Impact of Foreign Direct Investment on Environmental Performance
Abstract
1. Introduction
2. Theory and Methodology
2.1. Theoretical Analysis
2.2. Panel Quantile Regression Model
3. Data, Variable Selection and Measurement
3.1. Data and Sample
3.2. Variable Selection and Measurement
3.2.1. Measurement of Environmental Performance
3.2.2. Explanatory and Control Variables
3.3. Descriptive Statistics
4. Empirical Results
4.1. Impact of FDI on EP
4.2. The Heterogeneity between Developed and Developing Countries
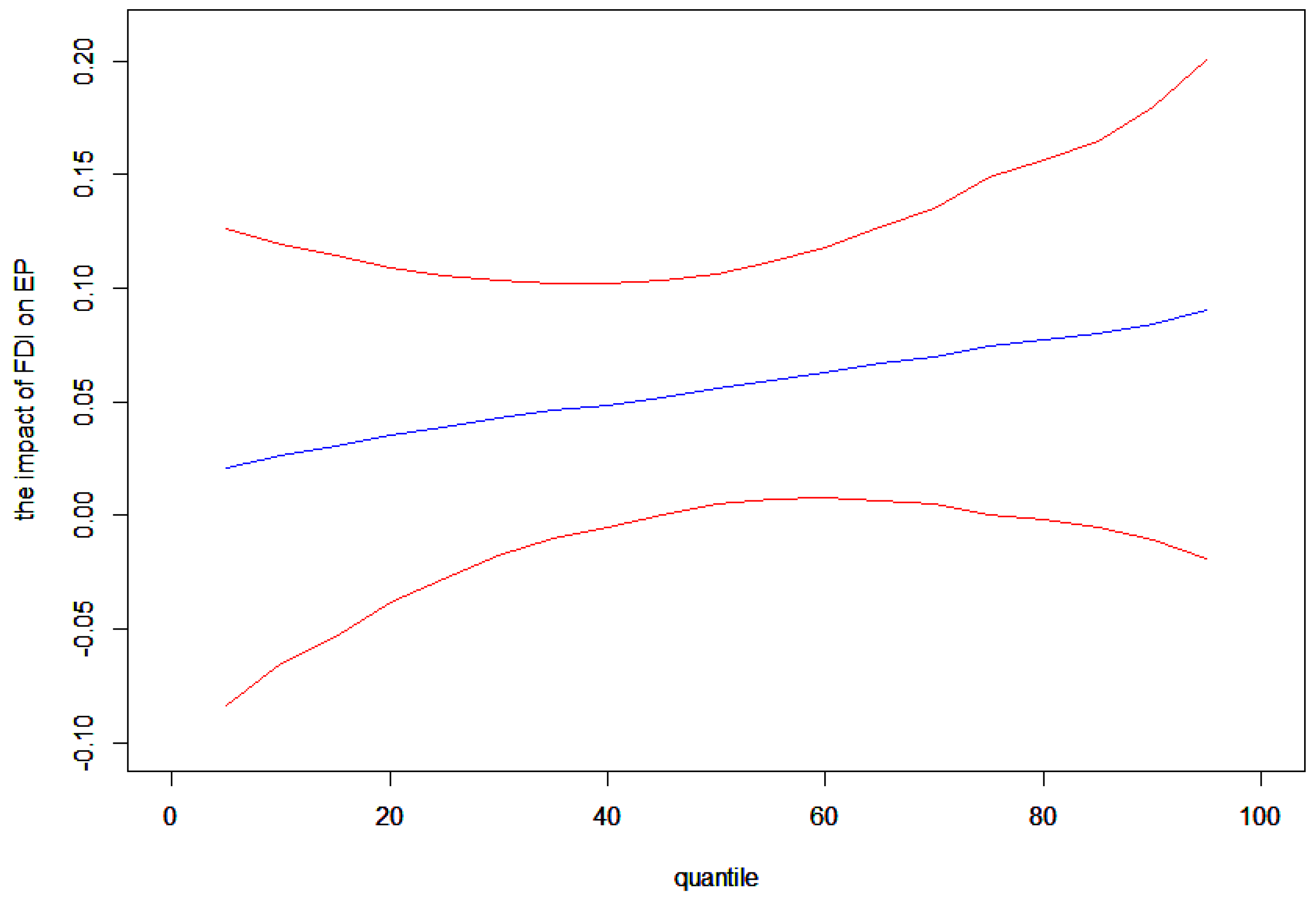
4.3. The Impact of FDI on EP in Different Quantile
5. Conclusions
Author Contributions
Funding
Acknowledgments
Conflicts of Interest
Appendix A
| Year | AUS | AUT | CAN | CHE | CYP | CZE | DEU | DNK | ESP | FIN | FRA | GBR |
| 1990 | 0.643 | 0.634 | 0.595 | 0.816 | 0.473 | 0.434 | 0.577 | 0.755 | 0.608 | 0.540 | 0.649 | 0.613 |
| 1991 | 0.638 | 0.634 | 0.586 | 0.803 | 0.472 | 0.393 | 0.594 | 0.726 | 0.610 | 0.524 | 0.645 | 0.605 |
| 1992 | 0.633 | 0.648 | 0.583 | 0.803 | 0.492 | 0.390 | 0.604 | 0.751 | 0.610 | 0.534 | 0.657 | 0.608 |
| 1993 | 0.636 | 0.647 | 0.586 | 0.813 | 0.487 | 0.392 | 0.603 | 0.741 | 0.614 | 0.530 | 0.655 | 0.616 |
| 1994 | 0.643 | 0.653 | 0.593 | 0.817 | 0.501 | 0.403 | 0.611 | 0.751 | 0.616 | 0.529 | 0.670 | 0.627 |
| 1995 | 0.646 | 0.655 | 0.596 | 0.827 | 0.529 | 0.420 | 0.615 | 0.770 | 0.618 | 0.550 | 0.672 | 0.635 |
| 1996 | 0.644 | 0.653 | 0.595 | 0.824 | 0.524 | 0.424 | 0.611 | 0.738 | 0.628 | 0.544 | 0.667 | 0.635 |
| 1997 | 0.649 | 0.659 | 0.600 | 0.828 | 0.534 | 0.413 | 0.620 | 0.775 | 0.628 | 0.559 | 0.682 | 0.653 |
| 1998 | 0.654 | 0.667 | 0.606 | 0.839 | 0.546 | 0.411 | 0.626 | 0.785 | 0.631 | 0.578 | 0.686 | 0.661 |
| 1999 | 0.661 | 0.679 | 0.614 | 0.849 | 0.558 | 0.423 | 0.636 | 0.812 | 0.632 | 0.592 | 0.699 | 0.670 |
| 2000 | 0.664 | 0.688 | 0.621 | 0.877 | 0.568 | 0.425 | 0.642 | 0.847 | 0.636 | 0.614 | 0.712 | 0.678 |
| 2001 | 0.667 | 0.681 | 0.623 | 0.857 | 0.583 | 0.429 | 0.642 | 0.829 | 0.641 | 0.610 | 0.709 | 0.685 |
| 2002 | 0.668 | 0.684 | 0.627 | 0.867 | 0.590 | 0.430 | 0.647 | 0.830 | 0.638 | 0.603 | 0.711 | 0.698 |
| 2003 | 0.670 | 0.674 | 0.619 | 0.867 | 0.581 | 0.435 | 0.646 | 0.811 | 0.639 | 0.596 | 0.709 | 0.705 |
| 2004 | 0.673 | 0.681 | 0.621 | 0.880 | 0.606 | 0.451 | 0.650 | 0.840 | 0.634 | 0.609 | 0.716 | 0.713 |
| 2005 | 0.673 | 0.682 | 0.624 | 0.892 | 0.619 | 0.468 | 0.655 | 0.862 | 0.634 | 0.642 | 0.719 | 0.721 |
| 2006 | 0.665 | 0.694 | 0.627 | 0.906 | 0.624 | 0.485 | 0.663 | 0.842 | 0.641 | 0.628 | 0.729 | 0.731 |
| 2007 | 0.664 | 0.709 | 0.624 | 0.958 | 0.628 | 0.497 | 0.684 | 0.854 | 0.643 | 0.647 | 0.738 | 0.745 |
| 2008 | 0.661 | 0.711 | 0.618 | 0.944 | 0.626 | 0.503 | 0.685 | 0.856 | 0.649 | 0.662 | 0.734 | 0.743 |
| 2009 | 0.657 | 0.703 | 0.611 | 0.911 | 0.623 | 0.494 | 0.669 | 0.835 | 0.652 | 0.641 | 0.723 | 0.742 |
| 2010 | 0.656 | 0.697 | 0.615 | 0.950 | 0.635 | 0.491 | 0.677 | 0.832 | 0.656 | 0.627 | 0.728 | 0.739 |
