |
| Nutrition | 4866 | 9 | Process. | 5965 | Accept. & Process. | 1046 | Genetics & Process. | 606 | Genetics | 578 | Ecophy. | 238 | Ecophy. & Process. | 214 | 15,383 | 10% |
| Feeding | 2888 | 11 | Genetics | 181 | Process. | 147 | Nutrition | 113 | Nutrition & Process. | 80 | Agro. | 42 | Ecophysiology | 36 | 3654 | 2% |
| Allergy | 1891 | 13 | Process. | 1015 | Nutrition & Process. | 191 | Nutrition | 148 | Genetics | 59 | Genetics & Process. | 28 | Genetics & Nutrition | 27 | 3650 | 2% |
| Acceptability (Accept.) | 745 | 23 | Process. | 1298 | Nutrition & Process. | 1046 | Nutrition | 194 | Genetics & Process. | 105 | Genetics | 90 | Genetics & Nutrition | 81 | 3972 | 3% |
| Socioeconomics (Socioeco.) | 565 | 27 | Agro. | 125 | Process. | 44 | Genetics | 33 | Agro. & Ecophy. | 31 | Agro. & Genetics | 27 | Accept. & Process. | 15 | 963 | 1% |
| SUBTOTAL | 66,272 | 158,370 | 100% | |||||||||||||
| in % of corpus | 61% | |||||||||||||||
| Total Corpus | 107,823 | |||||||||||||||
Appendix B. Robustness Assessment of the Delineation Process: Testing an Alternative Strategy

- Species1 has single species and thematic indexing. A record was indexed with a species term and with a thematic corpus, if at least one term of the species query and at least one term of the thematic query occurred in the record.
- Species2 has single species indexing and double thematic indexing. A record was indexed with a species term and with a thematic corpus, if at least one term of the species query and at least two terms of the thematic query occurred in the record.
- Species3 has both double species and thematic indexing. A record was indexed with a species term and with a thematic corpus, if at least two terms of the species query and at least two terms of the thematic query occurred in the record.
| Delineation Strategy Kept | Alternative Delineation Strategy | |||||
|---|---|---|---|---|---|---|
| Corpus Fusion | Corpus Species1 | Corpus Species2 | Corpus Species3 | |||
| Search query applied on the WoS | For most thematic corpora, species and thematic terms combined with operator near/10. See the ten thematic search queries in Appendix A. | Species terms only. Species search query in Appendix A. | ||||
| Excluding conditions | Some terms restrictions and wcs restrictions, depending on the thematic corpus. | The same term restrictions as in Fusion, but no wcs restrictions. | ||||
| Number of records retrieved from the WoS per corpus | Genetics | 34,968 | 202,144 | |||
| Agronomy | 19,427 | |||||
| Ecophysiology | 30,365 | |||||
| BioticStress | 20,853 | |||||
| Feeding | 4336 | |||||
| Processing | 35,754 | |||||
| Nutrition | 16,863 | |||||
| Allergy | 5435 | |||||
| Acceptability | 5459 | |||||
| Socioeconomics | 1431 | |||||
| Indexing procedure | One occurrence in the species terms and one occurrence in the thematic terms. | One occurrence in the species terms and one occurrence in the thematic terms. | One occurrence in the species terms and two occurrences in the thematic terms. | Two occurrences in the species terms and two occurrences in the thematic terms. | ||
| Number of records kept after indexing (share of records kept in %) | Genetics | 34,388 | 98% | 160,238 (79%) | 142,763 (71%) | 100,248 (50%) |
| Agronomy | 19,070 | 98% | ||||
| Ecophysiology | 29,867 | 98% | ||||
| BioticStress | 20,243 | 97% | ||||
| Feeding | 3654 | 84% | ||||
| Processing | 27,180 | 76% | ||||
