Spatio-Temporal Distributions of the Land Use Efficiency Coupling Coordination Degree in Mining Cities of Western China
Abstract
1. Introduction
2. Data and Methods
2.1. Study Area
2.2. Data Source
2.3. Construction of the Evaluation Index System
2.4. Data Standardization and Weight Determination
2.5. Evaluation Index Calculation
2.6. Coupling Coordination Model
2.7. Spatial Autocorrelation Analysis
3. Results and Discussion
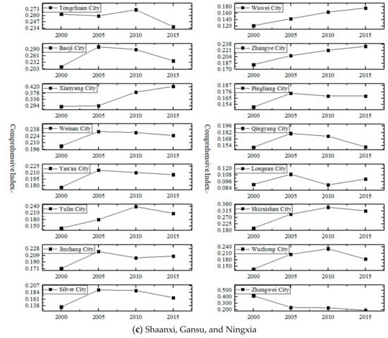
3.1. Measure of Comprehensive Level of Land Use Efficiency
3.2. Measured and Spatio-Temporal Distribution of the Land Use Efficiency Coupling Coordination Degree
3.2.1. Coupling Coordination Degree
3.2.2. Spatial Distribution of Mining Cities
- (1)
- Reluctant coupling coordination: From 2000 to 2005 and from 2010 to 2015, Zhongwei city decreased from a low level of coupling coordination to reluctant coupling coordination; from 2010 to 2015, Baoji city decreased from low coupling coordination to reluctant coupling coordination; in 2000, Baotou city was at a reluctant coupling coordination level; Chifeng city was at a reluctant coupling coordination level in 2000 and 2005; Chifeng city was at a reluctant coupling coordination level in 2015; Erdos city was at a reluctant coupling coordination level from 2000 to 2005; and in 2015, Zhaotong was at a reluctant coupling coordination level;
- (2)
- Low level of coupling coordination: During the research period, the number of low-coupling coordination cities in the research units of mining cities of western China experienced a process of first increasing and then decreasing. From 2000 to 2015, Shizuishan city increased from a reluctant coupling coordination level to a low level of coupling coordination; from 2010 to 2015, Zhongwei city increased from a reluctant coupling coordination level to a low level of coupling coordination; from 2000 to 2015, Baoji city increased from a reluctant coupling coordination level to a low level of coupling coordination; from 2010 to 2015, Xian Yang city increased from a reluctant coupling coordination level to a low level of coupling coordination; from 2000 to 2005, Panzhihua city and Zigong city were at a low coupling coordination level; from 2015, Ya’an city, Panzhihua city, and Zigong city were at a low coupling coordination level; from 2000 to 2015, Wuhai city and Hulunbeier city were at a low coupling coordination level; in 2005, Baotou city was at low-level coupling coordination; in 2015, Baotou city was at a moderate coupling coordination level and Chifeng city was at a low-level coupling coordination level; and Erdos city was at a low coupling coordination level from 2010 to 2015;
- (3)
- Moderate coupling coordination: Baotou city and Karamay city achieved moderate coupling coordination levels in 2010. The discussion is based on the above analysis of the coupling coordination degrees, which were mainly dominated by reluctant and low levels. The coupling coordination degree presented three types (reluctant, low, and moderate), and no city was in the phase of high-level coupling coordination. The radiation driving effect of the core city is obvious.
