Research on Group Choice Behavior in Green Travel Based on Planned Behavior Theory and Complex Network
Abstract
1. Introduction
2. Relevant Research and Literature Review
2.1. Group Behavior
2.2. Theory of Planned Behavior
2.3. Multi-Agent Simulation
3. Modeling
3.1. Individual Choice Behavior Model
- t: represents time and .
- i: represents individual and .
- : represents the subjective norm that will make individuals receive pressure from others [13]. Imagine that when most of neighbors are traveling green, the individual will feel certain pressure from a moral level. For example, the large amount of pollution by the use of traditional motor vehicles will cause damage to the health of others, thus, the individual will feel guilty. This kind of pressure will make the individual want to get rid of the dilemma as soon as possible and enhance his intention to travel green. Thus, their impact on individual choice behavior is positive, and changes with time in the social network.
- : represents individual knowledge used to describe attitude, and the level of individual knowledge changes with time. Individual attitude has a positive impact on individual choice behavior and it is mainly affected by individual, social, and environmental factors, such as experience, education level, culture, customs, information, etc. [22]. It implies a common characteristic of individual knowledge, that is, individual experience, education, cultural customs, and related information are all important manifestations of individually-possessed knowledge. At the same time, relevant studies have verified that individual knowledge about the environment can change their behavioral attitude through empirical analysis [23]. Therefore, this paper will use the knowledge level to describe the individual attitude. Relevant knowledge about green travel includes the understanding about the role that green travel can play in improving the environment, the profound understanding of the current air pollution level, etc.
- : represents the perceived behavioral control, which is a description about the perception of the controllable degree of individual choice behavior. It reflects the individual personality characteristics, including academic qualifications, family income, etc., which are greatly affected by the exogenous objective conditions. When an individual believes that he has the necessary opportunities and resources to choose green travel behavior, the behavioral intention of green travel will increase with the enhancement of perceived behavioral control, that is, the influence path is “perceived behavioral control–behavior intention–behavior”. However, when individuals do not have the necessary opportunities and resources to choose green travel behaviors, it is difficult to choose green travel behaviors even if they have a strong intention to choose green travel. Since this situation is simple, it is not considered in this model. The perceived behavioral control is relatively fixed in a certain period of time as it is determined by factors outside the model. In order to describe reality more accurately, Δi is set as a constant between [−1, 0) in the model.
- : represents perception of behavioral result. The behavioral result at the previous moment will have a positive impact on individual choice behavior at the next moment, that is, the stronger perception of behavioral result, the more likely individual green travel behavior will occur. For the convenience of calculation, we regard the expectation of behavioral result at previous moment as the perception of behavioral result at next moment (see items 8 and 9 for the definition of and ):
- : represents cognitive function, which is composed by the influencing factors of individual choice behavior. According to the research of Liu et al. [17], Cui et al. [18], and in order to facilitate this research, it is assumed that these factors are independent of each other. β is the weight coefficient of the influencing factors and . The cognitive function is established as:In the formula above, , , are the weight coefficients and satisfy , which represent the weighted value of the individual behavioral result perception, the green travel knowledge and the subjective normative effects, respectively.
- : represents behavioral intention which influenced individual green travel behavior, which is a probability. On the basis of logistic function [24], it is specifically expressed as:In the formula above, is the correction factor and α > 0, which is to make the range of as wide as possible and guarantee the weight characteristics of , , at the same time. As can be seen from the Equations (2) and (3), at time t individual behavioral result perception , knowledge of green travel , subjective norm effect subjecting to the reference group and individual perceived behavioral control jointly affect individual travel intention at time , and the influences are all positive.
- : represents strategy space about behavior choice of individual that is {green travel, not green travel}. It represents the travel situation of individual i at time t and obeys to Bernoulli distribution and it is expressed by a 0–1 variable, where indicates that the individual chooses green travel and indicates that the individual does not choose green travel. The behavior of individual i on selecting green travel or not at time is determined by the individual green travel intention at time , then it is shown as:That is to say, the probability of green travel at time is , and the probability of not green travel is . So the expected value of is:
3.2. Interaction Model Based on Scale-Free Network
3.2.1. The Construction of a Scale-Free Network Model
3.2.2. The influence of Subjective Norms
- At time t, the more neighbors of individual i travel in green, the greater subjective normative effect is.
