Better Earlier than Longer: First-Mover Advantage in Social Commerce Product Information Competition
Abstract
1. Introduction
2. Theoretical Background and Hypotheses
2.1. Social Commerce
2.2. Information Diffusion in Social Commerce
2.3. SIR Epidemic Model for Information Diffusion
2.4. First-Mover (Dis) Advantage
3. Methodology and Data
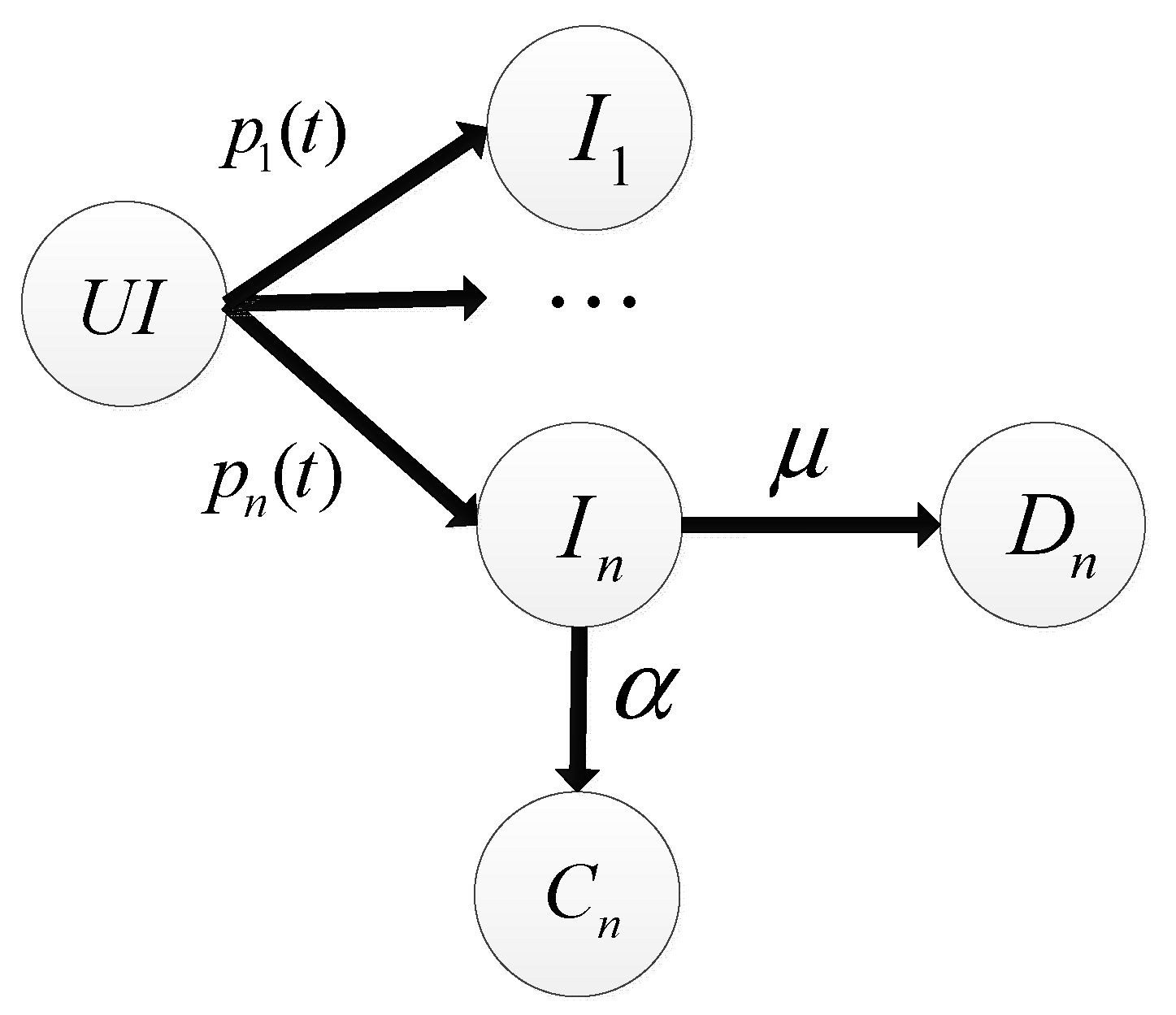
3.1. An Improved SIR Model for Competitive Information Diffusion
3.2. Mathematical Analysis
3.3. Data Collection and Parameter Setting
4. Results
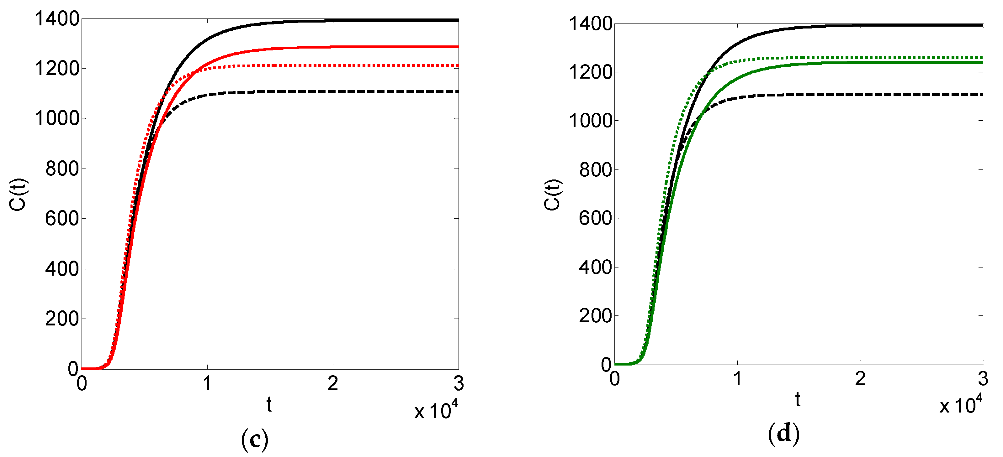
4.1. Empirical Evaluation
4.2. Separate Analysis of Parameters
4.3. Joint Analysis of Parameters
5. Discussion and Implications
5.1. Discussion of Results
5.2. Theoretical and Practical Implications
5.3. Strategies for Marketers
6. Limitations and Future Research
6.1. Limitations
6.2. Future Research
Author Contributions
Funding
Conflicts of Interest
References
- Liang, T.-P.; Turban, E. Introduction to the special issue social commerce: A research framework for social commerce. Int. J. Electron. Commer. 2011, 16, 5–14. [Google Scholar] [CrossRef]
- Statista. Enterprise Social Networks Revenue Worldwide 2010–2019. 2016. Available online: www.statista.com/statistics/503514/worldwide-enterprise-socialnetworks-revenue/ (accessed on 25 May 2019).
- Statista. Online Shopping: Average Order Values by Social Media. 2017. Available online: www.statista.com/statistics/325384/online-shopping-order-values-traffic-source/ (accessed on 25 May 2019).
- Sun, L.; Zhou, Y.; Guan, X. Modelling multi-topic information propagation in online social networks based on resource competition. J. Inf. Sci. 2017, 43, 342–355. [Google Scholar] [CrossRef]
- Kim, D. Under what conditions will social commerce business models survive? Electron. Commer. Res. Appl. 2013, 12, 69–77. [Google Scholar] [CrossRef]
- Stephen, A.T.; Toubia, O. Deriving value from social commerce networks. J. Mark. Res. 2010, 47, 215–228. [Google Scholar] [CrossRef]
- Baethge, C.; Klier, J.; Klier, M. Social commerce—State-of-the-art and future research directions. Electron. Mark. 2016, 269–290. [Google Scholar] [CrossRef]
- Li, Z.; Huang, K. The monetary value of twitter followers: Evidences from NBA players. In Proceedings of the 35th International Conference on Information Systems, Auckland, New Zealand, 14–17 December 2014. [Google Scholar]
- Hajli, N. Social commerce constructs and consumer’s intention to buy. Int. J. Inf. Manag. 2015, 35, 183–191. [Google Scholar] [CrossRef]
- Hajli, N.; Sims, J.; Zadeh, A.H.; Richard, M.-O. A social commerce investigation of the role of trust in a social networking site on purchase intentions. J. Bus. Res. 2017, 71, 133–141. [Google Scholar] [CrossRef]
