Session-Based Recommender System for Sustainable Digital Marketing
Abstract
1. Introduction
2. Literature Review
2.1. Recommender Systems
2.2. Session-Based Recommender Systems
2.3. Feature Weighting
2.3.1. Chi-square score
2.3.2. PCA score
2.3.3. Gain Ratio
2.3.4. RELIEF
2.3.5. SVM
2.4. Sustainable Marketing and Recommenders for Fashion Products
3. Method
3.1. Definitions and Notations
3.1.1. Item
3.1.2. Attribute
3.1.3. User
3.1.4. Interaction
3.1.5. Session
3.1.6. Conversion Probability
3.2. Construct Session Data
3.3. Session-Based Recommenders
3.4. Feature-Weighted Session-Based Recommenders
4. Experimental Design
4.1. Baseline Recommender
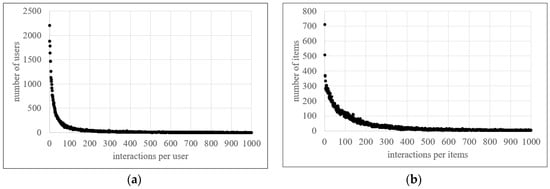
4.2. Data Sets
4.3. Procedures for Performance Evaluation
- (1)
- Construct session data for training and testing;
- (2)
- Calculate the item conversion probability, attribute conversion probability and integrated conversion probability using the training dataset;
- (3)
- Suggest top-N recommendation items for each precedent item in the test dataset. N was varied from five to 25 in increments of five in this study;
- (4)
- Check whether the top-N recommendation is successful. If a precedent item’s subsequent is in the recommendation, the recommendation is regarded as a ‘success’; otherwise, ‘fail’ [64].
4.4. Evaluation Metrics
5. Results
5.1. ISBR and ASBRs
5.2. Feature-Weighted Session-Based Recommenders
5.3. FWSBRs with Cold-Start Items
6. Discussion
7. Conclusions
Author Contributions
Funding
Conflicts of Interest
References
- Jones, P.; Clarke-Hill, C.; Comfort, D.; Hillier, D. Marketing and sustainability. Mark. Intell. Plan. 2008, 26, 123–130. [Google Scholar] [CrossRef]
- Saura, J.R.; Palos-Sánchez, P.; Cerdá Suárez, L.M. Understanding the digital marketing environment with KPIs and web analytics. Future Internet 2017, 9, 76. [Google Scholar] [CrossRef]
- Minton, E.; Lee, C.; Orth, U.; Kim, C.-H.; Kahle, L. Sustainable marketing and social media: A cross-country analysis of motives for sustainable behaviors. J. Advert. 2012, 41, 69–84. [Google Scholar] [CrossRef]
- Tomkins, S.; Isley, S.; London, B.; Getoor, L. Sustainability at Scale: Towards Bridging the Intention-Behavior Gap with Sustainable Recommendations. In Proceedings of the 12th ACM Conference on Recommender Systems, Vancouver, BC, Canada, 2–7 October 2018; pp. 214–218. [Google Scholar]
- Shen, B.; Zheng, J.-H.; Chow, P.-S.; Chow, K.-Y. Perception of fashion sustainability in online community. J. Text. Inst. 2014, 105, 971–979. [Google Scholar] [CrossRef]
- Orendorff, A. The State of the Ecommerce Fashion Industry: Statistics, Trends & Strategy. Available online: https://www.shopify.com/enterprise/ecommerce-fashion-industry (accessed on 9 June 2018).