3.2.3. The Rule of Knowledge Dissemination
- In the period of time , each individual in the network communicates with its neighbors in probability . The communication between individuals and neighbors does not affect each other, and the order of communication is not considered.
- If individual communicates with its neighbor successfully in the period of time , when , the knowledge of individual remains unchanged.
- If individual communicates with its neighbor successfully in the period of time , when , individual i gains knowledge about green travel, and the amount of knowledge increment is .
4. Design of the Simulation Experiment
4.1. Scale-Free Network Default Coefficient and Initial Setting
4.2. Default Coefficient and Initial Setting
4.3. Group Choice Behavior Setting
5. Analysis and Discussion of the Simulation Experiment
5.1. The Influence of Perceived Behavioral Control on Group Choice of Green Travel in Network
- A slight change in the value of will have a significant impact on the results.
- When decreases, the proportion of green travel individuals in the group will increase slowly, and the critical point of explosive growth will move backward.
- When , the growth rate of proportion of green travel individuals become significantly slower, and when , the proportion of green travel individuals remains at 0%.
5.2. The Influence of Behavioral Attitude on the Group Choice of Green Travel in the Network
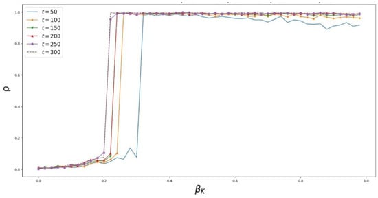
- When the value of is small, such as , the proportion of individuals who travel green does not exceed 10% even after a long time. However, when exceeds a certain critical value, the proportion of individuals who travel green is close to 100% after a certain period of time.
- With the increase of time, the critical value of decreases continuously, about 0.3 at , about 0.22 at , and about 0.2 at .
5.3. The Influence of Subjective Norms on the Group Choice of Green Travel in the Network
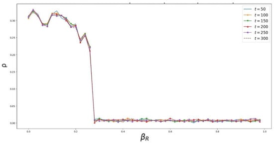
- The six curves almost coincide, indicating that the green travel level of the whole network hardly changes and remains stable;
