Analysis of Spatiotemporal Urban Temperature Characteristics by Urban Spatial Patterns in Changwon City, South Korea
Abstract
1. Introduction
2. Materials and Methods
2.1. Research Area
2.2. Data Collection
2.2.1. ASTER LST Data
2.2.2. Air Temperature Data
2.2.3. Spatial Data
2.3. Analysis of Spatiotemporal Characteristics of Urban Temperature
3. Results and Discussion
3.1. Spatial Characteristics Surrounding Meteorological Measurement Stations
3.2. Characteristics of Urban Temperature
3.2.1. Air Temperature
3.2.2. Land Surface Temperature
3.2.3. Correlation between Air Temperature and LST
3.3. Relationship between Spatial Pattern and Urban Temperature
3.3.1. Temperature Profiles
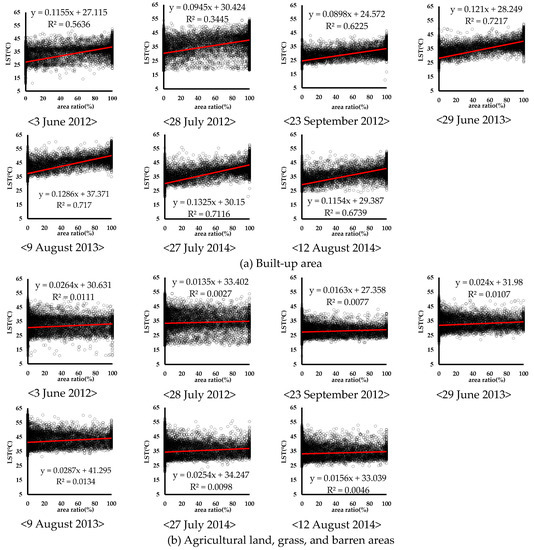
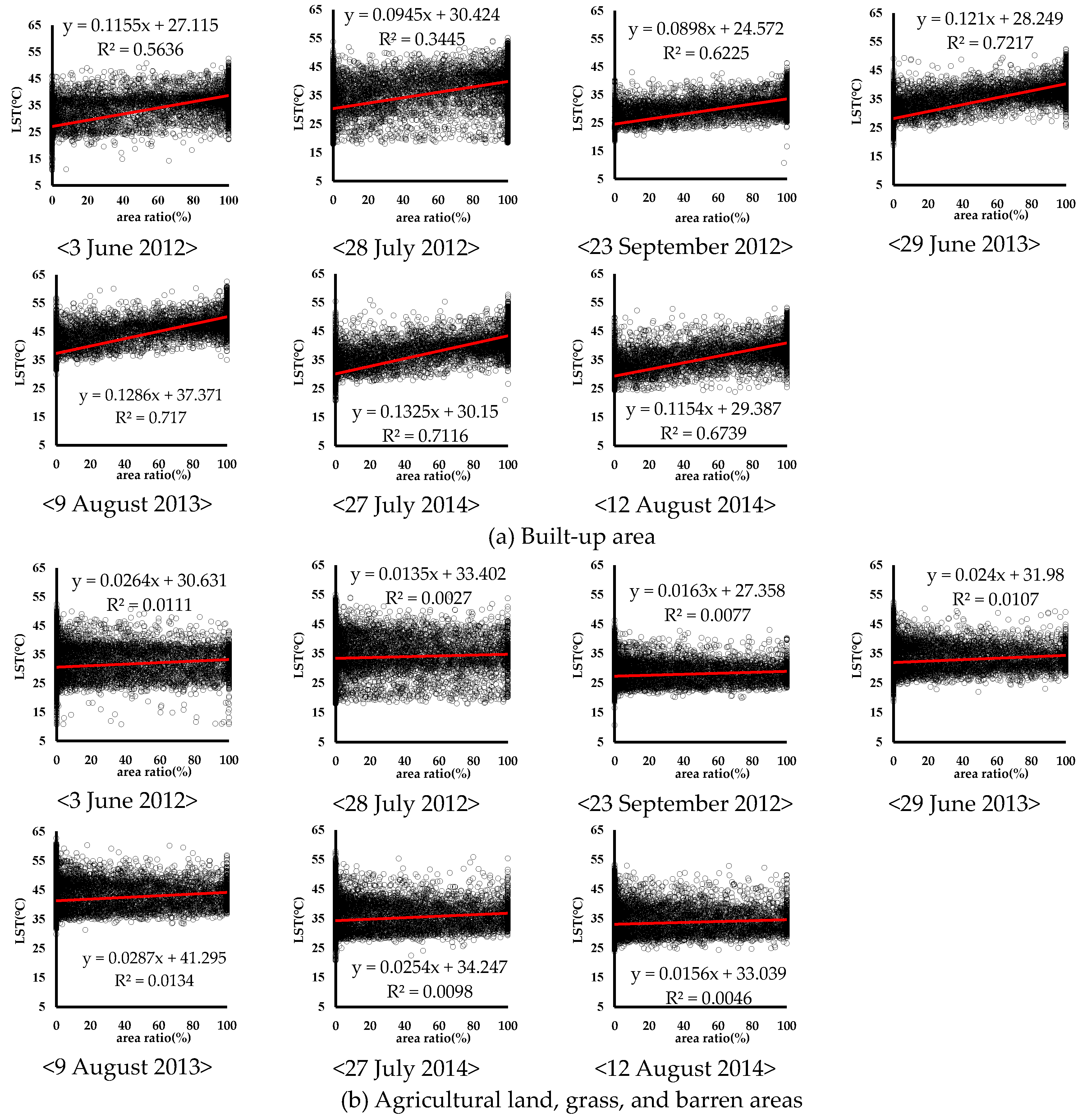
3.3.2. Relationship between Landcover Area Ratio and Urban Temperature
3.4. Discussion
4. Conclusions
Author Contributions
Funding
Conflicts of Interest
References
- Rizwan, A.M.; Dennis, L.Y.C.; Liu, C. A review on the generation, determination and mitigation of the Urban Heat Island. J. Environ. Sci. 2008, 20, 120–128. [Google Scholar] [CrossRef]
- Adams, M.P.; Smith, P.L. A systematic approach to model the influence of the type and density of vegetation cover on urban heat using remote sensing. Landsc. Urban Plan 2014, 132, 47–54. [Google Scholar] [CrossRef]
- Phelan, P.E.; Kaloush, K.; Miner, M.; Golden, J.; Phelan, B.; Silva, I.I.I.H.; Taylor, R.A. Urban heat island: Mechanisms, implications, and possible remedies. Annu. Rev. Environ. Resour. 2015, 40, 285–307. [Google Scholar] [CrossRef]
- Levermore, G.; Parkinson, J.; Lee, K.; Laycock, P.; Lindley, S. The increasing trend of the urban heat island intensity. Urban Clim. 2018, 24, 360–368. [Google Scholar] [CrossRef]
- Santamouris, M. Using cool pavements as a mitigation strategy to fight urban heat island-a review of the actual development. Renew. Sustain. Energy Rev. 2013, 26, 224–240. [Google Scholar] [CrossRef]
- Jamei, E.; Rajagopalan, P.; Seyedmahmoudian, M.; Jamei, Y. Review on the impact of urban geometry and pedestrian level greening on outdoor thermal comfort. Renew. Sustain. Energy Rev. 2016, 54, 1002–1017. [Google Scholar] [CrossRef]
- Tan, J.; Zheng, Y.; Tang, X.; Guo, C.; Li, L.; Song, G.; Zhen, X.; Yuan, D.; Kalkstein, A.J.; Li, F.; et al. The urban heat island and its impact on heat waves and human health in Shanghai. Int. J. Biometeorol. 2010, 54, 75–84. [Google Scholar] [CrossRef] [PubMed]
