Next Article in Journal
Public Assessment of Releasing a Captive Indo-Pacific Bottlenose Dolphin into the Wild in South Korea
Next Article in Special Issue
Managing Procurement for a Firm with Two Ordering Opportunities under Supply Disruption Risk
Previous Article in Journal / Special Issue
Impact of the Quality of Returned-Used Products on the Optimal Design of a Manufacturing/Remanufacturing System under Carbon Emissions Constraints
 
 
Font Type:
Arial Georgia Verdana
Font Size:
Aa Aa Aa
Line Spacing:
Column Width:
Background:
Article

A Coordinated Revenue-Sharing Model for a Sustainable Closed-Loop Supply Chain

1
School of Traffic and Transportation Engineering, Central South University, Changsha 410075, China
2
School of Business Administration, Hunan University of Finance and Economics, Changsha 410205, China
3
Laboratoire d’optimisation des Systeme Industriels, Institut Charles Delaunay and UMR CNRS 6281, Universite de Technologie de Troyes, 12 Rue Marie Curie, CS 42060, 10004 Troyes CEDEX, France
*
Author to whom correspondence should be addressed.
Sustainability 2018, 10(9), 3198; https://doi.org/10.3390/su10093198
Submission received: 1 August 2018 / Revised: 2 September 2018 / Accepted: 4 September 2018 / Published: 7 September 2018
(This article belongs to the Special Issue Sustainable Supply Chain System Design and Optimization)

Abstract

:
This study takes a sustainable closed-loop supply chain composed of one manufacturer and two price-competitive retailers as the object and considers the two-way risk aversion characteristics of manufacturers and retailers in examining the coordination mechanism in a closed-loop supply chain. Using game theory, optimal decision-making on wholesale prices, retail prices, and recycling prices are explored under decentralized and centralized decision-making scenarios, and representative expressions are established. By analyzing the effects of the risk aversion coefficient on players’ optimal strategies, we found that the manufacturer’s and retailers’ risk aversion coefficients have different effects on the wholesale price, retail price, and recycling price under decentralized decision-making, while in a centralized decision-making scenario, the effects are the same. The comparison also found that the wholesale price and recovery price under the centralized decision-making scenario are higher than those under decentralized decision-making. To achieve closed-loop supply chain coordination, we propose a revenue-sharing contract that we demonstrate by coordinating price competition with risk aversion and analyze a range of parameters that influence the revenue-sharing contract. The results show that the proposed contract can increase the profits of supply chain members by identifying the optimal revenue-sharing ratio.

1. Introduction

In recent years, an increasing focus on environmental protection and sustainable development have led many industries to pursue green management. A sustainable closed-loop supply chain (SCLSC) recycles waste products, which not only reduces manufacturing costs and increases profit margins, but also reduces carbon emissions and environmental pollution, and thus plays a significant role in environmental protection [1]. A CLSC not only enhances the competitiveness of the company but also enables the sustainable development of the company [2]. In practice, world-renowned companies such as Canon, Xerox, and Dell are typical of CLSC [3]. At the same time, the data show that recycled products account for about 8.89% or 286 billion US dollars of sales in the United States [4]. According to the statistics of the Ministry of Industry and Information Technology, at the end of January 2014, China Mobile Communications reached 1.235 billion, an increase of 0.5% from the previous month and an increase of 10.8% over the previous year which has surpassed the United States to become the world’s number one. Obviously, China’s current recycling of used mobile phones needs to be urgently resolved. It needs to be systematically planned and systematically guided for long-term development and planning.
When product functions are similar, customers compare similar or alternative products offered by different retailers, and price is an important factor in their purchase decision. At the same time, retailers are responsible for recycling used products in the market, and this recycling process also has the characteristics of price-based competition [5]. In the face of uncertain markets, supply chain members often display risk preference characteristics in relation to product sales and waste recycling, and their attitude to risk plays an important role in decision-making. In general, the utility of supply chain members is an increasing function of expected profits, but both are declining with risk-sensitive functions [6]. Today, the question of how to balance expected profits and risk aversion is particularly important. When supply chain members display risk-averse characteristics, how the risk aversion coefficients affect each other, how the decision-making of upstream and downstream nodes can be influenced, and how the interests of the supply chain system can be met require further exploration.
This study considers the characteristics of risk aversion and price competition and constructs a CLSC contract coordination model. The remainder of this paper is organized as follows: Section 2 presents a comprehensive review of the literature on risk aversion and price competition, focusing on CLSC. The notation and assumptions used in this paper are described in Section 3. Section 4 addresses the development and analysis of different models. Section 5 presents a numerical analysis, including sensitivity analysis of the relevant parameters. Section 6 concludes and outlines future research directions.

2. Literature Review

The role of CLSC as an important part of sustainable operations management has always been a hot topic in green supply chain management research [7]. In recent years, numerous scholars have conducted in-depth studies of CLSC structure designs [8,9,10], coordination mechanisms [11,12,13], and recycling channels [14,15,16]. In relation to the competitive environment, competition between different levels of the supply chain is called vertical competition, and competition at the same level of the supply chain is called horizontal competition. The study of vertical competition in relation to CLSC mainly involves the network equilibrium model [17,18,19], while horizontal competition includes competition between single-tier retailers or single-layer manufacturers, and between retailers and manufacturers. Wei and Zhao [20] studied the problem of price competition among retailers by considering the fuzzy characteristics of demand and costs. Jena and Sarmah [5] considered a CLSC consisting of two manufacturers and a single retailer, and analyzed the pricing problem under wholesale price competition among manufacturers. Wang et al. [21] studied the reward and punishment mechanisms of CLSC under conditions of price competition among manufacturers. Xie et al. [11] studied the contract coordination mechanism under the condition of channel sales price competition based on a dual-channel CLSC. Wang et al. [22] studied the decision-making problem in various modes based on the price competition characteristics of the sales market and the recycling market.
The abovementioned studies on CLSCs are based on risk-neutral situations. However, in real life, the decision-making process often includes risk preference characteristics. Existing metrics for supply chain risk aversion include value at risk (VaR) [23,24,25], mean–variance (MV) [26,27], and conditional value at risk (CVaR) [28,29,30]. Xiao and Yang [31] studied the impact of the retail price risk avoidance coefficient on optimal decision-making by considering sales price and service competition characteristics. Liu et al. [32] considered dual-channel price competition characteristics and studied the decision-making problem in a risk-averse supply chain under information asymmetry. Li et al. [29] considered the risk aversion characteristics of retailers and studied the contract coordination problem in supply chains under channel price competition. Although these studies of the risk aversion characteristics of supply chains consider various risk measurement methods, types of price competition, and channel structures, they have rarely considered a CLSC.
In summary, the existing literature does not comprehensively examine CLSC in relation to price competition and risk aversion characteristics. Based on the existing research, this study presents a comprehensive analysis of these factors, focusing on the impact of the risk aversion coefficient on various prices.