- The larger is, the lower proportion of green travel is. When is greater than a certain critical value, the proportion of green travel drops down to about 2%.
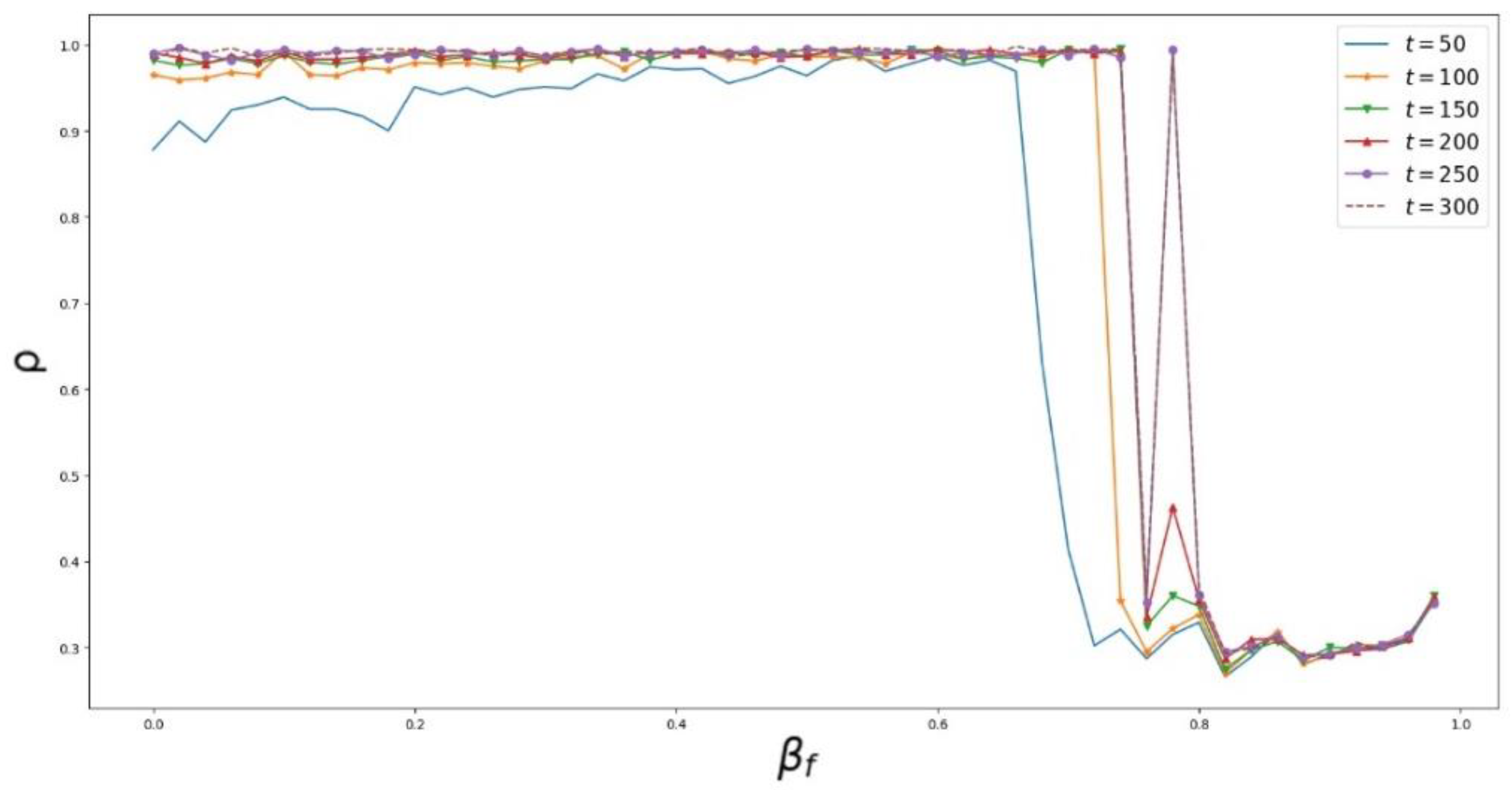
5.4. The Influence of Behavioral Result Perception on the Group Choice of Green Travel in Network
- The proportion of individual traveling green decreases with the increase of . When is greater than a certain threshold, the proportion of green travel drops down to about 0.3.
- With the increase of time, the critical value of increases continuously, about 0.65 at , about 0.75 at , and about 0.8 at .
6. Analysis of Group Choice Behavior Evolution
- The curve of keeps rising. when the network is connected, will eventually converge to the maximum value of green travel knowledge in the network if time is sufficient, namely: .
- At time around 60, the rate of green travel individuals in the group reaches a critical point, and the number of green travel individuals in the network shows an explosive growth. During that time, the changing magnitude of is far greater than the changing magnitude of and , which means that the breakthrough in the number of green travel individuals is caused by the accumulation of green travel knowledge.
- is almost identical to , that is, the average intention of green travel individuals in the group is highly coincident with the proportion of green travel individuals in the group. When the network is connected, the proportion of individuals who finally choose green travel will reach the peak through social interaction and learning.
7. Conclusions
- It is difficult to control the behavior of green travel: even if the knowledge level of green travel is high, the proportion of green travel individuals in the group is still very low.
- The individual intention for green travel is dependent on behavioral attitudes that can effectively improve the proportion of green travel individuals.
- If the individual intention is too dependent on the subjective norms and the perception of behavioral results, the proportion of green travel individuals declines.
- When the network is connected, the proportion of individuals who choose green travel will reach the peak through social interaction and learning.