- Fukuda, M.; Nakatani, Y. Clothes Recommend Themselves: A New Approach to a Fashion Coordinate Support System. In Proceedings of the World Congress on Engineering and Computer Science, San Francisco, CA, USA, 19–21 October 2011; pp. 19–21. [Google Scholar]
- Gu, S.; Liu, X.; Cai, L.; Shen, J. Fashion coordinates recommendation based on user behavior and visual clothing style. In Proceedings of the 3rd International Conference on Communication and Information Processing, Tokyo, Japan, 24–26 November 2017; pp. 185–189. [Google Scholar]
- Iwata, T.; Wanatabe, S.; Sawada, H. Fashion Coordinates Recommender System Using Photographs from Fashion Magazines. In Proceedings of the Twenty-Second International Joint Conference on Artificial Intelligence, Barcelona, Spain, 16–22 July 2011; p. 2. [Google Scholar]
- Shen, E.; Lieberman, H.; Lam, F. What am I gonna wear?: Scenario-oriented recommendation. In Proceedings of the 12th international conference on Intelligent user interfaces, Honolulu, HI, USA, 28–31 January 2007; pp. 365–368. [Google Scholar]
- Yonezawa, Y.; Nakatani, Y. Fashion support from clothes with characteristics. In Symposium on Human Interface; Springer: Berlin/Heidelberg, Germany, 2009; pp. 323–330. [Google Scholar]
- Guo, Y.; Yin, C.; Li, M.; Ren, X.; Liu, P. Mobile e-Commerce Recommendation System Based on Multi-Source Information Fusion for Sustainable e-Business. Sustainability 2018, 10, 147. [Google Scholar] [CrossRef]
- Fu, X.; Han, G. Trust-Embedded Information Sharing among One Agent and Two Retailers in an Order Recommendation System. Sustainability 2017, 9, 710. [Google Scholar] [CrossRef]
- Hu, Y.; Yi, X.; Davis, L.S. Collaborative Fashion Recommendation: A Functional Tensor Factorization Approach. In Proceedings of the 23rd ACM international conference on Multimedia, Brisbane, Australia, 26–30 October 2015; pp. 129–138. [Google Scholar]
- Quanping, H. Analysis of Collaborative Filtering Algorithm fused with Fashion Attributes. Int. J. U- E-Serv. Sci. Technol. 2015, 8, 159–168. [Google Scholar] [CrossRef]
- Quadrana, M.; Cremonesi, P.; Jannach, D. Sequence-Aware Recommender Systems. arXiv 2018, arXiv:1802.08452. [Google Scholar]
- Lika, B.; Kolomvatsos, K.; Hadjiefthymiades, S. Facing the cold start problem in recommender systems. Expert Syst. Appl. 2014, 41 Pt 2, 2065–2073. [Google Scholar] [CrossRef]
- Ocepek, U.; Rugelj, J.; Bosnić, Z. Improving matrix factorization recommendations for examples in cold start. Expert Syst. Appl. 2015, 42, 6784–6794. [Google Scholar] [CrossRef]
- Schein, A.I.; Popescul, A.; Ungar, L.H.; Pennock, D.M. Methods and metrics for cold-start recommendations. In Proceedings of the 25th annual international ACM SIGIR conference on research and development in information retrieval (SIGIR ‘02), Tampere, Finland, 11–15 August 2002; pp. 253–260. [Google Scholar]
- Victor, P.; Cornelis, C.; Teredesai, A.M.; Cock, M.D. Whom should I trust?: The impact of key figures on cold start recommendations. In Proceedings of the 2008 ACM symposium on Applied computing, Fortaleza, Ceara, Brazil, 16–20 March 2008; pp. 2014–2018. [Google Scholar]
