Assessment of Photovoltaic Potential of Mining Sites in Uzbekistan
Abstract
1. Introduction
2. Materials and Methods
2.1. Study Area
2.2. Data Collection
2.3. System Design
2.4. Assessments
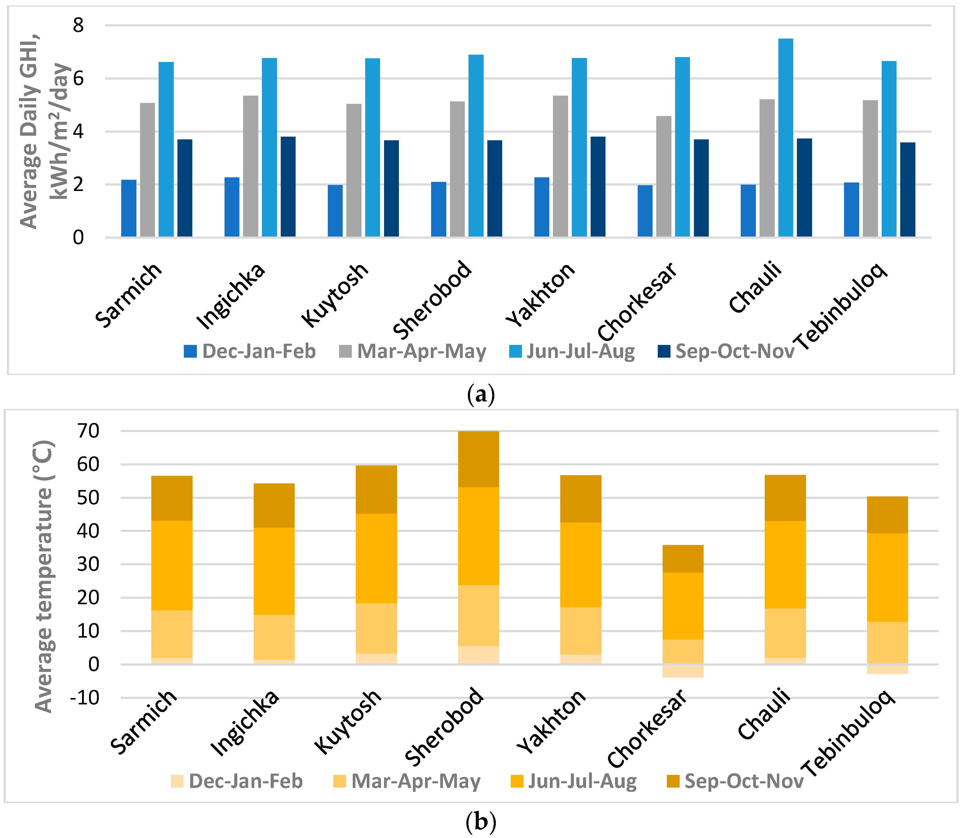
3. Results
4. Discussion
5. Conclusions
Author Contributions
Funding
Conflicts of Interest
References
- Alamdari, P.; Nematollahi, O.; Alemrajabi, A.A. Solar energy potentials in Iran: A review. Renew. Sustain. Energy Rev. 2013, 21, 778–788. [Google Scholar] [CrossRef]
- Nematollahi, O.; Kim, K.C. A feasibility study of solar energy in South Korea. Renew. Sustain. Energy Rev. 2017, 77, 566–579. [Google Scholar] [CrossRef]
- Bonanno, F.; Capizzi, G.; Sciuto, G.L.; Napoli, C.; Pappalardo, G.; Tramontana, E. A novel cloud-distributed toolbox for optimal energy dispatch management from renewables in IGSs by using WRNN predictors and GPU parallel solutions. In Proceedings of the 2014 International Symposium on Power Electronics, Electrical Drives, Automation and Motion, Ischia, Italy, 18–20 June 2014; pp. 1077–1084. [Google Scholar]
- Bakhiyi, B.; Labrèche, F.; Zayed, J. The photovoltaic industry on the path to a sustainable future - Environmental and occupational health issues. Environ. Intern. 2014, 73, 224–234. [Google Scholar] [CrossRef] [PubMed]
- Merrouni, A.A.; Mezrhab, A.; Mezrhab, A. PV sites suitability analysis in the Eastern region of Morocco. Sustain. Energy Technol. Assess. 2016, 18, 6–15. [Google Scholar] [CrossRef]
- Borgogno Mondino, E.; Fabrizio, E.; Chiabrando, R. Site selection of large ground-mounted photovoltaic plants: A GIS decision support system and an application to Italy. Int. J. Green Energy 2015, 12, 515–525. [Google Scholar] [CrossRef]
- Bonanno, F.; Capizzi, G.; Sciuto, G. Lo A neuro wavelet-based approach for short-term load forecasting in integrated generation systems. In Proceedings of the 2013 International Conference on Clean Electrical Power (ICCEP), Alghero, Italy, 11–13 June 2013; pp. 772–776. [Google Scholar]
- Lo Sciuto, G. Air pollution effects on the intensity of received signal in 3G/4G mobile terminal. Int. J. Energy Environ. Eng. 2019, 10, 1–9. [Google Scholar] [CrossRef]