3.3. Spatio-Temporal Correlation Analysis of the Land Use Efficiency Coupling Coordination Degree
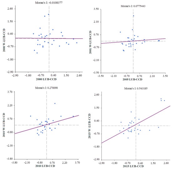
3.3.1. Global Spatial Autocorrelation Analysis of the Land Use Efficiency Coupling Coordination Degree
3.3.2. Local Spatial Autocorrelation Analysis of the Land Use Efficiency Coupling Coordination Degree
4. Conclusions
- (1)
- Land use efficiency in the mining cities of western China gradually increased with relatively little variability and overall stability; land use efficiency had a staged distribution and showed different change trends with various time nodes. In 2010, the trends fluctuated noticeably;
- (2)
- Spatial and temporal distribution characteristics of the coupling coordination degree: From 2000 to 2015, the land use efficiency coupling coordination degree ranged from 0.1620 to 5.503. There were three coupling coordination stages (reluctant, low, and moderate level). These were mainly dominated by reluctant and low levels of the coupling coordination degree. The coupling coordination level was relatively low. The different cities of coupling coordination developed produced temporal and spatial differences in the process of their evolution; Baotou city, Wuhai city, Erdos city, and Karamay city had a relatively high coupling coordination degree and played the leading role as the core cities;
- (3)
- Spatial autocorrelation analysis of the coupling coordination degree: Land use benefits in mining cities of western Chia showed positive and negative spatial autocorrelations. In 2015, the spatial positive correlation among research units was relatively large. Shizuishan city, Ordos city, and Wuhai city had higher coupling coordination degrees, which is consistent with the result of spatial distribution characteristics (Figure 4). During the study period, only Shizuishan city, Ordos city, Wuhai city, and Jinchang city showed significant aggregation types. In 2005, 2010, and 2015, Ordos City was among the “high-high” aggregation type. Other cities had a low coupling coordination degree;
- (4)
- In this paper, we selected a specific time of point as the study time scale, due to the limitation of data acquisition. The study on the long-term spatio-temporal evolution and law of land use benefits was affected. In future studies, the accuracy of indicators needs to be improved. Furthermore, MODIS data and Landsat data should be adopted, which can be explored from a land use classification perspective, and the long-term scale of the evolutionary mechanisms and reasons will be explored.
Author Contributions
Funding
Acknowledgments
Conflicts of Interest
References
- Junker, J.; Boesch, C.; Freeman, T.; Stephens, C.; Kuhl, H.S. Integrating wildlife conservation with conflicting economic land-use goals in a West African biodiversity hotspot. Basic Appl. Ecol. 2015, 16, S1439179115000985. [Google Scholar] [CrossRef]
- Angel, D.; Rock, M.T. Environmental rationalities and the development state in East Asia: Prospects for a sustainability transition. Technol. Forecast. Soc. Chang. 2009, 76, 229–240. [Google Scholar] [CrossRef]
- Yang, X.; Wu, Y.; Dang, H. Urban Land Use Efficiency and Coordination in China. Sustainability 2017, 9, 410. [Google Scholar] [CrossRef]
- Zheng, P. View urban land use and appreciation from qianjiang new city. Zhejiang Econ. 2003, 17, 60–61. (In Chinese) [Google Scholar]
- Zhu, B.S. Research on Urban Management Strategy of Dalian City; Dalian University of Technology: Dalian, China, 2003. (In Chinese) [Google Scholar]
