Road Users’ Behavior at Marked Crosswalks on Channelized Right-Turn Lanes at Intersections in the State of Qatar
Abstract
1. Background
2. Literature Review
3. Users’ Behavior at Marked Crosswalks
- Some pedestrians step down from the sidewalk onto the crosswalk and wait for a gap in the traffic stream. This sometimes compels drivers to yield;
- Sometimes, the pedestrian makes more than one attempt for initiating crossing. This occurs when drivers do not acknowledge the pedestrian’s right of way;
- Some pedestrians start crossing as soon as the approaching vehicle is seen and cross the crosswalk just after a vehicle has passed and before the next one arrives. This is rolling gap acceptance;
- Some pedestrians, who arrive running, maintain the same speed when on the crosswalk. This behavior can be risky, as the pedestrian might not have made accurate judgments about the speed or distance of oncoming vehicles; and
- Some pedestrians appear distracted when they cross. Examples include talking with companions while crossing in groups, using a mobile phone, carrying luggage, grooming, drinking or eating, reading, looking at the surrounding instead of oncoming traffic, searching their bags, carrying a bicycle or umbrella, holding a child’s hand, or pushing a stroller.
4. Data Collection
5. Data Overview
6. Pedestrian Behavior Analysis
6.1. Description of Data
6.2. Statistical Analyses
6.2.1. Waiting Behavior
6.2.2. Crossing Speed
6.2.3. Size of Accepted Gaps
6.2.4. Pedestrians’ Waiting Time Model
7. Driver Yielding Behavior Analysis
7.1. Driver Behavior with Respect to Pedestrians
7.1.1. Overview
7.1.2. Statistical Analysis
7.2. Driver Behavior Based on Vehicle Type
8. Discussion of Results
9. Conclusions
Author Contributions
Funding
Acknowledgments
Conflicts of Interest
Appendix A. Site Photos


Appendix B. Results of Statistical Analysis
| Category | χ2 | p | Phi | Comment |
|---|---|---|---|---|
| Gender | 14.801 | 0.000 | −0.096 | Female pedestrians waited longer than male pedestrians |
| Distraction | 11.144 | 0.001 | 0.083 | Distracted pedestrians waited longer compared to non-distracted pedestrians |