3. Notations and Assumptions

This study considers a CLSC consisting of one manufacturer and two price-competitive retailers, all of whom exhibit risk-averse characteristics. Based on the traditional CLSC coordination theory, a corresponding revenue-sharing contract coordination model is constructed.
The notations used throughout the paper are as follows:
U ( π r i ) utility function of the retailer
U ( π ) utility function of the overall system
( ) d decentralized policy
( ) c centralized policy
( ) o revenue sharing
s income distribution coefficient, where 0 < s < 1
η r retailer’s risk aversion factor
η m manufacturer’s risk aversion factor
i specific retailer, where i = 1 , 2
D i demand at the retailer’s store
Q i quantity of recycled products at the retailer’s store
c i unit cost of retail sales, where c i = c r
c r i unit cost of recycling by the retailer, where c r i = c r z
w m unit wholesale price from the manufacturer
c m unit production cost of the manufacturer
c m z unit remanufacturing cost of the manufacturer
p i unit retail sale price, where p i > w m + c r > c m + c r
p r i unit retail recycling price
p m unit recycling price of the manufacturer, where p r i + c r i < p m < c m c m z
U ( π m ) utility function of the manufacturer
a total sales market volume, which displays a normal distribution with mean a ¯ and variance δ a
β demand sensitivity of a retailer to its own service level
γ demand sensitivity of a retailer to the rival’s service level, where β > γ > 0
b total recycling market capacity, which displays a normal distribution with mean b ¯ and variance δ b
h recycling sensitivity of a retailer to its own service level
λ recycling sensitivity of a retailer to the rival’s service level, where h > λ > 0 .
The following assumptions are made to develop the proposed model:
(1)
As rational economic people, the manufacturer and two retailers each make decisions based on the principle of maximizing profit, while they are all risk-averse.
(2)
The retail process of the two retailers is non-independent and represents Cournot competition. Similar to Yao et al. [33], we assume that the demand function of retailer i is given by D i = a β p i + γ p 3 i ( i = 1 , 2 ) .
(3)
The recycling process for the two retailers’ waste products is non-independent and represents Cournot competition. Similar to Yao et al. [33], we assume that the quantity of recycled products of retailer i is given by Q i = b + h p r i λ p r ( 3 i ) ( i = 1 , 2 ) .
(4)
Considering risk sensitivity, we assume that each retailer and the manufacturer assess their utility using the following mean–variance value function of random profits [34]:
U ( π m ) = E ( π m ) η m V a r ( π m ) ,   U ( π r i ) = E ( π r i ) η r i V a r ( π r i ) .

4. Model and Analysis

In the CLSC constructed in this study, the manufacturer is responsible for the production and remanufacturing of the product, while the two retailers are responsible for the sales and recycling of the product. The relationship between the manufacturer and the retailers obeys that in the master–slave game, in which the manufacturer is in a leading position. First, the manufacturer determines the wholesale prices of the new product and the recycling price of the used product based on its own production and recycling costs. Then, the retailers determine the selling prices of the new product and the recycling price of the used product based on the manufacturer’s pricing.
With the development of the Internet, online sales and online recycling have emerged, and compared with the traditional way, it has certain advantages. Huawei’s mobile phone, which is the most popular domestic mobile phone in China, is a high-quality product and has a good reputation. Affected by the preference of online and offline consumption methods, Huawei’s mobile phone sales and recycling process are competitive. The process which manufacturer sends the new mobile phone to the retailer through the distribution center, and then the retailer sells the new mobile phone to the consumer through online and offline methods is a positive sales channel for Huawei mobile phones. At the same time, the process by which retailers recycle old mobile phones online and offline, and send them to manufacturers for remanufacturing is Huawei’s mobile phone reverse recycling channel. Due to the confidentiality of business information and the diversity of independent choices, node enterprises related to Huawei’s mobile phones generally do not share information, and their decisions are decentralized. However, if centralized decision-making is achieved through information sharing, the revenue of each node enterprise will be optimal. Similar to previous studies [35], this process is analyzed in terms of the decentralized decision-making process, the centralized decision-making process, and the contract coordination process.

