Demand-Oriented Train Timetabling Integrated with Passenger Train-Booking Decisions
Abstract
1. Introduction
- A bi-level programming model is built for the demand-oriented train timetabling problem, combining it with passenger’ train-booking decisions. Its upper-level model is intended to optimize train timetables, while its lower-level model focuses on determining the trains booked by passengers based on a given train timetable.
- A priority-based heuristic algorithm is designed to solve the proposed bi-level programming model. It has two main steps at each iteration, one is to determine the number of passengers booking each train with a given train timetable, and the other is to improve the current train timetable based on the valuable information of passenger’s train-booking decisions.
2. Problem Definition
2.1. Assumptions
- We only concentrate on the problem of train timetabling on a double-track rail network, and suspend the train routing problem at stations; furthermore, stations are viewed as nodes without the restriction of the maximum number of trains there at the same time.
- The time-dependent demand of each origin–destination is discretized into many granularity-based demands through dividing the planning horizon into multiple time granularities with a length of 10 min or another required time interval, and the planned departure time of each granularity-based demand is the middle time of its corresponding time period. For example, demands of granularity from 8:00 to 8:10 have the same planned departure time of 8:05.
2.2. Inputs and Outputs
- The rail network is composed of a set of station nodes and a set of rail one-way sections. Moreover, the operation time-horizon of the trains and some other related parameters of this rail network such as the mileage of rail section are given.
- Passenger demands are discretized into many period-based demands, and, thus, the origin, terminal, and passenger number of each period-based demand are given.
- The origin, terminal, and visited stations of each train are given; however, its stops and timetable are also needed for our research. Moreover, operation parameters such as the minimum required travel times in each rail section and dwell time at stations are also given.All symbols defined for expressing the input data of DOTTP are introduced in Table 1.
3. Bi-Level Programming Model of Demand-Oriented Train Timetabling Problem (DOTTP)
3.1. Upper-Level Model for Train Timetabling
3.1.1. Constraints of Train Travel Time in Sections
3.1.2. Constraints of Train Minimum Dwell Time at Stations
3.1.3. Safety Interval Constraints between Train Departure Time
3.1.4. Safety Interval Constraints between Train Arrival Time
3.1.5. Value Range Constraints of Train Arrival and Departure Time
3.2. Lower-Level Model for Distributing Passengers to Trains
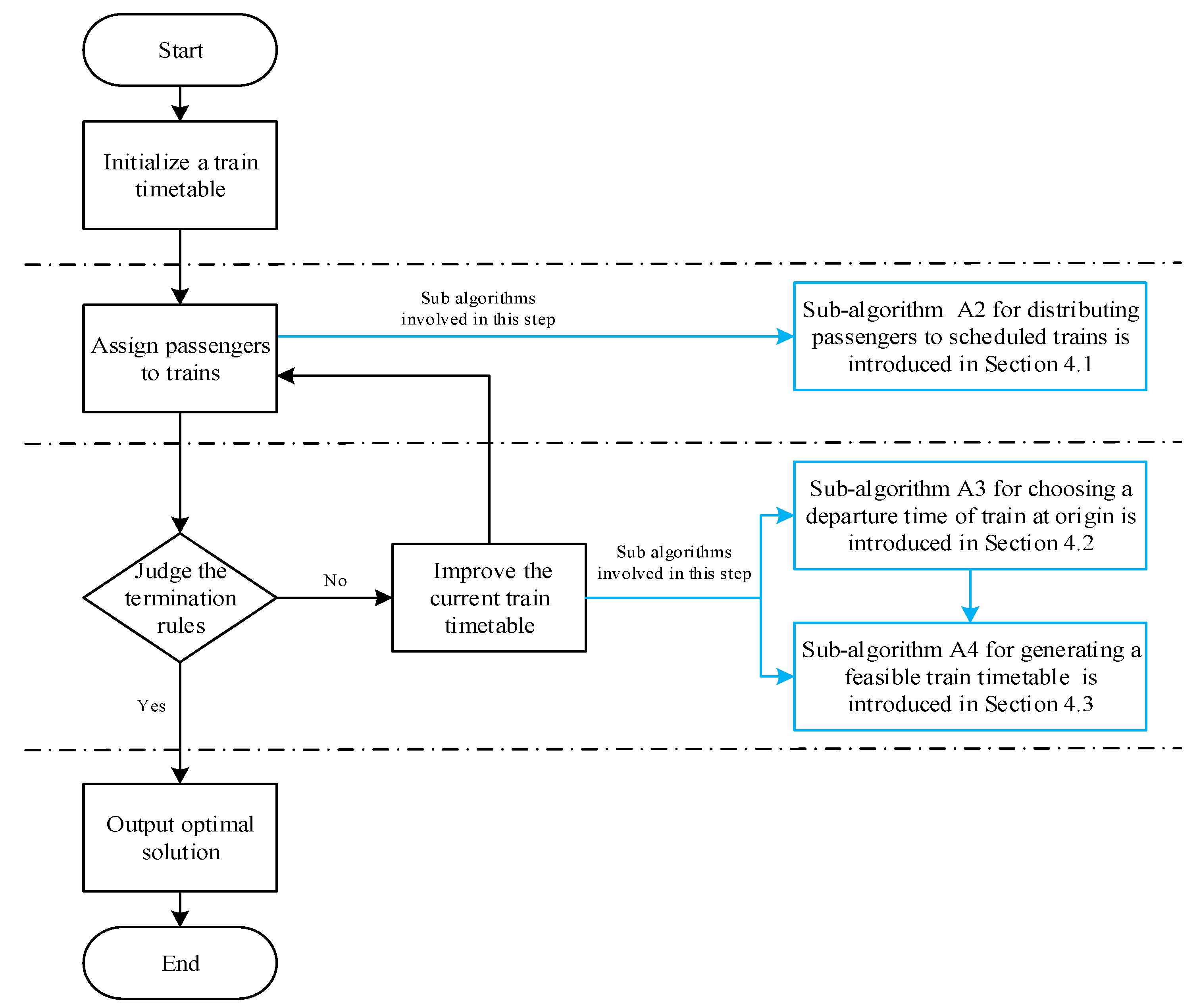
4. Priority-Based Heuristic Algorithm
- Initialize a train timetable. Schedule trains one by one based on a random order. Specifically, for each train, set its departure time at its origin as the middle time of the departure time range, and then compute its arrival and departure time at each visited station according to this origin departure time and train minimum travel time in sections and dwell time at stations.
- Equilibrium assignment of passenger flow. Based on the initial timetable, use a path-based passenger distribution Algorithm (A2) to assign passengers to trains, namely, to determine the number of passengers booking each train. The specific steps are illustrated in Section 4.1.