- Kim, S.; Park, H. Effects of various characteristics of social commerce (s-commerce) on consumers’ trust and trust performance. Int. J. Inf. Manag. 2013, 33, 318–332. [Google Scholar] [CrossRef]
- Lee, E.; Kang, H.; Ahn, H. Word-of-Mouth of cultural products through institutional social networks. Sustainability 2017, 9, 917. [Google Scholar] [CrossRef]
- Na, Y.; Kang, S. Sustainable diffusion of fashion information on mobile friends-based social network service. Sustainability 2018, 10, 1474. [Google Scholar] [CrossRef]
- Sturiale, L.; Scuderi, A. Evaluation of social media actions for the agrifood system. Procedia Technol. 2013, 8, 200–208. [Google Scholar] [CrossRef][Green Version]
- Scuderi, A.; Sturiale, L. Social commerce and marketing strategy for “Made in Italy” food products. In Proceedings of the HAICTA 2015, Kavala, Greece, 17–20 September 2015. [Google Scholar]
- Scuderi, A.; Sturiale, L. The digital economy: New e-business strategies for food Italian system. Int. J. Electron. Mark. Retail. 2016, 7, 287–310. [Google Scholar]
- Ko, H.C. Social desire or commercial desire? The factors driving social sharing and shopping intentions on social commerce platforms. Electron. Commer. Res. Appl. 2018, 28, 1–15. [Google Scholar] [CrossRef]
- Jiang, G.; Ma, F.; Shang, J.; Chau, P.Y.K. Evolution of knowledge sharing behavior in social commerce: An agent-based computational approach. Inf. Sci. 2014, 278, 250–266. [Google Scholar] [CrossRef]
- Han, H.; Xu, H.; Chen, H. Social commerce: A systematic review and data synthesis. Electron. Commer. Res. Appl. 2018, 30, 38–50. [Google Scholar] [CrossRef]
- Lieberman, M.B.; Montgomery, D.B. First-Mover Advantages. Strateg. Manag. J. 1988, 9, 41–58. [Google Scholar] [CrossRef]
- Wang, S.; Cavusoglu, H.; Deng, Z. Information & Management Early mover advantage in e-commerce platforms with low entry barriers: The role of customer relationship management capabilities. Inf. Manag. 2016, 53, 197–206. [Google Scholar]
- Kassim, E.S.; Othman, A.K.; Zamzuri, N.H. Strategies for sustainable social commerce: The roles of customer focus, innovative business model, legality and trust. Inf. J. 2016, 19, 2907–2912. [Google Scholar]
- Wu, Y.; Deng, S.; Huang, H. Information propagation through opportunistic communication in mobile social networks. Mob. Networks Appl. 2012, 17, 773–781. [Google Scholar] [CrossRef]
- Zhao, N.; Cui, X. Impact of individual interest shift on information dissemination in modular networks. Phys. A Stat. Mech. Its Appl. 2017, 466, 232–242. [Google Scholar] [CrossRef]
- Chen, J.V.; Su, B.C.; Widjaja, A.E. Facebook C2C social commerce: A study of online impulse buying. Decis. Support Syst. 2016, 83, 57–69. [Google Scholar] [CrossRef]
- Wang, N.; Li, Q.; Liang, H.; Ye, T.; Ge, S. Understanding the importance of interaction between creators and backers in crowdfunding success. Electron. Commer. Res. Appl. 2018, 27, 106–117. [Google Scholar] [CrossRef]
