Development of an Ex-Ante Sustainability Assessment Methodology for Municipal Solid Waste Management Innovations
Abstract
1. Introduction
1.1. Motivation
1.2. Life Cycle Sustainability Analysis Framework and Sustainable Development Goals
- Broadening the impacts: including economic, social, and environmental impacts.
- Broadening the scope of analysis: dealing with sustainability questions from product-level, meso-level (city-level and sector-level) to macro-level (economy-wide, national-, or global-level).
- Deepening the mechanism: including dynamics and causal and trade-off relationships.
1.3. Structure of the Paper
2. Methodology
2.1. Goal & Scope Definition
2.1.1. Macro Goal Identification
2.1.2. Context Structuring
2.1.3. Scenario Building
2.2. Modeling
2.2.1. Environmental Dimension
2.2.2. Economic Dimension
2.2.3. Social Dimension
2.2.4. Operationalization
2.3. Interpretation
2.4. Data Requirement
3. Case Study
3.1. Data Source
3.2. Goal & Scope Definition
3.2.1. Macro Goal Identification
3.2.2. Context Structuring
3.2.3. Scenario Building
3.3. Modeling Results
3.4. Interpretation
- The informal sector actors, especially the waste scavengers, should be included. The current WB program does not consider this vulnerable group. Indeed, community-based initiatives and NGOs are recognized as an important approach to formalize the informal sector [71]. More measures must be taken to empower the informal sector actors and absorbing them in the WB program could be one of them.
- To improve the environmental impact at the final disposal phase, the government should investigate measures to prevent uncontrolled waste disposal at source (open burning and dumping), as well as enhance the management of TPS and transportation process as more than 20% of total MSW is disposed improperly from this process.
- Negative economic impact must be taken into consideration. Trade-offs have to be made between the negative economic impact and other benefits in the social and environmental dimensions.
- Along with the WB program, the city governors shall also seek for other innovations dealing with organic waste in order to reduce the city’s reliance on landfilling more effectively.
4. Discussion
5. Conclusions
Author Contributions
Funding
Acknowledgments
Conflicts of Interest
Appendix A
| Type of Waste | Generation (100 kg) | Collected to TPS | Burning (B) + Dumping (D) | Transported to Landfill | Composting | Recycling by Informal Sector at Source | Recycling Informal Sector at TPS | Recycling Informal Sector at Landfill | Landfill | ||||||||||
|---|---|---|---|---|---|---|---|---|---|---|---|---|---|---|---|---|---|---|---|
| C (%) | Mass (kg) | C (%) | R_Mass (kg) | D_S_Mass (kg) | B_Mass (kg) | D_TPS Mass (kg) | Mass (kg) | C (%) | R_Mass (kg) | S_Mass (kg) | TPS_Mass (kg) | Mass (kg) | C (%) | Mass (kg) | C (%) | Mass (kg) | C (%) | Mass (kg) | |
| Organic | 52 | 43.539 | 51.9 | 8.461 | - | - | 15.76 | 27.66 | 51.37 | 15.88 | 0.45 | 0.12 | 0 | - | 0 | - | 0 | - | 27.7 |
| Plastics | 11.6 | 10.151 | 12.1 | 1.449 | 0.577 | 0.401 | 1.486 | 8.453 | 15.70 | 1.698 | - | - | 0.472 | 10.02 | 0.212 | 11.34 | 0.56 | 51.87 | 7.89 |
| Glass | 3.6 | 3.02 | 3.6 | 0.58 | 0.391 | 0 | 2.313 | 0.377 | 0.70 | 2.643 | - | - | 0.189 | 4.01 | 0.33 | 17.65 | 0.025 | 2.31 | 0.35 |
| Paper | 10.8 | 8.221 | 9.8 | 2.579 | 1.026 | 0.713 | 2.794 | 5.029 | 9.34 | 3.193 | - | - | 0.840 | 17.83 | 0.399 | 21.32 | 0.333 | 30.86 | 4.7 |
| Metals | 4.3 | 1.091 | 1.3 | 3.209 | 0 | 0 | 0 | 0.162 | 0.30 | 0.929 | - | - | 3.210 | 68.14 | 0.929 | 49.68 | 0.162 | 14.96 | 0 |
| Sum (Recyclable) | - 1 | 22.483 | 26.8 | - | 1.994 | 1.114 | - | 0 | - | 8.463 | - | - | 4.71 | 100 | 1.87 | 100 | 1.08 | 100 | - |
| Textiles | 3.5 | 2.936 | 3.5 | 0.5639 | - | - | 0.836 | 2.1 | 3.90 | 0.836 | - | - | - | - | - | - | - | - | 2.1 |
| Rubber | 1.9 | 0.503 | 0.6 | 1.397 | - | - | 0.18 | 0.323 | 0.60 | 0.18 | - | - | - | - | - | - | - | - | 0.32 |