- Update criterion of the optimal solution and judge the termination rules as follows; use criteria similar to the metropolis criteria to determine whether the new solution is accepted. If , is accepted as the new current solution , otherwise is accepted as the new current solution with the probability . is the objective function, is the current solution, and is the new solution.
- The iteration count reaches its maximum value.
- The objective of model UM cannot be improved for continuous time.
- The difference in passenger costs between the last two iterations satisfieswhererepresents the set of paths chosen by demandin theth iteration, and are, respectively, the number and generalized cost of time periodfor passengers traveling on pathfrom originto destinationin theth iteration. In addition, is a given small positive number.
- Improve the current train timetable. Rearrange trains’ arrival and departure times to improve the current timetable based on the present passenger train-booking decisions and obtain a new train timetable.
| Algorithm 1 A priority-based heuristic Algorithm (A1) for DOTTP combining passenger train-booking decisions. |
| Input:. Output:, upper-level objective function value (UO), lower-level objective function value (LO) Rank trains based on the decreasing order of their speeds, and sort those with the same speed in descending order of their travel mileages. Trains in the front have higher priority than those in the back. For:
Assign passengers to trains based on the current train timetable using the passenger distribution Sub-Algorithm (A2) introduced in Section 4.1. While termination rules 1,2,3 detailed before this algorithm are not met:
End Assign passengers to trains based on the current train timetable using the passenger distribution Sub-Algorithm (A2) introduced in Section 4.1. End |
4.1. Sub-Algorithm (A2) for Distributing Passengers to Scheduled Trains
- Update the passenger number of chosen paths and the current lowest-cost path as follows:whereandare, respectively, the first and second derivatives of objectiveto passenger number of path, andis the lowest-cost path in theth iteration. Moreover, is the updating step, andis a given fixed value. Obviously,becomes smaller with the increase of iteration. If the passenger number of chosen path is updated as 0, then we delete it from the set of chosen paths as it is not chosen by any passengers.
- The termination rules of Sub-Algorithm (A2).where is a given small tolerance value.
| Algorithm 2 Sub-Algorithm (A2) for distributing passengers to scheduled trains. |
| Input:, the current train timetable. Output:, upper-level objective function value (UO), lower-level objective function value (LO). Initialize iteration count. Search the lowest cost pathfor each granularity-based demand. Distribute all passengersto the lowest-cost path, and initialize the set of chosen paths. While the inequality in Equation (18) is not satisfied:
Calculate the upper-level objective function value (UO) and the lower-level objective function value (UO) according to Equations (1) and (9) respectively. |
4.2. Sub-Algorithm (A3) for Choosing a Departure Time of a Train at Origin
- We do not need to calculate those deviations and transferring times that are unaffected by the current scheduling train. For instance, we do not calculate the deviation time of passengers who first board a scheduled train and then transfer to the current scheduling train as their deviation time is determined by the former train not the latter one.