- Fujita, M. Towards General Equilibrium Models of Urban Land Use. Rev. Écono. 1985, 36, 135–167. [Google Scholar]
- Nie, Y.; Yu, J.; Hu, J.; Ye, Z. An Evaluation on Intensive Use of Urban Land in Wuhan City Based on a System Coordination Degree Model. Resour. Sci. 2009, 31, 1934–1939. (In Chinese) [Google Scholar]
- Bertaud, A.; Malpezzi, S. Measuring the Costs and Benefits of Urban Land Use Regulation: A Simple Model with an Application to Malaysia. J. Hous. Econ. 2001, 10, 393–418. [Google Scholar] [CrossRef]
- Zhang, Y.Y. Analysis of Coupling Mechanism and Space-Time Coordination of Industrialization and Urbanization in Regions of China. Urban Stud. 2006, 6, 46–51. [Google Scholar]
- Fischer, M.M. Handbook of Regional Science; Springer: Heidelberg, Germany, 2014. [Google Scholar]
- Liu, M.; Feng, C.C.; Cao, G.Z. Coupling Analysis of Urban Land Input-Output Efficiency and Urbanization Rate in China; China Land Sciences: Beijing, China, 2014. (In Chinese) [Google Scholar]
- Ban, Y.Y.; Huang, H. Evaluation on the Coupling and Coordination Development between Land Use Benefits and Urbanization in Qinzhou, Guangxi. J. Guangxi Teach. Educ. Univ. 2015, 1, 120–125. (In Chinese) [Google Scholar]
- Feng, G.; Chen, S. A Research on the Urban Land Use Benefit and Urbanization by the Perspective of Coupling Coordination—A Case Study of Xiamen and Shenzhen. J. Taiyuan Norm. Univ. 2015, 14, 70–75. (In Chinese) [Google Scholar]
- Hou, Q.; Mi, W.; Wang, L.; Li, J.J.; Li, M.H. The coupling coordination analysis between urban land use benefits and urbanization in Zhejiang Province. J. Agric. Sci. 2017, 38, 1–7. [Google Scholar]
- Wang, L.; Wang, Y.; Zhang, Y. Coupling Coordination Degree of Urban Land Use Benefit and Urbanization: A Case of 27 Cites in the Bohai Rim Region. Ecol. Econ. 2017, 33, 25-28; 74. (In Chinese) [Google Scholar]
- Song, C.S.; Chen, Z.; Zhai, W.X. Analysis of Sequential Characteristic of Coupling Coordination Degree between Urbanization and Resources-Environment in Hubei Province. Adv. Mater. Res. 2014, 1073, 1380–1386. [Google Scholar] [CrossRef]
- Liu, X.; Sun, T.S. Analysis on Coupling Coordination Relationship between Urban Intensive Land Use and Urbanization in Shaanxi Province. Res. Soil Water Conserv. 2015, 22, 299; 304. [Google Scholar]
- Wang, Y.; Song, Q.; Shun, C.; Zheng, X. Coupling Coordination Analysis of Urban Land Intensive Use Benefits Based on TOPSIS Method in Xianning City. Adv. Mater. Res. 2015, 1073, 1387–1392. [Google Scholar] [CrossRef]
- Bai, S.; Yang, Y.C.; Shi, K.B. The research on the coupling and coordination development between urban land use benefits and urbanization of valley city in Western China. World Reg. Stud. 2016, 25, 87–95. [Google Scholar]
- Polat, E. An Approach for Land-Use Suitability Assessment Using Decision Support Systems, AHP and GIS. Green Ecol. Technol. Urban Plan. Creat. Smart Cities 2012, 3, 157–171. [Google Scholar]
- Bivand, R. Spatial Data Analysis: Theory and Practice. By Robert Haining (Cambridge: Cambridge University Press, 2003). [Pp. xx+432]. ISBN 0-521-77437-3. Price £29.95 Paperback. ISBN 0-521-77319-9. Price £80. Hardback. Int. J. Geogr. Inf. Sci. 2004, 18, 300–301. [Google Scholar] [CrossRef]
- Murdiyarso, D.; Noordwijk, M.; Wasrin, U.R.; Tomich, T.P.; Gillison, A.N. Environmental benefits and sustainable land-use options in the Jambi transect, Sumatra. J. Veg. Sci. 2010, 13, 429–438. [Google Scholar] [CrossRef]
- Rodenburg, C.A.; Nijkamp, P. Assessment of Multifunctional Urban Land Use Benefits an Actor-Oriented Framework. Stud. Reg. Sci. 2007, 36, 323–343. [Google Scholar] [CrossRef][Green Version]