- Liang, T.-P.; Ho, Y.-T.; Li, Y.-W.; Turban, E. What drives social commerce: The role of social support and relationship quality. Int. J. Electron. Commer. 2011, 16, 69–90. [Google Scholar] [CrossRef]
- Yin, X.; Wang, H.; Xia, Q.; Gu, Q. How social interaction affects purchase intention in social commerce: A cultural perspective. Sustainability 2019, 11, 2423. [Google Scholar] [CrossRef]
- Hajli, N.; Sims, J. Social commerce: The transfer of power from sellers to buyers. Technol. Forecast. Soc. Chang. 2015, 94, 350–358. [Google Scholar] [CrossRef]
- Zhou, L.; Zhang, P.; Zimmermann, H.-D. Social commerce research: An integrated view. Electron. Commer. Res. Appl. 2013, 12, 61–68. [Google Scholar] [CrossRef]
- Fazeli, A.; Ajorlou, A.; Jadbabaie, A. Competitive diffusion in social networks: Quality or seeding? IEEE Trans. Control Netw. Syst. 2017, 4, 665–675. [Google Scholar] [CrossRef]
- Wang, R.; Rho, S.; Chen, B.-W.; Cai, W. Modeling of large-scale social network services based on mechanisms of information diffusion: Sina Weibo as a case study. Futur. Gener. Comput. Syst. 2017, 74, 291–301. [Google Scholar] [CrossRef]
- Huang, Z.; Benyoucef, M. From e-commerce to social commerce: A close look at design features. Electron. Commer. Res. Appl. 2013, 12, 246–259. [Google Scholar] [CrossRef]
- Wang, C.; Ping, Z. The evolution of social commerce: An examination from the people, business, technology, and information perspective. Commun. AIS 2012, 31, 105–127. [Google Scholar]
- Granovetter, M. Threshold models of collective behavior. Am. J. Sociol. 1978, 83, 1420–1443. [Google Scholar] [CrossRef]
- Goldenberg, J.; Libai, B.; Muller, E. Talk of the network: A complex systems look at the underlying process of Word-of-Mouth. Mark. Lett. 2001, 12, 211–223. [Google Scholar] [CrossRef]
- Daley, D.J.; Gani, J. Epidemic Modelling: An Introduction; Cambridge University Press: Cambridge, UK, 2001. [Google Scholar]
- Suarez, F.F. The Role of environmental dynamics in building a First Mover Advantage theory. Acad. Manag. Rev. 2007, 32, 377–392. [Google Scholar] [CrossRef]
- Lópeza, L.E.; Robertsb, E.B. First-mover advantages in regimes of weak appropriability: The case of financial services innovations. J. Bus. Res. 2002, 55, 997–1005. [Google Scholar] [CrossRef]
- Yadav, M.S.; de Valck, K.; Hennig-Thurau, T.; Hoffman, D.L.; Spann, M. Social commerce: A contingency framework for assessing marketing potential. J. Interact. Mark. 2013, 27, 311–323. [Google Scholar] [CrossRef]
- Engel, J.F.; Blackwell, R.D.; Miniard, P.W. Consumer Behavior, 8th ed.; Harcourt Education: Fort Worth, TX, USA, 1995. [Google Scholar]
- Saura, J.R.; Herráez, B.R.; Reyes-Menendez, A. Comparing a traditional approach for financial brand communication analysis with a big data analytics technique. IEEE Access 2019, 7, 37100–37108. [Google Scholar] [CrossRef]