- Wei, J.; He, J.; Chen, K.; Zhou, Y.; Tang, Z. Collaborative filtering and deep learning based recommendation system for cold start items. Expert Syst. Appl. 2017, 69, 29–39. [Google Scholar] [CrossRef]
- Sun, G.; Cui, T.; Beydoun, G.; Chen, S.; Dong, F.; Xu, D.; Shen, J. Towards Massive Data and Sparse Data in Adaptive Micro Open Educational Resource Recommendation: A Study on Semantic Knowledge Base Construction and Cold Start Problem. Sustainability 2017, 9, 898. [Google Scholar] [CrossRef]
- Lucas, J.P.; Luz, N.; Moreno, M.N.; Anacleto, R.; Figueiredo, A.A.; Martins, C. A hybrid recommendation approach for a tourism system. Expert Syst. Appl. 2013, 40, 3532–3550. [Google Scholar] [CrossRef]
- Lekakos, G.; Caravelas, P. A hybrid approach for movie recommendation. Multimed. Tools Appl. 2008, 36, 55–70. [Google Scholar] [CrossRef]
- Wetzker, R.; Umbrath, W.; Said, A. A hybrid approach to item recommendation in folksonomies. In Proceedings of the WSDM’09 Workshop on Exploiting Semantic Annotations in Information Retrieval, Barcelona, Spain, 9–11 February 2009; pp. 25–29. [Google Scholar]
- Cacheda, F.; Carneiro, V.; Fernández, D.; Formoso, V. Comparison of collaborative filtering algorithms: Limitations of current techniques and proposals for scalable, high-performance recommender systems. ACM Trans. Web TWEB 2011, 5, 2. [Google Scholar] [CrossRef]
- Shi, Y.; Larson, M.; Hanjalic, A. Collaborative Filtering beyond the User-Item Matrix: A Survey of the State of the Art and Future Challenges. ACM Comput. Surv. 2014, 47, 3. [Google Scholar] [CrossRef]
- Deshpande, M.; Karypis, G. Item-based top-N recommendation algorithms. ACM Trans. Inf. Syst. TOIS 2004, 22, 143–177. [Google Scholar] [CrossRef]
- Zhao, Z.-L.; Wang, C.-D.; Wan, Y.-Y.; Lai, J.-H. Recommendation in feature space sphere. Electron. Commer. Res. Appl. 2017, 26, 109–118. [Google Scholar] [CrossRef]
- Wei, S.; Zheng, X.; Chen, D.; Chen, C. A hybrid approach for movie recommendation via tags and ratings. Electron. Commer. Res. Appl. 2016, 18, 83–94. [Google Scholar] [CrossRef]
- Hong, W.; Li, L.; Li, T. Product recommendation with temporal dynamics. Expert Syst. Appl. 2012, 39, 12398–12406. [Google Scholar] [CrossRef]
- Campos, P.G.; Díez, F.; Cantador, I. Time-aware recommender systems: A comprehensive survey and analysis of existing evaluation protocols. User Model. User-Adapt. Interact. 2013, 24, 67–119. [Google Scholar] [CrossRef]
- Agrawal, R.; Srikant, R. Fast Algorithms for Mining Association Rules in Large Databases. In Proceedings of the 20th International Conference on Very Large Data Bases; Morgan Kaufmann Publishers Inc.: San Francisco, CA, USA, 1994; pp. 487–499. [Google Scholar]
- Aryabarzan, N.; Minaei-Bidgoli, B.; Teshnehlab, M. negFIN: An efficient algorithm for fast mining frequent itemsets. Expert Syst. Appl. 2018, 105, 129–143. [Google Scholar] [CrossRef]
- Kieu, T.; Vo, B.; Le, T.; Deng, Z.-H.; Le, B. Mining top-k co-occurrence items with sequential pattern. Expert Syst. Appl. 2017, 85, 123–133. [Google Scholar] [CrossRef]
- Srikant, R.; Agrawal, R. Mining Sequential Patterns: Generalizations and Performance Improvements; Springer: Berlin/Heidelberg, Germany, 1996. [Google Scholar]