4.1. Decentralized Decision-Making Model

In the decentralized decision-making process, manufacturers and retailers are independent self-interested parties. As rational economic people, they aim to maximize their profits. The manufacturer acts as the Stackelberg leader, while the retailers act as followers. The manufacturer first determines the optimal unit product wholesale price w m and the waste product unit recycling price p m , and then the two retailers determine their own product sales price p i and waste recycling price p r i . The game is researched in the opposite way, where the retailer provides the best response to the manufacturer, and then the manufacturer decides the best decision. At this point, the utility functions of the manufacturer and retailer can be expressed as:
U ( π m d ) = i = 1 2 { ( w m c m ) D ¯ i + ( c m c m z p m ) Q ¯ i η m [ ( w m c m ) 2 δ a 2 + ( c m c m z p m ) 2 δ b 2 ] }  
U ( π r i d ) = ( p i w m c i ) D ¯ i + ( p m p r i c r i ) Q ¯ i η r [ ( p i w m c i ) 2 δ a 2 + ( p m p r i c r i ) 2 δ b 2 ]  
From the reverse derivation rule, the retailer first determines the optimal product selling price p i and the recycling price p r i , and then the manufacturer determines the optimal product wholesale price w m and the recycling price p m . In accordance with the necessary conditions of the first-order optimal, p i and p r i are given by:
U ( π r i d ) / p i = a ¯ + ( β + 2 η r δ a 2 ) ( w m + c r ) ( 2 β γ + 2 η r δ a 2 ) p i  
U ( π r i d ) / p r i = ( p m c r i ) ( h + 2 η r δ b 2 ) b ¯ ( 2 h λ + 2 η r δ b 2 ) p r i  
Since 2 U ( π r i d ) / p i 2 = ( 2 β γ + 2 η r δ a 2 ) < 0 and 2 U ( π r i d ) / p r i 2 = ( 2 h λ + 2 η r δ b 2 ) < 0 , let U ( π r i d ) / p i = 0 , U ( π r i d ) / p r i = 0 . Therefore, the optimal sales price p i d and the recycling price p r i d determined by the retailer at the time of decentralized uncoordinated decision-making can be obtained as follows:
p i d = [ a ¯ + ( β + 2 η r δ a 2 ) ( w m + c r ) ] / ( 2 β γ + 2 η r δ a 2 ) ( i = 1 , 2 )  
p r i d = [ ( p m c r i ) ( h + 2 η r δ b 2 ) b ¯ ] / ( 2 h λ + 2 η r δ b 2 ) ( i = 1 , 2 ) .
Substituting p i d and p r i d into the manufacturer’s utility function, let U ( π m d ) / w m = 0 and U ( π m d ) / p m = 0 . Therefore, the optimal product wholesale price w m d and recycling price p m d determined by the manufacturer when decentralized uncoordinated decision-making is applied are given by:
w m d = ( β + 2 η r δ a 2 ) [ a ¯ ( c m + c r ) ( β γ ) ] 2 ( β γ ) ( β + 2 η r δ a 2 ) + 2 η m δ a 2 ( 2 β γ + 2 η r δ a 2 ) + c m  
p m d = ( h + 2 η r δ b 2 ) [ ( c m z + c r z c m ) ( h λ ) b ¯ ] 2 ( h λ ) ( h + 2 η r δ b 2 ) + 2 η m δ b 2 ( 2 h λ + 2 η r δ b 2 ) + ( c m c m z )  
Proposition 1.
Under decentralized decision-making, the manufacturer’s optimal wholesale price w m d is negatively correlated with its own risk aversion coefficient η m and positively correlated with the retailer’s risk aversion coefficient η r , while the recycling price p m d is positively correlated with its own risk aversion coefficient η m and negatively correlated with the retailer’s risk aversion coefficient η r .
Proof. 
w m d and p m d are derived from the risk aversion coefficients η m and η r , respectively:
w m d η m = 2 δ a 2 ( 2 β γ + 2 η r δ a 2 ) ( β + 2 η r δ a 2 ) [ a ¯ ( c m + c r ) ( β γ ) ] [ 2 ( β γ ) ( β + 2 η r δ a 2 ) + 2 η m δ a 2 ( 2 β γ + 2 η r δ a 2 ) ] 2  
w m d η r = [ a ¯ ( c m + c r ) ( β γ ) ] [ 4 η m δ a 4 ( β γ ) ] [ 2 ( β γ ) ( β + 2 η r δ a 2 ) + 2 η m δ a 2 ( 2 β γ + 2 η r δ a 2 ) ] 2  
p m d η m = 2 δ b 2 ( 2 h λ + 2 η r δ b 2 ) ( h + 2 η r δ b 2 ) [ b ¯ + ( c m c m z c r z ) ( h λ ) ] [ 2 ( h λ ) ( h + 2 η r δ b 2 ) + 2 η m δ b 2 ( 2 h λ + 2 η r δ b 2 ) ] 2  
p m d η r = [ b ¯ + ( c m c m z c r z ) ( h λ ) ] [ 4 η m δ b 4 ( h λ ) ] [ 2 ( h λ ) ( h + 2 η r δ b 2 ) + 2 η m δ b 2 ( 2 h λ + 2 η r δ b 2 ) ] 2  
Since p i > w m + c r > c m + c r and D i = a β p i + γ p 3 i > 0 , we obtain:
w m d / η m < 0 ,   w m d / η r > 0 ,   and   c m c m z > p m ,   and   p m > p r i + c r i  
Q i = b + h p r i λ p r ( 3 i ) > 0 , thus, we obtain:
p m d / η m > 0 ,   p m d / η r < 0  
Proposition 1 shows that the manufacturer’s pricing decision is affected not only by its own risk aversion coefficient but also by the retailer’s risk aversion coefficient. Specifically, the wholesale price decreases as the manufacturer’s risk increases, while it increases as the retailer’s risk increases. Meanwhile, the recycling price increases as the manufacturer’s risk increases while it decreases as the retailer’s risk increases.
Proposition 2.
Under decentralized decision-making, the optimal sales price p i d determined by the retailer is negatively correlated with its risk aversion coefficient η r and the manufacturer’s risk aversion coefficient η m , while the waste product recycling price p r i d is positively correlated with its own risk aversion coefficient η r and the manufacturer’s risk aversion coefficient η m .
Proof. 
p i d and p r i d are derived from the risk aversion coefficient η r as follows:
p i d / η r = [ 2 δ a 2 [ a ¯ ( β γ ) ( w m + c r ) ] ] / ( 2 β γ + 2 η r δ a 2 ) 2  
p r i d / η r = [ 2 δ b 2 [ b ¯ + ( p m c r i ) ( h λ ) ] ] / ( 2 h λ + 2 η r δ b 2 ) 2  
Since p i > w m + c r and D i = a β p i + γ p 3 i > 0 , we obtain:
p i d / η r < 0   and   p m > p r i + c r i  
Q i = b + h p r i λ p r ( 3 i ) > 0 , thus, we obtain:
p r i d / η r > 0  
Substituting w m d and p m d into Equations (5) and (6), p i d and p r i d , respectively, delineate the risk aversion coefficient η m :
p i d / η m = ( β + 2 η r δ a 2 ) / ( 2 β γ + 2 η r δ a 2 ) w m d / η m  
p r i d / η r = ( h + 2 η r δ b 2 ) / ( 2 h λ + 2 η r δ b 2 ) p m d / η m  
Since w m d / η m < 0 and p m d / η m > 0 , we obtain:
p i d / η m < 0 ,   p r i d / η m < 0  
Proposition 2 shows that the retailer’s pricing decision is affected not only by its own risk aversion coefficient but also by that of the manufacturer. Specifically, the sales price decreases with an increase in both its own and the manufacturer’s risk aversion coefficient, while the recycling price of waste products increases with an increase in both its own and the manufacturer’s risk aversion coefficient.
Corollary 1.
Under decentralized decision-making, when both manufacturers and retailers are fully risk-averse ( η m , η r ), we obtain:
w m d = c m ,   p m d = c m c m z ,   p i d = w m d + c r = c m + c r ,   p r i d = p m d c r z = c m c m z c r z  
Proof. 
Substituting η m and η r into the formula, Equations (5)–(8) can be obtained.
Corollary 1 indicates that when the manufacturer and retailer do not allow for any risk, their utility function is zero.
Substituting w m d and p m d into Equations (5) and (6) enables us to obtain the optimal selling price p i d and the recycling price p r i d determined by the retailer. Furthermore, under decentralized decision-making, the utility function values of the manufacturer, the retailers, and the supply chain as a whole can be expressed as:
U ( π m d ) = i = 1 2 { ( w m d c m ) D ¯ i + ( c m c m z p m d ) Q ¯ i η m [ ( w m d c m ) 2 δ a 2 + ( c m c m z p m d ) 2 δ b 2 ] }  
U ( π r i d ) = ( p i d w m d c i ) D ¯ i + ( p m d p r i d c r i ) Q ¯ i η r [ ( p i d w m d c i ) 2 δ a 2 + ( p m d p r i d c r i ) 2 δ b 2 ]  
U ( π d ) = U ( π m d ) + i = 1 2 U ( π r i d )  