- Coseo, P.; Larsen, L. How factors of land use/land cover, building configuration, and adjacent heat sources and sinks explain Urban Heat Islands in Chicago. Landsc. Urban. Plan. 2014, 125, 117–129. [Google Scholar] [CrossRef]
- Wang, W.; Liu, K.; Tang, R.; Wang, S. Remote sensing image-based analysis of the urban heat island effect in Shenzhen, China. Phys. Chem. Earth 2019. [Google Scholar] [CrossRef]
- Schwarz, N.; Schlink, U.; Franck, U.; Großmann, K. Relationship of land surface and air temperatures and its implications for quantifying urban heat island indicators-An application for the City of Leipzig (Germany). Ecol. Indic. 2012, 18, 693–704. [Google Scholar] [CrossRef]
- Pongracz, R.; Bartholy, J.; Dezso, Z. Application of remotely sensed thermal information to urban climatology of Central European cities. Phys. Chem. Earth 2010, 35, 95–99. [Google Scholar] [CrossRef]
- Weng, Q. Thermal infrared remote sensing for urban climate and environmental studies: Methods, applications, and trends. ISPRS J. Photogramm. Remote Sens. 2009, 64, 335–344. [Google Scholar] [CrossRef]
- Yang, Q.; Huang, X.; Tang, Q. The footprint of urban heat island effect in 302 Chinese cities: Temporal trends and associated factors. Sci. Total Environ. 2019, 655, 652–662. [Google Scholar] [CrossRef] [PubMed]
- Voogt, J.A.; Oke, T.R. Thermal remote sensing of urban climates. Remote Sens. Environ. 2003, 86, 370–384. [Google Scholar] [CrossRef]
- Grimmond, S. Urbanization and global environmental change: Local effects of urban warming. Geogr. J. 2007, 173, 83–88. [Google Scholar] [CrossRef]
- Martin, P.; Baudouin, Y.; Gachon, P. An alternative method to characterize the surface urban heat island. Int. J. Biometeorol. 2015, 59, 849–861. [Google Scholar] [CrossRef]
- Jamei, Y.; Rajagopalan, P.; Sun, Q. Spatial structure of surface urban heat island and its relationship with vegetation and built-up areas in Melbourne, Australia. Sci. Total Environ. 2019, 659, 1335–1351. [Google Scholar] [CrossRef]
- Li, J.; Song, C.; Cao, L.; Zhu, F.; Meng, X.; Wu, J. Impacts of landscape structure on surface urban heat islands: A case study of Shanghai, China. Remote Sens. Environ. 2011, 115, 3249–3263. [Google Scholar] [CrossRef]