| 2011 | 0.656 | 0.711 | 0.618 | 0.966 | 0.639 | 0.501 | 0.697 | 0.871 | 0.656 | 0.647 | 0.745 | 0.765 |
| 2012 | 0.665 | 0.715 | 0.622 | 0.961 | 0.644 | 0.499 | 0.694 | 0.893 | 0.650 | 0.658 | 0.741 | 0.760 |
| 2013 | 0.671 | 0.710 | 0.625 | 0.948 | 0.650 | 0.497 | 0.690 | 0.884 | 0.661 | 0.659 | 0.741 | 0.772 |
| 2014 | 0.678 | 0.720 | 0.625 | 1.000 | 0.645 | 0.506 | 0.703 | 1.000 | 0.669 | 0.655 | 0.758 | 0.806 |
| 1990 | 0.554 | 0.643 | 0.744 | 0.633 | 0.570 | 0.352 | 0.619 | 0.899 | 0.756 | 0.571 | 0.629 | 0.584 |
| Year | GRC | IRL | ISR | ITA | JPN | KOR | NLD | NOR | NZL | PRT | SWE | USA |
| 1991 | 0.566 | 0.644 | 0.748 | 0.635 | 0.578 | 0.376 | 0.616 | 0.905 | 0.695 | 0.580 | 0.624 | 0.580 |
| 1992 | 0.567 | 0.654 | 0.726 | 0.640 | 0.577 | 0.375 | 0.622 | 0.923 | 0.677 | 0.573 | 0.627 | 0.586 |
| 1993 | 0.563 | 0.657 | 0.678 | 0.643 | 0.576 | 0.374 | 0.623 | 0.906 | 0.716 | 0.570 | 0.624 | 0.588 |
| 1994 | 0.565 | 0.664 | 0.667 | 0.657 | 0.572 | 0.389 | 0.631 | 0.945 | 0.730 | 0.570 | 0.633 | 0.594 |
| 1995 | 0.571 | 0.692 | 0.655 | 0.659 | 0.579 | 0.399 | 0.626 | 0.967 | 0.725 | 0.572 | 0.646 | 0.596 |
| 1996 | 0.576 | 0.703 | 0.654 | 0.665 | 0.586 | 0.403 | 0.627 | 1.000 | 0.696 | 0.583 | 0.650 | 0.601 |
| 1997 | 0.584 | 0.724 | 0.645 | 0.671 | 0.588 | 0.402 | 0.644 | 1.000 | 0.662 | 0.588 | 0.669 | 0.606 |
| 1998 | 0.584 | 0.731 | 0.646 | 0.673 | 0.590 | 0.391 | 0.656 | 0.978 | 0.649 | 0.589 | 0.682 | 0.612 |
| 1999 | 0.593 | 0.782 | 0.654 | 0.677 | 0.588 | 0.418 | 0.674 | 0.954 | 0.649 | 0.585 | 0.703 | 0.617 |
| 2000 | 0.595 | 0.831 | 0.661 | 0.687 | 0.596 | 0.429 | 0.685 | 0.976 | 0.646 | 0.594 | 0.729 | 0.619 |
| 2001 | 0.602 | 0.799 | 0.645 | 0.691 | 0.600 | 0.437 | 0.684 | 0.965 | 0.649 | 0.594 | 0.722 | 0.618 |
| 2002 | 0.611 | 0.800 | 0.646 | 0.686 | 0.601 | 0.453 | 0.677 | 1.000 | 0.663 | 0.587 | 0.714 | 0.618 |
| 2003 | 0.623 | 0.796 | 0.636 | 0.677 | 0.607 | 0.455 | 0.672 | 0.951 | 0.668 | 0.588 | 0.731 | 0.621 |
| 2004 | 0.633 | 0.808 | 0.656 | 0.680 | 0.611 | 0.461 | 0.676 | 1.000 | 0.665 | 0.589 | 0.749 | 0.626 |
| 2005 | 0.630 | 0.817 | 0.674 | 0.680 | 0.618 | 0.472 | 0.685 | 1.000 | 0.669 | 0.586 | 0.769 | 0.630 |
| 2006 | 0.647 | 0.829 | 0.671 | 0.686 | 0.624 | 0.483 | 0.698 | 0.990 | 0.671 | 0.597 | 0.797 | 0.634 |
| 2007 | 0.653 | 0.837 | 0.682 | 0.691 | 0.629 | 0.490 | 0.710 | 0.989 | 0.676 | 0.603 | 0.813 | 0.632 |
| 2008 | 0.649 | 0.807 | 0.669 | 0.687 | 0.632 | 0.490 | 0.713 | 0.909 | 0.659 | 0.608 | 0.797 | 0.632 |
| 2009 | 0.638 | 0.797 | 0.680 | 0.678 | 0.624 | 0.486 | 0.698 | 0.898 | 0.667 | 0.600 | 0.787 | 0.631 |
| 2010 | 0.630 | 0.810 | 0.679 | 0.683 | 0.633 | 0.489 | 0.691 | 0.873 | 0.665 | 0.617 | 0.781 | 0.636 |
| 2011 | 0.607 | 0.857 | 0.689 | 0.690 | 0.639 | 0.491 | 0.708 | 0.957 | 0.672 | 0.615 | 0.791 | 0.641 |
| 2012 | 0.592 | 0.854 | 0.674 | 0.688 | 0.645 | 0.493 | 0.703 | 0.937 | 0.664 | 0.612 | 0.797 | 0.649 |