4.2. Centralized Control Decision-Making Model

In the process of centralized control decision-making, the CLSC is an idealized “super-organization” with the goal of maximizing the sum of profits of each member company in the CLSC. At this point, the manufacturer and the two retailers face the sales market and the recycling market as a combined unit. The manufacturer’s wholesale price and recycling price are treated as internal transfer prices, which affect the profit of each participant, but do not affect the total profit of the system. The total profit of the system is determined by the retailer’s selling price, recycling price, and related costs. The wholesale price and recycling price determined by the manufacturer are an effective way of coordinating the relationships among the system participants. Based on the perceived risks and benefits, the system selects the appropriate sales price p i c and recycling price p r i c to maximize the utility function of the entire supply chain. The utility function of the supply chain as a whole can be expressed as:
U ( π c ) = i = 1 2 { ( p i c m c i ) D ¯ i + ( c m c m z c r i p r i ) Q ¯ i η r ( p i w m c i ) 2 δ a 2 η r ( p m p r i c r i ) 2 δ b 2 η m [ ( w m c m ) 2 δ a 2 + ( c m c m z p m ) 2 δ b 2 ] }  
In accordance with the necessary conditions for the first-order optimal, p i and p r i are obtained as follows:
U ( π c ) / p i = a ¯ + ( β γ ) ( c m + c r ) + 2 η r δ a 2 ( w m + c r ) ( 2 β 2 γ + 2 η r δ a 2 ) P i  
U ( π c ) / p r i = ( h λ ) ( c m c m z c r z ) + 2 η r δ b 2 ( p m c r z ) b ¯ ( 2 h 2 λ + 2 η r δ b 2 ) p r i  
Since 2 U ( π ) / p i 2 = ( 2 β 2 γ + 2 η r δ a 2 ) < 0 and 2 U ( π ) / p r i 2 = ( 2 h 2 λ + 2 η r δ b 2 ) < 0 , let U ( π ) / p i = 0 and U ( π ) / p r i = 0 . Then, we can obtain the optimal sales price p i c and waste recycling price p r i c determined by the retailer under centralized decision-making as follows:
p i c = [ a ¯ + ( β γ ) ( c m + c r ) + 2 η r δ a 2 ( w m + c r ) ] / ( 2 β 2 γ + 2 η r δ a 2 ) ( i = 1 , 2 )  
p r i c = [ ( h λ ) ( c m c m z c r z ) + 2 η r δ b 2 ( p m c r z ) b ¯ ] / ( 2 h 2 λ + 2 η r δ b 2 ) ( i = 1 , 2 )  
Next, we substitute p i c and p r i c into the utility function U ( π c ) and let U ( π c ) / w m = 0 and U ( π c ) / p m = 0 . Thus, the optimal wholesale price w m c and the recycling price p m c determined by the manufacturer under centralized decision-making can be obtained as follows:
w m c = η r [ a ¯ ( β γ ) ( c m + c r ) ] 2 η r ( β γ ) + 2 η m ( β γ + η r δ a 2 ) + c m  
p m c = η r [ ( h λ ) ( c m z + c r z c m ) b ¯ ] 2 η r ( h λ ) + 2 η m ( h λ + η r δ b 2 ) + ( c m c m z )  
Proposition 3.
Given the risk aversion factors η r and η m , we obtain:
w m c < w m d   and   p m c > p m d  
Proof. 
Let A 1 = a ¯ ( β γ ) ( c m + c r ) , A 2 = [ b ¯ + ( c m c m z c r z ) ( h λ ) ] , B 1 = η r ( β γ ) + η m ( β γ + η r δ a 2 ) , B 2 = η r ( h λ ) + η m ( h λ + η r δ b 2 ) , C 1 = ( β γ ) ( β + 2 η r δ a 2 ) + η m δ a 2 ( 2 β γ + 2 η r δ a 2 ) , and C 2 = ( h λ ) ( h + 2 η r δ b 2 ) + η m δ b 2 ( 2 h λ + 2 η r δ b 2 ) .
Since p i > w m + c r > c m + c r and D i = a β p i + γ p 3 i > 0 , we obtain:
A 1 > 0 .
Further, since c m c m z > p m , p m > p r i + c r i , and Q i = b + h p r i λ p r ( 3 i ) > 0 , we obtain:
A 2 < 0 .
At the same time, it is easy to know the size relationship of variables B 1 > 0 , B 2 > 0 , C 1 > 0 , and C 2 > 0 . Subtracting w m d from w m c and p m d from p m c , we obtain the following relationships:
w m c w m d = [ A 1 η m ( β γ ) ( β + η r δ a 2 ) ] / ( 2 B 1 C 1 ) < 0  
p m c p m d = [ A 2 η m ( h λ ) ( h + η r δ b 2 ) ] / ( 2 B 2 C 2 ) > 0  
Proposition 3 shows that under centralized decision-making, the wholesale price of the manufacturer is lower than that under decentralized decision-making, while the recycling price is higher than that under decentralized decision-making.
Proposition 4.
In centralized decision-making, the wholesale price w m c of the optimal product determined by the manufacturer is negatively correlated with their risk aversion coefficient η m and positively correlated with the retailer’s risk aversion coefficient η r , while the recycling price p m c is positively correlated with the manufacturer’s risk aversion coefficient η m and negatively correlated with the retailer’s risk aversion coefficient η r .
Proof. 
w m c and p m c are derived from the risk aversion coefficients η m and η r , respectively:
w m c η m = 2 η r [ a ¯ ( β γ ) ( c m + c r ) ] × ( β γ + η r δ a 2 ) [ 2 η r ( β γ ) + 2 η m ( β γ + η r δ a 2 ) ] 2  
w m c η r = 2 η m ( β γ ) [ a ¯ ( c m + c r ) ( β γ ) ] [ 2 η r ( β γ ) + 2 η m ( β γ + η r δ a 2 ) ] 2  
p m c η m = 2 η r [ b ¯ + ( h λ ) ( c m c m z c r z ) ] × ( h λ + η r δ b 2 ) [ 2 η r ( h λ ) + 2 η m ( h λ + η r δ b 2 ) ] 2  
p m c η r = 2 η m ( h λ ) [ b ¯ + ( c m c m z c r z ) ( h λ ) ] [ 2 η r ( h λ ) + 2 η m ( h λ + η r δ b 2 ) ] 2  
Similar to Proposition 1, we obtain:
w m c / η m < 0 ,   w m c / η r > 0 , p m c / η m > 0 ,   and   p m c / η r < 0 .
Substituting w m c and p m c into Equations (17) and (18), we can obtain the optimal selling price p i c and the recycling price p r i c determined by the retailer. Furthermore, under centralized control decision-making, the value of the utility function of the supply chain as a whole can be expressed as:
U ( π c ) = i = 1 2 { ( p i c c m c i ) D ¯ i + ( c m c m z c r i p r i c ) Q ¯ i η r ( p i c w m c c i ) 2 δ a 2 η r ( p m c p r i c c r i ) 2 δ b 2 η m [ ( w m c c m ) 2 δ a 2 + ( c m c m z p m c ) 2 δ b 2 ] }  