- Weng, Q.; Lu, D.; Schubring, J. Estimation of land surface temperature–vegetation abundance relationship for urban heat island studies. Remote Sens. Environ. 2004, 89, 467–483. [Google Scholar] [CrossRef]
- Yuan, F.; Bauer, M.E. Comparison of impervious surface area and normalized difference vegetation index as indicators of surface urban heat island effects in Landsat imagery. Remote Sens. Environ. 2007, 106, 375–386. [Google Scholar] [CrossRef]
- Duncan, J.M.A.; Boruff, B.; Saunders, A.; Sun, Q.; Hurley, J.; Amati, M. Turning down the heat: An enhanced understanding of the relationship between urban vegetation and surface temperature at the city scale. Sci. Total Environ. 2019, 656, 118–128. [Google Scholar] [CrossRef] [PubMed]
- Chen, X.-L.; Zhao, H.-M.; Li, P.-X.; Yin, Z.-Y. Remote sensing image-based analysis of the relationship between urban heat island and land use/cover changes. Remote Sens. Environ. 2006, 104, 133–146. [Google Scholar] [CrossRef]
- Klok, L.; Zwart, S.; Verhagen, H.; Mauri, E. The surface heat island of Rotterdam and its relationship with urban surface characteristics. Resour. Conserv. Recycl. 2012, 64, 23–29. [Google Scholar] [CrossRef]
- Benali, A.; Carvalho, A.C.; Nunes, J.P.; Carvalhais, N.; Santos, A. Estimating air temperature in Portugal using MODIS LSAT data. Remote Sens. Environ. 2012, 124, 108–121. [Google Scholar] [CrossRef]
- Kloog, I.; Chudnovsky, A.; Koutrakis, P.; Schwartz, J. Temporal and spatial assessments of minimum air temperature using satellite surface temperature measurements in Massachusetts, USA. Sci. Total Environ. 2012, 432, 85–92. [Google Scholar] [CrossRef]
- Coutts, A.M.; Harris, R.J.; Phan, T.; Livesley, S.J.; Williams, N.S.G.; Tapper, N. Thermal infrared remote sensing of urban heat: Hotspots, vegetation, and an assessment of techniques for use in urban planning. Remote Sens. Environ. 2016, 186, 637–651. [Google Scholar] [CrossRef]
- Wang, Y.C.; Hu, B.K.H.; Myint, S.W.; Feng, C.C.; Chow, W.T.L.; Passy, P.F. Patterns of land change and their potential impacts on land surface temperature change in Yangon, Myanmar. Sci Total Environ. 2018, 643, 738–750. [Google Scholar] [CrossRef]
- Ferreira, L.S.; Duarte, D.H.S. Exploring the relationship between urban form, land surface temperature and vegetation indices in a subtropical megacity. Urban. Clim. 2019, 27, 105–123. [Google Scholar] [CrossRef]