- Jeswiet, J.; Szekeres, A. Energy Consumption in Mining Comminution. Procedia. CIRP 2016, 48, 140–145. [Google Scholar] [CrossRef]
- Peralta, S.; Sasmito, A.P.; Kumral, M. Reliability effect on energy consumption and greenhouse gas emissions of mining hauling fleet towards sustainable mining. J. Sustain. Min. 2016, 15, 85–94. [Google Scholar] [CrossRef]
- Norgate, T.; Haque, N. The greenhouse gas impact of IPCC and ore-sorting technologies. Miner. Eng. 2013, 42, 13–21. [Google Scholar] [CrossRef]
- Norgate, T.; Haque, N. Energy and greenhouse gas impacts of mining and mineral processing operations. J. Clean. Prod. 2010, 18, 266–274. [Google Scholar] [CrossRef]
- Wirth, P.; Mali, B.Č.; Fischer, W. Post-Mining Regions in Central Europe; Digital Print Group: Nurnberg, Germany, 2012; ISBN 9783865812940. [Google Scholar]
- Choi, Y.; Song, J. Sustainable development of abandoned mine areas using renewable energy systems: A case study of the photovoltaic potential assessment at the tailings dam of abandoned Sangdong mine, Korea. Sustainability 2016, 8, 1320. [Google Scholar] [CrossRef]
- Chile’s First Solar-Powered Industrial Plant Opens in the Atacama. This Is Chile. Available online: https://www.thisischile.cl/chiles-first-solar-powered-industrial-plant-opens-in-the-atacama/?lang=en (accessed on 25 April 2019).
- Solar Power Project-Degrussa. Available online: http://www.sandfire.com.au/operations/degrussa/solar-power-project.html (accessed on 20 April 2019).
- Shanta Gold: An Innovative Mining Company Ready to Make Bigger Impact. Available online: https://www.redaviasolar.com (accessed on 25 April 2019).
- SunMine. City of Kimberley, BC. Available online: http://www.sunmine.ca/about.html (accessed on 25 April 2019).
- Choi, Y. Utilization of Renewable Energy Technology in the Mining Industry. Korea Res. Eng. Soc. 2013, 50, 422–429. [Google Scholar] [CrossRef]
- First Solar, Ingenero Develop Diesel-PV Hybrid Project for Rio Tinto in Australia–pv Magazine International. Available online: https://www.pv-magazine.com/2014/05/22/first-solar-ingenero-develop-diesel-pv-hybrid-project-for-rio-tinto-in-australia_100015157/#axzz3AxLU3CPD (accessed on 25 April 2019).
