Supply Chain Coordination in the Context of Green Marketing Efforts and Capacity Expansion
Abstract
1. Introduction
- (1)
- If the production of green products is constrained by the manufacturer’s existing capacity, how do supply chain enterprises make decisions regarding the price and green marketing effort to be expended?
- (2)
- If the manufacturer can expand its capacity through the CM platform, how does the manufacturer’s decision to acquire additional capacity interact with the retailer’s decision regarding green marketing effort?
- (3)
- When the manufacturer and retailer make decisions independently, are the advantages of capacity expansion fully utilized? If not, what kind of contract can be used to coordinate the decisions of the manufacturer and retailer so as to make full use of the advantages of capacity expansion?
2. Literature Review
3. Model Formulation and Analysis
3.1. Model Description and Assumptions
3.2. Decentralized Supply Chain Case (d)
- (1)
- Whenand,
- (2)
- Whenand,
- (a)
- the capacity expansion
- (b)
- , , ,
- (c)
- ,
- (d)
- when, ; when,
- (2)
- if, the manufacturer will not expand its capacity, and the production quantity is
- (3)
3.3. Centralized Supply Chain Case ()
- (1)
- if, and, , ,
- (2)
- if, and
4. Supply Chain Coordination
4.1. Green Marketing Effort Cost Sharing Contract (GCS)
4.2. Green Marketing Effort Cost Sharing and Revenue Sharing Contract (GC&RS)
- (1)
- ;
- (2)
- When,; when,; when, .
5. Results and Insights
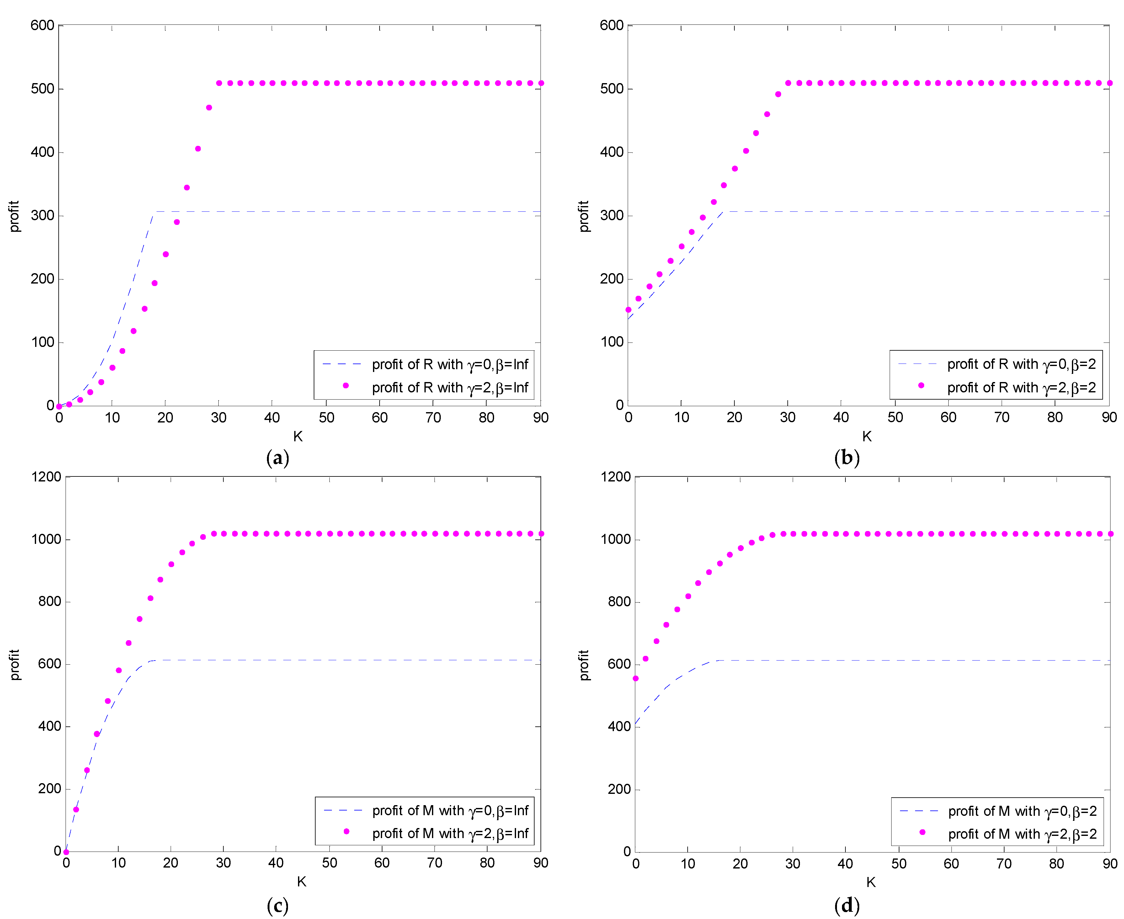
5.1. The Impact of and on the Optimal Production Quantity
5.2. The Impact of and on the Firms’ Profits
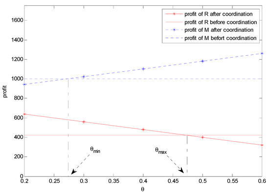
5.3. The Impact of the Share Proportion on the Profits of the Firms
5.4. The Impact of Existing Capacity on the Upper and Lower Bounds of the Share Proportion
5.5. Implications for Theory and Management
6. Conclusions
Author Contributions
Funding
Acknowledgments
Conflicts of Interest
References
- Polonsky, M.J. An introduction to green marketing. Electron. Green J. 1994. Available online: https://escholarship.org/uc/item/49n325b7 (accessed on 5 July 2019).