- The weights of each influencing factor can be measured by the method of behavioral experiments, which are used to analyze the behavior of homogenous and heterogeneous individuals, then the rules and trends of group choice can be studied in depth.
- By relaxing the hypothesis that individual psychological factors are independent of each other, we can explore the influence of correlation among psychological factors on the evolution of group behavior.
Author Contributions
Funding
Acknowledgments
Conflicts of Interest
References
- Cui, F.; Zhang, Y. Influencing factors of urban residents’ low-carbon travel intention. Urban Probl. 2017, 11, 96–103. [Google Scholar]
- Li, Y. The analysis of influencing factors to green travel urban residents based on grounded theory. Soc. Sci. Front 2017, 6, 265–268. [Google Scholar]
- Buket, A.; Karan, G.; Serguei, N. Electric Vehicles with a Battery Switching Station: Adoption and Environmental Impact. Manag. Sci. 2014, 61, 772–794. [Google Scholar]
- Jia, S.; Mabel, C.C.; Liu, Q.Z.; Teo, C.P.; Wang, I.L. Models for Effective Deployment and Redistribution of Bicycles within Public Bicycle-Sharing Systems. Oper. Res. 2013, 61, 1346–1359. [Google Scholar]
- Ajzen, I. The theory of planned behavior. Organ. Behav. Hum. Decis. Process. 1991, 50, 179–211. [Google Scholar] [CrossRef]
- Fishbein, M.; Ajzen, I. Belief, Attitude, Intentions, and Behavior: An Introduction to Theory and Research; Addison-Wesley: Menlo Park, CA, USA, 1975. [Google Scholar]
- Zheng, J.J.; Yan, L.; Zhang, H.Y.; He, H.Y. Disposal Mechanism of Environmental PollutionMass Incidents Based on Evolutionary Game and Optimization Theory. Chin. J. Manag. Sci. 2015, 23, 168–176. [Google Scholar]
- Jin, S.; Du, J.G.; Sheng, Z.H. Evolutionary Game Analysis of Regional Environmental Protection Programme. Syst. Eng. Theory Pract. 2015, 35, 3107–3118. [Google Scholar]
- Zhao, Z.L.; Chen, Z.; Sun, W.J.; Li, L. Diffusion with Property of Differential Choice in Complex Social Network. J. Manag. Sci. China 2010, 13, 38–49. [Google Scholar]
- Liu, D.H.; Wang, W.G. Co-evolutionary Mechanism of Social Network Structure and Strategy in Mass Emergency with Maintain Legal Rights. Chin. J. Manag. Sci. 2012, 20, 185–192. [Google Scholar]
- Chen, K.; Peng, Q. Effects of Reference Group on Attitude-behavior Gap in Green Consumption. China Popul. Resour. Environ. 2014, 24, 458–461. [Google Scholar]
- Liu, W. Influence Factors and Guidance Strategy of Low Carbon Travel for Urban Resident in China. Ph.D. Thesis, Beijing Institute of Technology, Beijing, China, 31 December 2014. [Google Scholar]
- Bai, K.; Li, C.X.; Zhang, C.J. Reference Group Influence and Self-Perceived Value Judgment of Xi’an Urban Residents’ Green Travel Behavior. Hum. Geogr. 2017, 32, 37–46. [Google Scholar]
- Xu, B.; Shao, C.F.; Qian, J.P.; Li, J. Modelling for Intercity Travel Mode Choice under the Theory of Extended Planned Behavior. J. Transp. Eng. 2018, 18, 28–35. [Google Scholar]
- Jing, P.; Juan, Z.C.; Zha, Q.F. Incorporating Psychological Latent Variables into Travel Mode Choice Model. China J. Highw. Transp. 2014, 27, 84–92+108. [Google Scholar]
- Jing, P.; Juan, Z.C.; Zha, Q.F. Application of the Expanded Theory of Planned Behavior in Intercity Travel Behavior Based on MIMIC Model. J. Ind. Eng. Eng. Manag. 2016, 4, 61–68. [Google Scholar]