- Hereher, M.E. Effect of land use/cover change on land surface temperatures—The Nile Delta, Egypt. J. Afr. Earth Sci. 2017, 126, 75–83. [Google Scholar] [CrossRef]
- Pal, S.; Ziaul, S. Dection of land use and land cover change and land surface temperature in English Bazar urban centre. Egypt. J. Remote Sens. 2017, 20, 125–145. [Google Scholar] [CrossRef]
- Zhou, D.; Xiao, J.; Bonafoni, S.; Berger, C.; Deilami, K.; Zhou, Y.; Frolking, S.; Yao, R.; Qiao, Z.; Sobrino, J.A. Satellite Remote Sensing of Surface Urban Heat Islands: Progress, Challenges, and Perspectives. Remote Sens. 2019, 11, 48. [Google Scholar] [CrossRef]
- Zhang, P.; Bounoua, L.; Imhoff, M.L.; Wolfe, R.E.; Thome, K. Comparison of MODIS land surface temperature and air temperature over the continental USA meteorological stations. Can. J. Remote Sens. 2014, 40, 110–122. [Google Scholar] [CrossRef]
- Sun, H.; Chen, Y.; Zhan, W. Comparing surface-and canopy-layer urban heat islands over Beijing using MODIS data. Int. J. Remote Sens. 2015, 36, 5448–5465. [Google Scholar] [CrossRef]
- Azevedo, J.A.; Chapman, L.; Muller, C.L. Quantifying the daytime and night-time urban heat island in Birmingham, UK: A comparison of satellite derived land surface temperature and high resolution air temperature observations. Remote Sens. 2016, 8, 153. [Google Scholar] [CrossRef]
- Li, L.; Huang, X.; Li, J.; Wen, D. Quantifying the spatiotemporal trends of canopy layer heat island (CLHI) and its driving factors over Wuhan, China with satellite remote sensing. Remote Sens. 2017, 9, 536. [Google Scholar] [CrossRef]
- Sheng, L.; Tang, X.; You, H.; Gu, Q.; Hu, H. Comparison of the urban heat island intensity quantified by using air temperature and Landsat land surface temperature in Hangzhou, China. Ecol. Indic. 2017, 72, 738–746. [Google Scholar] [CrossRef]
- Tran, D.X.; Pla, F.; Latorre-Carmona, P.; Myint, S.W.; Caetano, M.; Kieu, H.V. Characterizing the relationship between land use land cover change and land surface temperature. ISPRS J. Photogramm. Remote Sens. 2017, 124, 119–132. [Google Scholar] [CrossRef]
- Song, B.G.; Park, K.H. Contribution of greening and high-albedo coatings to improvements in the thermal environment in complex urban areas. Adv. Meteorol. 2015, 14, 792172. [Google Scholar] [CrossRef]
- Song, B.G.; Kim, G.A.; Seo, K.H.; Lee, S.W.; Park, K.H. Analysis of Surface Temperature Characteristics by Land Surface Fabrics Using TIR Images. J. Korean Assoc. Geogr. Inf. Stud. 2018, 21, 162–175. [Google Scholar]