| Others | 12.3 | 14.429 | 17.2 | - | - | - | 4.684 | 9.745 | 18.10 | 4.684 | - | - | - | - | - | - | - | - | 9.75 |
| Total | 100 | 83.89 | - | 16.11 | 6.46 | 4.49 | 28.07 | 53.85 | - | - | 0.45 | 0.12 | 4.71 | - | 1.87 | - | 1.08 | - | 52.8 |
| Type of Waste | Generation (100 kg) | Collected to TPS | Burning (B) + Dumping (D) | Transported to Landfill | Composting | Recycling by WB | Recycling by Informal Sector at Source | Recycling Informal Sector at TPS | Recycling Informal Sector at Landfill | Landfill | |||||||||
|---|---|---|---|---|---|---|---|---|---|---|---|---|---|---|---|---|---|---|---|
| C (%) | Mass (kg) | C (%) | D_S_Mass (kg) | B_Mass (kg) | D_TPS Mass (kg) | Mass (kg) | C (%) | S_Mass (kg) | TPS_Mass (kg) | Mass (kg) | C (%) | Mass (kg) | C (%) | Mass (kg) | C (%) | Mass (kg) | C (%) | Mass (kg) | |
| Organic | 52 | 43.539 | 58.13 | 14.88 | 28.54 | 58.91 | 0.45 | 0.12 | - | - | - | - | - | - | - | - | 28.540 | ||
| Plastics | 11.6 | 6.090 | 8.132 | 0.346 | 0.24 | 2.044 | 3.92 | 8.09 | - | - | 4.64 | 38.3 | 0.283 | 10.02 | 0.127 | 11.34 | 0.3361 | 51.87 | 3.584 |
| Glass | 3.6 | 1.812 | 2.419 | 0.235 | 0 | 0.553 | 1.061 | 2.19 | - | - | 1.44 | 11.9 | 0.113 | 4.01 | 0.198 | 17.65 | 0.015 | 2.31 | 1.046 |
| Paper | 10.8 | 4.933 | 6.586 | 0.616 | 0.428 | 1.608 | 3.085 | 6.37 | - | - | 4.32 | 35.6 | 0.504 | 17.83 | 0.239 | 21.32 | 0.2 | 30.86 | 2.886 |
| Metals | 4.3 | 0.654 | 0.874 | 0 | 0 | 0 | 0.097 | 0.20 | - | - | 1.72 | 14.2 | 1.926 | 68.14 | 0.557 | 49.68 | 0.097 | 14.96 | 0 |
| Sum (Recyclable) | - 1 | 13.49 | - | - | - | - | - | - | - | - | 12.12 | - | 2.826 | - | 1.122 | - | 0.648 | - | - |
| Textiles | 3.5 | 2.936 | 3.92 | - | - | 1.006 | 1.93 | 3.98 | - | - | - | - | - | - | - | - | - | - | 1.930 |
| Rubber | 1.9 | 0.503 | 0.672 | - | - | 0.172 | 0.331 | 0.68 | - | - | - | - | - | - | - | - | - | - | 0.331 |
| Others | 12.3 | 14.429 | 19.27 | - | - | 4.945 | 9.484 | 19.58 | - | - | - | - | - | - | - | - | - | - | 9.484 |
| Total | 100 | 74.897 | - | 5.663 | 4.044 | 25.21 | 48.45 | - | 0.45 | 0.12 | 12.12 | - | 2.826 | - | 1.122 | - | 0.648 | - | 47.799 |
Appendix B
Appendix C
| Collection | Transportation | Final Disposal | Resource Recovery | |
|---|---|---|---|---|
| Climate | 0 | +1 | 0 | +1 |
| Global warming potential (GWP) | 0 | +1 | 0 | +1 |
| Terrestrial ecosystem | 0 | +1 | 0 | +1 |
| Terrestrial acidification potential (TAP) | 0 | +1 | 0 | +1 |
| Terrestrial ecotoxicity potential (TETP) | 0 | +1 | 0 | +1 |
| Aquatic ecosystem | 0 | +1 | 0 | +1 |
| Eutrophication potential (EP) | 0 | +1 | 0 | +1 |
| Freshwater aquatic ecotoxicity potential (FAETP) | 0 | +1 | 0 | +1 |
| Marine aquatic ecotoxicity potential (MAETP) | 0 | +1 | 0 | +1 |
| Abiotic resource depletion | 0 | +1 | 0 | +0.5 |
| Abiotic depletion (ADP) elements | 0 | +1 | 0 | 0 |
| Abiotic depletion (ADP) fossil | 0 | +1 | 0 | +1 |
| Poverty | 0 | 0 | 0 | −1 |
| Income of actors below international poverty line | 0 | 0 | 0 | −1 |
| Energy supply & efficiency | 0 | −0.5 | 0 | −0.5 |
| Energy consumption | 0 | −1 | 0 | −1 |
| Energy intensity | 0 | 0 | 0 | 0 |
| Job & employment | 0 | 0 | 0 | +0.67 |
| Job creation | 0 | 0 | 0 | 0 |
| Quality of job created | 0 | 0 | 0 | +1 |
| Reduction of vulnerable employment | 0 | 0 | 0 | +1 |
| Health | +0.5 | +0.5 | +0.5 | +1 |
| Risk of health incidences | +1 | 0 | +1 | +1 |
| Human toxicity potential | 0 | +1 | 0 | +1 |
| Education & skill development | +0.33 | 0 | +0.33 | +0.33 |
| Provision of trainings or campaigns | 0 | 0 | 0 | +1 |
| Participation of trainings or campaigns | 0 | 0 | 0 | 0 |
| Application of knowledge | +1 | 0 | +1 | 0 |
| Egalitarian society | 0 | 0 | 0 | +0.5 |
| Inclusion of low-income households in waste service | 0 | 0 | 0 | +1 |
| Rate of female workers | 0 | 0 | 0 | +1 |
| Income of housewives | 0 | 0 | 0 | +1 |
| Inclusion of informal sector | 0 | 0 | 0 | −1 |
References
- UNEP. Global Waste Management Outlook; United Nations Environment Programme: Nairobi, Kenya, 2015. [Google Scholar]