| Group | 7.173 | 0.007 | 0.067 | Pedestrians crossing in groups waited longer compared to pedestrians crossing alone |
| Crossing direction | 15.276 | 0.000 | −0.097 | Pedestrians crossing away from an intersection waited longer compared to pedestrians crossing at an intersection |
| Age group | 0.242 | 0.886 | – | |
| Traffic | 212.137 | 0.000 | 0.362 | Pedestrians facing traffic waited longer compared to pedestrians crossing without traffic or queued traffic |
| Bag | 0.299 | 0.584 | – | |
| Mobile_waiting | 4.111 | 0.043 | 0.05 | Pedestrians using mobile phones waited longer compared to pedestrians crossing without mobile phones |
| Site variation | 90.395 | 0.000 | 0.236 | Pedestrians at the Al Rufaa intersection waited more and those at the Lekhwair intersection waited less compared to other sites. |
| Dressing style | 8.299 | 0.040 | 0.072 | Pedestrians with casual clothes waited longer compared to pedestrians with other dressing styles |
| Crossing location | 10.893 | 0.004 | 0.082 | Pedestrians crossing at a crosswalk waited longer compared to pedestrians crossing near or away from a crosswalk |
| Category | Z | p | Comment |
|---|---|---|---|
| Gender | −2.798 | 0.005 | Female pedestrians waited 69.2% longer than male pedestrians. |
| Crossing direction | −3.288 | 0.001 | Pedestrians crossing toward the intersection waited 43.8% longer than pedestrians crossing away from the intersection. |
| Distraction | −2.8 | 0.000 | Distracted pedestrians waited 81.7% longer than non-distracted pedestrians. |
| Group | −2.283 | 0.022 | Pedestrians crossing in groups waited 30.5% longer than pedestrians crossing alone. |
| Mobile_waiting | −0.805 | 0.421 | – |
| Bag | −1.215 | 0.224 | – |
| Crossing location | 2.093 | 0.351 | – |
| Age group | 20.746 | 0.000 | Children and older pedestrians waited longer than middle-aged pedestrians. |
| Dressing style | 11.234 | 0.011 | Pedestrians wearing formal and worker clothes waited for less time than pedestrians dressed casually and traditionally. |