- Soysal, Ö.M. Association rule mining with mostly associated sequential patterns. Expert Syst. Appl. 2015, 42, 2582–2592. [Google Scholar] [CrossRef]
- Gupta, S.; Rawat, M. Recommendations through click stream: Tracking the need, current work and future directions. In Proceedings of the 2nd International Conference on Contemporary Computing and Informatics (IC3I), Noida, India, 14–17 December 2016; pp. 736–740. [Google Scholar]
- Kim, Y.S.; Yum, B.-J. Recommender system based on click stream data using association rule mining. Expert Syst. Appl. 2011, 38, 13320–13327. [Google Scholar] [CrossRef]
- Yap, G.-E.; Li, X.-L.; Philip, S.Y. Effective next-items recommendation via personalized sequential pattern mining. In Proceedings of the International Conference on Database Systems for Advanced Applications, Busan, Korea, 15–19 April 2012; pp. 48–64. [Google Scholar]
- Jiang, F.; Leung, C.; Pazdor, A.G.M. Web Page Recommendation Based on Bitwise Frequent Pattern Mining. In Proceedings of the 2016 IEEE/WIC/ACM International Conference on Web Intelligence (WI), Omaha, NE, USA, 13–16 October 2016; pp. 632–635. [Google Scholar]
- Lu, E.H.-C.; Lin, Y.-W.; Ciou, J.-B. Mining mobile application sequential patterns for usage prediction. In Proceedings of the 2014 IEEE International Conference on Granular Computing (GrC), Noboribetsu, Japan, 22–24 October 2014; pp. 185–190. [Google Scholar]
- Zheleva, E.; Guiver, J.; Mendes Rodrigues, E.; Milić-Frayling, N. Statistical models of music-listening sessions in social media. In Proceedings of the 19th international conference on World wide web, Raleigh, NC, USA, 26–30 April 2010; pp. 1019–1028. [Google Scholar]
- Blum, A.L.; Langley, P. Selection of relevant features and examples in machine learning. Artif. Intell. 1997, 97, 245–271. [Google Scholar] [CrossRef]
- Huan, L.; Setiono, R. Chi2: Feature selection and discretization of numeric attributes. In Proceedings of the 7th IEEE International Conference on Tools with Artificial Intelligence, Herndon, VA, USA, 5–8 November 1995; pp. 388–391. [Google Scholar]
- Li, J.; Cheng, K.; Wang, S.; Morstatter, F.; Trevino, R.P.; Tang, J.; Liu, H. Feature Selection: A Data Perspective. ACM Comput. Surv. 2017, 50, 94. [Google Scholar] [CrossRef]
- Song, F.; Guo, Z.; Mei, D. Feature Selection Using Principal Component Analysis. In Proceedings of the 2010 International Conference on System Science, Engineering Design and Manufacturing Informatization, Yichang, China, 12–14 November 2010; pp. 27–30. [Google Scholar]
- Tosun, A.; Turhan, B.; Bener, A.B. Feature weighting heuristics for analogy-based effort estimation models. Expert Syst. Appl. 2009, 36, 10325–10333. [Google Scholar] [CrossRef]
- Sun, Y. Iterative RELIEF for Feature Weighting: Algorithms, Theories, and Applications. IEEE Trans. Pattern Anal. Mach. Intell. 2007, 29, 1035–1051. [Google Scholar] [CrossRef]
- Ghamisi, P.; Couceiro, M.S.; Benediktsson, J.A. A Novel Feature Selection Approach Based on FODPSO and SVM. IEEE Trans. Geosci. Remote Sens. 2015, 53, 2935–2947. [Google Scholar] [CrossRef]
- Diez-Martin, F.; Blanco-Gonzalez, A.; Prado-Roman, C. Research Challenges in Digital Marketing: Sustainability. Sustainability 2019, 11, 2839. [Google Scholar] [CrossRef]