| Nutrition | 15,383 | 91% | ||||
| Allergy | 3650 | 67% | ||||
| Acceptability | 3972 | 73% | ||||
| Socioeconomics | 963 | 67% | ||||
| Final number of records | Thematic corpora merged without duplicates: 107,823 | 160,238 | 142,763 | 100,248 | ||
| FUSION Corpus | SPECIES3 Corpus | ||||||||
|---|---|---|---|---|---|---|---|---|---|
| Themes Index Colum A | Records Number Indexed with a Single Theme * | Frequency Ranking of the Single Theme | Records Number Indexed with the Theme of Column A | Share of Themes | Themes Index Colum A | Records Number Indexed with a Single Theme * | Frequency Ranking of the Single Theme | Records Number Indexed with the Theme of Column A | Share of Themes |
| Genetics | 13,336 | 34,388 | 34,388 | 22% | Genetics | 35,281 | 35,281 | 35,281 | 15% |
| Ecophy. | 12,841 | 29,867 | 29,867 | 19% | Ecophy. | 48,889 | 48,889 | 48,889 | 20% |
| Process. | 12,049 | 27,180 | 27,180 | 17% | Process. | 30,511 | 30,511 | 30,511 | 13% |
| BioticSt. | 9109 | 20,243 | 20,243 | 13% | BioticSt. | 17,839 | 17,839 | 17,839 | 7% |
| Agronomy | 7982 | 19,070 | 19,070 | 12% | Agronomy | 16,789 | 16,789 | 16,789 | 7% |
| Nutrition | 4866 | 15,383 | 15,383 | 10% | Nutrition | 56,021 | 56,021 | 56,021 | 23% |
| Feeding | 2888 | 3654 | 3654 | 2% | Feeding | 26,296 | 26,296 | 26,296 | 11% |
| Allergy | 1891 | 3650 | 3650 | 2% | Allergy | 2157 | 2157 | 2157 | 1% |
| Accept. | 745 | 3972 | 3972 | 3% | Accept. | 2280 | 2280 | 2280 | 1% |
| Socioeco. | 565 | 963 | 963 | 1% | Socioeco. | 3427 | 3427 | 3427 | 1% |
| SUBTOTAL | 66,272 | 158 370 | 100% | 158 370 | 24,946 | 239 490 | 100% | ||
| in % | 61% | in % | 25% | ||||||
| Total FUSION Corpus | 107 823 | Total SPECIES3 Corpus | 100 248 | ||||||
| Family species index terms of records | SPECIES3 | SPECIES2 | SPECIES1 | ||||||
|---|---|---|---|---|---|---|---|---|---|
| 1980–2018 | 1980–1999 | 2000–2018 | 1980–2018 | 1980–1999 | 2000–2018 | 1980–2018 | 1980–1999 | 2000–2018 | |
| Only Soya—G1 | 42,861 | 9372 | 33,489 | 62,233 | 15,330 | 46,903 | 68,790 | 19,750 | 49,040 |
| Soya—G1—and a generic term * | 533 | 108 | 425 | 1840 | 346 | 1494 | 1895 | 360 | 1535 |
| Only other Pulses than PFL—G3 | 21,394 | 5401 | 15,993 | 25,268 | 7765 | 17,503 | 28,785 | 10,431 | 18,354 |
| Other Pulses than PFL—G3—and a generic term | 16,755 | 5625 | 11,130 | 22,447 | 8473 | 13,974 | 26,619 | 11,412 | 15,207 |
| Only PFL—G2 | 1736 | 308 | 1428 | 3851 | 684 | 3167 | 3966 | 745 | 3221 |
| PFL—G2—and a generic term | 1303 | 253 | 1050 | 3111 | 656 | 2455 | 3227 | 689 | 2538 |
| Subtotal Soya/Pulses | 84,582 | 21,067 | 63,515 | 118,750 | 33,254 | 85,496 | 133,282 | 43,387 | 89,895 |
| % Soya in Soya/Pulses subtotal | 51.3% | 45.0% | 53.4% | 54.0% | 47.1% | 56.6% | 53.0% | 46.4% | 56.3% |
| % Soya/Pulses in corpus period | 84.4% | 85.4% | 84.0% | 83.2% | 84.8% | 82.6% | 83.2% | 85.2% | 82.2% |
| Groundnut | 8491 | 1900 | 6591 | 12,133 | 2883 | 9250 | 14,268 | 4055 | 10,213 |
| % Groundnut in corpus period | 8.5% | 7.7% | 8.7% | 8.5% | 7.4% | 8.9% | 8.9% | 8.0% | 9.3% |
| Lathyrus or Vicia | 1374 | 310 | 1064 | 1684 | 427 | 1257 | 1907 | 539 | 1368 |
| % Lathyrus/Vicia in corpus period | 1.4% | 1.3% | 1.4% | 1.2% | 1.1% | 1.2% | 1.2% | 1.1% | 1.3% |
| Corpus total for the period | 100,248 | 24,661 | 75,587 | 142,763 | 39,216 | 103,547 | 160,238 | 50,929 | 109,309 |
| % period in corpus total 1980–2018 | 100% | 25% | 75% | 100% | 27% | 73% | 100% | 32% | 68% |