| 2013 | 0.603 | 0.863 | 0.699 | 0.693 | 0.651 | 0.497 | 0.701 | 0.891 | 0.668 | 0.614 | 0.808 | 0.651 |
| 2014 | 0.612 | 1.000 | 0.712 | 0.706 | 0.657 | 0.502 | 0.715 | 1.000 | 0.666 | 0.620 | 0.826 | 0.654 |
| Year | ARG | BRA | CHL | CHN | EGY | IDN | IND | IRN | MEX | MYS | PHL | POL | RUS | THA | TUR | ZAF |
|---|---|---|---|---|---|---|---|---|---|---|---|---|---|---|---|---|
| 1990 | 0.974 | 0.799 | 0.919 | 1.000 | 0.456 | 0.429 | 0.408 | 0.558 | 0.599 | 0.473 | 0.486 | 0.606 | −0.721 | 0.139 | 0.767 | 0.593 |
| 1991 | 1.000 | 0.761 | 0.966 | 1.000 | 0.453 | 0.424 | 0.382 | 0.575 | 0.596 | 0.466 | 0.476 | 0.575 | −0.775 | 0.169 | 0.730 | 0.570 |
| 1992 | 0.879 | 0.717 | 1.000 | 0.965 | 0.460 | 0.424 | 0.378 | 0.555 | 0.589 | 0.466 | 0.462 | 0.577 | −1.040 | 0.193 | 0.730 | 0.556 |
| 1993 | 1.000 | 0.728 | 1.000 | 0.865 | 0.461 | 0.424 | 0.378 | 0.533 | 0.578 | 0.464 | 0.461 | 0.581 | −1.137 | 0.213 | 0.741 | 0.547 |
| 1994 | 0.930 | 0.735 | 0.966 | 0.749 | 0.473 | 0.435 | 0.382 | 0.502 | 0.584 | 0.469 | 0.458 | 0.596 | −1.312 | 0.225 | 0.655 | 0.548 |
| 1995 | 0.845 | 0.727 | 1.000 | 0.597 | 0.476 | 0.440 | 0.387 | 0.501 | 0.551 | 0.461 | 0.456 | 0.606 | −1.300 | 0.232 | 0.667 | 0.545 |
| 1996 | 0.840 | 0.689 | 1.000 | 0.508 | 0.480 | 0.439 | 0.392 | 0.510 | 0.563 | 0.460 | 0.462 | 0.607 | −1.282 | 0.225 | 0.670 | 0.549 |
| 1997 | 0.853 | 0.669 | 1.000 | 0.500 | 0.484 | 0.429 | 0.383 | 0.495 | 0.579 | 0.452 | 0.457 | 0.609 | −1.134 | 0.191 | 0.678 | 0.543 |
| 1998 | 0.834 | 0.651 | 0.886 | 0.493 | 0.483 | 0.386 | 0.390 | 0.487 | 0.586 | 0.425 | 0.448 | 0.606 | −1.150 | 0.161 | 0.649 | 0.531 |
| 1999 | 0.767 | 0.641 | 0.835 | 0.488 | 0.487 | 0.372 | 0.401 | 0.471 | 0.575 | 0.443 | 0.450 | 0.601 | −0.948 | 0.188 | 0.591 | 0.531 |
| 2000 | 0.740 | 0.648 | 0.851 | 0.486 | 0.496 | 0.376 | 0.397 | 0.478 | 0.580 | 0.448 | 0.453 | 0.599 | −0.705 | 0.218 | 0.597 | 0.538 |
| 2001 | 0.701 | 0.643 | 0.865 | 0.485 | 0.498 | 0.374 | 0.400 | 0.462 | 0.563 | 0.437 | 0.460 | 0.581 | −0.563 | 0.236 | 0.582 | 0.541 |
| 2002 | 0.624 | 0.649 | 0.847 | 0.477 | 0.494 | 0.380 | 0.398 | 0.466 | 0.556 | 0.446 | 0.465 | 0.575 | −0.441 | 0.261 | 0.590 | 0.546 |
| 2003 | 0.665 | 0.652 | 0.842 | 0.456 | 0.493 | 0.391 | 0.413 | 0.473 | 0.548 | 0.447 | 0.473 | 0.574 | −0.307 | 0.289 | 0.594 | 0.541 |
| 2004 | 0.684 | 0.657 | 0.848 | 0.439 | 0.496 | 0.393 | 0.420 | 0.466 | 0.551 | 0.457 | 0.486 | 0.584 | −0.188 | 0.307 | 0.609 | 0.539 |
| 2005 | 0.718 | 0.659 | 0.835 | 0.435 | 0.493 | 0.403 | 0.435 | 0.457 | 0.544 | 0.461 | 0.494 | 0.580 | −0.094 | 0.318 | 0.618 | 0.545 |
| 2006 | 0.731 | 0.666 | 0.830 | 0.443 | 0.500 | 0.412 | 0.441 | 0.456 | 0.546 | 0.471 | 0.510 | 0.583 | −0.001 | 0.333 | 0.612 | 0.545 |
| 2007 | 0.761 | 0.673 | 0.798 | 0.453 | 0.501 | 0.419 | 0.440 | 0.463 | 0.546 | 0.473 | 0.518 | 0.590 | 0.084 | 0.349 | 0.603 | 0.542 |
| 2008 | 0.738 | 0.672 | 0.759 | 0.445 | 0.502 | 0.421 | 0.424 | 0.446 | 0.541 | 0.474 | 0.516 | 0.573 | 0.132 | 0.349 | 0.595 | 0.521 |