- Kim, K.; Kwahk, B. Effects of social media on consumers’ purchase decisions: Evidence from Taobao. Serv. Bus. 2017, 11, 803–829. [Google Scholar]















| Symbol | Explanation | ||
|---|---|---|---|
| UI | A node that has not received the information; it has the chance to receive the information | ||
| I | A node that has received the information but has not purchased yet; it has the ability to spread the information | ||
| C | A node that purchases only once after receiving the information; it has the ability to spread the information | ||
| D | A node that has received the information and discards it after that | ||
| UI(t) | Number of UI nodes at time t | ||
| I(t) | Number of I nodes at time t | ||
| C(t) | Number of C nodes at time t | ||
| D(t) | Number of D nodes at time t | ||
| V(t) | Number of the nodes that have been informed (C&D) at time t | ||
| The indicator that UI node j receives information i in time interval [t, t + Δt] | |||
| The indicator that I node k purchases product i in time interval [t, t + Δt] | |||
| The indicator that I node k discards information i in time interval [t, t + Δt] | |||
| Variable | Explanation | Parameter | Explanation |
| N | Number of all nodes | L | Information attractiveness degree |
| M | Amount of product information | ρ | Information breakout time |
| T | Maximum message lifetime | σ | Information diffusion duration |
| i | A particular piece of product information | λ | Exponential parameter of the nodes’ contact rate |
| j | An I state node | α | Exponential parameter of the purchase rate |
| k | A UI state node | μ | Exponential parameter of discard rate |
© 2019 by the authors. Licensee MDPI, Basel, Switzerland. This article is an open access article distributed under the terms and conditions of the Creative Commons Attribution (CC BY) license (http://creativecommons.org/licenses/by/4.0/).
Share and Cite
Li, H.; Zhao, N. Better Earlier than Longer: First-Mover Advantage in Social Commerce Product Information Competition. Sustainability 2019, 11, 4630. https://doi.org/10.3390/su11174630
Li H, Zhao N. Better Earlier than Longer: First-Mover Advantage in Social Commerce Product Information Competition. Sustainability. 2019; 11(17):4630. https://doi.org/10.3390/su11174630
Chicago/Turabian StyleLi, Hui, and Narisa Zhao. 2019. "Better Earlier than Longer: First-Mover Advantage in Social Commerce Product Information Competition" Sustainability 11, no. 17: 4630. https://doi.org/10.3390/su11174630
APA StyleLi, H., & Zhao, N. (2019). Better Earlier than Longer: First-Mover Advantage in Social Commerce Product Information Competition. Sustainability, 11(17), 4630. https://doi.org/10.3390/su11174630