- Guerrero, L.A.; Maas, G.; Hogland, W. Solid waste management challenges for cities in developing countries. Waste Manag. 2013, 33, 220–232. [Google Scholar] [CrossRef] [PubMed]
- Dhokhikah, Y.; Trihadiningrum, Y.; Sunaryo, S. Community participation in household solid waste reduction in Surabaya, Indonesia. Resour. Conserv. Recycl. 2015, 102, 153–162. [Google Scholar] [CrossRef]
- Wilson, D.C. Development drivers for waste management. Waste Manag. Res. 2007, 25, 198–207. [Google Scholar] [CrossRef] [PubMed]
- Erses Yay, A.S. Application of life cycle assessment (LCA) for municipal solid waste management: A case study of Sakarya. J. Clean. Prod. 2015, 94, 284–293. [Google Scholar] [CrossRef]
- Wulandari, D.; Utomo, S.H.; Narmaditya, B.S. Waste Bank: Waste Management Model in Improving Local Economy. Int. J. Energy Econ. Policy 2017, 7, 36–41. Available online: http://www.econjournals.com/index.php/ijeep/article/view/4496/2990 (accessed on 8 June 2018).
- Meidiana, C.; Yakin, H.A.; Wijayanti, W.P. Household’s Willingness to Accept Waste Separation for Improvement of Rural Waste Bank’s Effectivity. In Solid Waste Management in Rural Areas; Mihai, F.-C., Ed.; InTech: Rijeka, Croatia, 2017. [Google Scholar]
- Zurbrügg, C.; Caniato, M.; Vaccari, M. How Assessment Methods Can Support Solid Waste Management in Developing Countries—A Critical Review. Sustainability 2014, 6, 545–570. [Google Scholar] [CrossRef]
- Permana, A.S.; Towolioe, S.; Aziz, N.A.; Ho, C.S. Sustainable solid waste management practices and perceived cleanliness in a low income city. Habitat Int. 2015, 49, 197–205. [Google Scholar] [CrossRef]
- Simões, P.; Marques, R.C. On the economic performance of the waste sector. A literature review. J. Environ. Manag. 2012, 106, 40–47. [Google Scholar] [CrossRef] [PubMed]
- Wilson, D.C.; Rodic, L.; Cowing, M.J.; Velis, C.A.; Whiteman, A.D.; Scheinberg, A.; Vilches, R.; Masterson, D.; Stretz, J.; Oelz, B. ‘Wasteaware’ benchmark indicators for integrated sustainable waste management in cities. Waste Manag. 2015, 35, 329–342. [Google Scholar] [CrossRef] [PubMed]
- Zaman, A.U.; Lehmann, S. The zero waste index: A performance measurement tool for waste management systems in a ‘zero waste city’. J. Clean. Prod. 2013, 50, 123–132. [Google Scholar] [CrossRef]
- Bueno, G.; Latasa, I.; Lozano, P.J. Comparative LCA of two approaches with different emphasis on energy or material recovery for a municipal solid waste management system in Gipuzkoa. Renew. Sustain. Energy Rev. 2015, 51, 449–459. [Google Scholar] [CrossRef]
- Li, H.; Nitivattananon, V.; Li, P. Developing a Sustainability Assessment Model to Analyze China’s Municipal Solid Waste Management Enhancement Strategy. Sustainability 2015, 7, 1116–1141. [Google Scholar] [CrossRef]
- Ibáñez-Forés, V.; Bovea, M.D.; Coutinho-Nóbrega, C.; de Medeiros-García, H.R.; Barreto-Lins, R. Temporal evolution of the environmental performance of implementing selective collection in municipal waste management systems in developing countries: A Brazilian case study. Waste Manag. 2018, 72, 65–77. [Google Scholar] [CrossRef] [PubMed]
- Bernstad, A.; La Cour Jansen, J.; Aspegren, H. Life cycle assessment of a household solid waste source separation programme: A Swedish case study. Waste Manag. Res. 2011, 29, 1027–1042. [Google Scholar] [CrossRef] [PubMed]
- Ma, J.; Hipel, K.W. Exploring social dimensions of municipal solid waste management around the globe—A systematic literature review. Waste Manag. 2016, 56, 3–12. [Google Scholar] [CrossRef] [PubMed]
- Allesch, A.; Brunner, P.H. Assessment methods for solid waste management: A literature review. Waste Manag. Res. 2014, 32, 461–473. [Google Scholar] [CrossRef] [PubMed]
- Guinée, J.B.; Heijungs, R.; Huppes, G.; Zamagni, A.; Masoni, P.; Buonamici, R.; Ekvall, T.; Rydberg, T. Life Cycle Assessment: Past, Present, and Future. Environ. Sci. Technol. 2011, 45, 90–96. [Google Scholar] [CrossRef] [PubMed]