| 2009 | 0.673 | 0.676 | 0.698 | 0.431 | 0.501 | 0.416 | 0.420 | 0.435 | 0.524 | 0.465 | 0.518 | 0.560 | 0.095 | 0.340 | 0.576 | 0.490 |
| 2010 | 0.711 | 0.669 | 0.682 | 0.420 | 0.505 | 0.426 | 0.426 | 0.438 | 0.535 | 0.472 | 0.523 | 0.547 | 0.132 | 0.360 | 0.580 | 0.492 |
| 2011 | 0.714 | 0.668 | 0.656 | 0.408 | 0.493 | 0.417 | 0.418 | 0.431 | 0.534 | 0.477 | 0.527 | 0.551 | 0.169 | 0.358 | 0.592 | 0.490 |
| 2012 | 0.670 | 0.655 | 0.624 | 0.397 | 0.488 | 0.419 | 0.408 | 0.392 | 0.534 | 0.481 | 0.531 | 0.552 | 0.194 | 0.374 | 0.592 | 0.488 |
| 2013 | 0.657 | 0.647 | 0.607 | 0.387 | 0.490 | 0.440 | 0.407 | 0.384 | 0.534 | 0.474 | 0.536 | 0.549 | 0.214 | 0.374 | 0.609 | 0.485 |
| 2014 | 0.600 | 0.633 | 0.608 | 0.380 | 0.494 | 0.448 | 0.406 | 0.389 | 0.541 | 0.478 | 0.536 | 0.556 | 0.227 | 0.370 | 0.607 | 0.477 |
References
- Asghari, M. Does FDI promote MENA region’s environment quality? Pollution halo or pollution haven hypothesis. Int. J. Sci. Res. Environ. Sci. 2013, 1, 92–100. [Google Scholar] [CrossRef]
- Pao, H.T.; Tsai, C.M. Multivariate Granger causality between CO2 emissions, energy consumption, FDI (foreign direct investment) and GDP (gross domestic product): evidence from a panel of BRIC (Brazil, Russian Federation, India, and China) countries. Energy 2011, 36, 685–693. [Google Scholar] [CrossRef]
- Sapkota, P.; Bastola, U. Foreign direct investment, income, and environmental pollution in developing countries: Panel data analysis of Latin America. Energy Econ. 2017, 64, 206–212. [Google Scholar] [CrossRef]
- Shahbaz, M.; Nasreen, S.; Abbas, F.; Anis, O. Does foreign direct investment impede environmental quality in high-, middle-, and low-income countries? Energy Econ. 2015, 51, 275–287. [Google Scholar] [CrossRef]
- Cole, M.A.; Elliott, R.J.; Strobl, E. The environmental performance of firms: The role of foreign ownership, training, and experience. Ecol. Econ. 2008, 65, 538–546. [Google Scholar] [CrossRef]
- Abdouli, M.; Hammami, S. The dynamic links between environmental quality, foreign direct investment, and economic growth in the Middle Eastern and North African countries (MENA region). J. Knowl. Econ. 2018, 9, 833–853. [Google Scholar] [CrossRef]
- Al-Mulali, U.; Tang, C.F. Investigating the validity of pollution haven hypothesis in the gulf cooperation council (GCC) countries. Energy Policy 2013, 60, 813–819. [Google Scholar] [CrossRef]
- Chandran, V.G.R.; Tang, C.F. The impacts of transport energy consumption, foreign direct investment and income on CO2 emissions in ASEAN-5 economies. Renew. Sustain. Energy Rev. 2013, 24, 445–453. [Google Scholar] [CrossRef]
- Seker, F.; Ertugrul, H.M.; Cetin, M. The impact of foreign direct investment on environmental quality: A bounds testing and causality analysis for Turkey. Renew. Sustain. Energy Rev. 2015, 52, 347–356. [Google Scholar] [CrossRef]
- Baek, J. A new look at the FDI–income–energy–environment nexus: dynamic panel data analysis of ASEAN. Energy Policy 2016, 91, 22–27. [Google Scholar] [CrossRef]