- Chan, R.Y. Consumer responses to environmental advertising in China. Mark. Intell. Plan. 2004, 22, 427–437. [Google Scholar] [CrossRef]
- Rajeev, A.; Pati, R.K.; Padhi, S.S.; Govindan, K. Evolution of sustainability in supply chain management: A literature review. J. Clean. Prod. 2017, 162, 299–314. [Google Scholar] [CrossRef]
- Wu, Z.; Pagell, M. Balancing priorities: Decision-making in sustainable supply chain management. J. Oper. Manag. 2011, 29, 577–590. [Google Scholar] [CrossRef]
- Ghosh, D.; Shah, J. Supply chain analysis under green sensitive consumer demand and cost sharing contract. Int. J. Prod. Econ. 2015, 164, 319–329. [Google Scholar] [CrossRef]
- Swami, S.; Shah, J. Channel coordination in green supply chain management. J. Oper. Res. Soc. 2013, 64, 336–351. [Google Scholar] [CrossRef]
- Available online: https://pharmaceutical.basf.com/en/Sustainability-Responsible-Care.html (accessed on 7 May 2019).
- Available online: https://sustainablebrands.com/read/supply-chain/walmart-launches-sustainability-platform-to-reducegt-co2-emissions-across-value-chain (accessed on 1 August 2019).
- Bonini, S.M.J.; Oppenheim, J.M. Helping ‘green’ products grow. The McKinsey Quarterly, 8 October 2008; 1–9. [Google Scholar]
- Manget, J.; Roche, C.; Münnich, F. Capturing the Green Advantage for Consumer Companies; The BCG Inc.: Boston, MA, USA, 2009; Available online: https://www.bcg.com/documents/file15407.pdf (accessed on 5 July 2019).
- Joshi, Y.; Rahman, Z. Factors Affecting Green Purchase Behaviour and Future Research Directions. Int. Strat. Manag. Rev. 2015, 3, 128–143. [Google Scholar] [CrossRef]
- Zhong, S.; Chen, J. How Environmental Beliefs Affect Consumer Willingness to Pay for the Greenness Premium of Low-Carbon Agricultural Products in China: Theoretical Model and Survey-based Evidence. Sustainability 2019, 11, 592. [Google Scholar] [CrossRef]
- Bray, J.; Johns, N.; Kilburn, D. An exploratory study into the factors impeding ethical consumption. J. Bus. Ethics 2011, 98, 597–608. [Google Scholar] [CrossRef]
- Hong, Z.; Guo, X. Green product supply chain contracts considering environmental responsibilities. Omega 2019, 83, 155–166. [Google Scholar] [CrossRef]
- McDaniel, S.W.; Rylander, D.H. Strategic green marketing. J. Consum. Mark. 1993, 10, 4–10. [Google Scholar] [CrossRef]
- Peattie, K.; Crane, A. Green marketing: Legend, myth, farce or prophesy? Qual. Mark. Res. Int. J. 2005, 8, 357–370. [Google Scholar] [CrossRef]
- Shankar, V.; Venkatesh, A.; Hofacker, C.; Naik, P. Mobile Marketing in the Retailing Environment: Current Insights and Future Research Avenues. J. Interact. Mark. 2010, 24, 111–120. [Google Scholar] [CrossRef]
- Vaccaro, V.L. B2B green marketing and innovation theory for competitive advantage. J. Syst. Inf. Technol. 2009, 11, 315–330. [Google Scholar] [CrossRef]
- Rahbar, E.; Wahid, N.A. Investigation of green marketing tools’ effect on consumers’ purchase behavior. Bus. Strat. Ser. 2011, 12, 73–83. [Google Scholar] [CrossRef]
- Plambeck, E.L. The greening of Wal-Mart’s supply chain. Supply Chain Manag. Rev. 2007, 11, 18–25. [Google Scholar]
- Zhao, D.; Hao, J.; Cao, C.; Han, H. Evolutionary Game Analysis of Three-Player for Low-Carbon Production Capacity Sharing. Sustainability 2019, 11, 2996. [Google Scholar] [CrossRef]