- Onat, N.; Kucukvar, M.; Halog, A.; Cloutier, S. Systems Thinking for Life Cycle Sustainability Assessment: A Review of Recent Developments, Applications, and Future Perspectives. Sustainability 2017, 9, 706. [Google Scholar] [CrossRef]
- Guinée, J.B. Life Cycle Sustainability Assessment: What Is It and What Are Its Challenges? In Taking Stock of Industrial Ecology; Clift, R., Druckman, A., Eds.; Springer: Cham, Switzerland, 2016; pp. 45–68. [Google Scholar]
- Guinée, J.B.; Huppes, G.; Heijungs, R.; van der Voet, E. Research Strategy, Programmes and Exemplary Projects on Life Cycle Sustainability Analysis (LCSA); Leiden University: Leiden, The Netherlands, 2009. [Google Scholar]
- Tarne, P.; Traverso, M.; Finkbeiner, M. Review of Life Cycle Sustainability Assessment and Potential for Its Adoption at an Automotive Company. Sustainability 2017, 9, 670. [Google Scholar] [CrossRef]
- Sala, S.; Farioli, F.; Zamagni, A. Life cycle sustainability assessment in the context of sustainability science progress (part 2). Int. J. Life Cycle Assess. 2013, 18, 1686–1697. [Google Scholar] [CrossRef]
- UN, General Assembly. Sustainable Development: Protection of Global Climate for Present and Future Generations of Humankind; A/70/472, 15 December 2015; United Nations Digital Library: New York, NY, USA, 2015. [Google Scholar]
- UN, General Assembly. Report of the Open Working Group of the General Assembly on Sustainable Development Goals; A/68/970, 12 August 2014; United Nations Digital Library: New York, NY, USA, 2014. [Google Scholar]
- ICSU; ISSC. Review of Targets for the Sustainable Development Goals: The Science Perspective; International Council for Science: Paris, France, 2015. [Google Scholar]
- Kühnen, M.; Hahn, R. Indicators in Social Life Cycle Assessment: A Review of Frameworks, Theories, and Empirical Experience. J. Ind. Ecol. 2017, 21, 1547–1565. [Google Scholar] [CrossRef]
- Wulf, C.; Werker, J.; Zapp, P.; Schreiber, A.; Schlör, H.; Kuckshinrichs, W. Sustainable Development Goals as a Guideline for Indicator Selection in Life Cycle Sustainability Assessment. Procedia CIRP 2018, 69, 59–65. [Google Scholar] [CrossRef]
- Maier, S.; Beck, T.; Francisco Vallejo, J.; Horn, R.; Söhlemann, J.-H.; Nguyen, T. Methodological Approach for the Sustainability Assessment of Development Cooperation Projects for Built Innovations Based on the SDGs and Life Cycle Thinking. Sustainability 2016, 8, 1006. [Google Scholar] [CrossRef]
- Stefanova, M.; Tripepi, C.; Zamagni, A.; Masoni, P. Goal and Scope in Life Cycle Sustainability Analysis: The Case of Hydrogen Production from Biomass. Sustainability 2014, 6, 5463–5475. [Google Scholar] [CrossRef]
- Van der Giesen, C.; Kleijn, R.; Kramer, G.J.; Guinée, J. Towards application of life cycle sustainability analysis. Rev. Metall. 2013, 110, 31–38. [Google Scholar] [CrossRef]
- Hu, M.; Kleijn, R.; Bozhilova-Kisheva, K.P.; Di Maio, F. An approach to LCSA: The case of concrete recycling. Int. J. Life Cycle Assess. 2013, 18, 1793–1803. [Google Scholar] [CrossRef]
- World Bank. WHAT A WASTE: A Global Review of Solid Waste Management; World Bank: Washington, DC, USA, 2012. [Google Scholar]
- Goedkoop, M.; Heijungs, R.; Huijbregts, M.; Schryver, A.D.; Struijs, J.; van Zelm, R. ReCiPe 2008: A life Cycle Impact Assessment Method Which Comprises Harmonised Category Indicators at the Midpoint and the Endpoint Level; Ministerie van VROM: Den Haag, The Netherlands, 2012. [Google Scholar]
- ISO. Environmental Management—Life Cycle Assessment—Principles and Framework; International Standard Organization: Geneva, Switzerland, 2006. [Google Scholar]
- IPCC. Chapter 1: Introduction. In IPCC Guidelines for National Greenhouse Gas Inventories: Waste; IPCC, Ed.; Intergovernmental Panel on Climate Change: Geneva, Switzerland, 2006; Volume 5, pp. 1–8. [Google Scholar]
- Montanari, S. Plastic Garbage Patch Bigger Than Mexico Found in Pacific. 2017. Available online: https://news.nationalgeographic.com/2017/07/ocean-plastic-patch-south-pacific-spd/ (accessed on 12 June 2018).