- Zugravu-Soilita, N. How does foreign direct investment affect pollution? Toward a better understanding of the direct and conditional effects. Environ. Resour. Econ. 2017, 66, 293–338. [Google Scholar] [CrossRef]
- Zarsky, L. Havens, halos and spaghetti: untangling the evidence about foreign direct investment and the environment. Foreign Direct Invest. Environ. 1999, 13, 47–74. [Google Scholar]
- Kim, H.S.; Baek, J. The environmental consequences of economic growth revisited. Econ. Bull. 2011, 31, 1198–1211. [Google Scholar]
- Hu, J.; Wang, Z.; Lian, Y.; Huang, Q. Environmental regulation, foreign direct investment and green technological progress—Evidence from Chinese manufacturing industries. Int. J. Environ. Res. Public Health 2018, 15, 221. [Google Scholar] [CrossRef]
- Zhang, J.; Fang, H.; Peng, B.; Wang, X.; Fang, S. Productivity growth-accounting for undesirable outputs and its influencing factors: The case of China. Sustainability 2016, 8, 1166. [Google Scholar] [CrossRef]
- Yu, G.; Xu, S. Industrial Agglomeration, Foreign Direct Investment and Green Total Factor Productivity―Evidence from Manufacturing Industries in Chongqing, China. Preprints 2018. [Google Scholar] [CrossRef]
- Hettige, H.; Huq, M.; Pargal, S.; Wheeler, D. Determinants of pollution abatement in developing countries: Evidence from South and Southeast Asia. World Dev. 1996, 24, 1891–1904. [Google Scholar] [CrossRef]
- Li, Z.; Huang, Z.; Dong, H. The Influential Factors on Outward Foreign Direct Investment: Evidence from the “The Belt and Road”. Emerg. Mark. Financ. Trade 2019, 1–16. [Google Scholar] [CrossRef]
- Omri, A. The nexus among foreign investment, domestic capital and economic growth: Empirical evidence from the MENA region. Res. Econ. 2014, 68, 257–263. [Google Scholar] [CrossRef]
- Song, M.L.; Fisher, R.; Wang, J.L.; Cui, L.B. Environmental performance evaluation with big data: Theories and methods. Ann. Oper. Res. 2018, 270, 459–472. [Google Scholar] [CrossRef]
- Galdeano-Gómez, E.; Céspedes-Lorente, J.; Martinez-del-Rio, J. Environmental performance and spillover effects on productivity: Evidence from horticultural firms. J. Environ. Manag. 2008, 88, 1552–1561. [Google Scholar] [CrossRef]
- Zhong, J.; Wang, M.; Drakeford, B.; Li, T. Spillover effects between oil and natural gas prices: Evidence from emerging and developed markets. Green Financ. 2019, 1, 30–45. [Google Scholar] [CrossRef]
- Broni, M.Y.; Hosen, M.; Masih, M. Does a country’s external debt level affect its Islamic banking sector development? evidence from Malaysia based on quantile regression and markov regime switching. Quant. Financ. Econ. 2019, 3, 366–389. [Google Scholar] [CrossRef]
- Girma, S.; Görg, H. Foreign Direct Investment, Spillovers and Absorptive Capacity: Evidence From Quantile Regressions; Deutsche Bundesbank: Frankfurt, Germany, 2005. [Google Scholar]
