Cordon- or Link-Based Pricing: Environment-Oriented Toll Design Models Development and Application
Abstract
1. Introduction
2. Traffic Performance and Congestion Level Evaluation and Modeling
2.1. Traffic Performance and Congestion Level Evaluation
2.1.1. Identification of the Congested Road Link
2.1.2. Calculation of the Network Congested Distance Proportion (CDP)
2.1.3. Determination of the TPI for the Performance and Congestion Level Evaluation
2.2. Performance and Congestion Level Optimization Model
2.3. Formulation of TPI-Related Constraints
3. Development of the Environment-Oriented Toll Design Models
3.1. Environment-Oriented Cordon-Based Toll Design Model
- (1)
- TPI-related constraints,
- (2)
- Toll restrictions,where is a toll on link a of road grade j; and
- (3)
- Gross revenue balance,
- (4)
- The relationship between path flow and O-D demand,
- (5)
- The relationship between flow on link a and path flow (use link a),
- (6)
- Non-negative constraint of path flow,
3.2. Environment-Oriented Link-Based Toll Design Model
4. Numerical Example
- (1)
- The area within the cordon (the dotted line) shown in Figure 2 was considered to be a controlled area by toll schemes, and the regional effects in terms of emissions reduction and congestion mitigation were investigated and compared under pricing strategies;
- (2)
- Both the cordon- and link-based toll design models had the same O-D pairs and expressions of elastic demand. Meanwhile, the other parameters of the road network were the same;
- (3)
- In spite of different tolled locations, the total available collected tolls (the sum of the upper limits of tolls) were the same. For example, the cordon- and link-based tolls had 2 and 14 tolled locations (or links), and the upper limits of the collected tolls were 7 and 1 for the cordon- and link-based pricing, respectively. Thus, the total available collected tolls from the road network was 14 for the two pricing strategies.
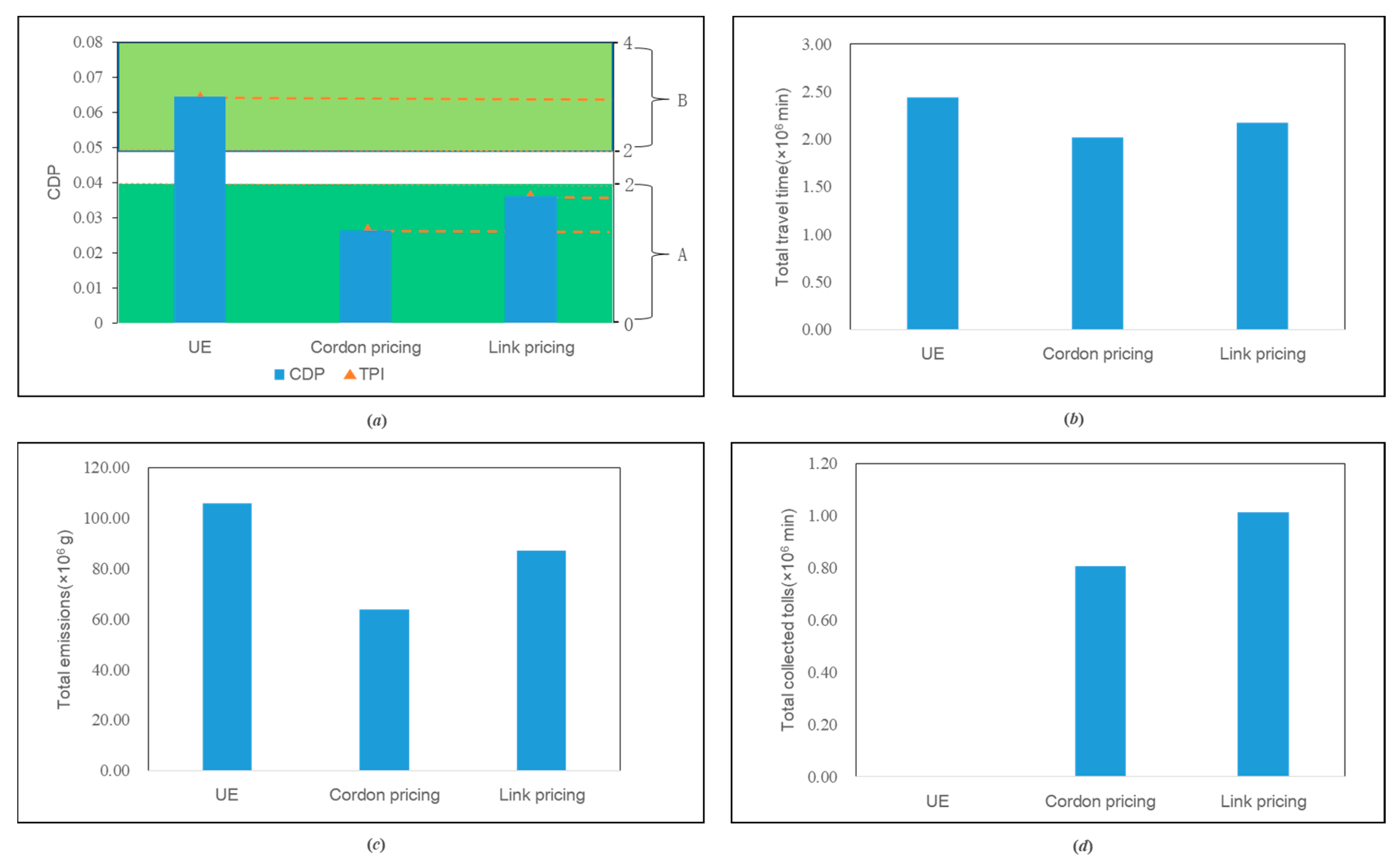
5. Applications to Beijing, China
6. Results and Discussion
7. Conclusions
Author Contributions
Funding
Acknowledgments
Conflicts of Interest
References
- European Environment Agency. Emissions of air Pollutants from Transport. Available online: https://www.eea.europa.eu/data-and-maps/indicators/transport-emissions-of-air-pollutants-8/transport-emissions-of-air-pollutants-6 (accessed on 6 December 2018).
- Verhoef, E.T. The implementation of marginal external cost pricing in road transport. Pap. Reg. Sci. 2000, 79, 307–332. [Google Scholar] [CrossRef]