- Damanhuri, E. Informal Collectors of Recyclable Waste and Use Goods in Indonesia. In 3R Policies for Southeast and East Asia; Kojima, M., Ed.; ERIA: Jakarta, Indonesia, 2010; pp. 71–100. [Google Scholar]
- Ramadan, B.S.; Alam, F.C.; Rahardyan, B. The influence of environmental campaign on public awareness in maintaining the cleanliness and waste reduction program: A case study of Bandung City. Sci. J. PPI-UKM 2016, 3, 32–37. [Google Scholar] [CrossRef]
- Singhirunnusorn, W.; Donlakorn, K.; Kaewhanin, W. Household Recycling Behaviours and Attitudes toward Waste Bank Project: Mahasarakham Municipality. J. Asian Behav. Stud. 2012, 2. Available online: https://fspu.uitm.edu.my/cebs/images/stories/cebs/jabsv2n6c4p35to48.pdf (accessed on 12 June 2018). [CrossRef]
- Aleluia, J.; Ferrão, P. Characterization of urban waste management practices in developing Asian countries: A new analytical framework based on waste characteristics and urban dimension. Waste Manag. 2016, 58, 415–429. [Google Scholar] [CrossRef] [PubMed]
- Babaei, A.A.; Alavi, N.; Goudarzi, G.; Teymouri, P.; Ahmadi, K.; Rafiee, M. Household recycling knowledge, attitudes and practices towards solid waste management. Resour. Conserv. Recycl. 2015, 102, 94–100. [Google Scholar] [CrossRef]
- European Commission. ILCD Handbook—General Guide on Life Cycle Assessment—Detailed Guidance, 1st ed.; Publications Office of the European Union: Luxembourg, 2010. [Google Scholar]
- Opendata. Available online: http://data.bandung.go.id/ (accessed on 12 June 2018).
- Hijau Lestari. Available online: http://www.hijaulestari.org/) (accessed on 12 June 2018).
- Mungcharoen, T.; Sridowtong, S.; Saibuatrong, W. Benefits of 3R: From a Life Cycle Perspective. In 3R Policies for Southeast and East Asia; Kojima, M., Ed.; ERIA: Jakarta, Indonesia, 2010; pp. 1–21. [Google Scholar]
- Bandung City. Bandung City Masterplan. 2011. Available online: http://www.jdih.setjen.kemendagri.go.id/files/KOTA_BANDUNG_18_2011.pdf (accessed on 12 June 2018).
- CIA. gov. The World Factbook—Central Intelligence Agency, Indonesia. 2018. Available online: https://www.cia.gov/library/publications/the-world-factbook/geos/id.html (accessed on 12 June 2018).
- World Bank. Overview, Indonesia. 2018. Available online: http://www.worldbank.org/en/country/indonesia/overview (accessed on 12 June 2018).
- Tarigan, A.K.M.; Sagala, S.; Samsura, D.A.A.; Fiisabiilillah, D.F.; Simarmata, H.A.; Nababan, M. Bandung City, Indonesia. Cities 2016, 50, 100–110. [Google Scholar] [CrossRef]
- Aprilia, A.; Tezuka, T.; Spaargaren, G. Municipal Solid Waste Management with Citizen Participation: An Alternative Solution to Waste Problems in Jakarta, Indonesia. In Zero-Carbon Energy Kyoto 2010, Proceedings of the Second International Symposium of Global COE Program “Energy Science in the Age of Global Warming--Toward CO2 Zero-Emission Energy System”; Yao, T., Ed.; Springer: Tokyo, Japan; New York, NY, USA, 2011; pp. 56–62. [Google Scholar]
- Meidiana, C.; Gamse, T. Waste Reduction Effect on Methane Emission in Landfill. Adv. Nat. Appl. Sci. 2011, 5, 269–276. Available online: http://www.aensiweb.com/old/anas/2011/269-276.pdf (accessed on 12 June 2018).
- Profil Persampahan Kota Bandung (Waste Profile of Bandung City). 2016. Available online: https://inbesa.wordpress.com/tag/bandung/ (accessed on 12 June 2018).
- Damanhuri, E.; Handoko, W.; Padmi, T. Municipal Solid Waste Management in Indonesia. In Municipal Solid Waste Management in Asia and the Pacific Islands: Challenges and Strategic Solutions; Pariatamby, A., Tanaka, M., Eds.; Springer: Singapore, 2014; pp. 139–155. [Google Scholar]
- Opendata Kota Bandung. Produksi Jenis Sampah Menurut Jenisnya di Kota Bandung (Dataset). 2017. Available online: http://data.bandung.go.id/dataset/produksi-jenis-sampah-menurut-jenisnya-tahun-2014 (accessed on 13 June 2018).