4.3. Revenue-Sharing Contract Coordination Model

A revenue-sharing contract generally involves the manufacturer providing a suitable wholesale price to the retailer, who pays a certain percentage of their sales revenue to the manufacturer to facilitate both risk sharing and profit sharing among the members. However, in the CLSC, the retailer’s revenue includes product sales revenue and waste recycling revenue. Therefore, the revenue-sharing contract coordination mechanism in the CLSC is that the manufacturer provides the retailer with a suitable wholesale price w m and recycling price p m , and then the retailer pays sales revenue and recycling revenue to the manufacturer in a certain proportion ( 1 s ) . At this point, the utility functions of the manufacturer and retailer can be expressed as:
U ( π m o ) = i = 1 2 { [ ( 1 s ) p i + w m c m ] D ¯ i + [ ( 1 s ) p m + c m c m z p m ] Q ¯ i η m [ ( 1 s ) p i + w m c m ] 2 δ a 2 η m ( c m c m z s p m ) 2 δ b 2 ] }  
U ( π r i o ) = ( s p i w m c i ) D ¯ i + ( s p m p r i c r i ) Q ¯ i η r [ ( s p i w m c i ) 2 δ a 2 + ( s p m p r i c r i ) 2 δ b 2 ]  
In accordance with the necessary conditions for the first-order optimal, p i and p r i are given by:
U ( π r i o ) / p i = s a ¯ + ( β + 2 s η r δ a 2 ) ( w m + c r ) ( 2 s β s γ + 2 s 2 η r δ a 2 ) p i  
U ( π r i o ) / p r i = ( s p m c r i ) ( h + 2 η r δ b 2 ) b ¯ ( 2 h λ + 2 η r δ b 2 ) p r i .
Since 2 U ( π r i o ) / p i 2 = ( 2 s β s γ + 2 s 2 η r δ a 2 ) < 0 and 2 U ( π r i o ) / p r i 2 = ( 2 h λ + 2 η r δ b 2 ) < 0 , let U ( π r i o ) / p i = 0 and U ( π r i o ) / p r i = 0 . We can obtain the optimal sales price p i o and the optimal recycling price p r i o under the revenue-sharing contract as follows:
p i o = [ s a ¯ + ( β + 2 s η r δ a 2 ) ( w m + c r ) ] / ( 2 s β s γ + 2 s 2 η r δ a 2 ) ( i = 1 , 2 )  
p r i o = [ ( s p m c r i ) ( h + 2 η r δ b 2 ) b ¯ ] / ( 2 h λ + 2 η r δ b 2 ) ( i = 1 , 2 )  
If the revenue-sharing contract can facilitate the coordination of the CLSC, the retailer’s optimal selling price and optimal waste product recycling price under the contract are consistent with those under centralized control decision-making. That is, p i o = p i c and p r i o = p r i c . Thus, in a revenue-sharing contract, the optimal wholesale price w m o and recycling price p m o determined by the manufacturer can be expressed as:
w m o = ( s a ¯ + 2 s η r δ a 2 c r ) [ ( 2 2 s ) η r δ a 2 γ ] + β c r ( 2 β 2 γ + 2 η r δ a 2 ) ( β γ ) ( c m + c r ) ( 2 s β s γ + 2 s 2 η r δ a 2 ) 2 s η r δ a 2 [ ( 2 s 2 ) η r δ a 2 + γ ] β ( 2 β 2 γ + 2 η r δ a 2 )  
p m o = [ ( h λ ) ( c m c m z ) + λ c r z ] ( 2 h λ + 2 η r δ b 2 ) λ ( b ¯ + 2 η r δ b 2 c r z + c r z h ) s ( h + 2 η r δ b 2 ) ( 2 h 2 λ + 2 η r δ b 2 ) 2 η r δ b 2 ( 2 h λ + 2 η r δ b 2 )  
Substituting w m o and p m o into Equations (32) and (33), we can obtain the optimal selling price p i o and recycling price p r i o determined by the retailer. Furthermore, under the revenue-sharing contract, the utility function values of the manufacturer, the retailers, and supply chain as a whole can be expressed as:
U ( π m o ) = i = 1 2 { [ ( 1 s ) p i o + w m o c m ] D ¯ i + [ ( 1 s ) p m o + c m c m z p m o ] Q ¯ i η m [ ( 1 s ) p i o + w m o c m ] 2 δ a 2 η m ( c m c m z s p m o ) 2 δ b 2 ] }  
U ( π r i o ) = ( s p i o w m o c i ) D ¯ i + ( s p m o p r i o c r i ) Q ¯ i η r [ ( s p i o w m o c i ) 2 δ a 2 + ( s p m o p r i o c r i ) 2 δ b 2 ]  
U ( π o ) = U ( π m o ) + i = 1 2 U ( π r i o )  
Implementation of a revenue-sharing contract should also ensure that the utility functions of the manufacturer and the two retailers are no lower than those under decentralized decision-making. Therefore, manufacturers must meet the following conditions when contracting with retailers:
U ( π m o ) U ( π m d ) ,   U ( π r i o ) U ( π r i d )  
By substituting the specific parameter values into Equation (39), the proportional coefficient for the revenue-sharing contract between the manufacturer and the retailers can be obtained.