| Generic term only | 1745 | 364 | 1381 | 1720 | 393 | 1327 | 1804 | 412 | 1392 |
Appendix C. A Brief Overview of Grain-Legumes Domestication and Their Development
Appendix C.1. First Signs before the Common Era
Appendix C.2. Antiquity Period
Appendix C.3. From the Middle Ages to the Modern Period
Appendix D. Corpus Broken Down by Theme and the Four Main Publishing Countries/Geographical Areas




References
- Lemaire, G.; de Faccio Carvalho, P.C.; Kronberg, S.; Recous, S. (Eds.) Agroecosystem Diversity; Academic Press: Cambridge, MA, USA, 2018. [Google Scholar]
- Meynard, J.M.; Charrier, F.; Le Bail, M.; Magrini, M.B.; Charlier, A.; Messéan, A. Socio-technical lock-in hinders crop diversification in France. Agron. Sustain. Dev. 2018, 38, 54. [Google Scholar] [CrossRef]
- Frison, E.A.; Cherfas, J.; Hodgkin, T. Agricultural biodiversity is essential for a sustainable improvement in food and nutrition security. Sustainability 2011, 3, 238–253. [Google Scholar] [CrossRef]
- Peoples, M.B.; Hauggaard-Nielsen, H.; Huguenin-Elie, O.; Jensen, E.S.; Justes, E.; Williams, M. The Contributions of Legumes to Reducing the Environmental Risk of Agricultural Production. In Agroecosystem Diversity; Lemaire, G., de Faccio Carvalho, P.C., Kronberg, S., Recous, S., Eds.; Academic Press: Cambridge, MA, USA, 2018; pp. 123–143. [Google Scholar]
- Rawal, V.; Bansal, V.; Thokchom, D. Biodiversity for Food and Agriculture and Food Security. An Exploration of Interrelationships, Background Study Paper NO. 69-2019, FAO Commission on Genetic Resources for Food and Agriculture. Available online: http://www.networkideas.org/wp-content/uploads/2019/02/ca3218en.pdf (accessed on 25 July 2019).
- Weiner, J. Applying plant ecological knowledge to increase agricultural sustainability. J. Ecol. 2017, 105, 865–870. [Google Scholar] [CrossRef]
- Magrini, M.-B.; Anton, M.; Chardigny, J.-M.; Duc, G.; Duru, M.; Jeuffroy, M.-H.; Meynard, J.-M.; Micard, V.; Walrand, S. Pulses for sustainability: Breaking agriculture and food sectors out of lock-in. Front. Sustain. Food Syst. 2018, 2, 64. [Google Scholar] [CrossRef]
- Magrini, M.-B.; Befort, N.; Nieddu, M. Technological Lock-In and Pathways for Crop Diversification in the Bio-Economy. In Agroecosystem Diversity; Lemaire, G., de Faccio Carvalho, P.C., Kronberg, S., Recous, S., Eds.; Academic Press: Cambridge, MA, USA, 2019; pp. 375–388. [Google Scholar]
- Magrini, M.B.; Anton, M.; Cholez, C.; Corre-Hellou, G.; Duc, G.; Jeuffroy, M.H.; Meynard, J.M.; Pelzer, E.; Voisin, A.-S.; Walrand, S. Why are grain-legumes rarely present in cropping systems despite their environmental and nutritional benefits? Analyzing lock-in in the French agrifood system. Ecol. Econ. 2016, 126, 152–162. [Google Scholar] [CrossRef]
- Rawal, V.; Navarro, D.K. The Global Economy of Pulses; FAO: Rome, Italy, 2017. [Google Scholar]
- Watson, C.A.; Reckling, M.; Preissel, S.; Bachinger, J.; Bergkvist, G.; Kuhlman, T.; Lindström, K.; Nemecek, T.; Topp, C.F.; Vanhatalo, A.; et al. Grain legume production and use in European agricultural systems. Adv. Agron. 2017, 144, 235–303. [Google Scholar]
- Dosi, G.; Nelson, R.R. Technical Change and Industrial Dynamics as Evolutionary Processes. In Handbook of the Economics of Innovation; Hall, B.H., Rosenberg, N., Eds.; Elsevier: Standford, CA, USA, 2010; Volume 1, pp. 51–127. [Google Scholar]