- Choi, Y.; Song, J. Review of photovoltaic and wind power systems utilized in the mining industry. Renew. Sustain. Energy Rev. 2017, 75, 1386–1391. [Google Scholar] [CrossRef]
- Song, J.; Choi, Y. Analysis of the potential for use of floating photovoltaic systems on mine pit lakes: Case study at the Ssangyong open-pit limestone mine in Korea. Energies 2016, 9, 102. [Google Scholar] [CrossRef]
- Song, J.; Choi, Y.; Jang, M.; Yoon, S. A Comparison of Wind Power and Photovoltaic Potentials at Yeongok, Mulno and Booyoung Abandoned Mines in Kangwon Province, Korea. J. Korean Soc. Miner. Energy Resour. Eng. 2014, 51, 525–536. [Google Scholar] [CrossRef]
- Song, J.; Choi, Y.; Yoon, S.H. Analysis of photovoltaic potential at abandoned mine promotion districts in Korea. Geosyst. Eng. 2015, 18, 168–172. [Google Scholar] [CrossRef]
- Choi, Y.; Song, J. Assessment of Photovoltaic Potentials at Abandoned Mine Reclamation Sites in Korea using Renewable Energy Resource Maps. N. Renew. Energy 2016, 12, 44. [Google Scholar] [CrossRef]
- International Energy Agency. World Energy Statistics 2018; OECD Publishing: Paris, France, 2018. [Google Scholar] [CrossRef]
- NBU Energy Demand of Uzbekistan Boosts 25,5 Percent in 2030. Available online: https://nbu.uz/news/ozbekistonda-2030-yilgacha-energiya-resurslariga-talab-25-5-foizga-osadi/ (accessed on 25 April 2019).
- Kuwait, Sri Lanka, Sudan, and Uzbekistan Join IRENA. Available online: https://www.irena.org/newsroom/articles/2009/Jun/Kuwait-Sri-Lanka-Sudan-and-Uzbekistan-join-IRENA (accessed on 25 April 2019).
- Rakhimov, E.Y.; Sadullaeva, S.E.; Kolomiets, Y.G.; Tashmatov, K.K.; Usmonov, N.O. Analysis of the solar energy potential of the Republic of Uzbekistan. Appl. Sol. Energy 2018, 53, 344–346. [Google Scholar] [CrossRef]
- Sharipov, O. The Main Directions of Developing Renewable Energy Sources in Uzbekistan. Available online: http://www.inogate.org/documents/6 Otabek Sharipov ENGLISH.pdf (accessed on 23 January 2019).
- Uzbekistan: Samarkand Solar Power Project Asian Development Bank. Available online: https://www.adb.org/projects/45120-003/main (accessed on 25 April 2019).
- Tiangco, C. Update on Solar Development in Uzbekistan. In Proceedings of the 2015 8th Meeting of the Asia Solar Energy Forum, Mandaluyong, Philippines, 15 June 2015. [Google Scholar]
- The Mineral Industry of Uzbekistan. Available online: https://www.usgs.gov/centers/nmic/europe-and-central-eurasia#uz (accessed on 20 April 2019).
- Abdullaev, D.A.; Isaev, R.I. Resources of solar radiation and wind energies in Uzbekistan and system of their combined utilization. ISESCO Sci. Technol. Vis. 2005, 1, 76–82. [Google Scholar]
- State Committee of the Republic of Uzbekistan: Alternative Energy Sources of Uzbekistan. Available online: https://www.stat.uz/ru/ofitsialnaya-statistika/investitsii-i-stroitelstvo/statisticheskie-tablitsy/439-byulleteni-ru/2819-ispolzovanie-alternativnykh-istochnikov-energii-v-uzbekistane (accessed on 25 April 2019).