- Canay, I.A. A simple approach to quantile regression for panel data. Econom. J. 2011, 14, 368–386. [Google Scholar] [CrossRef]
- Qamruzzaman, M.; Wei, J. Do financial inclusion, stock market development attract foreign capital flows in developing economy: A panel data investigation. Quant. Financ. Econ. 2019, 3, 88–108. [Google Scholar] [CrossRef]
- Li, Z.; Dong, H.; Huang, Z.; Failler, P. Asymmetric effects on risks of Virtual Financial Assets (VFAs) in different regimes: A Case of Bitcoin. Quant. Financ. Econ. 2018, 2, 860–883. [Google Scholar] [CrossRef]
- Machado, J.A.; Silva, J.S. Quantiles via moments. J. Econ. 2019. [Google Scholar] [CrossRef]
- Picazo-Tadeo, A.J.; Castillo-Giménez, J.; Beltrán-Esteve, M. An intertemporal approach to measuring environmental performance with directional distance functions: Greenhouse gas emissions in the European Union. Ecol. Econ. 2014, 100, 173–182. [Google Scholar] [CrossRef]
- Kortelainen, M. Dynamic environmental performance analysis: A Malmquist index approach. Ecol. Econ. 2008, 64, 701–715. [Google Scholar] [CrossRef]
- Oh, D.H. A global Malmquist-Luenberger productivity index. J. Prod. Anal. 2010, 34, 183–197. [Google Scholar] [CrossRef]
- Fukuyama, H.; Weber, W.L. A directional slacks-based measure of technical inefficiency. Socio-Econ. Plan. Sci. 2009, 43, 274–287. [Google Scholar] [CrossRef]
- Liu, Z.; Xin, L. Has China’s Belt and Road Initiative promoted its green total factor productivity?— Evidence from primary provinces along the route. Energy Policy 2019, 129, 360–369. [Google Scholar] [CrossRef]
- Hall, R.E.; Jones, C.I. Why do some countries produce so much more output per worker than others? Q. J. Econ. 1999, 114, 83–116. [Google Scholar] [CrossRef]
- Emrouznejad, A.; Yang, G.L. A framework for measuring global Malmquist–Luenberger productivity index with CO2 emissions on Chinese manufacturing industries. Energy 2016, 115, 840–856. [Google Scholar] [CrossRef]
- Liao, G.; Drakeford, B. An analysis of financial support, technological progress and energy efficiency: Evidence from China. Green Financ. 2019, 1, 174–187. [Google Scholar] [CrossRef]
- Li, Z.; Liao, G.; Wang, Z.; Huang, Z. Green loan and subsidy for promoting clean production innovation. J. Clean Prod. 2018, 187, 421–431. [Google Scholar] [CrossRef]
- Huang, Z.; Liao, G.; Li, Z. Loaning scale and government subsidy for promoting green innovation. Technol. Forecast. Soc. Chang. 2019, 144, 148–156. [Google Scholar] [CrossRef]
- Kwakwa, P.W.; Alhassan, H.; Aboagye, S. Environmental Kuznets curve hypothesis in a financial development and natural resource extraction context: Evidence from Tunisia. Quant. Financ. Econ. 2018, 2, 981–1000. [Google Scholar] [CrossRef]


| Variable | Abbreviation | Measurement | Source | |
|---|---|---|---|---|
| Explanatory Variable | Foreign direct investment | FDI | net inflows of FDI/GDP | World Bank |
| Control Variable | Innovation capacity | LnInno | Log (Patent applications per million people) | World Intellectual Property Organization Statistics Database |
