Classifying Street Spaces with Street View Images for a Spatial Indicator of Urban Functions
Abstract
:1. Introduction
2. Literature Review
2.1. Urban Functions of Street Spaces
2.2. Measurement of Streetscape Features as a Reflection of Urban Functions
3. Analytical Framework and Study Area
4. Methods and Data
4.1. Characterizing Streetscape from SVIs
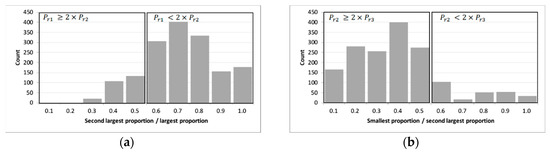
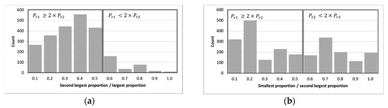
4.2. Classifying Streetscape
4.3. Variables of Urban Functions and Model Specification
5. Results and Discussions
6. Conclusions and Future Work
Author Contributions
Funding
Conflicts of Interest
References
- Mboup, G.; Warah, R. United Nations Human Settlements Programme. In Streets as Public Spaces and Drivers of Urban Prosperity; UN-Habitat: Nairobi, Kenya, 2013; ISBN 978-92-1-132590-4. [Google Scholar]
- Hidalgo, A.K. Urban streets: Towards a psychological restorative function. In Proceedings of the 2nd Future of Places International Conference on Public Space and Placemaking (Ed.), Streets as Public Spaces and Drivers of Urban Prosperity, Stockholm, Sweden, 4–26 June 2013; pp. 240–258. [Google Scholar]
- Jacobs, J. The Death and Life of Great American Cities, Vintage Books ed.; Vintage Books: New York, NY, USA, 1992; ISBN 978-0-679-74195-4. [Google Scholar]
- Brower, S.N. Design in Familiar Places: What Makes Home Environments Look Good; Praeger: New York, NY, USA, 1988; ISBN 978-0-275-92686-1. [Google Scholar]
- Gehl, J. Life Between Buildings: Using Public Space; Island Press: Washington, DC, USA, 2011; ISBN 978-1-59726-827-1. [Google Scholar]
- Lynch, K. Good City Form; MIT Press: Cambridge, MA, USA, 1984; ISBN 978-0-262-62046-8. [Google Scholar]
- Jacobs, A.B. Great Streets; MIT Press: Cambridge, MA, USA, 1993; ISBN 978-0-262-10048-9. [Google Scholar]
- Appleyard, D. Livable Streets: Protected Neighborhoods? Ann. Am. Acad. Pol. Soc. Sci. 1980, 451, 106–117. [Google Scholar] [CrossRef]
- McCann, B.; Rynne, S. Complete the streets. Planning 2005, 71, 18–23. [Google Scholar]
- Meyer, W.B.; Turner, B.L. Changes in Land Use and Land Cover: A Global Perspective; University Corporation for Atmospheric Research, Ed.; Cambridge University Press: Cambridge, UK, 1994; ISBN 978-0-521-47085-8. [Google Scholar]
- Hartanti, N.B.; Martokusumo, W. Streetscape connectivity and the making of urban identity. In Proceedings of the Arte-Polis-4 International Conference, Bandung, Indonesia, 5–6 July 2012. [Google Scholar]
- Harvey, C.; Aultman-Hall, L.; Troy, A.; Hurley, S.E. Streetscape skeleton measurement and classification. Environ. Plan. B Urban Anal. City Sci. 2017, 44, 668–692. [Google Scholar] [CrossRef]
- Zhang, F.; Zhang, D.; Liu, Y.; Lin, H. Representing place locales using scene elements. Comput. Environ. Urban Syst. 2018, 71, 153–164. [Google Scholar] [CrossRef]
- Ewing, R.H.; Clemente, O. Measuring Urban Design: Metrics for Livable Places; Island Press: Washington, DC, USA, 2013; ISBN 978-1-61091-193-1. [Google Scholar]
- Tang, J.; Long, Y. Measuring visual quality of street space and its temporal variation: Methodology and its application in the Hutong area in Beijing. Landsc. Urban Plan. 2019, 191, 103436. [Google Scholar] [CrossRef]
- Kendal, D.; Williams, N.S.G.; Williams, K.J.H. Drivers of diversity and tree cover in gardens, parks and streetscapes in an Australian city. Urban For. Urban Green. 2012, 11, 257–265. [Google Scholar] [CrossRef]
- Zhang, F.; Zhou, B.; Liu, L.; Liu, Y.; Fung, H.H.; Lin, H.; Ratti, C. Measuring human perceptions of a large-scale urban region using machine learning. Landsc. Urban Plan. 2018, 180, 148–160. [Google Scholar] [CrossRef]
- Zhang, F.; Hu, M.; Che, W.; Lin, H.; Fang, C. Framework for Virtual Cognitive Experiment in Virtual Geographic Environments. ISPRS Int. J. Geo-Inf. 2018, 7, 36. [Google Scholar] [CrossRef]
- Liu, L.; Silva, E.A.; Wu, C.; Wang, H. A machine learning-based method for the large-scale evaluation of the qualities of the urban environment. Comput. Environ. Urban Syst. 2017, 65, 113–125. [Google Scholar] [CrossRef]