- Oladapo, O. Multiple Land Use Benefits of Peri-urban Forest (Arakanga Forest Reserve, Ogun State, Nigeria): Perception of Resource Users and its Implication. Int. J. Mol. Ecol. Conserv. 2012, 2, 26–31. [Google Scholar]
- Awuah, K.G.B.; Hammond, F.N.; Lamond, J.E. Benefits of urban land use planning in Ghana. Geoforum 2014, 51, 37–46. [Google Scholar] [CrossRef]
- Liu, H.; Zhang, Y.; Zheng, W.S. The spatial and temporal coupling of urban land intensive utilization and regional urbanization is coordinated development evaluation-taking the City of Bohai Sea as an example. Geogr. Res. 2011, 30, 1805–1817. (In Chinese) [Google Scholar]
- Cao, Y.Y.; Bao, Z.J. Study on the coupling coordination between economic and social resources and environment in Lanzhou-empirical test of data from 1995 to 2014. Estate Scie. Trib. 2018, 17, 90–92. (In Chinese) [Google Scholar]
- Zhan, W.J.; Yang, G.Q.; Lan, Z.Y. Coupling and Coordinating about Chinese Land Use and Ecological Security. J. Guangdong Univ. Technol. 2018, 35, 88–96. (In Chinese) [Google Scholar]
- Su, H.Z.; Wu, Z.J.; Dong, H.Z. Study on the coordinated development of population-economy and ecology coupling of the efficient ecological economic zone of the Yellow River delta—based on principal component analysis and coupling coordination model. J. Shandong Univ. Technol. (Nat. Sci. Ed.) 2018, 2, 5. (In Chinese) [Google Scholar]
- Abasi, G.; Kasimu, A. Coupling and Coordination Degree between Land Use Efficiency and Urbanization Level in Southern Xinjiang. Chin. Agric. Sci. Bull. 2016, 32, 91–97. [Google Scholar]
- Li, Q.F.; Cong, P.; Yang, H.T.; Li, H.F. Application of AHP Based on Entropy Weight for Risk Identification in Bridge Construction. Adv. Mater. Res. 2011, 243, 1871–1875. [Google Scholar] [CrossRef]
- Luo, W.; Li, Y.; Chen, D. The evaluation model of a country’s health care system based on AHP and entropy weight method. Int. J. Appl. Math. Stat. 2014, 52, 70–83. [Google Scholar]
- Faber, D.S.; Korn, H. Applicability of the coefficient of variation method for analyzing synaptic plasticity. Biophys. J. 1991, 60, 1288–1294. [Google Scholar] [CrossRef]
- Wang, Z.X.; Li, Q.; Pei, L.L. A seasonal GM (1,1) model for forecasting the electricity consumption of the primary economic sectors. Energy 2018, 154, 522–534. [Google Scholar] [CrossRef]
- Moore, B. Principal component analysis in linear systems: Controllability, observability, and model reduction. IEEE Trans. Autom. Control 1981, 26, 17–32. [Google Scholar] [CrossRef]
- Liu, J.S.; Ma, Y.F.; Wu, B. The Spatial and Temporal Differences Dynamic Analysis of the Coupling Coordination about the Inbound Tourists Flows and Regional Economic—Based on the 31 Provinces Regional Panel Data from 1993 to 2011. Econ. Manag. J. 2015, 37, 33–43. [Google Scholar]
- Zhang, M.; Dong, Y. Coupling Coordination Degree of Urban Land Use Benefit and Urbanization. Resour. Sci. 2014, 36, 8–16. (In Chinese) [Google Scholar]
- Wu, J.H.; Wu, K.J.; Li, C.X.; Liu, H.; Wang, S.Y.; Wang, C.G. Study on coupling coordination degree and spatial difference of land use economic benefit taking beijing-tianjin-hebei region as an example. J. China Agric. Resour. Reg. 2017, 38, 38–44. (In Chinese) [Google Scholar]
- Ai, J.; Feng, L.; Dong, X. Exploring coupling coordination between urbanization and ecosystem quality (1985–2010): A case study from Lianyungang City, China. Front. Earth Sci. 2016, 10, 527–545. [Google Scholar] [CrossRef]
- Fan, P.; Guo, C.Y.; Liu, Z.D.; Duan, P.H.; Chen, C.Y.; Liang, L.T. Evaluation of Coupling Coordination Degree between Urbanization and Intensive Use of Urban Land and Their Spatial Pattern Analysis. J. Henan Univ. 2016, 46, 351–359. (In Chinese) [Google Scholar]