- For unscheduled trains, we calculate the travel times between two stations based on their travel times in sections and minimum dwell times at stations. Especially for the current scheduling train, we can determine arrival and departure times at stations from a given departure time at origin based on its travel times in sections and minimum dwell times at stations.
4.2.1. Type 1: Passengers Whose First Travel Train Is just Train
4.2.2. Type 2: Passengers Whose Traveling Trains before Train Are Unscheduled
4.2.3. Type 3: Passengers Whose Traveling Trains Exist at least One Scheduled Train before Train
| Algorithm 3 Sub-Algorithm (A3) for choosing the departure time at origin for train. |
| Input:, the current train timetable. Output: a set of departure time of trainat origin. Find passenger paths consisting of train, and determine the segregating times from the calculation of Equations (19)–(23) of deviation and transferring times on them. Sort all segregating times as well as departure times of all scheduled trains at the origin station of train, and then divide the planning horizon into multiple time segments using them as splitting times. Find the optimal time for each time segment, and then rank them based on the increasing order of their corresponding values of. Choose the best, next best, or other required time as the departure time of train at origin. |
4.3. Sub-Algorithm (A4) for Generating a Feasible Train Timetable Based on Given Departure Times
- It is not permitted to generate new conflicts. A conflict represents the condition that two involved trains do not satisfy the safety interval.
- The increment of passengers’ deviation time should be limited to a given small range, but its decrement is welcome. For example, a train departing at 10:10 before adjustment has been chosen by passengers of time 10:00, and then its departure time is only allowed to adjust in the range from 10:00 to 10:15 as 5 min is set as the maximum increment of passengers’ deviation time. Similarly, the increments of passenger transfer time and dwell times at stations also must be limited to a small range.
4.3.1. Nodes of Graph
4.3.2. Directed Arcs of the Graph
- As the number of departure (arrival) time interval arcs is very large when they are constructed between any two trains’ departure (arrival) nodes of the same station, we only construct these between two neighbor trains’ departure (arrival) nodes as shown with the red dotted lines in Figure 9a for reducing their number. However, if two trains cross in a section, then their interval arcs are constructed in two cases, as shown with the red dotted lines in Figure 9b,c, respectively.
- Similarly, planning horizon constraint arcs are only defined for the first and last trains’ departure or arrival nodes at a station for reducing their number.
- For passenger deviation and transfer arcs, they are constructed only when there are passengers traveling from their start nodes to their terminal nodes. For example, if passengers are boarding Train 1 rather than Train 2 at their origin, then we should construct the passenger deviation arc from these passengers’ departure node to the departure node of Train 1, not to that of Train 2 as they do not board it.
- The maximum increments of passenger dwell time, deviation time, and transfer time are pre-specified as inputs of the algorithm. Generally, the smaller they are, the smaller the increase of passenger travel time, and the higher the difficulty of obtaining a feasible train timetable is. Thus, we can set them as smaller values at first when the number of trains is considerably below the capacity of the rail line, namely, the maximum of scheduled trains on the rail line, and then gradually increase them as the train numbers increase.
| Algorithm 4 The detailed steps for searching set. |
| Input: conflict arcs, the weighted directed graph,. Output: . Initialize set. For : Find all outbound arcsand all inbound arcs for node. For : If : Add nodeinto set. For : If : Add nodeinto set. End |
| Algorithm 5 Sub-Algorithm (A4) for forming a feasible train timetable based on given departure times. |
| Input: the current train timetable,. Output: a feasible train timetable. Generate the weighted directed graph based on the given initial train timetable. Find the conflict arc set, fixed nodes set. While:
|
5. Numerical Analysis
5.1. Inputs and Parameter Setting
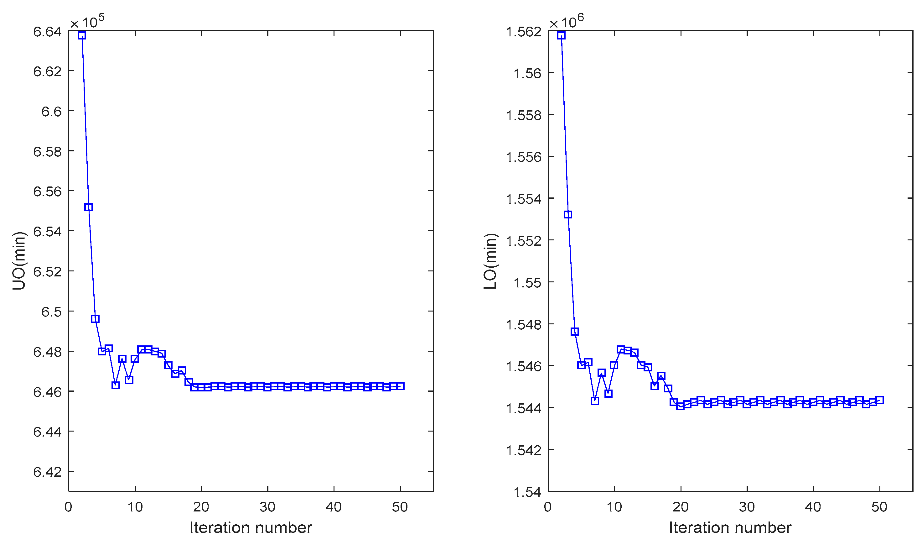
5.2. Convergence Analysis
5.3. Equilibrium Analysis
5.4. The Benefits of Scheduling Trains Considering Passenger Train-Choosing
5.4.1. Average Travel Speed of Each OD Pairs
5.4.2. Percentage of Passengers Corresponding to Different Deviation Time at Origin
5.4.3. The Changing Trend of Passengers’ Demand and Running Trains’ Number
5.4.4. Service Frequency of Each OD Pair
6. Conclusions and Further Study
- A bi-level programming model is designed for a demand-oriented train timetabling problem integrated with the train-booking decisions of passengers, and a priority-based heuristic algorithm is designed to solve this model. The proposed algorithm consists of three sub-algorithms for distributing passengers to trains, finding trains’ original departure times based on their priorities and distributed passengers, and generating a feasible train timetable, respectively.