- Liu, W.; Tong, H.Z.; Ding, K.N. Analysis of Governmental Subsidy Factors Influencing Agri-machinery Diffusion under the Background of BOP Strategy—Simulation Research Based on Multi-agent Modeling. Manag. Rev. 2017, 29, 200–212. [Google Scholar]
- Cui, L.; Luo, L.P. Decision-making Simulation of Farmers’ Safe Production Behavior. J. Syst. Simul. 2018, 30, 1347–1360. [Google Scholar]
- Jiang, G.Y.; Ma, F.C. Evolution of interactive behavior in collaborative e-commerce. J. Manag. Sci. China 2016, 19, 1–12+126. [Google Scholar]
- Wei, X.C.; Li, Y.F.; Nie, G.H.; Chen, D.L. Research on Consumer Decision-making Interaction Behavior in New Product Diffusion Based on Regret Theory and Multi-Agent Simulation. Chin. J. Manag. Sci. 2017, 25, 66–75. [Google Scholar]
- Yang, R.R.; Long, R.Y. Study on Driving Mechanism and Policies of Urban Residents’ Green Travel Behavior. Ph.D. Thesis, China University of Mining and Technology, Xu Zhou, China, May 2016. [Google Scholar]
- Zhang, T.; Nuttall, W.J. Evaluating Government’s Policies on Promoting Smart Metering Diffusion in Retail Electricity Markets via Agent-based Simulation. J. Prod. Innov. Manag. 2011, 28, 169–186. [Google Scholar] [CrossRef]
- Sabine, D.; Stuart, H.L. The environmental value-attitude-system model: A framework to guide the understanding of environmentally conscious consumer behavior. J. Mark. 1994, 10, 593–603. [Google Scholar]
- Damodar, N.G.; Dawn, C.P. Basic Econometrics, 5th ed.; China Renmin University Press: Beijing, China, 2016. [Google Scholar]
- Jackson, M.O. Social and Economic Networks; Princeton University Press: Princeton, NJ, USA, 2010. [Google Scholar]
- Barabasi, A.L.; Albert, R. Emergence of Scaling in Random Networks. Science 1999, 286, 509–512. [Google Scholar] [PubMed]
- Damon, C. The Spread of Behavior in an Online Social Network Experiment. Science 2010, 329, 1194–1197. [Google Scholar]
- Damon, C. An Experimental Study of Homophily in the Adoption of Health Behavior. Science 2011, 334, 1269–1272. [Google Scholar]
- Downey, A.B. Think Complexity; Oreilly Vlg Gmbh & Co.: Sebastopol, CA, USA, 2012. [Google Scholar]









© 2019 by the authors. Licensee MDPI, Basel, Switzerland. This article is an open access article distributed under the terms and conditions of the Creative Commons Attribution (CC BY) license (http://creativecommons.org/licenses/by/4.0/).
Share and Cite
Zheng, J.; Xu, M.; Li, R.; Yu, L. Research on Group Choice Behavior in Green Travel Based on Planned Behavior Theory and Complex Network. Sustainability 2019, 11, 3765. https://doi.org/10.3390/su11143765
Zheng J, Xu M, Li R, Yu L. Research on Group Choice Behavior in Green Travel Based on Planned Behavior Theory and Complex Network. Sustainability. 2019; 11(14):3765. https://doi.org/10.3390/su11143765
Chicago/Turabian StyleZheng, Junjun, Mingyuan Xu, Runfa Li, and Liukai Yu. 2019. "Research on Group Choice Behavior in Green Travel Based on Planned Behavior Theory and Complex Network" Sustainability 11, no. 14: 3765. https://doi.org/10.3390/su11143765
APA StyleZheng, J., Xu, M., Li, R., & Yu, L. (2019). Research on Group Choice Behavior in Green Travel Based on Planned Behavior Theory and Complex Network. Sustainability, 11(14), 3765. https://doi.org/10.3390/su11143765