- Bao, Y.; Gao, Z.; Xu, M.; Yang, H. Tradable credit scheme for mobility management considering travelers’ loss aversion. Transp. Res. Part E Logist. Transp. Rev. 2014, 68, 138–154. [Google Scholar] [CrossRef]
- He, F.; Yin, Y.; Zhou, J. Deploying public charging stations for electric vehicles on urban road networks. Transp. Res. Part C Emerg. Technol. 2015, 60, 227–240. [Google Scholar] [CrossRef]
- Jiang, Y.B.; Sun, H.J.; Wang, W. Congestion pricing and refund optimization model based on mode choice. J. Transp. Syst. Eng. Inf. Technol. 2016, 16, 142–147. [Google Scholar]
- Gu, Z.; Liu, Z.; Cheng, Q.; Saberi, M. Congestion pricing practices and public acceptance: A review of evidence. Case Stud. Transp. Policy 2018, 6, 94–101. [Google Scholar] [CrossRef]
- Huang, W.J.; Zhang, W.H.; Shen, J.Y.; Jiang, N. Road Congestion Pricing Model Considering Energy Consumption Measurement. J. Transp. Syst. Eng. Inf. Technol. 2018, 18, 166–172. [Google Scholar]
- Wang, Y.; Szeto, W.Y.; Han, K.; Friesz, T.L. Dynamic traffic assignment: A review of the methodological advances for environmentally sustainable road transportation applications. Transp. Res. Part B Methodol. 2018, 111, 370–394. [Google Scholar] [CrossRef]
- Palma, A.D.; Lindsey, R. Traffic congestion pricing methodologies and technologies. Transp. Res. Part C Emerg. Technol. 2011, 19, 1377–1399. [Google Scholar] [CrossRef]
- Wang, G.M.; Gao, Z.Y.; Xu, M. Integrating link-based discrete credit charging scheme into discrete network design problem. Eur. J. Oper. Res. 2019, 272, 176–187. [Google Scholar] [CrossRef]
- Liu, Z.; Meng, Q.; Wang, S. Variational inequality model for cordon-based congestion charging under side constrained stochastic user equilibrium conditions. Transp. A Transp. Sci. 2014, 10, 693–704. [Google Scholar]
- Gu, Z.Y.; Shafiei, S.; Liu, Z.Y.; Saberi, M. Optimal distance- and time-dependent area-based pricing with the Network Fundamental Diagram. Transp. Res. Part C Emerg. Technol. 2018, 95, 1–28. [Google Scholar] [CrossRef]
- Daganzo, C.F.; Lehe, L.J. Distance-dependent congestion pricing for downtown zones. Transp. Res. Part B Methodol. 2015, 75, 89–99. [Google Scholar] [CrossRef]
- Zheng, N.; Rérat, G.; Geroliminis, N. Time-dependent area-based pricing for multimodal systems with heterogeneous users in an agent-based environment. Transp. Res. Part C Emerg. Technol. 2016, 62, 133–148. [Google Scholar] [CrossRef]
- Yang, H.; Lam, W. Optimal road tolls under conditions of queueing and congestion. Transp. Res. Part A Policy Pract. 1996, 30, 319–332. [Google Scholar]