| Site variation | 8.603 | 0.035 | Pedestrians waited the longest at the Al Meena intersection and the shortest at the Lekhwair intersection. |
| Category | Z | p | Comment |
|---|---|---|---|
| Gender | −6.906 | 0.000 | Male pedestrians walked 13.45% faster than female pedestrians. |
| Age group | 27.922 | 0.000 | Older pedestrians were the slowest and young pedestrians the fastest. |
| Crossing direction | −3.457 | 0.001 | Pedestrians walked 3.42% faster when crossing away from an intersection. |
| Distraction | −7.854 | 0.000 | Non-distracted pedestrians walked 12.64% faster than distracted pedestrians. |
| Group | −7.483 | 0.000 | Pedestrians crossing alone walked 10.71% faster than pedestrians crossing in groups. |
| Mobile_crossing | −1.019 | 0.308 | – |
| Bag | −3.188 | 0.001 | Pedestrians crossing without bags walked 5.23% faster than pedestrians with bags. |
| Crossing location | 4.98 | 0.083 | – |
| Crossing path | 33.572 | 0.000 | Pedestrians crossing using oblique paths were faster than other pedestrians. |
| Wait | −1.602 | 0.109 | – |
| Conflict | −2.255 | 0.024 | Pedestrians crossing with conflict walked 2.57% faster than pedestrians crossing without conflict. |
| Dressing style | 13.281 | 0.004 | Pedestrians wearing worker clothes were the fastest and pedestrians dressed traditionally were the slowest. |
| Site variation | 160.576 | 0.000 | Pedestrians crossed at highest speeds at the Al Rufaa intersection. Pedestrians at the City center site had the lowest crossing speeds. |
| Category | Z | p | Comment |
|---|---|---|---|
| Gender | −4.58 | 0.000 | Females accepted 23.4% larger gaps than males. |
| Age group | 14.845 | 0.002 | Children required the largest gaps in traffic. Middle-aged and young pedestrians accepted the same average gaps. |
| Crossing direction | −3.938 | 0.000 | Pedestrians crossing towards the intersection accepted 15.3% larger gaps than pedestrians crossing away from the intersection. |
| Distraction | −3.247 | 0.001 | Distracted pedestrians accepted 33.9% larger gaps than non-distracted pedestrians. |