5. Numerical Analysis

To validate the proposed models and derive management implications, we utilize the illustrative example from Huawei in Section 4 for a numerical experiment. Using Huawei’s mobile phone manufacturing and remanufacturing data, as well as their mobile phone sales and recycling data for Changsha, we obtain the following specific parameter values: c m = 30 , c m z = 10 , c r = 5 , c r z = 2 , β = 15 , γ = 10 , h = 20 , λ = 15 , a ¯ = 800 , δ a = 5 , b ¯ = 50 , and δ b = 2 .
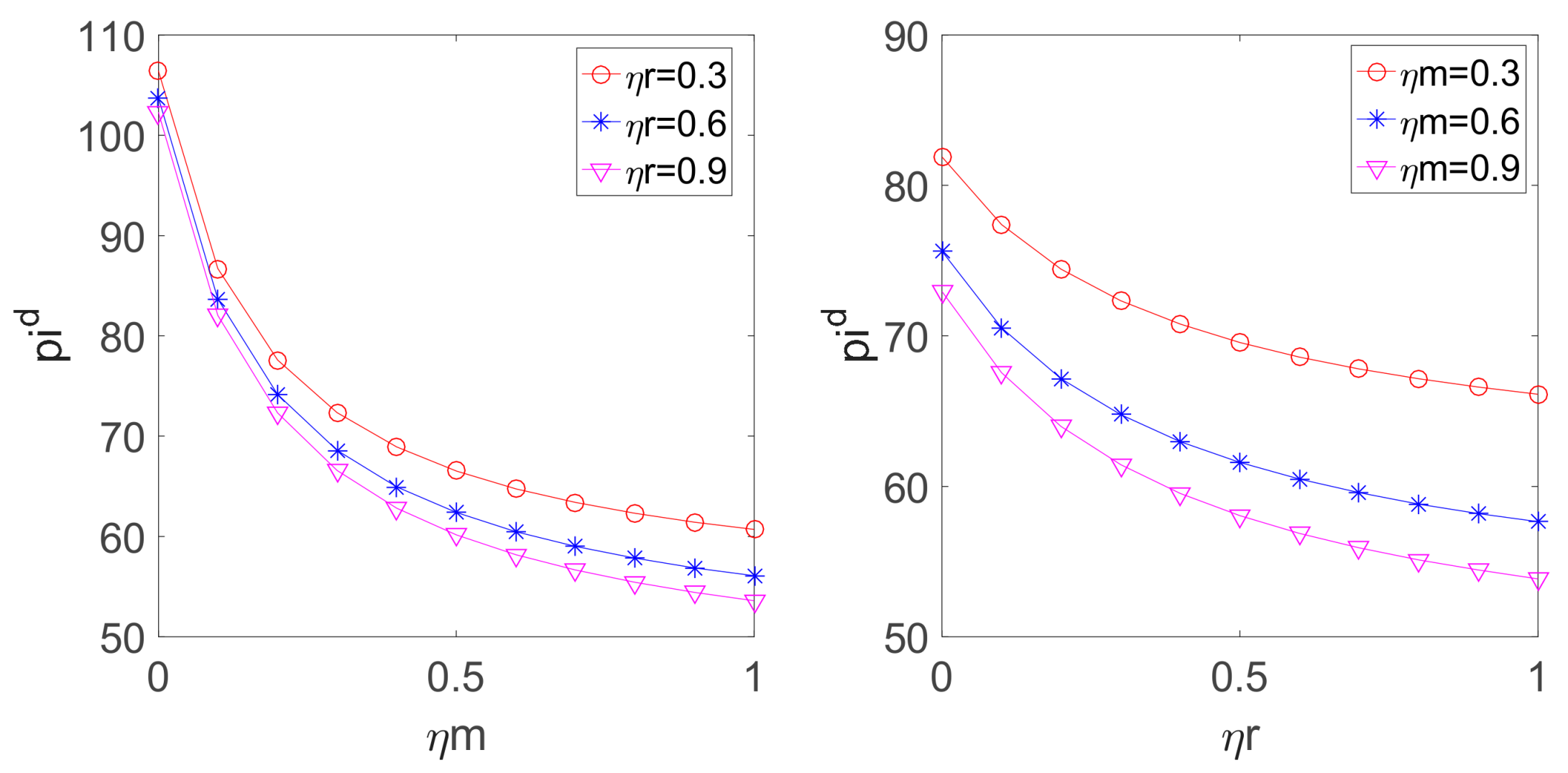
After considering the impact of risk aversion on the decisions of the manufacturer and the retailers, we set η m and η r to a step size of 0.1 and a variation interval of [0, 1]. By substituting the above parameters into Equations (7), (8), (19), and (20), the relationship between the wholesale price w m , recycling price p m , and the risk aversion coefficient η m , η r under decentralized decision-making and centralized control decision-making can be obtained, as shown in Figure 1 and Figure 2.
It can be seen from Figure 1 that the wholesale price w m under decentralized decision-making is higher than that under centralized control decision-making. The wholesale price w m increases as the retailer’s risk aversion coefficient η r increases and decreases as the manufacturer’s risk aversion coefficient η m increases. This can be understood as a strategy aimed at reducing the wholesale price to reduce risk when the manufacturer’s risk aversion factor is high. It can be seen from Figure 2 that the recycling price p m under centralized control decision-making is significantly higher than that under decentralized decision-making. The recycling price p m decreases as the retailer’s risk aversion coefficient η r increases and increases as the manufacturer’s risk aversion coefficient η m increases. This can be understood as a strategy aimed at increasing the recycling price to increase revenue when the manufacturer’s risk aversion factor is high.
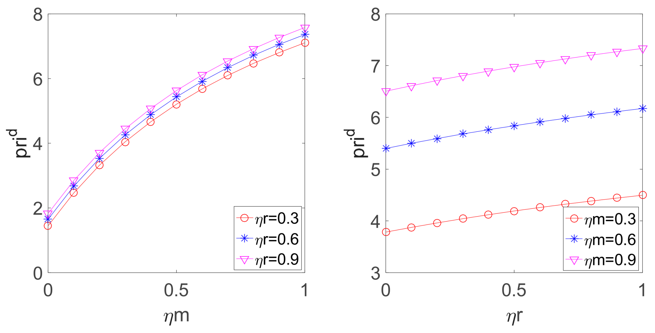
By substituting the above parameters into Equations (5) and (6), the relationships between the selling price p i , recycling price p r i , and risk aversion coefficients η m , and η r under decentralized decision-making can be obtained, as shown in Figure 3 and Figure 4.
It can be seen from Figure 3 and Figure 4 that under decentralized decision-making, the retailer’s selling price p i decreases with an increase in the retailer’s risk aversion coefficient η r and the manufacturer’s risk aversion coefficient η m . This can be understood as a strategy aimed at reducing the selling price to reduce the risk when the overall risk aversion coefficient of the supply chain is high. At the same time, the retailer’s recovery price p r i increases as the retailer’s risk aversion factor η r and the manufacturer’s risk aversion factor η m increase. This can be understood as a strategy aimed at increasing the recovery price to increase the revenue of the entire chain when the overall risk aversion factor of the supply chain is high. Although the risk aversion coefficient has the same trend for p i and p r i , by comparing the impact of η r and η m on the price, it can be seen that the influence of η r and η m is inconsistent. Under the same conditions, η m has a greater impact on p i and p r i .
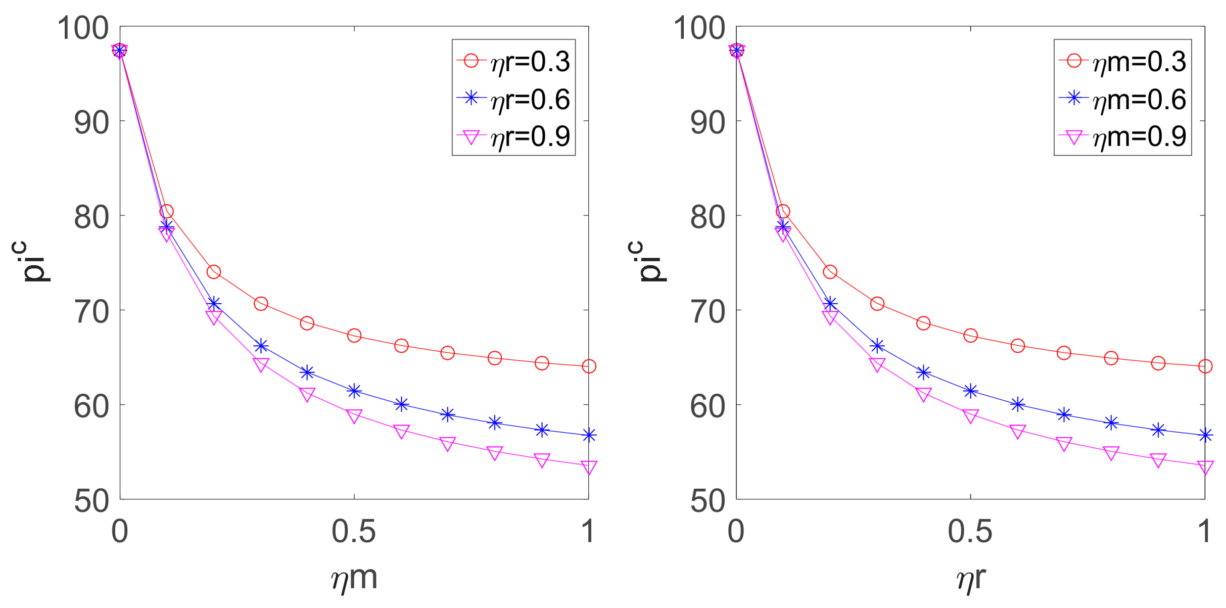
By substituting the above parameters into Equations (17) and (18), the relationship between the selling price p i , recycling price p r i , and risk aversion coefficients η m and η r under centralized control decision-making can be obtained, as shown in Figure 5 and Figure 6.
As can be seen from Figure 5 and Figure 6, under centralized control decision-making, the retailer’s sales price p i decreases as η r and η m increase and their recovery price p r i increases as η r and η m increase. Comparing the impact of η r and η m on the prices, it can be seen that η r and η m have the same degree of influence on the prices. This can be understood as a strategy aimed at lowering the selling price and increasing the recycling price to reduce the risk to the overall system when the decision is made centrally, and the system responds as a whole regardless of which party initiates the risk avoidance behavior. Therefore, η r and η m have the same degree of influence on p i and p r i .
By fixing η r = 0.4 and η m = 0.6 , we can obtain utility values for the manufacturer and retailers under both decentralized decision-making and centralized decision-making, as shown in Table 1.
In the case of a contract, the specific value of the income distribution coefficient s depends on the game ability between the manufacturer and the retailer. This is generally negotiated based on their respective contributions to the entire supply chain. As long the conditions of Equation (39) are met, the retailers’ and manufacturer’s returns will be higher than those under decentralized decision-making.