- Hua, M. Study on Spatial and Temporal Coupling of Land Use Efficiency and Economic Development in Urban Agglomeration of the Middle Reaches of the Yangtze River; Wuhan University: Wuhan, China, 2017. (In Chinese) [Google Scholar]
- Wu, J.T.; Tu, J.J.; Yan, X.; Zhou, Y. Study on the Coupling Mechanism between Urban Land Use Benefits and Urbanization in China. Urban Stud. 2011, 18, 42-45; 63. [Google Scholar]
- Yu, S.; Yin, C. Analyzing the Coupling Coordination among Economic, Social, and Environmental Benefits of Urban Infrastructure: Case Study of Four Chinese Autonomous Municipalities. Math. Prob. Eng. 2018, 2018, 1–13. [Google Scholar]
- Siderov, K. Spatial Data Analysis: Theory and Practice. Austral. Ecol. 2010, 30, 240–241. [Google Scholar] [CrossRef]
- Lei, D.; Wei, T.Z.; Ya, L.H. Research on the Coupling Coordination Relationship between Urbanization and the Air Environment: A Case Study of the Area of Wuhan. Atmosphere 2015, 6, 1539–1558. [Google Scholar]
- Zhou, Z.L.; Cao, Q.Q. Coupling coordination degree model of oil-economy-environment system in the western region. In Proceedings of the International Conference on Management Science & Engineering, Helsinki, Finland, 17–19 August 2014. [Google Scholar]
- Hu, P.; Wang, J.; Jiang, Y. Analysis of Spatial-temporal Coupling for Urban Travel Demand and Land Use. In Proceedings of the International Conference on Optoelectronics & Image Processing, Haikou, China, 11–12 November 2010. [Google Scholar]
- Li, X.K.; Ren, Q.S. Study on coupling and coordinating relationship between rural change and rural transformation in poor areas of southwest China. Chin. J. Agric. Resour. Reg. Plan. 2019, 40, 37–45. (In Chinese) [Google Scholar]
- Nolè, G.; Danese, M.; Murgante, B. Using Spatial Autocorrelation Techniques and Multi-temporal Satellite Data for Analyzing Urban Sprawl. Lect. Notes Comput. Sci. 2012, 7335, 512–527. [Google Scholar]
- Jiang, G.; He, X.; Ma, W. Rural settlements spatial pattern evolution and zoning district based on spatial autocorrelation. Trans. Chin. Soc. Agric. Eng. 2015, 31, 265–273. [Google Scholar]
- Zhao, L.; Li, L.; Wu, Y. Research on the Coupling Coordination of a Sea–Land System Based on an Integrated Approach and New Evaluation Index System: A Case Study in Hainan Province, China. Sustainability 2017, 9, 859. [Google Scholar] [CrossRef]
- Jia, Q.; Yun, Y.; Yin, Z. Spatial and Temporal Coupling Analysis of Land Use Efficiency and Urbanization Level of City-Regions—An Empirical Study of Three Big City-Regions in China. Mod. Urban Res. 2014, 8, 11. [Google Scholar]
- Anselin, L. Exploratory Spatial Date with GeoDA: A Workbook. Goleta; Center for Spatially Integrated Social Science: Santa Barbara, CA, USA, 2005. [Google Scholar]
- Pan, J.H.; Shi, P.J. Spatial Differentiation of Comprehensive Land Use Efficiency in Gansu Province. Soils 2010, 42, 658–663. (In Chinese) [Google Scholar]
- Anselin, L.; Mccann, M. Open GeoDa, open source software for the exploration and visualization of geospatial data. In Proceedings of the 17th ACM SIGSPATIAL International Symposium on Advances in Geographic Information Systems, ACM-GIS 2009, Seattle, WA, USA, 4–6 November 2009; ACM: New, York, NY, USA, 2009. [Google Scholar]







| Criteria Layer | NO. | Index Layer | Attribute | Weight 2000 | Weight 2005 | Weight 2010 | Weight 2015 |
|---|---|---|---|---|---|---|---|
| Economic benefits | X1 | GDP per square kilometer (ten thousand Yuan/km2) | + | 0.0635 | 0.0749 | 0.0929 | 0.0889 |