- Waste Atlas—Interactive Map with Visualized Waste Management Data. Available online: http://www.atlas.d-waste.com/ (accessed on 13 June 2018).
- Damanhuri, E.; Wahyu, I.M.; Ramang, R.; Padmi, T. Evaluation of municipal solid waste flow in the Bandung metropolitan area, Indonesia. J. Mater. Cycles Waste Manag. 2009, 11, 270–276. [Google Scholar] [CrossRef]
- Damanhuri, E.; Padmi, T. Current Situation of Waste Recycling in Indonesia. In 3R Policies for Southeast and East Asia; Kojima, M., Damanhuri, E., Eds.; ERIA: Jakarta, Indonesia, 2009; pp. 23–52. [Google Scholar]
- Rahayu, N.; Yudoko, G. Backcasting Integrated Municipal Solid Waste Managemetn in Bandung City: A literature Review. In Proceedings of the 3rd International Conference on Technology and Operations Management, Bandung, Indonesia, 4–6 July 2012; pp. 539–547. [Google Scholar]
- Opendata Kota Bandung. Data Sebaran Lokasi TPS PD Kebersihan Kota Bandung Tahun 2016 (Dataset). 2016. Available online: http://data.bandung.go.id/dataset/data-sebaran-lokasi-tps-pd-kebersihan-kota-bandung-tahun-2016 (accessed on 13 June 2018).
- Zahra, M. Presiding over a Flood of Waste: A Case Study on a Local Movemenet for Domestic Waste Management at the Household Level, Bandung City, Indonesia. Master’s Thesis, Lund University, Lund, Sweden, 2017. [Google Scholar]
- Maryati, S.; Humaira, A.N.S.; Putri, H.T. Relationship between Solid Waste Service Characteristics and Income Level in Metropolitan Bandung Raya. MIMBAR Jurnal Sosial Pembangunan 2016, 32, 233–242. [Google Scholar] [CrossRef]
- Opendata Kota Bandung. Kendaraan Angkutan Truk Sampah Hasil Bantuan Tahun 2015 (Datasest). 2015. Available online: http://data.bandung.go.id/dataset/kendaraan-angkutan-truk-sampah-hasil-bantuan-tahun-2015 (accessed on 13 June 2018).
- Ramdhani, M.Y.; Sururi, M.R.; Ainun, S.; Roosmini, D.; Pribadi, K.; Sugeng, B.; Hadihardaja, I.K. Leachate Treatment from Sarimukti Landfill Using Ozone with Sludge from Water Treatment Plant as a Catalyst. MATEC Web Conf. 2018, 147, 4006. [Google Scholar] [CrossRef]
- Opendata Kota Bandung. Datasets—Portal Data Kota Bandung. 2017. Available online: http://data.bandung.go.id/dataset?res_format=CSV&organization=perusahaan-daerah-kebersihan&license_id=cc-by (accessed on 13 June 2018).
- Thinkstep AG. GaBi ts. 2018. Available online: https://www.thinkstep.com/software/gabi-lca/gabi-professional (accessed on 9 August 2018).
- Guinée, J.B.; Gorrée, M.; Heijungs, R.; Huppes, G.; Kleijn, R.; de Koning, A.; van Oers, L.; Wegener Sleeswijk, A.; Suh, S.; Udo de Haes, H.A.; et al. Handbook on Life Cycle Assessment. Operational Guide to the ISO Standards. IIa: Guide; Kluwer Academic Publishers: Dordrecht, The Netherlands, 2002; ISBN 1-4020-0228-9. [Google Scholar]
- Purba, H.D.; Meidiana, C.; Adrianto, D.W. Waste Management Scenario through Community Based Waste Bank: A Case Study of Kepanjen District, Malang Regency, Indonesia. IJESD 2014, 212–216. [Google Scholar] [CrossRef]
- Premakumara, D.G.J.; Soedjono, E.S.; Kataoka, Y.; Fitriani, N. Transition from Waste Management to Resource Management: A Potential of Waste Bank Program in Indonesian Cities. JSM Environ. Sci. Ecol. 2016, 4, 1037. Available online: https://www.jscimedcentral.com/EnvironmentalScience/environmentalscience-4-1037.pdf (accessed on 19 June 2018).
- Aparcana, S. Approaches to formalization of the informal waste sector into municipal solid waste management systems in low- and middle-income countries: Review of barriers and success factors. Waste Manag. 2017, 61, 593–607. [Google Scholar] [CrossRef] [PubMed]
- Sekito, T.; Prayogo, T.B.; Dote, Y.; Yoshitake, T.; Bagus, I. Influence of a community-based waste management system on people’s behavior and waste reduction. Resour. Conserv. Recycl. 2013, 72, 84–90. [Google Scholar] [CrossRef]
- Wilson, D.C.; Rodic, L.; Scheinberg, A.; Velis, C.A.; Alabaster, G. Comparative analysis of solid waste management in 20 cities. Waste Manag. Res. 2012, 30, 237–254. [Google Scholar] [CrossRef] [PubMed]
- Aprilia, A.; Tezuka, T.; Spaargare, G. Household Solid Waste Management in Jakarta, Indonesia: A Socio-Economic Evaluation. In Greenhouse Gas Emissions from Housing and Manure Management Systems at Confined Livestock Operations; Borhan, M.S., Mukhtar, S., Capareda, S., Rahman, S., Eds.; INTECH Open Access Publisher: Rijeka, Croatia, 2012. [Google Scholar]
- Indonesia: Heavy-Duty: Emissions. Available online: https://www.transportpolicy.net/standard/indonesia-heavy-duty-emissions/ (accessed on 15 June 2018).