| Group | −4.496 | 0.000 | Pedestrians crossing in groups accepted 19.8% larger gaps than pedestrians crossing alone. |
| Mobile_waiting | −2.269 | 0.023 | Pedestrians without a mobile phone accepted 28.8% larger gaps than pedestrians crossing with a mobile phone. |
| Bag | −2.747 | 0.006 | Pedestrians with bags accepted 18.5% larger gaps than pedestrians without bags. |
| Crossing location | 0.144 | 0.931 | – |
| Wait | −2.842 | 0.004 | Pedestrians who did not wait accepted 9.15% larger gaps compared with pedestrians who waited before crossing. |
| Dressing style | 1.448 | 0.694 | – |
| Site variation | 174.468 | 0.000 | The Al Meena site had the largest accepted gaps and the Al Rufaa intersection had the smallest accepted gaps. |
| Category | χ2 | p | Phi | Comment |
|---|---|---|---|---|
| Gender | 4.397 | 0.036 | −0.067 | Drivers yielded more to female pedestrians than male pedestrians |
| Distraction | 0.333 | 0.564 | – | – |
| Group | 3.021 | 0.082 | – | – |
| Crossing direction | 1.267 | 0.26 | – | – |
| Age group | 3.76 | 0.052 | – | – |
| Bag | 3.267 | 0.071 | – | – |
| Mobile_waiting | 0.158 | 0.691 | – | – |
| Site variation | 39.318 | 0.000 | 0.201 | Drivers at the Al Rufaa intersection yielded the most and drivers at the Al Meena intersections yielded the least compared with other sites |
| Dressing style | 2.989 | 0.393 | – | – |
| Crossing location | 1.845 | 0.397 | – | – |
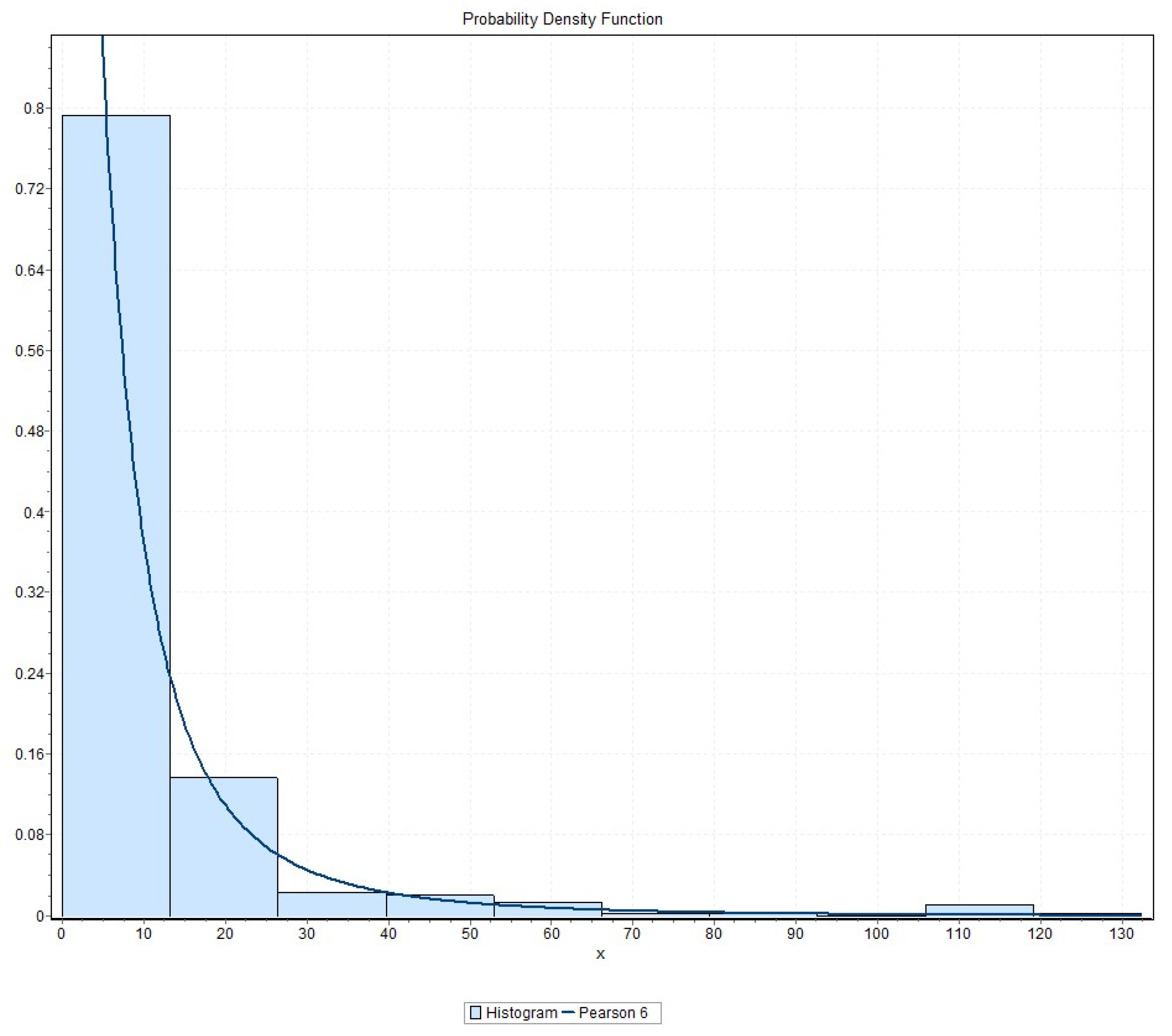
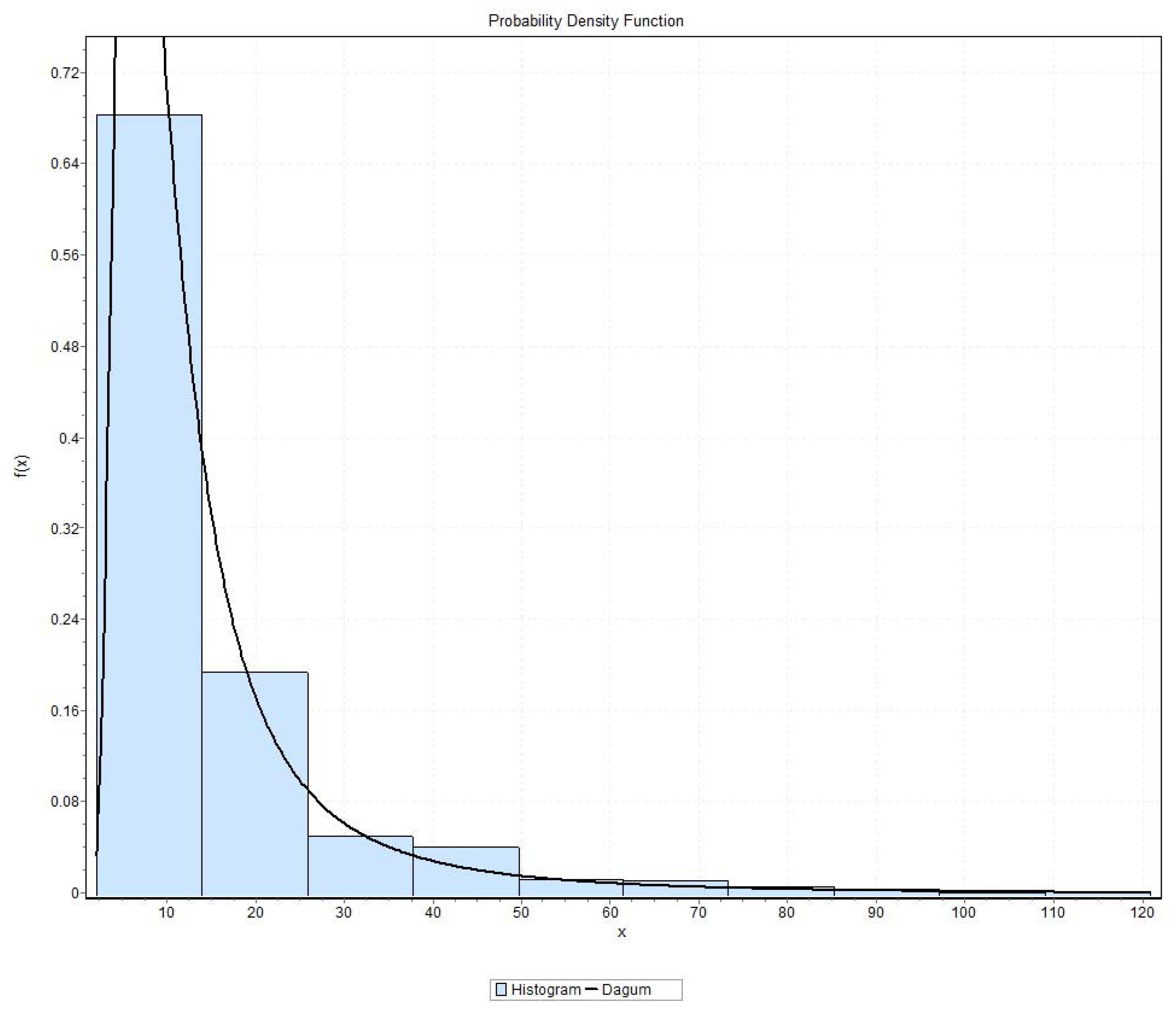
Appendix C. Details of Distributions
Waiting time

Crossing speed

Accepted gap

References
- QTL. Qatar Traffic Law 19–2007. State of Qatar. 2007. Available online: http://www.almeezan.qa/LawPage.aspx?id=3993&language=en (accessed on 17 January 2017).
- MOI. List of Traffic Violations that can be Settled by Paying Fines. Ministry of Interior, General Traffic Directorate. 2007. Available online: https://www.moi.gov.qa/site/english/departments/traffic/violations/point2.doc (accessed on 2 January 2017).
- National Road Safety Strategy 2018 Qatar Action Plan Sectors 2018–2022; National Traffic Safety Committee: State of Qatar, Doha, January 2018.