| X2 | Proportion of the tertiary industry for GDP (%) | + | 0.0113 | 0.0189 | 0.0142 | 0.0409 | |
| X3 | Total fixed assets investment per square kilometer (ten thousand Yuan/km2) | + | 0.0402 | 0.0867 | 0.0766 | 0.0782 | |
| X4 | Added value of the secondary and tertiary industries per square kilometer (a hundred million Yuan/km2) | + | 0.1231 | 0.08 | 0.0854 | 0.0937 | |
| X5 | Total profit of industrial enterprises per square kilometer (ten thousand Yuan/km2) | + | 0.1044 | 0.1737 | 0.1475 | 0.0521 | |
| Ecological benefits | X6 | Utilization of industrial solid waste (%) | + | 0.032 | 0.0332 | 0.0216 | 0.021 |
| X7 | Green coverage rate of built-up area (%) | + | 0.023 | 0.026 | 0.0148 | 0.0142 | |
| X8 | Innocuous treatment rate of domestic waste (%) | + | 0.0213 | 0.0265 | 0.0245 | 0.0138 | |
| X9 | Park green area (hectare) | + | 0.0714 | 0.0846 | 0.0695 | 0.0613 | |
| X10 | Centralized processing rate of wastewater treatment plant (%) | + | 0.034 | 0.0382 | 0.0287 | 0.0085 | |
| X11 | Amount of industrial wastewater discharge (ten thousand tons/km2) | − | 0.0146 | 0.0151 | 0.0139 | 0.0067 | |
| X12 | Amount of industrial sulfur dioxide emission (tons/km2) | − | 0.0055 | 0.0058 | 0.0067 | 0.0062 | |
| Social benefits | X13 | Population density (people/km2) | − | 0.012 | 0.0159 | 0.0175 | 0.0182 |
| X14 | Urban road area per capita (m2) | + | 0.0481 | 0.0444 | 0.0814 | 0.1001 | |
| X15 | Total number of public library collections per ten thousand people (one thousand volumes or copies/ten thousand people) | + | 0.1922 | 0.0852 | 0.0936 | 0.1859 | |
| X16 | The number of college students per ten thousand people (students/ten thousand people) | + | 0.1011 | 0.0928 | 0.1142 | 0.1027 | |
| X17 | The number of hospital beds per ten thousand people (beds/ten thousand people) | + | 0.0184 | 0.0432 | 0.0502 | 0.0464 | |
| X18 | The number of public buses per ten thousand people (buses/ten thousand people) | + | 0.0839 | 0.0551 | 0.0469 | 0.0612 |
| Coupling Coordination Degree (D) | ||||
|---|---|---|---|---|
| Coupling coordination stage | Reluctant coupling coordination | A low level of coupling coordination | Moderate coupling coordination | A high level of coupling coordination |
| City | 2000 | 2005 | 2010 | 2015 |
|---|---|---|---|---|
| Coupling Coordination Degree | Coupling Coordination Degree | Coupling Coordination Degree | Coupling Coordination Degree | |
| Baotou City | 0.2986 | 0.4078 | 0.5503 | 0.3754 |
| Wuhai City | 0.3387 | 0.4026 | 0.4945 | 0.392 |
| Chifeng City | 0.1866 | 0.1848 | 0.3534 | 0.2181 |
| Ordos City | 0.2143 | 0.2466 | 0.4465 | 0.3745 |
| Hulunbeir City | 0.2297 | 0.1978 | 0.3032 | 0.2389 |
| Zigong City | 0.3258 | 0.3167 | 0.4013 | 0.3154 |
| PanzhiHua City | 0.3684 | 0.3575 | 0.4378 | 0.3326 |
| Guangyuan City | 0.1961 | 0.2108 | 0.3783 | 0.2193 |
| Nanchong City | 0.2718 | 0.2657 | 0.4081 | 0.2581 |
| Yi bin City | 0.2288 | 0.2405 | 0.386 | 0.2201 |
| Guang’an City | 0.1926 | 0.2441 | 0.3238 | 0.2037 |
| Dazhou City | 0.2145 | 0.2341 | 0.364 | 0.1808 |
| Ya’an City | 0.2486 | 0.2748 | 0.4227 | 0.3074 |
| Liu panshuiCity | 0.2069 | 0.2438 | 0.3802 | 0.2675 |
| An shun City | 0.1953 | 0.2155 | 0.3482 | 0.2235 |
| Qujing City | 0.2074 | 0.2307 | 0.4214 | 0.2179 |
| Baoshan City | 0.1744 | 0.1869 | 0.3178 | 0.204 |
| Zhaotong City | 0.1873 | 0.1752 | 0.304 | 0.162 |
| Lincang City | 0.1842 | 0.1834 | 0.3058 | 0.1809 |
| Tongchuan City | 0.2788 | 0.2742 | 0.4319 | 0.2603 |
| Baoji City | 0.2498 | 0.3013 | 0.4481 | 0.2619 |
| Xian yang City | 0.2836 | 0.3136 | 0.476 | 0.3608 |