- Song, B.G.; Park, K.H. Air Ventilation Evaluation at Nighttime for the Construction of Wind Corridor in Urban Area. J. Korean Assoc. Geogr. Inf. Stud. 2013, 16, 16–29. [Google Scholar] [CrossRef][Green Version]
- Song, B.G.; Park, K.H. Validation of ASTER Surface Temperature Data with In Situ Measurements to Evaluate Heat Islands in Complex Urban Areas. Adv. Meteorol. 2014, 620410. [Google Scholar] [CrossRef]
- Hartz, D.A.; Prashad, L.; Hedquist, B.C.; Golden, J.; Brazel, A.J. Linking satellite images and hand-held infrared thermography to observed neighborhood climate conditions. Remote Sens. Environ. 2006, 104, 190–200. [Google Scholar] [CrossRef]
- Gillespie, A.; Rokugawa, S.; Matsunaga, T.; Cothern, J.S.; Hook, S.; Kahle, A.B. A Temperature and Emissivity Separation Algorithm for Advanced Spaceborne Thermal Emission and Reflection Radiometer (ASTER) Images. IEEE Trans. Geosci. Remote Sens. 1998, 36, 1113–1126. [Google Scholar] [CrossRef]
- Homepage of Disaster and Safety Countermeasures Headquarters of Changwon City. Available online: http://bangjae.changwon.go.kr (accessed on 15 February 2019).
- Weber, S. Comparison of in-situ measured ground heat fluxes within a heterogeneous urban ballast layer. Theor. Appl. Climatol. 2006, 83, 169–179. [Google Scholar] [CrossRef]
- Sun, Y.J.; Wang, J.F.; Zhang, R.H.; Gillies, R.R.; Xue, Y.; Bo, Y.C. Air temperature retrieval from remote sensing data based on thermodynamics. Theor. Appl. Climatol. 2005, 80, 37–48. [Google Scholar] [CrossRef]
- Fu, G.; Shen, Z.; Zhang, X.; Shi, P.; Zhang, Y.; Wu, J. Estimating air temperature of an alpine meadow on the Northern Tibetan Plateau using MODIS land surface temperature. Acta Ecol. Sin. 2011, 31, 8–13. [Google Scholar] [CrossRef]
- Cheng, K.S.; Su, Y.F.; Kuo, F.T.; Hung, W.C.; Chiang, J.L. Assessing the effect of landcover changes on air temperature using remote sensing images—A pilot study in northern Taiwan. Landsc. Urban. Plan 2008, 85, 85–96. [Google Scholar] [CrossRef]
- Takebayashi, H.; Moriyama, M. Study on the urban heat island mitigation effect achieved by converting to grass-covered parking. Sol. Energy 2009, 83, 1211–1223. [Google Scholar] [CrossRef]