- Experimental results from the Changsha–Zhuzhou–Xiangtan intercity rail network show that the train timetable obtained by our proposed method has higher service level compared with that of a passenger-free algorithm. On the one hand, the per capita deviation time of passengers in our algorithm is reduced by 29.86% compared to that in the passenger-free algorithm, and the per capita traveling speed is increased by 10.34% compared with that in the passenger-free algorithm. On the other hand, as the train stop plan was optimized in our algorithm, the number of train stops is reduced by 6.11%, which reduces the energy consumption and time waste caused by the stops. Moreover, the optimized train timetable is well-matched with the actual passenger trip rules, which effectively improves the load factor of the trains.
- In this paper, each station is simplified as a node with parking capacity, but the train’s travel path at a station is not considered. Therefore, future studies should consider combining the train routing problem at stations with the train timetabling problem to obtain a more practical train timetable.
- Due to the competition between expressways and intercity railways, the service level of the train timetable has a great influence on its passenger demand. Thus, it is necessary to optimize the train schedule further considering the elastic change relationship between passenger demand and train service level.
Author Contributions
Funding
Acknowledgments
Conflicts of Interest
References
- Higgins, A.; Kozan, E.; Ferreira, L. Optimal scheduling of trains on a single line track. Transp. Res. Part B Methodol. 1996, 30, 147–161. [Google Scholar] [CrossRef]
- Burdett, R.; Kozan, E. A disjunctive graph model and framework for constructing new train schedules. Eur. J. Oper. Res. 2010, 200, 85–98. [Google Scholar] [CrossRef]
- Zhou, W.; Teng, H. Simultaneous passenger train routing and timetabling using an efficient train-based Lagrangian relaxation decomposition. Transp. Res. Part B Methodol. 2016, 94, 409–439. [Google Scholar] [CrossRef]
- Bešinović, N.; Goverde, R.M.; Quaglietta, E.; Roberti, R. An integrated micro–macro approach to robust railway timetabling. Transp. Res. Part B Methodol. 2016, 87, 14–32. [Google Scholar]
- Zhou, W.; Tian, J.; Xue, L.; Jiang, M.; Deng, L.; Qin, J. Multi-periodic train timetabling using a period-type-based lagrangian relaxation decomposition. Transp. Res. Part B Methodol. 2017, 105, 144–173. [Google Scholar] [CrossRef]
- Goverde, R.M.P. Railway timetable stability analysis using max-plus system theory. Transp. Res. Part B Methodol. 2007, 41, 179–201. [Google Scholar] [CrossRef]
- Corman, F.; D’Ariano, A.; Pacciarelli, D.; Pranzo, M. Bi-objective conflict detection and resolution in railway traffic management. Transp. Res. Part C Emerg. Technol. 2012, 20, 79–94. [Google Scholar] [CrossRef]
- Xu, X.; Li, K.; Yang, L.; Ye, J. Balanced train timetabling on a single-line railway with optimized velocity. Appl. Math. Model. 2014, 38, 894–909. [Google Scholar] [CrossRef]
- Brannlund, U.; Lindberg, P.O.; Nou, A.; Nilsson, J.E. Railway timetabling using lagrangian relaxation. Transp. Sci. 1998, 32, 358–369. [Google Scholar] [CrossRef]
- Robenek, T.; Maknoon, Y.; Azadeh, S.S.; Chen, J.; Bierlaire, M. Passenger centric train timetabling problem. Transp. Res. Part B 2016, 89, 107–126. [Google Scholar] [CrossRef]
- Li, X.; Wang, D.; Li, K.; Gao, Z. A green train scheduling model and fuzzy multi-objective optimization algorithm. Appl. Math. Model. 2013, 37, 2063–2073. [Google Scholar]
- Carey, M.; Crawford, I. Scheduling trains on a network of busy complex stations. Transp. Res. Part B Methodol. 2007, 41, 159–178. [Google Scholar] [CrossRef]