- Servert, J.; Tiangco, C.; López, A.; De Loizaga, I.; Castella, D.; Pérez, R. Roadmap for solar energy development in Uzbekistan. Energy Procedia 2013, 49, 1906–1915. [Google Scholar] [CrossRef]
- Bank, A.D. Solar Energy Development Roadmap; ASIAN DEVELOPMENT BANK UZB TA 8008 Republic of Uzbekistan: Manila, Philippines, 2014. [Google Scholar]
- Uzbekistan Geography History Britannica.com. Available online: https://www.britannica.com/place/Uzbekistan (accessed on 25 April 2019).
- Navoi Mining & Metallurgical Combinat. Available online: https://www.ngmk.uz/en/about/about (accessed on 25 April 2019).
- JSC Almalyk MMC. Available online: http://agmk.uz/index.php/en/ (accessed on 25 April 2019).
- Global Solar Atlas-Downloads. Available online: https://globalsolaratlas.info/downloads/uzbekistan (accessed on 25 April 2019).
- UZBEKENERGO: Tariffs Electric Power. Available online: https://www.uzbekenergo.uz/uz/activities/tariffs-electric-power/ (accessed on 23 April 2019).
- NBU | National Bank of Uzbekistan. Available online: https://nbu.uz/ (accessed on 25 April 2019).
- RETScreen. Clean Energy Project Analysis: RETScreen Engineering and Cases Textbook; Natural Resources Canada: Ottawa, ON, Canada, 2015; ISBN 0662391918.
- Asian Development Bank. Guidelines for Estimating Greenhouse Gas Emissions of Asian Development Bank Projects Additional Guidance for Clean Energy Projects; Asian Development Bank: Mandaluyong, Philippines, 2017. [Google Scholar] [CrossRef]
- Uzbekistan Transmission and Distribution Losses Percent. Available online: https://tradingeconomics.com/uzbekistan/transmission-and-distribution-losses-percent-wb-data.html (accessed on 12 April 2019).
- Fu, R.; Feldman, D.; Margolis, R.; Woodhouse, M.; Ardani, K.U.S. Solar Photovoltaic System Cost Benchmark: Q1 2017; National Renewable Energy Laboratory: Colorado, CO, USA, 2009.
- Tidball, R.; Bluestein, J.; Rodriguez, N.; Knoke, S. Cost and Performance Assumptions for Modeling Electricity Generation Technologies; National Renewable Energy Laboratory: Colorado, CO, USA, 2010.
- Uzbekistan Inflation Rate 2019 Data Chart Calendar Forecast News. Available online: https://tradingeconomics.com/uzbekistan/inflation-cpi (accessed on 25 April 2019).
- Zhuang, J.; Liang, Z.; Lin, T.; De Guzman, F. Theory and Practice in the Choice of Social Discount Rate for Cost-Benefit Analysis: A Survey; Asian Development Bank: Mandaluyong, Philippines, 2007; ISSN 16555252. [Google Scholar]
- Dmitriev, A.N.; Mukhitdinov, Y.S.; Rakhimov, V.R.; Sitdikov, F.G. Pyrometallurgical Technology for Processing Titanomagnetites from the Tebinbulak Deposit. Metallurgist 2005, 49, 41–43. [Google Scholar] [CrossRef]
- President Approves Measures for Building Mining and Metallurgical Complex Based on the Tebinbulak Deposit. Available online: https://www.uzdaily.uz/en/post/42346 (accessed on 25 April 2019).