- Cherry, C.; Donlon, B.; Yan, X.; Moore, S.E.; Xiong, J. Illegal mid-block pedestrian crossings in China: Gap acceptance, conflict and crossing path analysis. Int. J. Inj. Control Saf. Promot. 2012, 19, 320–330. [Google Scholar] [CrossRef] [PubMed]
- Shaaban, K.; Muley, D.; Mohammed, A.S. Investigation of Gap Acceptance Behavior for Pedestrians Jaywalking at a Wide Midblock Section. In Proceedings of the Transportation Research Board, 95th Annual Meeting, Washington, DC, USA, 10–14 January 2016. [Google Scholar]
- Shaaban, K.; Muley, D.; Mohammed, A.S. Analysis of illegal pedestrian crossing behavior on a major divided arterial road. Transp. Res. Part F 2018, 54, 124–137. [Google Scholar] [CrossRef]
- Ren, G.; Zhou, Z.; Wang, W.; Zhang, Y.; Wang, W. Crossing behaviors of pedestrians at signalized intersections: Observational study and survey in China. Transp. Res. Rec. 2011, 2264, 65–73. [Google Scholar] [CrossRef]
- Lipovac, K.; Vujanic, M.; Maric, B.; Nesic, M. Pedestrian behavior at signalized pedestrian crossings. J. Transp. Eng. 2013, 139, 165–172. [Google Scholar] [CrossRef]
- Koh, P.P.; Wong, Y.D. Gap acceptance of violators at signalised pedestrian crossings. Accid. Anal. Prev. 2014, 62, 178–185. [Google Scholar] [CrossRef] [PubMed]
- Yang, X.; Abdel-Aty, M.; Huan, M.; Peng, Y.; Gao, Z. An accelerated failure time model for investigating pedestrian crossing behavior and waiting times at signalized intersections. Accid. Anal. Prev. 2015, 82, 154–162. [Google Scholar] [CrossRef]
- Alhajyaseen, W.; Iryo-Asano, M. Studying Critical Pedestrian Behavioral Changes for the Safety Assessment at Signalized Crosswalks. Saf. Sci. 2017, 91, 351–360. [Google Scholar] [CrossRef]
- Peters, D.; Kim, L.; Zaman, R.; Haas, G.; Cheng, J.; Ahmed, S. Pedestrian Crossing Behavior at Signalized Intersections in New York City. Transp. Res. Rec. 2015, 2519, 179–188. [Google Scholar] [CrossRef]
- Rosenbloom, T. Crossing at a red light: Behavior of individuals and groups. Transp. Res. Part F 2009, 12, 389–394. [Google Scholar] [CrossRef]
- Arman, M.A.; Rafe, A.; Kretz, T. Pedestrian Gap Acceptance Behavior, A Case Study: Tehran. In Proceedings of the Transportation Research Board 94th Annual Meeting, Washington, DC, USA, 11–15 January 2015. [Google Scholar]
- Pawar, D.S.; Patil, G.R. Pedestrian temporal and spatial gap acceptance at mid-block street crossing in developing world. J. Saf. Res. 2015, 52, 39–46. [Google Scholar] [CrossRef]
- Kadali, B.R.; Vedagiri, P.; Rathi, N. Models for pedestrian gap acceptance behaviour analysis at unprotected mid-block crosswalks under mixed traffic conditions. Transp. Res. Part F 2015, 32, 114–126. [Google Scholar] [CrossRef]
- Hamed, M.M. Analysis of pedestrians’ behavior at pedestrian crossings. Saf. Sci. 2001, 38, 63–82. [Google Scholar] [CrossRef]