- Chod, J.; Rudi, N. Strategic Investments, Trading, and Pricing under Forecast Updating. Manag. Sci. 2006, 52, 1913–1929. [Google Scholar] [CrossRef]
- Yu, C.; Xu, X.; Lu, Y. Computer-Integrated Manufacturing, Cyber-Physical Systems and Cloud Manufacturing–Concepts and relationships. Manuf. Lett. 2015, 6, 5–9. [Google Scholar] [CrossRef]
- Zheng, M.M.; Wu, K.; Sun, C.W.; Pan, E. Optimal decisions for a two-echelon supply chain with capacity and demand information. Adv. Eng. Inform. 2019, 39, 248–258. [Google Scholar] [CrossRef]
- Xu, X. From cloud computing to cloud manufacturing. Robot. Comput. Manuf. 2012, 28, 75–86. [Google Scholar] [CrossRef]
- Van Mieghem, J.A. Capacity Management, Investment, and Hedging: Review and Recent Developments. Manuf. Serv. Oper. Manag. 2003, 5, 269–302. [Google Scholar] [CrossRef]
- Wu, S.D.; Erkoc, M.; Karabuk, S. Managing Capacity in the High-Tech Industry: A Review of Literature. Eng. Econ. 2005, 50, 125–158. [Google Scholar] [CrossRef]
- Song, J.-S.; Van Houtum, G.-J.; Van Mieghem, J.A. Capacity and Inventory Management: Review, Trends, and Projections. Manuf. Serv. Oper. Manag. 2019. [CrossRef]
- Zhang, L.; Wang, J.; You, J. Consumer environmental awareness and channel coordination with two substitutable products. Eur. J. Oper. Res. 2015, 241, 63–73. [Google Scholar] [CrossRef]
- Kim, B.; Sim, J.E. Supply Chain Coordination and Consumer Awareness for Pollution Reduction. Sustainability 2016, 8, 365. [Google Scholar] [CrossRef]
- Huang, K.L.; Kuo, C.W.; Lu, M.L. Wholesale price rebate vs. capacity expansion: The optimal strategy for seasonal products in a supply chain. Eur. J. Oper. Res. 2014, 234, 77–85. [Google Scholar] [CrossRef]
- Lu, Q.; Chen, X. Capacity expansion investment of supplier under make-to-order and make-to-stock supply chains. Int. J. Prod. Econ. 2018, 198, 133–148. [Google Scholar] [CrossRef]
- Peattie, K. Towards Sustainability: The Third Age of Green Marketing. Mark. Rev. 2001, 2, 129–146. [Google Scholar] [CrossRef]
- Yalabik, B.; Fairchild, R.J. Customer, regulatory, and competitive pressure as drivers of environmental innovation. Int. J. Prod. Econ. 2011, 131, 519–527. [Google Scholar] [CrossRef]
- Haytko, D.L.; Matulich, L. Green advertising and environmentally responsible consumer behaviors: Linkages examined. J. Manag. Mark. Res. 2008, 1, 2–11. [Google Scholar]
- Basiri, Z.; Heydari, J. A mathematical model for green supply chain coordination with substitutable products. J. Clean. Prod. 2017, 145, 232–249. [Google Scholar] [CrossRef]
- Joyce, A.; Paquin, R.L. The triple layered business model canvas: A tool to design more sustainable business models. J. Clean. Prod. 2016, 135, 1474–1486. [Google Scholar] [CrossRef]
- Ahi, P.; Searcy, C. A comparative literature analysis of definitions for green and sustainable supply chain management. J. Clean. Prod. 2013, 52, 329–341. [Google Scholar] [CrossRef]
- Linton, J.D.; Klassen, R.; Jayaraman, V. Sustainable supply chains: An introduction. J. Oper. Manag. 2007, 25, 1075–1082. [Google Scholar] [CrossRef]
- Ghosh, D.; Shah, J. A comparative analysis of greening policies across supply chain structures. Int. J. Prod. Econ. 2012, 135, 568–583. [Google Scholar] [CrossRef]
- Zhu, W.; He, Y. Green product design in supply chains under competition. Eur. J. Oper. Res. 2017, 258, 165–180. [Google Scholar] [CrossRef]