- Rogers, E.M. Diffusion of Innovations; Free Press: New York, NY, USA, 2003. [Google Scholar]
- Callon, M.; Law, J.; Rip, A. Mapping the Dynamics of Science and Technology; Palgrave Macmillan: London, UK, 1986. [Google Scholar]
- Noyons, E.C.M. Science Maps within a Science Policy Context. In Handbook of Quantitative Science and Technology Research, the use of Publication and Patent Statistics in Studies of S&T Systems; Moed, H., Glänzel, W., Schmoch, U., Eds.; Kluwer Academic Publishers: Dordrecht, The Netherlands, 2004; pp. 237–255. [Google Scholar]
- Noyons, E. Bibliometric mapping of science in a policy context. Scientometrics 2001, 50, 83–98. [Google Scholar] [CrossRef]
- Rafols, I.; Hopkins, M.M.; Hoekman, J.; Siepel, J.; O’Hare, A.; Perianes-Rodríguez, A.; Nightingale, P. Big Pharma, little science: A bibliometric perspective on Big Pharma’s R&D decline. Technol. Forecast. Soc. Chang. 2010, 81, 22–38. [Google Scholar]
- Barbier, M.; Bompart, M.; Garandel-Batifol, V.; Mogoutov, A. Textual Analysis and Scientometric Mapping of the Dynamic Knowledge in and around the IFSA Community. In Farming Systems Research into the 21st Century: The New Dynamic; Springer: Cham, The Netherlands, 2012; pp. 73–94. [Google Scholar]
- Glänzel, W.; Moed, H.F.; Schmoch, U.; Thelwall, M. Springer Handbook of Science and Technology Indicators; Springer: Basel, Switzerland, 2019. [Google Scholar] [CrossRef]
- Zitt, M.; Lelu, A.; Cadot, M.; Cabanac, G. Bibliometric Delineation of Scientific Fields. In Springer Handbook of Science and Technology Indicators; Springer: Basel, Switzerland, 2019; pp. 25–68. [Google Scholar] [CrossRef]
- Meyer, E.T.; Schroeder, R. Untangling the web of e-Research: Towards a sociology of online knowledge. J. Informetr. 2009, 3, 246–260. [Google Scholar] [CrossRef]
- Wyatt, S.; Milojević, S.; Park, H.; Leydesdorff, L. Quantitative and Qualitative STS: The Intellectual and Practical Contributions of Scientometrics, SSRN 2015. Available online: https://ssrn.com/abstract=2588336 (accessed on 12 February 2019).
- Cecere, G.; Martinelli, A. Drivers of knowledge accumulation in electronic waste management: An analysis of publication data. Res. Policy 2017, 46, 925–938. [Google Scholar] [CrossRef]
- Minguillo, D.; Tijssen, R.; Thelwall, M. Do science parks promote research and technology? A scientometric analysis of the UK. Scientometrics 2015, 102, 701–725. [Google Scholar] [CrossRef]
- Tancoigne, E.; Barbier, M.; Cointet, J.P.; Richard, G. The place of agricultural sciences in the literature on ecosystem services. Ecosyst. Serv. 2014, 10, 35–48. [Google Scholar] [CrossRef]
- Martín-Martín, A.; Orduna-Malea, E.; López-Cózar, E.D. Coverage of highly-cited documents in Google Scholar, Web of Science, and Scopus: A multidisciplinary comparison. Scientometrics 2018, 116, 2175–2188. [Google Scholar] [CrossRef]
- Johnson, R.; Watkinson, A.; Mabe, M. The STM Report, 5th ed.; An Overview of Scientific and Scholarly Publishing; International Association of Scientific, Technical and Medical Publishers: Hague, The Netherlands, 2018. [Google Scholar]
- European Commission. Report from the Commission to the Council and the European Parliament on the Development of Plant Proteins in the European Union, COM 757. Brussels. Available online: https://ec.europa.eu/info/sites/info/files/food-farming-fisheries/plants_and_plant_products/documents/report-plant-proteins-com2018-757-final_en.pdf (accessed on 5 December 2018).