- Li, P.; Bian, Y.; Rong, J.; Zhao, L.; Shu, S. Pedestrian Crossing Behavior at Unsignalized Mid-block Crosswalks around the Primary School. Procedia Soc. Behav. Sci. 2013, 96, 442–450. [Google Scholar] [CrossRef]
- Jamil, R.; Xiong, S.; Kong, X.; Zheng, S.; Fang, Z. Pedestrian crossing patterns preference at a non-signalized crosswalk. Procedia Manuf. 2015, 3, 3353–3359. [Google Scholar] [CrossRef]
- Almodfer, R.; Xiong, S.; Fang, Z.; Kong, X.; Zheng, S. Quantitative analysis of lane-based pedestrian-vehicle conflict at a non-signalized marked crosswalk. Transp. Res. Part F 2016, 42, 468–478. [Google Scholar] [CrossRef]
- Chen, Y.H.; Zhang, H.; Qu, Z.W.; Cao, N.B.; Wei, M.L. Pedestrian Crossing Characteristics on Exclusive Right-Turn Lane with Island. In Proceedings of the Transportation Research Board 94th Annual Meeting, Washington, DC, USA, 11–15 January 2015. [Google Scholar]
- Zhuang, X.; Wu, C. Pedestrian gestures increase driver yielding at uncontrolled mid-block road crossings. Accid. Anal. Prev. 2014, 70, 235–244. [Google Scholar] [CrossRef]
- Samuel, S.; Romoser, M.; Gerardino, L.; Hamid, M.; Gómez, R.; Knodler, M.; Collura, J.; Fisher, D. Effect of advance yield markings and symbolic signs on vehicle-pedestrian conflicts: Field evaluation. Transp. Res. Rec. 2013, 2393, 139–146. [Google Scholar] [CrossRef]
- Guéguen, N.; Eyssartier, C.; Meineri, S. A pedestrian’s smile and drivers’ behavior: When a smile increases careful driving. J. Saf. Res. 2016, 56, 83–88. [Google Scholar] [CrossRef]
- Sandt, L.S.; Marshall, S.W.; Rodriguez, D.A.; Evenson, K.R.; Ennett, S.T.; Robinson, W.R. Effect of a community-based pedestrian injury prevention program on driver yielding behavior at marked crosswalks. Accid. Anal. Prev. 2016, 93, 169–178. [Google Scholar] [CrossRef][Green Version]
- Mwakalonge, J.; Siuhi, S.; White, J. Distracted walking: Examining the extent to pedestrian safety problems. J. Traffic Transp. Eng. 2015, 2, 327–337. [Google Scholar] [CrossRef]
- Schwebel, D.C.; Stavrinos, D.; Byington, K.W.; Davis, T.; O’Neal, E.E.; De Jong, D. Distraction and pedestrian safety: How talking on the phone, texting, and listening to music impact crossing the street. Accid. Anal. Prev. 2012, 45, 266–271. [Google Scholar] [CrossRef] [PubMed]
- Thompson, L.L.; Rivara, F.P.; Ayyagari, R.C.; Ebel, B.E. Impact of social and technological distraction on pedestrian crossing behaviour: An observational study. Inj. Prev. 2013, 19, 232–237. [Google Scholar] [CrossRef] [PubMed]
- Jiang, X.; Wang, W.; Bengler, K.; Guo, W. Analyses of pedestrian behavior on mid-block signalized crosswalk comparing Chinese and German cases. Adv. Mech. Eng. 2015, 7. [Google Scholar] [CrossRef]
- Keltner, D. Don’t Let Power Corrupt You. Harvard Business Review. Available online: https://hbr.org/2016/10/dont-let-power-corrupt-you (accessed on 18 August 2019).