- Kolak, O.İ.; Feyzioğlu, O.; Noyan, N. Bi-level multi-objective traffic network optimization with sustainability perspective. Expert Syst. Appl. 2018, 104, 294–306. [Google Scholar] [CrossRef]
- Liu, Z.; Wang, S.; Meng, Q. Optimal joint distance and time toll for cordon-based congestion pricing. Transp. Res. Part B Methodol. 2014, 69, 81–97. [Google Scholar] [CrossRef]
- Grisolía, J.M.; López, F.; Ortúzar, J.D. Increasing the acceptability of a congestion charging scheme. Transp. Policy 2015, 39, 37–47. [Google Scholar]
- Anas, A.; Hiramatsu, T. The economics of cordon tolling: General equilibrium and welfare analysis. Econ. Transp. 2013, 2, 18–37. [Google Scholar] [CrossRef]
- Aziz, H.M.A.; Ukkusuri, S.V. Exploring the trade-off between greenhouse gas emissions and travel time in daily travel decisions: Route and departure time choices. Transp. Res. Part D Transp. Environ. 2014, 32, 334–353. [Google Scholar] [CrossRef]
- Li, Z.C.; Guo, Q.W. Optimal time for implementing cordon toll pricing scheme in a monocentric city. Pap. Reg. Sci. 2017, 96, 163–190. [Google Scholar] [CrossRef]
- Azari, K.A.; Arintono, S.; Hamid, H.; Davoodi, S.R. Evaluation of demand for different trip purposes under various congestion pricing scenarios. J. Transp. Geogr. 2013, 29, 43–51. [Google Scholar] [CrossRef]
- Li, Z.; Lam, W.; Wang, S.; Sumalee, A. Environmentally Sustainable Toll Design for Congested Road Networks with Uncertain Demand. Int. J. Sustain. Transp. 2012, 6, 127–155. [Google Scholar] [CrossRef]
- Szeto, W.Y.; Wang, Y.; Wong, S.C. The chemical reaction optimization approach to solving the environmentally sustainable network design problem. Comput. Aided Civ. Infrastruct. Eng. 2014, 29, 140–158. [Google Scholar] [CrossRef]
- Ding, D.; Shuai, B.; Zhi, J.C. Impact of Emission Charging to Carpooling in Urban Roads. J. Transp. Syst. Eng. Inf. Technol. 2015, 15, 26–32. [Google Scholar]
- Ma, R.; Ban, X.; Szeto, W. Emission modeling and pricing on single-destination dynamic traffic networks. Transp. Res. Part B Methodol. 2017, 100, 255–283. [Google Scholar] [CrossRef]
- Long, J.; Chen, J.; Szeto, W.; Shi, Q. Link-based system optimum dynamic traffic assignment problems with environmental objectives. Transp. Res. Part D Transp. Environ. 2018, 60, 56–75. [Google Scholar] [CrossRef]
- Schrank, D.; Lomax, T. The 2005 Urban Mobility Report; Texas Transportation Institute: College Station, TX, USA, 2005. [Google Scholar]