- Chao, X.; Huiskes, M.J.; Gritti, T.; Ciuhu, C. A framework for robust feature selection for real-time fashion style recommendation. In Proceedings of the 1st international workshop on Interactive multimedia for consumer electronics, Beijing, China, 19–24 October 2009; pp. 35–42. [Google Scholar]
- Tu, Q.; Dong, L. An Intelligent Personalized Fashion Recommendation System. In Proceedings of the 2010 International Conference on Communications, Circuits and Systems (ICCCAS), Chengdu, China, 28–30 July 2010; pp. 479–485. [Google Scholar]
- Chen, Y.; Wu, C.; Xie, M.; Guo, X. Solving the sparsity problem in recommender systems using association retrieval. J. Comput. 2011, 6, 1896–1902. [Google Scholar] [CrossRef]
- Hwangbo, H.; Kim, Y. An empirical study on the effect of data sparsity and data overlap on cross domain collaborative filtering performance. Expert Syst. Appl. 2017, 89, 254–265. [Google Scholar] [CrossRef]
- Nguyen, H.T.; Almenningen, T.; Havig, M.; Schistad, H.; Kofod-Petersen, A.; Langseth, H.; Ramampiaro, H. Learning to rank for personalised fashion recommender systems via implicit feedback. In Mining Intelligence and Knowledge Exploration; Springer: Basel, Switzerland, 2014; pp. 51–61. [Google Scholar]
- He, R.; McAuley, J. Ups and downs: Modeling the visual evolution of fashion trends with one-class collaborative filtering. In Proceedings of the 25th International Conference on World Wide Web, Montréal, QC, Canada, 11–15 April 2016; pp. 507–517. [Google Scholar]
- Sato, A.; Watanabe, K.; Yasumura, M.; Rekimoto, J. In suGATALOG: Fashion coordination system that supports users to choose everyday fashion with clothed pictures. In International Conference on Human-Computer Interaction; Springer: Berlin/Heidelberg, Germany, 2013; pp. 112–121. [Google Scholar]
- Yu, W.; Zhang, H.; He, X.; Chen, X.; Xiong, L.; Qin, Z. Aesthetic-based Clothing Recommendation. In Proceedings of the 2018 World Wide Web Conference, Lyon, France, 23–27 April 2018; pp. 649–658. [Google Scholar]
- Jagadeesh, V.; Piramuthu, R.; Bhardwaj, A.; Di, W.; Sundaresan, N. Large scale visual recommendations from street fashion images. In Proceedings of the 20th ACM SIGKDD international conference on Knowledge discovery and data mining, New York, NY, USA, 24–27 April 2014; pp. 1925–1934. [Google Scholar]
- Hwangbo, H.; Kim, Y.S.; Cha, K.J. Recommendation system development for fashion retail e-commerce. Electron. Commer. Res. Appl. 2018, 28, 94–101. [Google Scholar] [CrossRef]
- Sarwar, B.; Karypis, G.; Konstan, J.; Reidl, J. Item-based collaborative filtering recommendation algorithms. In Proceedings of the 10th international conference on World Wide Web (WWW ‘01), Hong Kong, China, 1–5 May 2001; pp. 285–295. [Google Scholar]
- Cremonesi, P.; Koren, Y.; Turrin, R. Performance of recommender algorithms on top-n recommendation tasks. In Proceedings of the fourth ACM conference on Recommender systems, Barcelona, Spain, 26–30 September 2010; pp. 39–46. [Google Scholar]
- Sarwar, B.; Karypis, G.; Konstan, J.; Riedl, J. Analysis of recommendation algorithms for e-commerce. In Proceedings of the 2nd ACM conference on electronic commerce, Minneapolis, MN, USA, 17–20 October 2000; pp. 158–167. [Google Scholar]