| Industrial structure | Indus | output value of the secondary industry/GDP | EPS macro database | |
| Energy structure | Ener | Renewable energy consumption/total final energy consumption | EPS macro database |
| Variable | Sample | Mean | Std.Dev. | Min | 0.25 | 0.5 | 0.75 | Max | T Value |
|---|---|---|---|---|---|---|---|---|---|
| EP | 1 | 59.049 | 24.170 | −131.24 | 49.753 | 61.981 | 68.220 | 100 | — |
| 2 | 66.483 | 11.963 | 35.171 | 60.842 | 64.956 | 70.882 | 100 | −11.031 | |
| 3 | 47.898 | 32.250 | −131.24 | 42.886 | 49.583 | 60.045 | 100 | ||
| FDI | 1 | 3.253 | 8.345 | −43.463 | 0.842 | 1.952 | 3.568 | 198.074 | — |
| 2 | 3.841 | 10.604 | −43.463 | 0.824 | 1.923 | 3.792 | 198.074 | −3.303 | |
| 3 | 2.371 | 2.061 | −2.757 | 0.897 | 2.021 | 3.273 | 11.654 | ||
| LnInno | 1 | 5.203 | 1.483 | 0.964 | 4.257 | 5.200 | 6.248 | 8.329 | — |
| 2 | 5.901 | 1.290 | 0.964 | 5.139 | 5.898 | 6.866 | 8.330 | −23.095 | |
| 3 | 4.156 | 1.083 | 1.330 | 3.307 | 4.496 | 5.016 | 6.523 | ||
| Indus | 1 | 31.152 | 6.761 | 10.7 | 26.325 | 30.5 | 36.15 | 50.1 | — |
| 2 | 28.210 | 5.581 | 10.7 | 24.4 | 27.6 | 31.3 | 44.8 | 19.672 | |
| 3 | 35.564 | 5.928 | 23.8 | 31.5 | 34.7 | 39.55 | 50.1 | ||
| Ener | 1 | 17.269 | 15.273 | 0.335 | 5.433 | 10.736 | 26.830 | 61.379 | — |
| 2 | 14.688 | 14.181 | 0.335 | 4.535 | 8.594 | 22.618 | 61.379 | 6.527 | |
| 3 | 21.142 | 16.034 | 0.438 | 7.577 | 16.881 | 32.866 | 58.653 |
| Variable | Fixed Effect Model | Random Effect Model | Panel Quantile Regression | ||||
|---|---|---|---|---|---|---|---|
| 10th | 25th | 50th | 75th | 90th | |||
| FDI | 0.059 | 0.060 | 0.025 | 0.039 | 0.055 | 0.079 | 0.091 |
| (0.042) | (0.042) | (0.179) | (0.136) | (0.087) | (0.052) | (0.073) | |
| LnInno | −1.279 * | −0.834 | 0.035 | −0.494 | −1.137 | −2.093 ** | −2.575 ** |
| (0.688) | (0.656) | (3.074) | (2.336) | (1.498) | (0.884) | (1.244) | |
| Indus | −0.772 *** | −0.819 *** | −0.943 | −0.874 | −0.791 | −0.666 ** | −0.603 |
| (0.120) | (0.115) | (1.126) | (0.856) | (0.548) | (0.323) | (0.456) | |
| Ener | 0.339 *** | 0.344 *** | 0.144 | 0.222 | 0.318 | 0.459 *** | 0.531 *** |
| (0.107) | (0.096) | (0.430) | (0.327) | (0.210) | (0.124) | (0.174) | |
| cons | 83.71 *** | 82.76 *** | |||||
| (6.016) | (6.406) | ||||||
| Variable | Developed Countries | Developing Countries | ||
|---|---|---|---|---|
| Fixed Effect Model | Random Effect Model | Fixed Effect Model | Random Effect Model | |
| FDI | 0.0557 *** | 0.0559 *** | 0.492 | 0.584 |
| (0.013) | (0.013) | (0.537) | (0.533) | |
| LnInno | −1.630 *** | −1.581 *** | −1.435 | −1.395 |
| (0.305) | (0.301) | (1.554) | (1.513) | |
| Indus | −0.314 *** | −0.333 *** | −0.978 *** | −0.977 *** |
| (0.060) | (0.058) | (0.245) | (0.241) | |
| Ener | 0.692 *** | 0.668 *** | 0.172 | 0.204 |
| (0.050) | (0.047) | (0.237) | (0.212) | |
| _cons | 74.57 *** | 75.19 *** | 83.82 *** | 82.76 *** |
| (2.812) | (3.374) | (12.76) | (13.88) | |