- Das, D.K.; Keetse, M.S.M. Assessment of traffic congestion in the central areas of Kimberley city. Interim Interdiscip. J. 2015, 14, 70–82. [Google Scholar]
- Bian, C.; Yuan, C.; Kuang, W.; Wu, D. Evaluation, Classification, and Influential Factors Analysis of Traffic Congestion in Chinese Cities Using the Online Map Data. Math. Probl. Eng. 2016, 2016, 1693729. [Google Scholar] [CrossRef]
- He, F.F.; Yan, X.D.; Liu, Y.; Ma, L. A Traffic Congestion Assessment Method for Urban Road Networks Based on Speed Performance Index. Procedia Eng. 2016, 137, 425–433. [Google Scholar] [CrossRef]
- BTMB. Urban Road Traffic Performance Index; Beijing Municipal Commission of Transport: Beijing, China, 2011. (In Chinese)
- Lv, Y.; Wang, S.S.; Gao, Z.Y.; Li, X.J.; Sun, W. Design of a heuristic environment-friendly road pricing scheme for traffic emission control under uncertainty. J. Environ. Manag. 2018. [Google Scholar] [CrossRef]
- Sun, H.; Gao, Z.; Wu, J. A bi-level programming model and solution algorithm for the location of logistics distribution centers. Appl. Math. Model. 2008, 32, 610–616. [Google Scholar] [CrossRef]
- Yin, Y.; Lawphongpanich, S. Internalizing emission externality on road networks. Transp. Res. Part D Transp. Environ. 2006, 11, 292–301. [Google Scholar] [CrossRef]
- Beijing Transport Institute. Beijing Transport Development Annual Report. Available online: http://www.bjtrc.org.cn/JGJS.aspx?id=5.2&Menu=GZCG (accessed on 6 December 2018). (In Chinese).





| CDP Value/% | TPI | Performance and Congestion Level |
|---|---|---|
| [0,4] | [0,2] | A (Very smooth) |
| (5,8] | (2,4] | B (Smooth) |
| (8,11] | (4,6] | C (Lightly smooth) |
| (11,14] | (6,8] | D (Moderately congested) |
| (14,24) | (8,10) | E (Severely congested) |
| ≥24 | 10 | E (Severely congested) |
| Links | Road Grade j | ||||
|---|---|---|---|---|---|
| 1 | 2 | 15.00 | 0.40 | 0.40 | 3000.00 |
| 2 | 1 | 20.00 | 0.35 | 0.35 | 2000.00 |
| 3 | 1 | 20.00 | 0.80 | 0.80 | 2000.00 |
| 4 | 1 | 20.00 | 0.30 | 0.30 | 2000.00 |
| 5 | 1 | 20.00 | 0.40 | 0.40 | 2500.00 |
| 6 | 1 | 20.00 | 0.55 | 0.55 | 2000.00 |
| 7 | 1 | 20.00 | 0.30 | 0.30 | 2000.00 |
| 8 | 2 | 15.00 | 0.60 | 0.60 | 2000.00 |
| 9 | 1 | 20.00 | 0.30 | 0.30 | 3000.00 |
| 10 | 1 | 20.00 | 0.90 | 0.90 | 2000.00 |
| 11 | 2 | 15.00 | 1.80 | 1.80 | 2500.00 |
| 12 | 2 | 15.00 | 0.40 | 0.40 | 2000.00 |
| 13 | 2 | 15.00 | 0.30 | 0.30 | 3500.00 |
| 14 | 2 | 15.00 | 0.60 | 0.60 | 3000.00 |
| 15 | / | / | 4.8 | 4.8 | 3000.00 |
| 16 | / | / | 5.46 | 5.46 | 3000.00 |