- Garfield, E.; Sher, I.H. KeyWords Plus™—Algorithmic derivative indexing. J. Am. Soc. Inf. Sci. 1993, 44, 298–299. [Google Scholar] [CrossRef]
- Zohary, D.; Hopf, M.; Weiss, E. Domestication of Plants in the Old World: The Origin and Spread of Domesticated Plants in Southwest Asia, Europe, and the Mediterranean Basin, 4th ed.; Oxford University Press: Oxford, UK, 2012. [Google Scholar]
- Aykroyd, W.R.; Doughthy, J. Les graines de légumineuses dans l’alimentation humaine; Organisation des Nations-Unies pour l’Alimentation et l’agriculture: Rome, Italy, 2008. [Google Scholar]
- Sonnino, A. Leguminose da Granella e Ricerca Agricola—Pulses and Agricultural Research. Atti del Seminario Leguminose da Granella—Sant’Angelo Lodigiano. 14 October 2016, pp. 45–50. Available online: https://sites.google.com/site/storiagricoltura/download-area/atti_seminari_mulsa (accessed on 5 July 2018).
- Lascialfari, M.; Magrini, M.-B.; Triboulet, P. The drivers of product innovations in pulse-based foods: Insights from case studies in France, Italy and USA. J. Innov. Econ. Manag. 2019, 1, 111–143. [Google Scholar] [CrossRef]
- Sabaté, J. (Ed.) Environmental Nutrition. In Connecting Health and Nutrition with Environmentally Sustainable Diets, 1st ed.; Academic Press: Cambridge, MA, USA, 2019. [Google Scholar]
- Sivasankar, S.; Ellis, N.; Buruchara, R.; Henry, C.; Rubiales, D.; Sandhu, J.S.; Negra, C. 10-year Research Strategy for Food Crops. 2016. Available online: https://pulses.org/future-of-food/10-year-research-strategy (accessed on 9 August 2019).
- Meynard, J.M.; Jeuffroy, M.H.; Le Bail, M.; Lefèvre, A.; Magrini, M.B.; Michon, C. Designing coupled innovations for the sustainability transition of agrifood systems. Agric. Syst. 2017, 157, 330–339. [Google Scholar] [CrossRef]
- Ciarli, T.; Ràfols, I. The relation between research priorities and societal demands: The case of rice. Res. Policy 2019, 48, 949–967. [Google Scholar] [CrossRef]
- Quellier, F. Petite et grande histoire des légumineuses en Occident, Journées de la Fondation Louis Bonduelle, Paris, 2016. Available online: http://www.fondation-louisbonduelle.org/wp-content/uploads/2016/10/florent-quellier-histoire-des-legumineuses-rencontres-fondation-louis-bonduelle-legumes-secs-proteines-vegetales.pdf (accessed on 29 July 2019).