- Nichol, J.E.; Fung, W.Y.; Lam, K.; Wong, M.S. Urban heat island diagnosis using ASTER satellite images and ‘in situ’ air temperature. Atmos. Res. 2009, 94, 276–284. [Google Scholar] [CrossRef]
- Ng, E.; Chen, L.; Wang, Y.; Yuan, C. A study on the cooling effects of greening in a high-density city: An experience from Hong Kong. Build. Environ. 2012, 47, 256–271. [Google Scholar] [CrossRef]
- Zhao, Z.Q.; He, B.J.; Li, L.G.; Wang, H.B.; Darko, A. Profile and concentric zonal analysis of relationship between land use/land cover and land surface temperature: Case study of Shenyang, China. Energ. Build. 2017, 155, 282–295. [Google Scholar] [CrossRef]









| Time | Date | Local Time (UTC + 9) |
|---|---|---|
| Daytime | 3 June 2012 | 14:19 |
| 28 July 2012 | 14:10 | |
| 23 September 2012 | 14:16 | |
| 29 June 2013 | 14:21 | |
| 9 August 2013 | 14:20 | |
| 27 July 2014 | 14:18 | |
| 12 August 2014 | 14:22 | |
| Nighttime | 3 July 2012 | 01:35 |
| 5 September 2012 | 01:34 | |
| 21 September 2012 | 01:31 | |
| 28 September 2012 | 01:37 | |
| 14 August 2013 | 01:33 |
| Station | Area Ratio of Land Use (%) | Building | Elevation (m) | ||
|---|---|---|---|---|---|
| Urban | Natural | Area Ratio (%) | Mean Height | ||
| St. 1 | 98.72 | 1.28 | 36.71 | 8.54 | 23.66 |
| St. 2 | 79.65 | 20.35 | 20.52 | 7.53 | 14.26 |
| St. 3 | 87.09 | 12.91 | 5.82 | 10.81 | 39.16 |
| St. 4 | 0.00 | 100.00 | 1.11 | 6.75 | 96.57 |
| St. 5 | 24.05 | 75.95 | 8.92 | 9.17 | 11.60 |
| Station | Daytime | Nighttime | ||||||||||||
|---|---|---|---|---|---|---|---|---|---|---|---|---|---|---|
| 2012 | 2013 | 2014 | Mean | 2012 | 2013 | Mean | ||||||||
| 3 June | 28 July | 23 September | 29 June | 9 August | 27 July | 12 August | 3 July | 5 September | 21 September | 28 September | 14 August | |||
| St. 1 | 26.8 | 35.7 | 27.1 | 29.5 | 35.6 | 32.1 | 30.7 | 31.1 | 23.9 | 25.6 | 17.5 | 17.8 | 27.0 | 22.4 |
| St. 2 | 26.1 | 34.4 | 25.6 | 29.1 | 34.3 | 29.0 | 29.3 | 29.7 | 22.7 | 24.9 | 17.1 | 17.5 | 25.8 | 21.6 |
| St. 3 | 25.0 | 34.3 | 28.6 | 29.0 | 34.5 | 29.7 | 34.2 | 30.8 | 24.4 | 26.7 | 19.1 | 19.1 | 27.8 | 23.4 |
| St. 4 | 25.8 | - | 24.9 | - | - | 29.2 | 28.6 | 27.1 | 22.9 | - | 15.8 | 15.9 | - | 18.2 |
| St. 5 | - | 34.3 | 26.6 | 29.9 | 35.1 | 31.6 | 30.4 | 31.3 | - | 25.6 | 16.7 | 16.4 | 26.8 | 21.4 |
| Mean | 25.9 | 34.7 | 26.6 | 29.4 | 34.9 | 30.3 | 30.6 | 30.0 | 23.5 | 25.7 | 17.2 | 17.3 | 26.9 | 21.4 |