| O-D Pairs | The Expression of Elastic Demand | Cordon-Based Pricing | Link-Based Pricing |
|---|---|---|---|
| (1,9) | 6342.68 | 6347.34 | |
| (2,10) | 6344.23 | 6341.13 | |
| Total travel demand | 12,686.91 | 12,688.47 |
| Links | Road Grade j | Cordon-Based Pricing | Link-Based Pricing | ||||
|---|---|---|---|---|---|---|---|
| Flow | Toll | Congestion Level | Flow | Toll | Congestion Level | ||
| 1 | 2 | 3563.82 | / | A | 3355.13 | 0.00 | A |
| 2 | 1 | 0.00 | / | B | 0.00 | 0.34 | B |
| 3 | 1 | 1233.41 | / | B | 753.36 | 0.00 | B |
| 4 | 1 | 1956.78 | / | B | 2390.38 | 0.00 | C |
| 5 | 1 | 4387.44 | / | D | 3950.75 | 0.00 | D |
| 6 | 1 | 1956.78 | / | B | 2390.38 | 0.00 | C |
| 7 | 1 | 1775.30 | / | B | 1818.03 | 0.00 | B |
| 8 | 2 | 3732.09 | / | C | 4208.41 | 0.01 | D |
| 9 | 1 | 3845.55 | / | C | 2886.09 | 0.13 | B |
| 10 | 1 | 2330.41 | / | C | 2601.77 | 0.00 | C |
| 11 | 2 | 2778.87 | / | A | 2992.20 | 0.00 | A |
| 12 | 2 | 2612.14 | / | A | 2132.72 | 1.00 | A |
| 13 | 2 | 6175.96 | / | C | 5487.85 | 0.00 | B |
| 14 | 2 | 6344.23 | / | D | 6341.13 | 1.00 | D |
| 15 | / | 6342.68 | 0.00 | / | 6347.34 | / | / |
| 16 | / | 6344.23 | 4.37 | / | 6341.13 | / | / |
| Total Travel time (min) | 47,617.44 | 49,248.00 | |||||
| Total emissions (g) | 56,690.31 | 51,639.38 | |||||
| Link | 155 | 156 | 157 | 158 | 159 |
|---|---|---|---|---|---|
| Toll (min) | 61.50 | 61.60 | 61.60 | 40.21 | 0.00 |
| Total collected toll (min) | 807,010.70 | ||||
© 2019 by the authors. Licensee MDPI, Basel, Switzerland. This article is an open access article distributed under the terms and conditions of the Creative Commons Attribution (CC BY) license (http://creativecommons.org/licenses/by/4.0/).
Share and Cite
Li, X.; Lv, Y.; Sun, W.; Zhou, L. Cordon- or Link-Based Pricing: Environment-Oriented Toll Design Models Development and Application. Sustainability 2019, 11, 258. https://doi.org/10.3390/su11010258
Li X, Lv Y, Sun W, Zhou L. Cordon- or Link-Based Pricing: Environment-Oriented Toll Design Models Development and Application. Sustainability. 2019; 11(1):258. https://doi.org/10.3390/su11010258
Chicago/Turabian StyleLi, Xijie, Ying Lv, Wei Sun, and Li Zhou. 2019. "Cordon- or Link-Based Pricing: Environment-Oriented Toll Design Models Development and Application" Sustainability 11, no. 1: 258. https://doi.org/10.3390/su11010258
APA StyleLi, X., Lv, Y., Sun, W., & Zhou, L. (2019). Cordon- or Link-Based Pricing: Environment-Oriented Toll Design Models Development and Application. Sustainability, 11(1), 258. https://doi.org/10.3390/su11010258