- Holland, C.; Hill, R. The effect of age, gender and driver status on pedestrians’ intentions to cross the road in risky situations. Accid. Anal. Prev. 2007, 39, 224–237. [Google Scholar] [CrossRef] [PubMed]
- Pešić, D.; Antić, B.; Glavić, D.; Milenković, M. The effects of mobile phone use on pedestrian crossing behaviour at unsignalized intersections–Models for predicting unsafe pedestrians behaviour. Saf. Sci. 2016, 82, 1–8. [Google Scholar] [CrossRef]
- Zheng, Y.; Chase, T.; Elefteriadou, L.; Schroeder, B.; Sisiopiku, V.P. Modeling vehicle–pedestrian interactions outside of crosswalks. Simul. Model. Pract. Theory 2015, 59, 89–101. [Google Scholar] [CrossRef]
- Gómez, R.; Samuel, S.; Gerardino, L.; Romoser, M.; Collura, J.; Knodler, M.; Fisher, D. Do advance yield markings increase safe driver behaviors at signalized, marked midblock crosswalks? Driving simulator study. Transp. Res. Rec. 2011, 2264, 27–33. [Google Scholar] [CrossRef]
- Fisher, D.; Garay-Vega, L. Advance yield markings and drivers’ performance in response to multiple-threat scenarios at mid-block crosswalks. Accid. Anal. Prev. 2012, 44, 35–41. [Google Scholar] [CrossRef]
- Guéguen, N.; Meineri, S.; Eyssartier, C. A pedestrian’s stare and drivers’ stopping behavior: A field experiment at the pedestrian crossing. Saf. Sci. 2015, 75, 87–89. [Google Scholar] [CrossRef]
- Sucha, M.; Dostal, D.; Risser, R. Pedestrian-driver communication and decision strategies at marked crossings. Accid. Anal. Prev. 2017, 102, 41–50. [Google Scholar] [CrossRef]
- Gitelman, V.; Carmel, R.; Pesahov, F.; Chen, S. Changes in road-user behaviors following the installation of raised pedestrian crosswalks combined with preceding speed humps, on urban arterials. Transp. Res. Part F 2017, 46, 356–372. [Google Scholar] [CrossRef]
- Clark, S.; Coughenour, C.; Bumgarner, K.; de la Fuente-Mella, H.; Reynolds, C.; Abelar, J. The Impact of Pedestrian Crossing Flags on Driver Yielding Behavior in Las Vegas, NV. Sustainability 2019, 11, 4741. [Google Scholar] [CrossRef]

| Land Use | Description |
|---|---|
| Commercial | Includes small- and medium-sized shops, restaurants, grocery stores, and general stores |
| Commercial and offices | Includes large multi-storey shopping mall and government (ministry offices) in multi-story buildings |
| Offices | Includes multi-story buildings with only offices having banks, government offices, and general post office |
| Recreational | Includes parks and museums |
| Site | Approach (Abbreviation) | Land Use | Cw | Cl (m) | T(°C) | Vv | Δhv Avg (min, max) (s) | Vp Observed (Used) | Δhp Avg (min, max) (s) |
|---|---|---|---|---|---|---|---|---|---|
| Al Rufaa intersection | South-East (SE) | Commercial | 3.00 | 6.01 | 20–26 | 1692 | 5.29 (0.36, 62) | 839 (620) | 10.71 (0,165.64) |
| City center intersection | North-West (NW) | Commercial & offices | 3.03 | 5.52 | 29–37 | 2289 | 7.52 (0.1, 72.2) | 465 (449) | 36.95 (0,349) |
| Lekhwair intersection | North-East (NE) | Offices | 2.70 | 4.57 | 19–22 | 2693 | 14.58 (0.99,427.92) | 354 (280) | 113.32 (0,1129.20) |
| Al Meena intersection | South-East (SE) | Recreational | 3.05 | 5.14 | 26–37 | 2722 | 16.23 (1.0,206) | 160 (126) | 272.25 (0,1954) |
| South-West (SW) | 3.05 | 4.77 | 6162 | 6.95 (0.60,113.68) | 164 (145) | 251.93 (0.04,3639.36) |
| Characteristic | Classification | Frequency | Proportion (%) |
|---|---|---|---|
| Gender | Male | 1422 | 87.8 |
| Female | 198 | 12.2 | |
| Age group | Children | 10 | 0.6 |
| Young | 638 | 39.4 | |
| Middle-aged | 943 | 58.2 | |
| Elder | 29 | 1.8 | |
| Dressing style | Formal | 357 | 22.0 |
| Traditional | 120 | 7.4 | |
| Casual | 1082 | 66.8 | |