- Lundblad, L.; Davies, I.A. The values and motivations behind sustainable fashion consumption. J. Consum. Behav. 2016, 15, 149–162. [Google Scholar] [CrossRef]
- Joergens, C. Ethical fashion: Myth or future trend? J. Fash. Mark. Manag. Int. J. 2006, 10, 360–371. [Google Scholar] [CrossRef]
- Nguyen, A.-T.; Denos, N.; Berrut, C. Improving new user recommendations with rule-based induction on cold user data. In Proceedings of the 2007 ACM conference on Recommender systems, Minneapolis, MN, USA, 19–20 October 2007; pp. 121–128. [Google Scholar]
- Du, N.; Wang, Y.; He, N.; Sun, J.; Song, L. Time-Sensitive Recommendation From Recurrent User Activities. In Advances in Neural Information Processing Systems; MIT Press: Cambridge, MA, USA, 2015; pp. 3474–3482. [Google Scholar]
- Vaz, P.C.; Ribeiro, R.; Matos, D.M. Understanding temporal dynamics of ratings in the book recommendation scenario. In Proceedings of the 2013 International Conference on Information Systems and Design of Communication, Lisboa, Portugal, 11–12 July 2013; pp. 11–15. [Google Scholar]
- Devooght, R.; Bersini, H. Long and Short-Term Recommendations with Recurrent Neural Networks. In Proceedings of the 25th Conference on User Modeling, Adaptation and Personalization, Bratislava, Slovakia, 9–12 July 2017; pp. 13–21. [Google Scholar]




| Dataset | Number of Sessions | Number of Users | Number of Precedent Items | Number of Precedent Cold-Start Items | Number of Subsequent Items | Number of Subsequent Cold-Start Items |
|---|---|---|---|---|---|---|
| Training | 433,515 | 17,364 | 16,583 | 16,647 | ||
| Test | 72,104 | 5821 | 12,350 | 1307 | 12,474 | 1297 |
| Top-N | Item-Based CFR | ISBR | Brand ASBR | Color ASBR | Style ASBR | Season ASBR | Price ASBR |
|---|---|---|---|---|---|---|---|
| 5 | 5.9% | 22.1% | 16.1% | 9.8% | 19.1% | 15.1% | 18.3% |
| 10 | 7.7% | 26.8% | 23.2% | 15.6% | 26.0% | 22.0% | 24.0% |
| 15 | 8.9% | 29.4% | 27.0% | 20.4% | 29.7% | 26.0% | 27.3% |
| 20 | 9.9% | 31.0% | 29.4% | 23.8% | 31.6% | 28.6% | 29.4% |
| 25 | 10.6% | 32.0% | 31.2% | 26.5% | 32.8% | 30.3% | 31.0% |
| Top-N | Item-Based CFR | ISBR | Brand ASBR | Color ASBR | Style ASBR | Season ASBR | Price ASBR |
|---|---|---|---|---|---|---|---|
| 5 | 1.2% | 4.5% | 3.3% | 2.0% | 3.9% | 3.1% | 3.8% |
| 10 | 0.8% | 2.9% | 2.5% | 1.7% | 2.8% | 2.4% | 2.6% |
| 15 | 0.6% | 2.2% | 2.0% | 1.5% | 2.2% | 2.0% | 2.1% |
| 20 | 0.5% | 1.8% | 1.8% | 1.4% | 1.9% | 1.7% | 1.8% |
| 25 | 0.4% | 1.6% | 1.6% | 1.3% | 1.7% | 1.5% | 1.6% |
| Top-N | Item-Based CFR | ISBR | Brand ASBR | Color ASBR | Style ASBR | Season ASBR | Price ASBR |
|---|---|---|---|---|---|---|---|
| 5 | 2.0% | 7.5% | 5.5% | 3.4% | 6.5% | 5.2% | 6.2% |
| 10 | 1.4% | 5.2% | 4.5% | 3.0% | 5.1% | 4.3% | 4.7% |
| 15 | 1.1% | 4.1% | 3.8% | 2.9% | 4.2% | 3.7% | 3.8% |
| 20 | 0.9% | 3.5% | 3.3% | 2.7% | 3.6% | 3.2% | 3.3% |
| 25 | 0.8% | 3.1% | 3.0% | 2.6% | 3.2% | 2.9% | 3.0% |
| Attribute | GR | PCA | CHI | RELIEF | SVM |
|---|---|---|---|---|---|
| Color | 0.648 | 0.031 | 0.000 | 0.156 | 0.304 |
| Season | 0.000 | 0.446 | 0.318 | 0.270 | 0.985 |
| Price | 0.278 | 0.226 | 0.714 | 1.000 | 0.000 |