- Merkushkin, A. Observational hydrometeorological network in Uzbekistan: Status, data acquisition and control. JMA/WMO Workshop Qual. Manag. Surf Clim. Up. Air Obs. RA II 2010, 7, 175–184. [Google Scholar]






| ID | Region | Mining Site | Company | Mineral | Status | Global Horizontal Irradiation (GHI) (kWh/m2/day) | Annual Mean Temperature (°C) |
|---|---|---|---|---|---|---|---|
| 2 | Navoi | Sarmich | Navoi MMC 1 | gold/silver | operating | 4.41 | 14.20 |
| 26 | Samarkand | Ingichka | Navoi MMC 1 | tungsten | operating | 4.55 | 13.60 |
| 31 | Jizzakh | Kuytosh | unavailable | tungsten | projected | 4.36 | 15.20 |
| 36 | Surkhandarya | Sherobod | unavailable | strontium | projected | 4.46 | 17.50 |
| 38 | Bukhoro | Yakhtan | Navoi MMC 1 | tungsten | abandoned | 4.55 | 14.20 |
| 43 | Namangan | Chorkesar | Almalyk MMC 1 | uranium | abandoned | 4.27 | 8.10 |
| 60 | Tashkent | Chauli | Almalyk MMC 1 | uranium | abandoned | 4.62 | 14.30 |
| 62 | Karakalpakstan | Tebinbuloq | unavailable | iron | projected | 4.38 | 12.10 |
| Item | Parameter | Value |
|---|---|---|
| Photovoltaic | Material | mono-Si |
| Model | Sunpower, mono-Si-SPR-X20-250-BLK | |
| Total units | 4000 | |
| Capacity per unit (kW/unit) | 250 | |
| Total capacity (kW) | 1000 | |
| Efficiency (%) | 20.3 | |
| Frame area (m2) | 1.157 | |
| Nominal operating cell temperature (°C) | 45 | |
| Miscellaneous losses (%) | 1 | |
| Inverter | Model | Sunpower, SPR-12000f |
| Efficiency (%) | 95.5 | |
| Total units | 80 | |
| Capacity per unit (kW/unit) | 12.5 | |
| Miscellaneous losses (%) | 0 |
| Site | Capacity Factor (%) | Annual Electricity Generation (MWh/year) | Annual Greenhouse Gas (GHG) Reduction (tCO2) | Gasoline (L) |
|---|---|---|---|---|
| Sarmich | 18.5 | 1619 | 891.8 | 383,198 |
| Ingichka | 19.1 | 1676 | 923.3 | 396,701 |
| Kuytosh | 17.9 | 1572 | 866.4 | 372,250 |
| Sherobod | 17.7 | 1555 | 856.6 | 368,060 |
| Yakhton | 19 | 1660 | 914.8 | 393,044 |
| Chorkesar | 18.4 | 1612 | 888.2 | 381,630 |
| Chauli | 19 | 1668 | 918.8 | 394,783 |
| Tebinbuloq | 19.2 | 1685 | 928.5 | 398,955 |
| Parameter | Sensor | |
|---|---|---|
| Kipp & Zonen CM3 | LiCOR LI200X | |
| Manufacturer | Kipp & Zonen | LI-COR, Inc. |
| Operating range (W/m2) | 0–2000 | 0–3000 |
| Accuracy (%) | ±10 | ±5 |
| Type | Thermopile pyranometer | Silicon photocell pyranometer |
© 2019 by the authors. Licensee MDPI, Basel, Switzerland. This article is an open access article distributed under the terms and conditions of the Creative Commons Attribution (CC BY) license (http://creativecommons.org/licenses/by/4.0/).
Share and Cite
Mardonova, M.; Choi, Y. Assessment of Photovoltaic Potential of Mining Sites in Uzbekistan. Sustainability 2019, 11, 2988. https://doi.org/10.3390/su11102988
Mardonova M, Choi Y. Assessment of Photovoltaic Potential of Mining Sites in Uzbekistan. Sustainability. 2019; 11(10):2988. https://doi.org/10.3390/su11102988
Chicago/Turabian StyleMardonova, Mokhinabonu, and Yosoon Choi. 2019. "Assessment of Photovoltaic Potential of Mining Sites in Uzbekistan" Sustainability 11, no. 10: 2988. https://doi.org/10.3390/su11102988
APA StyleMardonova, M., & Choi, Y. (2019). Assessment of Photovoltaic Potential of Mining Sites in Uzbekistan. Sustainability, 11(10), 2988. https://doi.org/10.3390/su11102988