- Pipatti, R.; Vieira, S.M.M. IPCC Guidelines for National Greenhouse Gas. Inventories: Waste; Intergovernmental Panel on Climate Change: Geneva, Switzerland, 2006. [Google Scholar]
- Lemieux, P.M. Evaluation of Emissions from the Open Burning of Household Waste in Barrels: Volume 1. Technical Report; US Environmental Protection Agency, National Risk Management Research Laboratory: Washington, DC, USA, 1997.
- Andersen, J.K.; Boldrin, A.; Christensen, T.H.; Scheutz, C. Mass balances and life cycle inventory of home composting of organic waste. Waste Manag. 2011, 31, 1934–1942. [Google Scholar] [CrossRef] [PubMed]
- USGS National Minerals Information Center. 2015 Minerials Yearbook: Recycling—Metals [Advance Release]; USGS National Minerals Information Center: Washington, DC, USA, 2015.







| Sustainability Dimension | Impact Category | SDGs | Indicator | Assessment Method |
|---|---|---|---|---|
| Environmental | Climate | 13 | Global warming potential (GWP) | LCA–CML 2001 |
| Terrestrial ecosystem | 2, 15 | Terrestrial acidification potential (TAP) | LCA–ReCiPe 2016 | |
| Terrestrial ecotoxicity potential (TETP) | LCA–CML 2001 | |||
| Aquatic system | 6, 14 | Eutrophication potential (EP) | LCA–CML 2001 | |
| Freshwater aquatic ecotoxicity potential (FAETP) | LCA–CML 2001 | |||
| Marine aquatic ecotoxicity potential (MAETP) | LCA–CML 2001 | |||
| Abiotic resource depletion 1 | 7, 8, 9 | Abiotic depletion (ADP) elements | LCA–CML 2001 | |
| Abiotic depletion (ADP) fossil | LCA–CML 2001 | |||
| Economic | Poverty | 1 | Income of actors below international poverty line | Quantitative 3 |
| Energy supply & efficiency | 7, 8, 9 | Energy consumption | LCA | |
| Energy intensity | Quantitative 3 | |||
| Job & employment | 8, 9, 11, 12 | Job creation | Quantitative 3 | |
| Quality of job created | Quantitative 3 | |||
| Reduction of vulnerable employment | Quantitative 3 | |||
| Social | Health | 2, 3, 6 | Risk of health incidences | Quantitative 3 |
| Human toxicity potential | LCA–CML 2001 | |||
| Education & skill development | 4 | Provision of trainings or campaigns | Quantitative 3 | |
| Participation of trainings or campaigns | Quantitative 3 | |||
| Application of knowledge | Quantitative 3 | |||
| Egalitarian society | 5, 10, 11, 16 | Inclusion of low-income households in waste service | Quantitative 3 | |
| Rate of female workers | Quantitative 3 | |||