- Subramanian, R.; Gupta, S.; Talbot, B. Product design and supply chain coordination under extended producer responsibility. Prod. Oper. Manag. 2009, 18, 259–277. [Google Scholar] [CrossRef]
- Tong, Y.; Li, Y. External Intervention or Internal Coordination? Incentives to Promote Sustainable Development through Green Supply Chains. Sustainability 2018, 10, 2857. [Google Scholar] [CrossRef]
- Song, H.; Gao, X. Green supply chain game model and analysis under revenue-sharing contract. J. Clean. Prod. 2018, 170, 183–192. [Google Scholar] [CrossRef]
- Yang, H.; Luo, J.; Wang, H. The role of revenue sharing and first-mover advantage in emission abatement with carbon tax and consumer environmental awareness. Int. J. Prod. Econ. 2017, 193, 691–702. [Google Scholar] [CrossRef]
- De Giovanni, P. Environmental collaboration in a closed-loop supply chain with a reverse revenue sharing contract. Ann. Oper. Res. 2014, 220, 135–157. [Google Scholar] [CrossRef]
- Xiao, Y.; Yang, S.; Zhang, L.; Kuo, Y.-H. Supply Chain Cooperation with Price-Sensitive Demand and Environmental Impacts. Sustainability 2016, 8, 716. [Google Scholar] [CrossRef]
- Xu, X.; He, P.; Xu, H.; Zhang, Q. Supply chain coordination with green technology under cap-and-trade regulation. Int. J. Prod. Econ. 2017, 183, 433–442. [Google Scholar] [CrossRef]
- Yu, W.; Han, R. Coordinating a Two-Echelon Supply Chain under Carbon Tax. Sustainability 2017, 9, 2360. [Google Scholar] [CrossRef]
- Yi, Y.; Li, J. Cost-sharing contracts for energy saving and emissions reduction of a supply chain under the conditions of government subsidies and a carbon tax. Sustainability 2018, 10, 895. [Google Scholar]
- Xue, J.; Gong, R.; Zhao, L.; Ji, X.; Xu, Y. A Green Supply-Chain Decision Model for Energy-Saving Products That Accounts for Government Subsidies. Sustainability 2019, 11, 2209. [Google Scholar] [CrossRef]
- Li, B.; Zhu, M.; Jiang, Y.; Li, Z. Pricing policies of a competitive dual-channel green supply chain. J. Clean. Prod. 2016, 112, 2029–2042. [Google Scholar] [CrossRef]
- Jamali, M.-B.; Rasti-Barzoki, M. A game theoretic approach for green and non-green product pricing in chain-to-chain competitive sustainable and regular dual-channel supply chains. J. Clean. Prod. 2018, 170, 1029–1043. [Google Scholar] [CrossRef]




© 2019 by the authors. Licensee MDPI, Basel, Switzerland. This article is an open access article distributed under the terms and conditions of the Creative Commons Attribution (CC BY) license (http://creativecommons.org/licenses/by/4.0/).
Share and Cite
Chang, S.; Hu, B.; He, X. Supply Chain Coordination in the Context of Green Marketing Efforts and Capacity Expansion. Sustainability 2019, 11, 5734. https://doi.org/10.3390/su11205734
Chang S, Hu B, He X. Supply Chain Coordination in the Context of Green Marketing Efforts and Capacity Expansion. Sustainability. 2019; 11(20):5734. https://doi.org/10.3390/su11205734
Chicago/Turabian StyleChang, Shan, Bin Hu, and Xiuhong He. 2019. "Supply Chain Coordination in the Context of Green Marketing Efforts and Capacity Expansion" Sustainability 11, no. 20: 5734. https://doi.org/10.3390/su11205734
APA StyleChang, S., Hu, B., & He, X. (2019). Supply Chain Coordination in the Context of Green Marketing Efforts and Capacity Expansion. Sustainability, 11(20), 5734. https://doi.org/10.3390/su11205734