| Weinan City | 0.2458 | 0.2533 | 0.3958 | 0.2393 |
| Yan’an City | 0.2347 | 0.2519 | 0.3709 | 0.2325 |
| Yulin City | 0.2144 | 0.2277 | 0.405 | 0.2373 |
| Jinchang City | 0.2423 | 0.2578 | 0.3476 | 0.2404 |
| Silver City | 0.2033 | 0.2193 | 0.3484 | 0.2089 |
| Wuwei City | 0.1874 | 0.1796 | 0.309 | 0.2088 |
| Zhangye City | 0.2281 | 0.2009 | 0.3358 | 0.254 |
| Pingliang City | 0.2161 | 0.217 | 0.3408 | 0.2131 |
| Qingyang City | 0.222 | 0.2224 | 0.3327 | 0.2074 |
| Longnan City | 0.1706 | 0.1646 | 0.2516 | 0.168 |
| Shizuishan City | 0.2254 | 0.3001 | 0.4742 | 0.3093 |
| Wuzhong City | 0.1997 | 0.2181 | 0.3663 | 0.2219 |
| Zhongwei City | 0.3075 | 0.2307 | 0.3688 | 0.2213 |
| Karamay City | 0.4331 | 0.4837 | 0.513 | 0.3849 |
| The I Quadrant | The II Quadrant | ||||||
|---|---|---|---|---|---|---|---|
| 2000 | 2005 | 2010 | 2015 | 2000 | 2005 | 2010 | 2015 |
| Tongchuan | Baotou | Baotou | Baotou | Wuzhong | Dazhou | Zhaotong | An shun |
| Xianyang | Ordos | Ordos | Ordos | Ordos | Guangyuan | Liu panshui | Guangyuan |
| Weinan | Wuhai | Wuhai | Wuhai | Guangyuan | Guang’an | An shun | Yi bin |
| Yan’an | Tongchuan | Yi bin | Tongchuan | Guang’an | Yi bin | Guangyuan | Pingliang |
| Longnan | Xian yang | Zigong | Baoji | Silver | Pingliang | Guang’an | Qingyang |
| Weinan | Tongchuan | Yi bin | Longnan | Pingliang | Longnan | ||
| Yan’an | Xian yang | Qingyang | Qingyang | Weinan | |||
| Weinan | Pingliang | Longnan | Yan’an | ||||
| □ | □ | □ | □ | Longnan | □ | Yan’an | □ |
| The III Quadrant | The IV Quadrant | ||||||
|---|---|---|---|---|---|---|---|
| 2000 | 2005 | 2010 | 2015 | 2000 | 2005 | 2010 | 2015 |
| Baoshan | Wuzhong | Wuzhong | Wuzhong | Zhongwei | Nanchong | Qujing | Liupanshui |
| Lincang | Zhongwei | Zhongwei | Zhongwei | Baotou | Zigong | Nanchong | Nanchong |
| Qujing | Baoshan | Baoshan | Baoshan | Wuhai | Jinchang | Baoji | Zigong |
| Zhaotong | Lincang | Lincang | Lincang | Nanchong | Baoji | Yulin | Zhangye |
| Liupanshui | Qujing | Dazhou | Qujing | Zigong | Xian yang | ||
| An shun | Zhaotong | Jinchang | Zhaotong | Jinchang | |||
| Wuwei | Liupanshui | Silver | Dazhou | Baoji | |||
| Zhangye | An shun | Wuwei | Guang’an | ||||
| Yulin | Silver | Zhangye | Jinchang | ||||
| Wuwei | Silver | ||||||
| Zhangye | Wuwei | ||||||
| Qingyang | Yulin | ||||||
| □ | Yulin | □ | □ | □ | □ | □ | □ |
© 2019 by the authors. Licensee MDPI, Basel, Switzerland. This article is an open access article distributed under the terms and conditions of the Creative Commons Attribution (CC BY) license (http://creativecommons.org/licenses/by/4.0/).
Share and Cite
Yuan, J.; Bian, Z.; Yan, Q.; Pan, Y. Spatio-Temporal Distributions of the Land Use Efficiency Coupling Coordination Degree in Mining Cities of Western China. Sustainability 2019, 11, 5288. https://doi.org/10.3390/su11195288
Yuan J, Bian Z, Yan Q, Pan Y. Spatio-Temporal Distributions of the Land Use Efficiency Coupling Coordination Degree in Mining Cities of Western China. Sustainability. 2019; 11(19):5288. https://doi.org/10.3390/su11195288
Chicago/Turabian StyleYuan, Junfang, Zhengfu Bian, Qingwu Yan, and Yuanqing Pan. 2019. "Spatio-Temporal Distributions of the Land Use Efficiency Coupling Coordination Degree in Mining Cities of Western China" Sustainability 11, no. 19: 5288. https://doi.org/10.3390/su11195288
APA StyleYuan, J., Bian, Z., Yan, Q., & Pan, Y. (2019). Spatio-Temporal Distributions of the Land Use Efficiency Coupling Coordination Degree in Mining Cities of Western China. Sustainability, 11(19), 5288. https://doi.org/10.3390/su11195288