- Caimi, G.; Chudak, F.; Fuchsberger, M.; Laumanns, M.; Zenklusen, R. A new resource-constrained multicommodity flow model for conflict-free train routing and scheduling. Transp. Sci. 2011, 45, 212–227. [Google Scholar] [CrossRef]
- Dundar, S.; Şahin, İ. Train re-scheduling with genetic algorithms and artificial neural networks for single-track railways. Transp. Res. Part C Emerg. Technol. 2013, 27, 1–15. [Google Scholar] [CrossRef]
- Marguier, P.H.J.; Ceder, A. Passenger waiting strategies for overlapping bus routes. Transp. Sci. 1984, 18, 207–230. [Google Scholar] [CrossRef]
- Herbon, A.; Hadas, Y. Determining optimal frequency and vehicle capacity for public transit routes: A generalized newsvendor model. Transp. Res. Part B Methodol. 2015, 71, 85–99. [Google Scholar] [CrossRef]
- Yang, X.; Li, X.; Gao, Z.; Wang, H.; Tang, T. A cooperative scheduling model for timetable optimization in subway systems. IEEE Trans. Intell. Transp. Syst. 2013, 14, 438–447. [Google Scholar] [CrossRef]
- Zheng, Y.J.; Ling, H.F.; Shi, H.H.; Chen, H.S.; Chen, S.Y. Emergency railway wagon scheduling by hybrid biogeography-based optimization. Comput. Oper. Res. 2014, 43, 1–8. [Google Scholar] [CrossRef]
- Dobson, G.; Lederer, P.J. Airline Scheduling and Routing in a Hub-and-Spoke System. Transp. Sci. 1993, 27, 281–297. [Google Scholar] [CrossRef]
- Jiang, H.; Barnhart, C. Dynamic airline scheduling. Transp. Sci. 2009, 43, 336–354. [Google Scholar] [CrossRef]
- Parbo, J.; Anker Nielsen, O.; Giacomo Prato, C. Passenger perspectives in railway timetabling: A literature review. Transp. Rev. 2016, 36, 500–526. [Google Scholar] [CrossRef]
- Yu, B.; Yang, Z.; Yao, J. Genetic algorithm for bus frequency optimization. J. Transp. Eng. 2010, 136, 576–583. [Google Scholar] [CrossRef]
- Ma, T.Y. A Hybrid Multiagent Learning Algorithm for Solving the Dynamic Simulation-Based Continuous Transit Network Design Problem. In Proceedings of the International Conference on Technologies & Applications of Artificial Intelligence, Chung-Li, Taiwan, 11–13 November 2012. [Google Scholar]
- Wang, J.Y.; Lin, C.M. Mass transit route network design using genetic algorithm. J. Chin. Inst. Eng. 2010, 33, 301–315. [Google Scholar] [CrossRef]
- Cordone, R.; Redaelli, F. Optimizing the demand captured by a railway system with a regular timetable. Transp. Res. Part B Methodol. 2011, 45, 430–446. [Google Scholar] [CrossRef]
- Parbo, J.; Nielsen, O.A.; Prato, C.G. User perspectives in public transport timetable optimisation. Transp. Res. Part C Emerg. Technol. 2014, 48, 269–284. [Google Scholar] [CrossRef]
- Kaspi, M.; Raviv, T. Service-Oriented Line Planning and Timetabling for Passenger Trains. Transp. Sci. 2013, 47, 295–311. [Google Scholar] [CrossRef]
- Canca, D.; Barrena, E.; De-Los-Santos, A.; Andrade-Pineda, J.L. Setting lines frequency and capacity in dense railway rapid transit networks with simultaneous passenger assignment. Transp. Res. Part B 2016, 93, 251–267. [Google Scholar] [CrossRef]
- Yang, X.; Chen, A.; Ning, B.; Tang, T. Bi-objective programming approach for solving the metro timetable optimization problem with dwell time uncertainty. Transp. Res. Part E 2017, 97, 22–37. [Google Scholar] [CrossRef]
- Barrena, E.; Canca, D.; Coelho, L.C.; Laporte, G. Exact formulations and algorithm for the train timetabling problem with dynamic demand. Comput. Oper. Res. 2014, 44, 66–74. [Google Scholar] [CrossRef]
- Niu, H.; Zhou, X.; Gao, R. Train scheduling for minimizing passenger waiting time with time-dependent demand and skip-stop patterns: Nonlinear integer programming models with linear constraints. Transp. Res. Part B Methodol. 2015, 76, 117–135. [Google Scholar] [CrossRef]