- Dubey, A.; Naik, N.; Parikh, D.; Raskar, R.; Hidalgo, C.A. Deep Learning the City: Quantifying Urban Perception at a Global Scale. In Proceedings of the Computer Vision–ECCV 2016, Amsterdam, The Netherlands, 11–14 October 2016; Leibe, B., Matas, J., Sebe, N., Welling, M., Eds.; Springer: Cham, Switzerland; Amsterdam, The Netherlands, 2016; Volume 9905, pp. 196–212. [Google Scholar]
- Li, X.; Zhang, C.; Li, W.; Ricard, R.; Meng, Q.; Zhang, W. Assessing street-level urban greenery using Google Street View and a modified green view index. Urban For. Urban Green. 2015, 14, 675–685. [Google Scholar] [CrossRef]
- Long, Y.; Liu, L. How green are the streets? An analysis for central areas of Chinese cities using Tencent Street View. PLoS ONE 2017, 12, e0171110. [Google Scholar] [CrossRef] [PubMed]
- Li, X.; Santi, P.; Courtney, T.K.; Verma, S.K.; Ratti, C. Investigating the association between streetscapes and human walking activities using Google Street View and human trajectory data. Trans. GIS 2018, 22, 1029–1044. [Google Scholar] [CrossRef]
- Ye, Y.; Richards, D.; Lu, Y.; Song, X.; Zhuang, Y.; Zeng, W.; Zhong, T. Measuring daily accessed street greenery: A human-scale approach for informing better urban planning practices. Landsc. Urban Plan. 2019, 191, 103434. [Google Scholar] [CrossRef]
- Helbich, M.; Yao, Y.; Liu, Y.; Zhang, J.; Liu, P.; Wang, R. Using deep learning to examine street view green and blue spaces and their associations with geriatric depression in Beijing, China. Environ. Int. 2019, 126, 107–117. [Google Scholar] [CrossRef]
- Weichenthal, S.; Hatzopoulou, M.; Brauer, M. A picture tells a thousand…exposures: Opportunities and challenges of deep learning image analyses in exposure science and environmental epidemiology. Environ. Int. 2019, 122, 3–10. [Google Scholar] [CrossRef]
- Ji, J.S.; Zhu, A.; Bai, C.; Wu, C.-D.; Yan, L.; Tang, S.; Zeng, Y.; James, P. Residential greenness and mortality in oldest-old women and men in China: A longitudinal cohort study. Lancet Planet. Health 2019, 3, e17–e25. [Google Scholar] [CrossRef]
- Wang, R.; Helbich, M.; Yao, Y.; Zhang, J.; Liu, P.; Yuan, Y.; Liu, Y. Urban greenery and mental wellbeing in adults: Cross-sectional mediation analyses on multiple pathways across different greenery measures. Environ. Res. 2019, 176, 108535. [Google Scholar] [CrossRef]
- Wijnands, J.S.; Nice, K.A.; Thompson, J.; Zhao, H.; Stevenson, M. Streetscape augmentation using generative adversarial networks: Insights related to health and wellbeing. Sustain. Cities Soc. 2019, 49, 101602. [Google Scholar] [CrossRef]
- Naik, N.; Kominers, S.D.; Raskar, R.; Glaeser, E.L.; Hidalgo, C.A. Computer vision uncovers predictors of physical urban change. Proc. Natl. Acad. Sci. USA 2017, 114, 7571–7576. [Google Scholar] [CrossRef]
- Salesses, P.; Schechtner, K.; Hidalgo, C.A. The Collaborative Image of the City: Mapping the Inequality of Urban Perception. PLoS ONE 2013, 8, e68400. [Google Scholar] [CrossRef]
- Ye, Y.; Xie, H.; Fang, J.; Jiang, H.; Wang, D. Daily Accessed Street Greenery and Housing Price: Measuring Economic Performance of Human-Scale Streetscapes via New Urban Data. Sustainability 2019, 11, 1741. [Google Scholar] [CrossRef]
- Zhang, F.; Wu, L.; Zhu, D.; Liu, Y. Social sensing from street-level imagery: A case study in learning spatio-temporal urban mobility patterns. ISPRS J. Photogramm. Remote Sens. 2019, 153, 48–58. [Google Scholar] [CrossRef]
- Glaeser, E.L.; Kominers, S.D.; Luca, M.; Naik, N. Big Data and Big Cities: The Promises and Limitations of Improved Measures of Urban Life. Econ. Inq. 2018, 56, 114–137. [Google Scholar] [CrossRef]
- Naik, N.; Philipoom, J.; Raskar, R.; Hidalgo, C. Streetscore-Predicting the Perceived Safety of One Million Streetscapes; IEEE: Columbus, OH, USA, 2014; pp. 779–785. [Google Scholar]