| Theme and Underlying Corpus Name | Description of the Theme | Number of Scientific Experts Involved |
|---|---|---|
| Species | Names used to designate the various main grain-legume species and varieties cultivated in temperate climates | 2 |
| Genetics | Varieties, genes, breeding methods and objectives | 2 |
| Agronomy | Ways to grow legume crops and provided services | 2 |
| Ecophysiology | Plant physiology in relation to its abiotic environment | 2 |
| BioticStress | Weeds, diseases, and pests’ life traits and control in crops | 2 |
| Feeding | Feeding practices, animal nutrition | 2 |
| Processing | Transformation and main types of food products excluding non-food uses | 4 |
| Nutrition | Nutrition subjects for humans including health | 4 |
| Allergy | Concerns on allergy linked to the use of legumes in food | 2 |
| Acceptability | Sensorial and organoleptic analysis for consumer acceptance | 2 |
| Socioeconomics | Any subject of interest using socio-economic approaches | 2 |
| Name | Website |
|---|---|
| Tela Botanica, the French-speaking network of botanists, presenting Latin name of species | https://www.tela-botanica.org/ |
| Feedipedia, describing all the resources used for feed in the world, and among them legumes | https://www.feedipedia.org/ |
| Atlas managed by the CGIAR—Research Program on Dryland Cereals and Legumes Agri-Food Systems (DCL) | http://www.eatlasdcl.cgiar.org |
| A personal website created by a renowned retired botanist. | https://www.cropsreview.com/grain-legumes.html |
| Inventory of food resources and constituents | http://foodb.ca |
| Species Identifier (Genus or Common Name) | All Species or Common Name Terms Included in the Search Query |
|---|---|
| Adzuki | phaseolus angularis, vigna angularis, red mung$, red bean$, red mungbean$, adzuki$, azuki$ |
| Bambara Bean | vigna subterranean *, bambara bean$ |
| Bean | phaseolus coccineus, phaseolus vulgaris, phaseolus lunatus, phaseolus spp, common bean$, common field bean$, common fieldbean$, runner bean$, runnerbean$, lima bean$, common bean$, kidney bean$, pinto bean$, vigna aconitifolia, moth bean$, vigna umbellata, rice bean$ |
| Chickpea | cicer arietinum, chickpea$, chick pea$ |
| Cowpea | vigna unguiculata, cowpea$, cow pea, cow peas, blackeyed pea, blackeyed peas, black-eye pea, black-eye peas, blackeyed bean$, catjan$, long bean$ |
| Faba bean | vicia faba, fava bean$, faba bean$, broadbean$, broad bean$, horse bean$, horsebean$, fababean$, field bean$, fieldbean$ |
| Fenugreek | trigonella foenum grecum, trigonella foenum graecum, fenugreek$, fenugrec$, fenu grec$ |
| Lathyrus | lathyrus sativus, lathyrus sativa, lathyrus ochrus, lathyrus cicera, grass pea$, red pea$, cyprus vetch$, vetchling$, gesse$ |
| Gram bean | vigna mungo, gram bean$, black bean$, black lentil$, black gram, blackgram$ |
| Groundnut | arachis hypogea, arachis hypogaea, groundnut$, peanut$ |
| Lablab | lablab purpureus, hyacinth bean$, lablab bean$, lablab$ |
| Lentil | lens culinaris, lentil$ |
| Lupin | lupinus albus, lupinus angustifolius, lupinus luteus, lupinus mutabilis, lupin$ |
| Mungbean | vigna radiata, vigna mungo, mungbean$, mung bean$, moong bean$, mungo bean$, green gram$, golden gram$, maash$, moong sanskrit$ |