| Worker | 61 | 3.8 | |
| Bag | Yes | 647 | 39.9 |
| No | 973 | 60.1 | |
| Group | Yes | 598 | 36.9 |
| No | 1022 | 63.1 | |
| Mobileuse_waiting | Yes | 95 | 5.9 |
| No | 1525 | 94.1 | |
| Mobileuse_crossing | Yes | 75 | 4.6 |
| No | 1545 | 95.4 | |
| Distraction | Yes | 364 | 22.5 |
| No | 1256 | 77.5 | |
| Total | 1620 |
| Characteristic | Classification | Frequency | Proportion (%) |
|---|---|---|---|
| Crossing direction | Toward intersection | 867 | 53.5 |
| Away from intersection | 753 | 46.5 | |
| Crossing path | Perpendicular | 649 | 40.1 |
| Oblique | 908 | 56.1 | |
| Other | 63 | 3.9 | |
| Crossing location | At crosswalk | 815 | 50.3 |
| Near crosswalk | 466 | 28.8 | |
| Away from crosswalk | 339 | 20.9 |
| Characteristic | Average | Minimum | Maximum |
|---|---|---|---|
| Waiting time (s) | 3.84 | 0 | 132.36 |
| Crossing speed (m/s) | 1.35 | 0.38 | 4.53 |
| Accepted gap * (s) | 14.55 | 2.08 | 120.91 |
| Number of conflicting vehicles faced | 1.19 | 0 | 26 |
| Variable | Coefficient | SE | Significance | OR | 95% CI |
|---|---|---|---|---|---|
| Gender | 0.689 | 0.176 | 0.000 | 1.992 | 1.412–2.810 |
| Distraction | 0.485 | 0.140 | 0.001 | 1.624 | 1.234–2.138 |
| Crossing direction | −0.775 | 0.122 | 0.000 | 0.461 | 0.363–0.585 |
| Pedestrians in opposite direction | 0.740 | 0.158 | 0.000 | 2.096 | 1.539–2.854 |
| Conflict | 1.746 | 0.128 | 0.000 | 5.729 | 4.461–7.358 |
| Land use | 0.000 | ||||
| Offices | −1.003 | 0.193 | 0.000 | 0.367 | 0.251–0.535 |
| Recreational | −1.032 | 0.185 | 0.000 | 0.356 | 0.248–0.512 |
| Commercial and ofiices | −0.735 | 0.147 | 0.000 | 0.480 | 0.360–0.639 |
| Constant | −1.052 | 0.142 | 0.000 | 0.349 |
| Variable | Coefficient | Std Error | t-Statistic | Significance |
|---|---|---|---|---|
| Constant | 0.891 | 0.063 | 14.037 | 0.000 |
| NoConVeh | 0.222 | 0.009 | 23.764 | 0.000 |
| Crossing direction | −0.384 | 0.078 | −4.929 | 0.000 |
| Age group | 0.241 | 0.064 | 3.787 | 0.000 |
| Characteristic | Classification | Frequency | Proportion (%) |
|---|---|---|---|
| Driver yielding behavior with respect to pedestrians | Yes | 197 | 12.6 |
| No | 776 | 47.5 | |
| NA * | 647 | 39.9 | |
| Driver yielding behavior based on vehicle type | Sedan | 116 (1056) | 10.98 |
| SUV | 52 (509) | 10.21 | |
| Bus/Truck | 11 (212) | 5.18 | |
| Pickup vehicle | 12 (156) | 7.69 | |
| Van/Taxi | 5 (182) | 5.44 | |
| Motorcycle | 1 (10) | 10 |
© 2019 by the authors. Licensee MDPI, Basel, Switzerland. This article is an open access article distributed under the terms and conditions of the Creative Commons Attribution (CC BY) license (http://creativecommons.org/licenses/by/4.0/).
Share and Cite
Muley, D.; Kharbeche, M.; Downey, L.; Saleh, W.; Al-Salem, M. Road Users’ Behavior at Marked Crosswalks on Channelized Right-Turn Lanes at Intersections in the State of Qatar. Sustainability 2019, 11, 5699. https://doi.org/10.3390/su11205699
Muley D, Kharbeche M, Downey L, Saleh W, Al-Salem M. Road Users’ Behavior at Marked Crosswalks on Channelized Right-Turn Lanes at Intersections in the State of Qatar. Sustainability. 2019; 11(20):5699. https://doi.org/10.3390/su11205699
Chicago/Turabian StyleMuley, Deepti, Mohamed Kharbeche, Lucy Downey, Wafaa Saleh, and Mohammed Al-Salem. 2019. "Road Users’ Behavior at Marked Crosswalks on Channelized Right-Turn Lanes at Intersections in the State of Qatar" Sustainability 11, no. 20: 5699. https://doi.org/10.3390/su11205699
APA StyleMuley, D., Kharbeche, M., Downey, L., Saleh, W., & Al-Salem, M. (2019). Road Users’ Behavior at Marked Crosswalks on Channelized Right-Turn Lanes at Intersections in the State of Qatar. Sustainability, 11(20), 5699. https://doi.org/10.3390/su11205699