- Li, X.; Zhang, C.; Li, W. Does the Visibility of Greenery Increase Perceived Safety in Urban Areas? Evidence from the Place Pulse 1.0 Dataset. ISPRS Int. J. Geo-Inf. 2015, 4, 1166–1183. [Google Scholar] [CrossRef]
- Li, X.; Zhang, C.; Li, W. Building block level urban land-use information retrieval based on Google Street View images. GIScience Remote Sens. 2017, 54, 819–835. [Google Scholar] [CrossRef]
- Zhao, H.; Shi, J.; Qi, X.; Wang, X.; Jia, J. Pyramid Scene Parsing Network. In Proceedings of the IEEE Conference on Computer Vision and Pattern Recognition, Honolulu, HI, USA, 21–26 July 2017; pp. 2881–2890. [Google Scholar]
- Cordts, M.; Omran, M.; Ramos, S.; Rehfeld, T.; Enzweiler, M.; Benenson, R.; Franke, U.; Roth, S.; Schiele, B. The Cityscapes Dataset for Semantic Urban Scene Understanding; IEEE: Las Vegas, NV, USA, 2016; pp. 3213–3223. [Google Scholar]
- Song, Y.; Merlin, L.; Rodriguez, D. Comparing measures of urban land use mix. Comput. Environ. Urban Syst. 2013, 42, 1–13. [Google Scholar] [CrossRef]
- Jiang, B. Head/Tail Breaks: A New Classification Scheme for Data with a Heavy-Tailed Distribution. Prof. Geogr. 2013, 65, 482–494. [Google Scholar] [CrossRef]











| A | B | BS | S | T | TB | TS |
|---|---|---|---|---|---|---|
| 34.2% | 5.9% | 7.3% | 7.0% | 23.1% | 6.6% | 15.8% |
| Variable | Category | Variable Description |
|---|---|---|
| far | Density | FAR |
| rpop | Residential population by grid | |
| mix | Diversity of services | Entropy of POIs of different types |
| cbdis | Accessibility | Distance the nearest city (sub-)left |
| apop | Urban vitality | Ambient population density |
| zon | Regulation | Inside/outside the protection zone of Beijing old city |
| lu_res | Land uses | Residential |
| lu_ind | Industrial | |
| lu_grn | Green space | |
| lu_com | Commercial | |
| lu_sev | Public service | |
| tr2 | Transportation | Main |
| tr3 | Secondary |
| Model | Log-Likelihood ratio test | McFadden R2 | IIA test |
|---|---|---|---|
| 1 | 445.52*** | 0.11978 | rejected |
| 2 | 597.87*** | 0.16075 | rejected |
| Variable | B | BS | S | T | TB | TS |
|---|---|---|---|---|---|---|
| far | (+)** | (−). | (−)*** | (−)*** | ||
| rpop | (+)* | |||||
| mix | (−). | (−)** | ||||
| cbdis | (−). | (−). | (−)** | |||
| apop | (−)** | |||||
| zon | (+)*** | (+)*** | ||||
| lu_res | (+). | (+). | (+)* | |||
| lu_com | (+)* | (+)* | (+). | (+). | ||
| lu_grn | (+)** | (+)* | ||||
| lu_ind | (+). | (+)** | ||||
| lu_sev | (−)* | (+)** | (+)* |
| Variable | B | BS | S | T | TB | TS |
|---|---|---|---|---|---|---|
| far | (+)** | (−). | (−)*** | (−)*** | ||
| rpop | (+)* | |||||
| mix | (−). | (−)* | ||||
| cbdis | (−). | (−)* | (−)** | |||
| apop | (−). | (−)* | ||||
| zon | (+)** | (+)*** | ||||
| lu_res | ||||||
| lu_com | (+)* | (+). | (+). | |||
| lu_grn | (+)* | (+)* | ||||
| lu_ind | ||||||
| lu_sev | (−)* | (+)* | ||||
| tr2 | (−)* | (+). | ||||
| tr3 | (+)*** | (−)*** | (+)*** | (+)*** | (−)* |
© 2019 by the authors. Licensee MDPI, Basel, Switzerland. This article is an open access article distributed under the terms and conditions of the Creative Commons Attribution (CC BY) license (http://creativecommons.org/licenses/by/4.0/).
Share and Cite
Gong, Z.; Ma, Q.; Kan, C.; Qi, Q. Classifying Street Spaces with Street View Images for a Spatial Indicator of Urban Functions. Sustainability 2019, 11, 6424. https://doi.org/10.3390/su11226424
Gong Z, Ma Q, Kan C, Qi Q. Classifying Street Spaces with Street View Images for a Spatial Indicator of Urban Functions. Sustainability. 2019; 11(22):6424. https://doi.org/10.3390/su11226424
Chicago/Turabian StyleGong, Zhaoya, Qiwei Ma, Changcheng Kan, and Qianyun Qi. 2019. "Classifying Street Spaces with Street View Images for a Spatial Indicator of Urban Functions" Sustainability 11, no. 22: 6424. https://doi.org/10.3390/su11226424
APA StyleGong, Z., Ma, Q., Kan, C., & Qi, Q. (2019). Classifying Street Spaces with Street View Images for a Spatial Indicator of Urban Functions. Sustainability, 11(22), 6424. https://doi.org/10.3390/su11226424