| Max.–Min. | 2.6 | 1.4 | 3.7 | 2.2 | 1.5 | 3.6 | 5.6 | 2.9 | 1.8 | 1.8 | 3.3 | 3.5 | 2.6 | 2.6 |
| Station | Daytime | Nighttime | ||||||||||||
|---|---|---|---|---|---|---|---|---|---|---|---|---|---|---|
| 2012 | 2013 | 2014 | Mean | 2012 | 2013 | Mean | ||||||||
| 3 June | 28 July | 3 September | 29 June | 9 August | 27 July | 12 August | 3 July | 5 September | 21 September | 28 September | 14 August | |||
| St. 1 | 34.9 | 38.6 | 31.3 | 36.3 | 46.8 | 40.5 | 40.5 | 38.4 | 22.8 | 22.6 | 17.3 | 16.6 | 27.2 | 21.3 |
| St. 2 | 36.6 | 39.5 | 31.2 | 35.8 | 48.7 | 41.9 | 37.7 | 38.8 | 24.4 | 23.4 | 18.7 | 18.4 | 29.1 | 22.8 |
| St. 3 | 27.9 | 24.5 | 29.8 | 33.6 | 42.9 | 38.8 | 30.0 | 32.5 | 22.7 | 21.5 | 16.5 | 18.0 | 27.0 | 21.1 |
| St. 4 | 32.0 | 29.1 | 29.2 | 35.0 | 44.2 | 35.5 | 32.2 | 33.9 | 23.2 | 22.2 | 16.5 | 17.4 | 26.9 | 21.2 |
| St. 5 | 34.2 | 36.0 | 27.5 | 36.9 | 47.3 | 41.6 | 34.9 | 36.9 | 23.0 | 22.2 | 17.0 | 15.6 | 27.0 | 21.0 |
| Mean | 33.1 | 33.6 | 29.8 | 35.5 | 46.0 | 39.7 | 35.1 | 36.1 | 23.2 | 22.4 | 17.2 | 17.2 | 27.4 | 21.5 |
| Max.–Min. | 8.7 | 15.0 | 3.8 | 3.3 | 5.8 | 6.4 | 10.5 | 7.6 | 2.9 | 1.9 | 2.2 | 2.8 | 2.2 | 2.4 |
| N | 2012 | 2013 | 2014 | Mean | ||||||
|---|---|---|---|---|---|---|---|---|---|---|
| 3 June | 28 July | 23 September | 29 June | 9 August | 27 July | 12 August | ||||
| Land use | RA | 50 | 36.08 | 38.54 | 30.60 | 37.08 | 45.88 | 38.68 | 36.95 | 37.69 |
| IN | 6 | 34.35 | 40.35 | 27.93 | 34.80 | 43.70 | 36.74 | 36.40 | 36.32 | |
| CA | 3 | 28.34 | 34.48 | 25.49 | 29.16 | 38.04 | 30.25 | 30.48 | 30.89 | |
| PA | 9 | 33.84 | 39.45 | 29.32 | 34.95 | 43.34 | 37.62 | 36.73 | 36.47 | |
| TA | 18 | 34.77 | 36.31 | 29.55 | 34.22 | 44.31 | 37.32 | 34.92 | 35.91 | |
| AL | 23 | 34.63 | 25.02 | 30.05 | 35.50 | 45.23 | 38.05 | 35.60 | 34.87 | |
| Fo | 66 | 30.30 | 30.31 | 26.20 | 31.09 | 40.79 | 33.09 | 31.21 | 31.85 | |
| Gr | 18 | 32.34 | 34.43 | 25.89 | 29.93 | 38.02 | 30.34 | 32.02 | 31.85 | |
| Ba | 18 | 33.16 | 31.25 | 27.46 | 33.47 | 41.66 | 34.50 | 32.65 | 33.45 | |
| We | 1 | 32.21 | 32.94 | 27.05 | 38.07 | 44.87 | 36.74 | 27.86 | 34.25 | |
| DEM | 0–50 m | 114 | 35.09 | 35.34 | 29.80 | 35.57 | 44.82 | 37.77 | 36.02 | 36.34 |
| 50–100 m | 47 | 30.10 | 30.35 | 26.87 | 31.62 | 41.69 | 33.87 | 31.50 | 32.28 | |
| 100–150 m | 30 | 30.91 | 31.82 | 24.85 | 29.68 | 37.77 | 30.10 | 30.74 | 30.84 | |