- Yang, L.; Zhang, Y.; Li, S.; Gao, Y. A two-stage stochastic optimization model for the transfer activity choice in metro networks. Transp. Res. Part B Methodol. 2016, 83, 271–297. [Google Scholar] [CrossRef]
- Johan, H.; Markus, B.; Oskar, F. A combined simulation-optimization approach for minimizing travel time and delays in railway timetables. Transp. Res. Part B Methodol. 2019, 126, 192–212. [Google Scholar]
- Zhang, T.; Li, D.; Qiao, Y. Comprehensive optimization of urban rail transit timetable by minimizing total travel times under time-dependent passenger demand and congested conditions. Appl. Math. Model. 2018, 58, 421–446. [Google Scholar] [CrossRef]
- Ibarra-Rojas, O.J.; Giesen, R.; Rios-Solis, Y.A. An integrated approach for timetabling and vehicle scheduling problems to analyze the trade-off between level of service and operating costs of transit networks. Transp. Res. Part B Methodol. 2014, 70, 35–46. [Google Scholar] [CrossRef]
- Liu, T.; Ceder, A. Integrated public transport timetable synchronization and vehicle scheduling with demand assignment: A bi-objective bi-level model using deficit function approach. Transp. Res. Procedia 2017, 23, 341–361. [Google Scholar] [CrossRef]
- Liu, T.; Ceder, A.; Chowdhury, S. Integrated public transport timetable synchronization with vehicle scheduling. Transp. A Transp. Sci. 2017, 6, 1–23. [Google Scholar] [CrossRef]
- Wang, H.; Jiang, Z.; Zhang, H.; Wang, Y.; Yang, Y.; Li, Y. An integrated MCDM approach considering demands-matching for reverse logistics. J. Clean. Prod. 2019, 208, 199–210. [Google Scholar] [CrossRef]
- Abdelghany, A.; Abdelghany, K.; Azadian, F. Airline flight schedule planning under competition. Comput. Oper. Res. 2017, 87, 20–39. [Google Scholar] [CrossRef]
- Niu, H.; Zhou, X. Optimizing urban rail timetable under time-dependent demand and oversaturated conditions. Transp. Res. Part C Emerg. Technol. 2013, 36, 212–230. [Google Scholar] [CrossRef]
- Wang, Y.; Tang, T.; Ning, B.; van den Boom, T.J.; Schutter, B. De Passenger-demands-oriented train scheduling for an urban rail transit network. Transp. Res. Part C 2015, 60, 1–23. [Google Scholar] [CrossRef]
- Wang, Y.; D’Ariano, A.; Yin, J.; Meng, L.; Tang, T.; Ning, B. Passenger demand oriented train scheduling and rolling stock circulation planning for an urban rail transit line. Transp. Res. Part B Methodol. 2018, 118, 193–227. [Google Scholar] [CrossRef]
- Shi, J.; Yang, L.; Yang, J.; Gao, Z. Service-oriented train timetabling with collaborative passenger flow control on an oversaturated metro line: An integer linear optimizatin approach. Transp. Res. Part. B Methodol. 2018, 110, 26–59. [Google Scholar] [CrossRef]
- Fu, H.; Nie, L.; Meng, L.; Sperry, B.R.; He, Z. A hierarchical line planning approach for a large-scale high speed rail network: The china case. Transp. Res. Part A 2015, 75, 61–83. [Google Scholar] [CrossRef]
- Mahmassani, H.S.; Chen, S.T. An investigation of the reliability of real-time information for route choice decisions in a congested traffic system. Transportation 1993, 20, 157–178. [Google Scholar] [CrossRef]
- Watling, D. User equilibrium traffic network assignment with stochastic travel times and late arrival penalty. Eur. J. Oper. Res. 2006, 175, 1539–1556. [Google Scholar] [CrossRef]
- Jayakrishnan, R.; Mahmassani, H.S.; Hu, T.Y. An evaluation tool for advanced traffic information and management systems in urban networks. Transp. Res. Part C Emerg. Technol. 1994, 2, 129–147. [Google Scholar] [CrossRef]
- Chen, A.; Lee, D.H.; Jayakrishnan, R. Computational study of state-of-the-art path-based traffic assignment algorithms. Math. Comput. Simul. 2002, 59, 509–518. [Google Scholar] [CrossRef]
- 12306 China Railway. Available online: www.12306.com (accessed on 15 March 2019).