6. Conclusions

In this study, we examine a CLSC under the condition of a competitive product market and recycling market. The CLSC consists of one risk-averse manufacturer and two risk-averse retailers who compete in terms of both retail prices and recycling prices. The manufacturer and retailers conduct a manufacturer-led Stackelberg game. The manufacturer decides on the optimal wholesale price and recycling price, while the retailers decide on their optimal selling price and recycling price. We examine the effects of the risk aversion coefficient on the players’ decisions.
Our results show that under decentralized decision-making, the pricing decisions of the manufacturer and retailers are affected not only by their own risk aversion coefficient but also by the other parties’ risk aversion coefficients, although under given conditions, the manufacturer’s risk aversion coefficient has a greater impact on pricing decisions. Under centralized decision-making, the risk aversion coefficient also affects pricing decisions, but the different types of risk aversion coefficients have the same level of impact on pricing. Comparative analysis shows that the wholesale price under centralized decision-making is lower than that under decentralized decision-making, while the recovery price is higher than that under decentralized decision-making. To achieve CLSC coordination, a revenue-sharing contract coordination model is constructed, which can benefit all supply chain members through appropriate revenue-sharing coefficients. Our results provide insights into the relationship between risk aversion features and pricing in sustainable closed-loop supply chains (SCLSC), which is rarely studied in the references to our best of knowledge. This study helps managers and decision-makers of SCLSC to choose the most effective revenue-sharing strategy in the face of risk aversion characteristics and to coordinate the benefit distribution process to optimize overall system revenue.
For the sake of simplification without loss of generality, some assumptions are made in this study that can be regarded as our extended research directions. First, we assume that the cost of sales and the recycling costs of the two retailers are identical. However, the two costs may be different among competitive retailers in some cases. Second, the demand function is a simple linear form related to price. A nonlinear demand function involving competitive manufacturers may be more realistic.