| Pea | pisum sativum, pea, peas |
| Pigeon Pea | cajanus cajan, pigeon pea, pigeon peas, pigeonpea$ |
| Soya | glycine max, soja, soya$, soy$, sojabean$, soybean$, soyabean$ |
| Vicia | vetch$, vetche$, vicia sativa, vicia villosa, vicia ervilia, ervil$, vicia narbonensis, narbon bean$ |
| Winged bean | psophocarpus tetragonolobus, winged bean$, asparagus pea$, goabean$, goa bean$ |
| Generic | leguminous, *legume, *legumes, pulse, pulses |
| (a) | ||||||||
| PERIOD (PER.) | TOTAL PER. | 1st PER. | 1980s | 1990s | 2nd PER. | 2000s | 2010s | 3 Last Years |
| Family species index terms of records: | 1980–2018 | 1980–1999 | 1980–1989 | 1990–1999 | 2000–2018 | 2000–2009 | 2010–2018 | 2016–2018 |
| Soya (alone **) | 45,615 | 13,565 | 4824 | 8741 | 32,050 | 13,141 | 18,909 | 7076 |
| Soya and a generic term * | 1440 | 286 | 7 | 279 | 1154 | 429 | 725 | 277 |
| Other Pulses than PFL (alone) | 20,780 | 7394 | 2719 | 4675 | 13,386 | 5549 | 7837 | 2819 |
| Ibidem and a generic term | 3175 | 569 | 38 | 531 | 2606 | 914 | 1692 | 745 |
| PFL (alone) | 16,760 | 7564 | 2743 | 4821 | 9196 | 4279 | 4917 | 1708 |
| PFL and a generic term | 2567 | 546 | 15 | 531 | 2021 | 789 | 1232 | 480 |
| Subtotal (Soya, Pulses) | 90,337 | 29,924 | 10,346 | 19,578 | 60,413 | 25,101 | 35,312 | 13,105 |
| % Soya in subtotal | 52% | 46% | 47% | 46% | 55% | 54% | 56% | 56% |
| % Subtotal within the per. | 84% | 86% | 90% | 84% | 83% | 84% | 82% | 82% |
| Total records for the period | 107,823 | 34,652 | 11,454 | 23,198 | 73,171 | 30,017 | 43,154 | 16,034 |
| % per. in the Fusion corpus | 100% | 32% | 11% | 21% | 68% | 28% | 40% | 15% |
| Annual average growth rate of the records | 13% | 21% | 32% | 12% | 6% | 6% | 6% | 6% |
| (b) | ||||||||
| PERIOD (PER.) | TOTAL PER. | 1st PER. | 1980s | 1990s | 2nd PER. | 2000s | 2010s | 3 Last Years |
| Family species index terms of records: | 1980–2018 | 1980–1999 | 1980–1989 | 1990–1999 | 2000–2018 | 2000–2009 | 2010–2018 | 2016–2018 |
| Groundnut (alone) | 9305 | 2627 | 841 | 1786 | 6678 | 2445 | 4233 | 1595 |
| % Groundnut within the per. | 9% | 8% | 7% | 8% | 9% | 8% | 10% | 10% |
| Lathyrus or Vicia (alone) | 1097 | 277 | 67 | 210 | 820 | 330 | 490 | 173 |
| % Lathyrus or Vicia within the per. | 1% | 1% | 1% | 1% | 1% | 1% | 1% | 1% |
| Species Index | Number of Records | Share of Species Index |
|---|---|---|
| Soya | 51,395 | 42.6% |
| Pea | 14,175 | 11.7% |
| Groundnut | 11,612 | 9.6% |
| Bean | 8976 | 7.4% |
| Cowpea | 5954 | 4.9% |
| Chickpea | 5373 | 4.5% |
| Faba bean | 4640 | 3.8% |
| Mungbean | 3785 | 3.1% |
| Lupin | 3420 | 2.8% |
| Lentil | 2724 | 2.3% |
| Pigeon Pea | 2302 | 1.9% |
| Vicia | 2036 | 1.7% |
| Gram bean | 1466 | 1.2% |
| Adzuki | 771 | 0.6% |
| Fenugreek | 762 | 0.6% |
| Lathyrus | 491 | 0.4% |
| Lablab | 390 | 0.3% |
| Winged bean | 232 | 0.2% |
| Bambara Bean | 173 | 0.1% |
| Total species quotes | 120,677 | 100% |
| Nb of records indexed with only one species (%) | 100,739 (94%) | |
| Nb of records co-indexed with several species (%) | 7084 (6%) | |
| Nb of records in FUSION corpus | 107,823 | |
| Area Rank * | Area or Country | 1980–2018 Period | 1980–2009 Period | 2010–2018 Period | |||||||||||||||
|---|---|---|---|---|---|---|---|---|---|---|---|---|---|---|---|---|---|---|---|