| Income of housewives | Quantitative 3 | |||
| Inclusion of informal sector 2 | Quantitative 3 |
| Condition | Positive Change | Negative Change | No Change (Less Than 10%), Irrelevant or Lack of Data |
|---|---|---|---|
| Score | +1 | −1 | 0 |
| Collection | Transportation | Final Disposal | Resource Recovery | |
|---|---|---|---|---|
| GWP | 0 | +1 | 0 1 | +1 |
| Total | 0 | +1 | 0 | +1 |
| Collection | Transportation | Final Disposal | Resource Recovery | |
|---|---|---|---|---|
| Income of actors below international poverty line | 0 | 0 | 0 | −1 |
| Total | 0 | 0 | 0 | −1 |
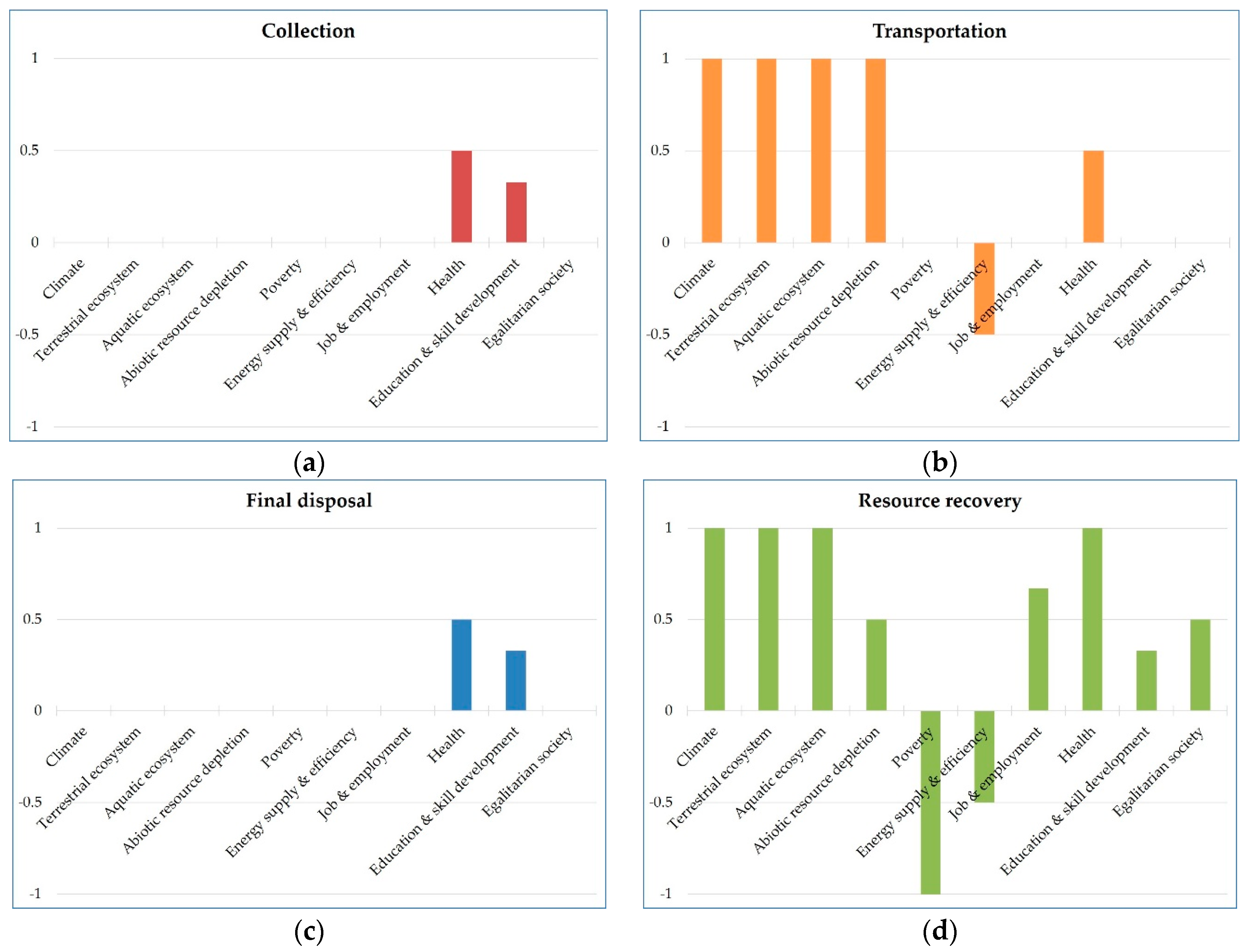
| Collection | Transportation | Final Disposal | Resource Recovery | |
|---|---|---|---|---|
| Climate | 0 | +1 | 0 | +1 |
| Terrestrial ecosystem | 0 | +1 | 0 | +1 |
| Aquatic ecosystem | 0 | +1 | 0 | +1 |
| Abiotic resource depletion | 0 | +1 | 0 | +0.5 |
| Poverty | 0 | 0 | 0 | −1 |
| Energy supply & efficiency | 0 | −0.5 | 0 | −0.5 |
| Job & employment | 0 | 0 | 0 | +0.67 |
| Health | +0.5 | +0.5 | +0.5 | +1 |
| Education & skill development | +0.33 | 0 | +0.33 | +0.33 |
| Egalitarian society | 0 | 0 | 0 | +0.5 |
© 2018 by the authors. Licensee MDPI, Basel, Switzerland. This article is an open access article distributed under the terms and conditions of the Creative Commons Attribution (CC BY) license (http://creativecommons.org/licenses/by/4.0/).
Share and Cite
Wang, J.; Maier, S.D.; Horn, R.; Holländer, R.; Aschemann, R. Development of an Ex-Ante Sustainability Assessment Methodology for Municipal Solid Waste Management Innovations. Sustainability 2018, 10, 3208. https://doi.org/10.3390/su10093208
Wang J, Maier SD, Horn R, Holländer R, Aschemann R. Development of an Ex-Ante Sustainability Assessment Methodology for Municipal Solid Waste Management Innovations. Sustainability. 2018; 10(9):3208. https://doi.org/10.3390/su10093208
Chicago/Turabian StyleWang, Jing, Stephanie D. Maier, Rafael Horn, Robert Holländer, and Ralf Aschemann. 2018. "Development of an Ex-Ante Sustainability Assessment Methodology for Municipal Solid Waste Management Innovations" Sustainability 10, no. 9: 3208. https://doi.org/10.3390/su10093208
APA StyleWang, J., Maier, S. D., Horn, R., Holländer, R., & Aschemann, R. (2018). Development of an Ex-Ante Sustainability Assessment Methodology for Municipal Solid Waste Management Innovations. Sustainability, 10(9), 3208. https://doi.org/10.3390/su10093208