| Brand | 0.537 | 0.681 | 0.495 | 0.211 | 1.000 |
| Style | 1.000 | 0.533 | 1.000 | 0.000 | 0.467 |
| Top-N | ISBR | FWSBR CHI | FWSBR PCA | FWSBR GR | FWSBR RELIEF | FWSBR SVM |
|---|---|---|---|---|---|---|
| 5 | 22.1% | 24.3% | 22.5% | 21.0% | 20.2% | 19.0% |
| 10 | 26.8% | 31.2% | 30.4% | 29.7% | 28.3% | 28.0% |
| 15 | 29.4% | 34.7% | 34.3% | 34.0% | 32.3% | 32.7% |
| 20 | 31.0% | 36.7% | 36.5% | 36.4% | 34.9% | 35.3% |
| 25 | 32.0% | 38.1% | 37.9% | 37.9% | 36.6% | 37.1% |
| Top-N | ISBR | FWSBR CHI | FWSBR PCA | FWSBR GR | FWSBR RELIEF | FWSBR SVM |
|---|---|---|---|---|---|---|
| 5 | 4.5% | 5.0% | 4.6% | 4.3% | 4.1% | 3.9% |
| 10 | 2.9% | 3.3% | 3.3% | 3.2% | 3.0% | 3.0% |
| 15 | 2.2% | 2.6% | 2.6% | 2.6% | 2.4% | 2.5% |
| 20 | 1.8% | 2.2% | 2.2% | 2.2% | 2.1% | 2.1% |
| 25 | 1.6% | 1.9% | 1.9% | 1.9% | 1.8% | 1.9% |
| Top-N | ISBR | FWSBR CHI | FWSBR PCA | FWSBR GR | FWSBR RELIEF | FWSBR SVM |
|---|---|---|---|---|---|---|
| 5 | 7.5% | 8.3% | 7.7% | 7.1% | 6.9% | 6.5% |
| 10 | 5.2% | 6.0% | 5.9% | 5.7% | 5.5% | 5.4% |
| 15 | 4.1% | 4.8% | 4.8% | 4.7% | 4.5% | 4.6% |
| 20 | 3.5% | 4.1% | 4.1% | 4.1% | 3.9% | 4.0% |
| 25 | 3.1% | 3.6% | 3.6% | 3.6% | 3.5% | 3.5% |
| Top-N | ISBR | FWSBR CHI | FWSBR PCA | FWSBR GR | FWSBR RELIEF | FWSBR SVM |
|---|---|---|---|---|---|---|
| 5 | 22.1% | 34.6% | 30.1% | 28.9% | 28.1% | 28.0% |
| 10 | 26.8% | 38.8% | 36.9% | 36.3% | 35.0% | 35.1% |
| 15 | 29.4% | 41.4% | 40.4% | 40.2% | 38.6% | 39.2% |
| 20 | 31.0% | 43.1% | 42.5% | 42.5% | 41.0% | 41.6% |
| 25 | 32.0% | 44.2% | 43.9% | 43.9% | 42.7% | 43.1% |
| Top-N | ISBR | FWSBR CHI | FWSBR PCA | FWSBR GR | FWSBR RELIEF | FWSBR SVM |
|---|---|---|---|---|---|---|
| 5 | 4.4% | 4.4% | 5.1% | 4.8% | 4.6% | 4.4% |
| 10 | 2.8% | 3.3% | 3.6% | 3.5% | 3.3% | 3.3% |
| 15 | 2.1% | 2.7% | 2.8% | 2.8% | 2.7% | 2.7% |
| 20 | 1.8% | 2.3% | 2.4% | 2.3% | 2.3% | 2.3% |
| 25 | 1.6% | 2.1% | 2.1% | 2.1% | 2.0% | 2.0% |
| Top-N | ISBR | FWSBR CHI | FWSBR PCA | FWSBR GR | FWSBR RELIEF | FWSBR SVM |
|---|---|---|---|---|---|---|
| 5 | 7.3% | 7.8% | 8.7% | 8.2% | 8.0% | 7.6% |
| 10 | 5.1% | 6.2% | 6.5% | 6.3% | 6.1% | 6.0% |
| 15 | 4.0% | 5.1% | 5.2% | 5.2% | 5.0% | 5.0% |
| 20 | 3.4% | 4.4% | 4.5% | 4.5% | 4.3% | 4.3% |
| 25 | 3.0% | 3.9% | 4.0% | 4.0% | 3.8% | 3.9% |
© 2019 by the authors. Licensee MDPI, Basel, Switzerland. This article is an open access article distributed under the terms and conditions of the Creative Commons Attribution (CC BY) license (http://creativecommons.org/licenses/by/4.0/).
Share and Cite
Hwangbo, H.; Kim, Y. Session-Based Recommender System for Sustainable Digital Marketing. Sustainability 2019, 11, 3336. https://doi.org/10.3390/su11123336
Hwangbo H, Kim Y. Session-Based Recommender System for Sustainable Digital Marketing. Sustainability. 2019; 11(12):3336. https://doi.org/10.3390/su11123336
Chicago/Turabian StyleHwangbo, Hyunwoo, and Yangsok Kim. 2019. "Session-Based Recommender System for Sustainable Digital Marketing" Sustainability 11, no. 12: 3336. https://doi.org/10.3390/su11123336
APA StyleHwangbo, H., & Kim, Y. (2019). Session-Based Recommender System for Sustainable Digital Marketing. Sustainability, 11(12), 3336. https://doi.org/10.3390/su11123336