| S / P | % | S | % | P | % | S | % | S | % | P | % | S / P | % | S | % | P | % | ||
| 1 | USA | 18,238 | 24% | 13,487 | 33% | 4751 | 13% | 12,524 | 30% | 9148 | 42% | 3376 | 17% | 5714 | 16% | 4339 | 22% | 1375 | 9% |
| 2 | UE28 | 14,854 | 19% | 5260 | 13% | 9594 | 27% | 9401 | 22% | 3078 | 14% | 6323 | 31% | 5453 | 16% | 2182 | 11% | 3271 | 21% |
| 4 | INDIA | 7043 | 9% | 1634 | 4% | 5409 | 15% | 3198 | 8% | 741 | 3% | 2457 | 12% | 3845 | 11% | 893 | 5% | 2952 | 19% |
| 3 | CHINA | 5926 | 8% | 4564 | 11% | 1362 | 4% | 1323 | 3% | 908 | 4% | 415 | 2% | 4603 | 13% | 3656 | 19% | 947 | 6% |
| 5 | BRAZIL | 5712 | 7% | 3645 | 9% | 2067 | 6% | 2088 | 5% | 1284 | 6% | 804 | 4% | 3624 | 10% | 2361 | 12% | 1263 | 8% |
| 6 | JAPAN | 4286 | 6% | 3147 | 8% | 1139 | 3% | 2926 | 7% | 2053 | 9% | 873 | 4% | 1360 | 4% | 1094 | 6% | 266 | 2% |
| 7 | CANADA | 3524 | 5% | 1722 | 4% | 1802 | 5% | 2097 | 5% | 1027 | 5% | 1070 | 5% | 1427 | 4% | 695 | 4% | 732 | 5% |
| 8 | AUSTRALIA | 2530 | 3% | 747 | 2% | 1783 | 5% | 1702 | 4% | 502 | 2% | 1200 | 6% | 828 | 2% | 245 | 1% | 583 | 4% |
| SUBTOTAL ** | 62,113 | 80% | 34,206 | 83% | 27,907 | 78% | 35,259 | 84% | 18,741 | 86% | 16,518 | 82% | 26,854 | 76% | 15,465 | 79% | 11,389 | 73% | |
| TOTAL *** | 77,170 | 100% | 41,413 | 100% | 35,757 | 100% | 42,014 | 100% | 21,856 | 100% | 20,158 | 100% | 35,156 | 100% | 19,557 | 100% | 15,599 | 100% | |
© 2019 by the authors. Licensee MDPI, Basel, Switzerland. This article is an open access article distributed under the terms and conditions of the Creative Commons Attribution (CC BY) license (http://creativecommons.org/licenses/by/4.0/).
Share and Cite
Magrini, M.-B.; Cabanac, G.; Lascialfari, M.; Plumecocq, G.; Amiot, M.-J.; Anton, M.; Arvisenet, G.; Baranger, A.; Bedoussac, L.; Chardigny, J.-M.; et al. Peer-Reviewed Literature on Grain Legume Species in the WoS (1980–2018): A Comparative Analysis of Soybean and Pulses. Sustainability 2019, 11, 6833. https://doi.org/10.3390/su11236833
Magrini M-B, Cabanac G, Lascialfari M, Plumecocq G, Amiot M-J, Anton M, Arvisenet G, Baranger A, Bedoussac L, Chardigny J-M, et al. Peer-Reviewed Literature on Grain Legume Species in the WoS (1980–2018): A Comparative Analysis of Soybean and Pulses. Sustainability. 2019; 11(23):6833. https://doi.org/10.3390/su11236833
Chicago/Turabian StyleMagrini, Marie-Benoît, Guillaume Cabanac, Matteo Lascialfari, Gael Plumecocq, Marie-Josephe Amiot, Marc Anton, Gaelle Arvisenet, Alain Baranger, Laurent Bedoussac, Jean-Michel Chardigny, and et al. 2019. "Peer-Reviewed Literature on Grain Legume Species in the WoS (1980–2018): A Comparative Analysis of Soybean and Pulses" Sustainability 11, no. 23: 6833. https://doi.org/10.3390/su11236833
APA StyleMagrini, M.-B., Cabanac, G., Lascialfari, M., Plumecocq, G., Amiot, M.-J., Anton, M., Arvisenet, G., Baranger, A., Bedoussac, L., Chardigny, J.-M., Duc, G., Jeuffroy, M.-H., Journet, E.-P., Juin, H., Larré, C., Leiser, H., Micard, V., Millot, D., Pilet-Nayel, M.-L., ... Wery, J. (2019). Peer-Reviewed Literature on Grain Legume Species in the WoS (1980–2018): A Comparative Analysis of Soybean and Pulses. Sustainability, 11(23), 6833. https://doi.org/10.3390/su11236833