| 150–200 m | 6 | 29.57 | 33.30 | 24.75 | 29.47 | 37.42 | 30.53 | 29.99 | 30.72 | |
| +200 m | 15 | 25.50 | 27.92 | 22.52 | 26.73 | 35.07 | 27.92 | 27.57 | 27.60 | |
| N | 2012 | 2013 | Mean | |||||
|---|---|---|---|---|---|---|---|---|
| 3 July | 5 September | 21 September | 28 September | 14 August | ||||
| Land use | RA | 50 | 22.85 | 22.69 | 18.24 | 17.52 | 28.01 | 21.86 |
| IN | 6 | 22.89 | 21.72 | 16.73 | 17.12 | 26.22 | 20.94 | |
| CA | 3 | 22.13 | 22.27 | 18.33 | 16.74 | 26.40 | 21.17 | |
| PA | 9 | 22.86 | 22.61 | 17.46 | 17.47 | 26.68 | 21.42 | |
| TA | 18 | 23.36 | 22.80 | 17.78 | 18.36 | 27.56 | 21.97 | |
| AL | 23 | 23.12 | 22.56 | 17.34 | 18.15 | 27.25 | 21.68 | |
| Fo | 66 | 22.08 | 21.68 | 17.05 | 17.50 | 26.35 | 20.93 | |
| Gr | 18 | 22.31 | 22.03 | 16.09 | 17.04 | 25.48 | 20.59 | |
| Ba | 18 | 22.55 | 22.10 | 16.62 | 16.42 | 25.64 | 20.67 | |
| We | 1 | 23.27 | 22.10 | 16.05 | 17.10 | 26.78 | 21.06 | |
| DEM | 0–50 m | 114 | 22.97 | 22.61 | 17.80 | 17.76 | 27.48 | 21.72 |
| 50–100 m | 47 | 22.13 | 21.86 | 17.22 | 17.77 | 26.63 | 21.12 | |
| 100–150 m | 30 | 22.00 | 21.44 | 16.25 | 16.79 | 25.49 | 20.39 | |
| 150–200 m | 6 | 21.97 | 22.12 | 16.44 | 16.36 | 24.49 | 20.27 | |
| +200 m | 15 | 22.79 | 22.07 | 16.60 | 16.50 | 26.02 | 20.79 | |
© 2019 by the authors. Licensee MDPI, Basel, Switzerland. This article is an open access article distributed under the terms and conditions of the Creative Commons Attribution (CC BY) license (http://creativecommons.org/licenses/by/4.0/).
Share and Cite
Song, B.; Park, K. Analysis of Spatiotemporal Urban Temperature Characteristics by Urban Spatial Patterns in Changwon City, South Korea. Sustainability 2019, 11, 3777. https://doi.org/10.3390/su11143777
Song B, Park K. Analysis of Spatiotemporal Urban Temperature Characteristics by Urban Spatial Patterns in Changwon City, South Korea. Sustainability. 2019; 11(14):3777. https://doi.org/10.3390/su11143777
Chicago/Turabian StyleSong, Bonggeun, and Kyunghun Park. 2019. "Analysis of Spatiotemporal Urban Temperature Characteristics by Urban Spatial Patterns in Changwon City, South Korea" Sustainability 11, no. 14: 3777. https://doi.org/10.3390/su11143777
APA StyleSong, B., & Park, K. (2019). Analysis of Spatiotemporal Urban Temperature Characteristics by Urban Spatial Patterns in Changwon City, South Korea. Sustainability, 11(14), 3777. https://doi.org/10.3390/su11143777