- Shao, M. Study on Passenger Flow Forecast and Transportation Organization of the Chang Chu Tan Intercity Railway. Ph.D. Thesis, Southwest Jiaotong University, Chengdu, China, 2015. [Google Scholar]
- Pan, D. Forecast of Passenger Flow for Chang-Zhu-Tan Intercity Rail Transit. Ph.D. Thesis, Changsha University of Science & Technology, Changsha, China, 2012. [Google Scholar]

















| Objects | Symbols | Defining Ranges | Descriptions |
|---|---|---|---|
| Rail network | The set of origin stations | ||
| The set of destination stations | |||
| The time granularities which are obtained by dividing the planning horizon into equivalent time intervals | |||
| The median time of time period | |||
| The start times of the planning horizon | |||
| The end times of the planning horizon | |||
| Trains | The set of trains | ||
| The set of travel sections of train | |||
| The set of visited stations of train | |||
| The continuous riding segment from stationto stationtraveling with train on path. Specifically, passengers are serviced by only one train in a continuous riding segment | |||
| The continuous riding segment that passengers transfer from trainto trainat stationon path | |||
| The continuous riding segment from origin to stationtraveling with train on path | |||
| The pure running time of trainin section | |||
| The additional time for starting of trainin section | |||
| The additional time for stopping of trainin section | |||
| The safety departure interval between two trains driving into sections and respectively from station | |||
| The safety arrival interval between two trains arriving at stationfrom sections andrespectively | |||
| The rated passenger capacity of train | |||
| Passengers | The passenger demand from originto destination in time period | ||
| The set of paths chosen by demand. For each path, it not only specifies the sequence of stations passengers traversing, but also assigns a specific train for the passengers to take between two neighbor stations. | |||
| The sequence of continuous riding segments of path | |||
| The discomfort penalty on trainfrom station to station | |||
| The total number of passengers getting on and off trainat station | |||
| The number of passengers on trainfrom station to station | |||
| The number of passengers boarding trainat origin in time period | |||
| The number of passengers transferring from trainto trainat station | |||
| The minimum required time for passengers to get on and off trainat stationwhen their total numbers is | |||
| Others | A parameter for adjusting the penalty level | ||
| The mileage from stationto station | |||
| The passenger price rate per mileage | |||
| The passenger average time value |
| Symbols | Defining Ranges | Descriptions |
|---|---|---|
| 0-1 binary variable, if trainstops at station, then; otherwise,. has a similar definition with | ||
| The departure time of trainat station | ||
| The arrival time of trainat station | ||
| The passenger number of demandtraveling with path |
| Number of Passengers Getting on and off the Train | Minimum Dwell Time of Train/Seconds |
|---|---|
| <100 | 45 |
| 100–200 | 60 |
| 200–300 | 75 |
| >300 | 105–120 |
| Name | Weight | Whether the Weight Can Be Changed |
|---|---|---|
| Train departure node | Corresponding train departure time | Yes |
| Train arrival node | Corresponding train arrival time | Yes |
| Passenger planned departure node | Planned departure time of the corresponding passengers | No |
| Start node of planning horizon | Start time of planning horizon | No |
| End node of planning horizon | End time of planning horizon | No |
| Name | Start Node | Terminal Node | Requirements | Minimum Weight | Maximum Weight |
|---|---|---|---|---|---|
| Section travel arc | Train departure node | Train arrival node | Start and terminal nodes belong to a same train and section | The sum of train pure running time and additional times for starting and stopping | The sum of train pure running time and additional times for starting and stopping |
| Station dwell arc | Train arrival node | Train departure node | Start and terminal nodes belong to a same train and station | Minimum time for passenger getting on and off train | Passenger maximum allowed dwell time at a station |
| Departure time interval arc | Train departure node | Train departure node | Start and terminal nodes belong to two different trains but to a same station | Safety headway between two train departures | Positive infinity |
| Arrival time interval arc | Train arrival node | Train arrival node | Start and terminal nodes belong to two different trains but to a same station | Safety headway between two train arrivals | Positive infinity |