| N | 600 | 600 | 400 | 400 |
| Variable | 10th | 20th | 30th | 40th | 50th | 60th | 70th | 80th | 90th |
|---|---|---|---|---|---|---|---|---|---|
| FDI | 0.649 | 0.605 | 0.576 | 0.554 | 0.520 | 0.465 | 0.409 | 0.362 | 0.322 |
| (9.987) | (8.429) | (7.398) | (6.626) | (5.421) | (3.478) | (1.643) | (0.901) | (1.896) | |
| LnInno | 1.047 | 0.353 | −0.108 | −0.453 | −0.993 | −1.872 | −2.745 | −3.501 | −4.121 |
| (23.74) | (20.04) | (17.59) | (15.76) | (12.89) | (8.273) | (3.912) | (2.146) | (4.512) | |
| Indus | −1.217 | −1.150 | −1.105 | −1.072 | −1.020 | −0.935 | −0.851 | −0.778 | −0.719 |
| (7.329) | (6.185) | (5.429) | (4.862) | (3.978) | (2.552) | (1.206) | (0.661) | (1.392) | |
| Ener | 0.047 | 0.082 | 0.105 | 0.123 | 0.150 | 0.194 | 0.238 | 0.276 | 0.307 |
| (2.446) | (2.065) | (1.812) | (1.623) | (1.328) | (0.852) | (0.402) | (0.221) | (0.464) | |
| N | 400 | 400 | 400 | 400 | 400 | 400 | 400 | 400 | 400 |
| Variable | 10th | 20th | 30th | 40th | 50th | 60th | 70th | 80th | 90th |
|---|---|---|---|---|---|---|---|---|---|
| FDI | 0.027 | 0.035 | 0.043 | 0.048 * | 0.056 ** | 0.063 ** | 0.070 ** | 0.077 * | 0.084 * |
| (0.047) | (0.038) | (0.031) | (0.028) | (0.026) | (0.028) | (0.033) | (0.040) | (0.049) | |
| LnInno | −1.472 ** | −1.520 *** | −1.560 *** | −1.589 *** | −1.630 *** | −1.668 *** | −1.707 *** | −1.746 *** | −1.786 *** |
| (0.654) | (0.521) | (0.428) | (0.381) | (0.358) | (0.388) | (0.461) | (0.561) | (0.675) | |
| Indus | −0.473 *** | −0.425 *** | −0.385 *** | −0.355 *** | −0.314 *** | −0.276 *** | −0.236 *** | −0.196 * | −0.156 |
| (0.125) | (0.100) | (0.082) | (0.074) | (0.069) | (0.075) | (0.089) | (0.108) | (0.129) | |
| Ener | 0.581 *** | 0.615 *** | 0.643 *** | 0.664 *** | 0.692 *** | 0.719 *** | 0.747 *** | 0.775 *** | 0.802 *** |
| (0.087) | (0.070) | (0.057) | (0.051) | (0.048) | (0.052) | (0.062) | (0.075) | (0.090) | |
| N | 600 | 600 | 600 | 600 | 600 | 600 | 600 | 600 | 600 |
© 2019 by the authors. Licensee MDPI, Basel, Switzerland. This article is an open access article distributed under the terms and conditions of the Creative Commons Attribution (CC BY) license (http://creativecommons.org/licenses/by/4.0/).
Share and Cite
Li, Z.; Dong, H.; Huang, Z.; Failler, P. Impact of Foreign Direct Investment on Environmental Performance. Sustainability 2019, 11, 3538. https://doi.org/10.3390/su11133538
Li Z, Dong H, Huang Z, Failler P. Impact of Foreign Direct Investment on Environmental Performance. Sustainability. 2019; 11(13):3538. https://doi.org/10.3390/su11133538
Chicago/Turabian StyleLi, Zhenghui, Hao Dong, Zimei Huang, and Pierre Failler. 2019. "Impact of Foreign Direct Investment on Environmental Performance" Sustainability 11, no. 13: 3538. https://doi.org/10.3390/su11133538
APA StyleLi, Z., Dong, H., Huang, Z., & Failler, P. (2019). Impact of Foreign Direct Investment on Environmental Performance. Sustainability, 11(13), 3538. https://doi.org/10.3390/su11133538