| Planning horizon constraint arc | Start node of planning horizon | Train arrival or departure node | Start and terminal nodes belong to a same station | 0 | Time length of planning horizon |
| Train arrival or departure node | End node of planning horizon | Start and terminal nodes belong to a same station | 0 | Time length of planning horizon | |
| Passenger deviation arc | Passenger planned departure node | Train departure node | Start and terminal nodes belong a same station | 0 | Passenger maximum allowed deviation time at origin |
| Passenger transfer arc | Train arrival node | Train departure node | Start and terminal nodes belong to two different trains but to a same station | Minimum time for transferring including times for getting off one train, boarding another train and walk between them | Passenger maximum allowed time per transfer |
| Path of Trains | Number of Stations | Sequence of Vistied Stations |
|---|---|---|
| Changsha to Zhuzhou | 8 | (1) Chang-sha West Station; (2) Kai-fu-si Station; (3) Xiang-zhang-road Station; (4) Xian-feng Station; (5) Mu-yun Station; (8) Tian-xin East Station; (9) Da-feng Station; (10) Zhu-zhou South Station |
| Changsha to Xiangtan | 7 | (1) Chang-sha West Station; (2) Kai-fu-si Station; (3) Xiang-zhang-road Station; (4) Xian-feng Station; (5) Mu-yun Station; (6) Ban-tang station; (7) Xiang-tan Station |
| Paths | Number of Stations | Paths Mileage (km) | Train Number | Train Capacity | Technical Velocity (km/h) |
|---|---|---|---|---|---|
| Changsha to Zhuzhou | 8 | 86 | 60 | 1000 | 160 |
| Changsha to Xiangtan | 7 | 70 | 40 | 1000 | 160 |
| OD Sequence Number | Origin–Terminal Station | Passenger Volume | OD Sequence Number | Origin–Terminal Station | Passenger Volume |
|---|---|---|---|---|---|
| O-D 1 | 1–2 | 1200 | O-D 21 | 3–7 | 1200 |
| O-D 2 | 1–3 | 3600 | O-D 22 | 3–8 | 1200 |
| O-D 3 | 1–4 | 4800 | O-D 23 | 3–9 | 2400 |
| O-D 4 | 1–5 | 1200 | O-D 24 | 3–10 | 2400 |
| O-D 5 | 1–6 | 4800 | O-D 25 | 4–5 | 1200 |
| O-D 6 | 1–7 | 6000 | O-D 26 | 4–6 | 2400 |
| O-D 7 | 1–8 | 4800 | O-D 27 | 4–7 | 3600 |
| O-D 8 | 1–9 | 3600 | O-D 28 | 4–8 | 2400 |
| O-D 9 | 1–10 | 6000 | O-D 29 | 4–9 | 2400 |
| O-D 10 | 2–3 | 1200 | O-D 30 | 4–10 | 3600 |
| O-D 11 | 2–4 | 2400 | O-D 31 | 5–6 | 1200 |
| O-D 12 | 2–5 | 1200 | O-D 32 | 5–7 | 2400 |
| O-D 13 | 2–6 | 3600 | O-D 33 | 5–8 | 1200 |
| O-D 14 | 2–7 | 6000 | O-D 34 | 5–9 | 1200 |
| O-D 15 | 2–8 | 2400 | O-D 35 | 5–10 | 3600 |
| O-D 16 | 2–9 | 3600 | O-D 36 | 6–7 | 7200 |
| O-D 17 | 2–10 | 3600 | O-D 37 | 8–9 | 3600 |
| O-D 18 | 3–4 | 1200 | O-D 38 | 8–10 | 3600 |
| O-D 19 | 3–5 | 1200 | O-D 39 | 9–10 | 7200 |
| O-D 20 | 3–6 | 2400 | Total | 118,800 | |
| Parameter Name | Parameter Values | Unit |
|---|---|---|
| (operating cycle) | 960 | minute |
| (number of time period) | 192 | per |
| (calculation accuracy) | 0.01 | - |
| (times of keeping unchanged) | 30 | times |
| (total times of iterations) | 300 | times |
| Algorithms | UO (min) | LO (min) | Per Capita Deviation Time (min) | Per Capita Traveling Speed (km/h) |
|---|---|---|---|---|
| The proposed algorithm | 2,646,186 | 66,544,031 | 9.89 | 104.35 |
| Passenger-free algorithm | 5,306,730 | 158,946,562 | 14.10 | 93.57 |
| Algorithms | The Range of Deviation Time at Origin (min) | ||||||
|---|---|---|---|---|---|---|---|
| [0,5] | (5,10] | (10,15] | (15,20] | (20,25] | (25,30] | Other | |
| The proposed algorithm | 47.35% | 22.79% | 14.57% | 4.35% | 3.86% | 3.50% | 3.58% |
| Passenger-free algorithm | 39.98% | 14.07% | 14.42% | 7.26% | 5.20% | 6.12% | 12.95% |
© 2019 by the authors. Licensee MDPI, Basel, Switzerland. This article is an open access article distributed under the terms and conditions of the Creative Commons Attribution (CC BY) license (http://creativecommons.org/licenses/by/4.0/).
Share and Cite
Zhou, W.; Fan, W.; You, X.; Deng, L. Demand-Oriented Train Timetabling Integrated with Passenger Train-Booking Decisions. Sustainability 2019, 11, 4932. https://doi.org/10.3390/su11184932
Zhou W, Fan W, You X, Deng L. Demand-Oriented Train Timetabling Integrated with Passenger Train-Booking Decisions. Sustainability. 2019; 11(18):4932. https://doi.org/10.3390/su11184932
Chicago/Turabian StyleZhou, Wenliang, Wenzhuang Fan, Xiaorong You, and Lianbo Deng. 2019. "Demand-Oriented Train Timetabling Integrated with Passenger Train-Booking Decisions" Sustainability 11, no. 18: 4932. https://doi.org/10.3390/su11184932
APA StyleZhou, W., Fan, W., You, X., & Deng, L. (2019). Demand-Oriented Train Timetabling Integrated with Passenger Train-Booking Decisions. Sustainability, 11(18), 4932. https://doi.org/10.3390/su11184932