Author Contributions

H.Z. wrote the manuscript and participated in all phases. J.Q. supervised the whole research work and provided constructive suggestions to improve the research and manuscript. P.Y. investigated the data for the experiments. B.D. proposed the research problem, involved in model development. All authors have read and approved the final manuscript.

Funding

This work was supported by the National Natural Science Foundation of China (Grant number 71502053).

Acknowledgments

The authors especially thank the editors and anonymous referees for their kindly review and helpful comments

Conflicts of Interest

The authors declare no conflict of interest.

References

  1. Yuan, X.J.; Gao, D.W. Effect of dissolved oxygen on nitrogen removal and process control in aerobic granular sludge reactor. J. Hazard. Mater. 2010, 178, 1041–1045. [Google Scholar] [CrossRef] [PubMed]
  2. Abbey, J.D.; Meloy, M.G.; Guide, V.D.R.; Atalay, S. Remanufactured products in closed-loop supply chains for consumer goods. Prod. Oper. Manag. 2014, 24, 488–503. [Google Scholar] [CrossRef]
  3. Savaskan, R.C.; Van Wassenhove, L.N. Reverse channel design: The case of competing retailers. Manag. Sci. 2006, 52, 1–14. [Google Scholar] [CrossRef]
  4. Wu, H.Y.; Han, X.H.; Yang, Q.X.; Pu, X.J. Production and coordination decisions in a closed loop supply chain with remanufacturing cost disruptions when retailers compete. J. Intell. Manuf. 2018, 29, 227–235. [Google Scholar] [CrossRef]
  5. Jena, S.K.; Sarmah, S.P. Price competition and co-operation in a duopoly closed-loop supply chain. Int. J. Prod. Econ. 2014, 156, 346–360. [Google Scholar] [CrossRef]
  6. Gan, X.H.; Sethi, S.P.; Yan, H.M. Channel coordination with a risk-neutral supplier and a downside-risk-averse retailer. Prod. Oper. Manag. 2005, 14, 80–89. [Google Scholar] [CrossRef]
  7. Kleindorfer, P.; Kaylan, S.; Van Wassenhove, L. Sustainable operations management. Prod. Oper. Manag. 2005, 14, 482–492. [Google Scholar] [CrossRef]
  8. Garg, K.; Kannan, D.; Diabat, A.; Jha, P.C. A multi-criteria optimization approach to manage environmental issues in closed loop supply chain network design. J. Clean. Prod. 2015, 100, 297–314. [Google Scholar] [CrossRef]
  9. Safaei, A.S.; Roozbeh, A.; Paydar, M.M. A robust optimization model for the design of a cardboard closed-loop supply chain. J. Clean. Prod. 2017, 166, 1154–1168. [Google Scholar] [CrossRef]
  10. Dehghana, E.; Nikabadia, M.S.; Amirib, M.; Jabbarzadehc, A. Hybrid robust, stochastic and possibilistic programming for closed-loop supply chain network design. Comput. Ind. Eng. 2018, 123, 220–231. [Google Scholar] [CrossRef]
  11. Xie, J.P.; Liang, L.; Liu, L.H.; Ieromonachou, P. Coordination contracts of dual-channel with cooperation advertising in closed-loop supply chains. Int. J. Prod. Econ. 2017, 183, 528–538. [Google Scholar] [CrossRef]
  12. Alamdar, S.F.; Rabbani, M.; Heydari, J. Pricing, collection, and effort decisions with coordination contracts in a fuzzy, three-level closed-loop supply chain. Expert Syst. Appl. 2018, 104, 261–276. [Google Scholar] [CrossRef]
  13. Giri, B.C.; Mondal, C.; Maiti, T. Analysing a closed-loop supply chain with selling price, warranty period and green sensitive consumer demand under revenue sharing contract. J. Clean. Prod. 2018, 190, 822–837. [Google Scholar] [CrossRef]
  14. Huang, M.; Song, M.; Lee, L.H.; Ching, W.K. Analysis for strategy of closed-loop supply chain with dual recycling channel. Int. J. Prod. Econ. 2013, 144, 510–520. [Google Scholar] [CrossRef]
  15. Yi, P.X.; Huang, M.; Guo, L.J.; Shi, T.L. Dual recycling channel decision in retailer oriented closed-loop supply chain for construction machinery remanufacturing. J. Clean. Prod. 2016, 137, 1393–1405. [Google Scholar] [CrossRef]
  16. Taleizadeh, A.A.; Moshtagh, M.S.; Moon, I. Pricing, product quality, and collection optimization in a decentralized closed-loop supply chain with different channel structures: Game theoretical approach. J. Clean. Prod. 2018, 189, 406–431. [Google Scholar] [CrossRef]
  17. Hammond, D.; Beullens, P. Closed-loop supply chain network equilibrium under legislation. Eur. J. Oper. Res. 2007, 183, 895–908. [Google Scholar] [CrossRef]
  18. Feng, Z.F.; Wang, Z.P.; Chen, Y. The equilibrium of closed-loop supply chain super network with time-dependent parameters. Transp. Res. Part E Logist. Transp. Rev. 2014, 64, 1–11. [Google Scholar] [CrossRef]
  19. Zhang, G.T.; Zhong, Y.G.; Sun, H.; Hu, J.S.; Dai, G.X. Multi-period closed-loop supply chain network equilibrium with carbon emission constraints. Resour. Conserv. Recycl. 2015, 104, 354–365. [Google Scholar]
  20. Wei, J.; Zhao, J. Pricing decisions with retail competition in a fuzzy closed-loop supply chain. Expert Syst. Appl. 2011, 38, 11209–11216. [Google Scholar] [CrossRef]
  21. Wang, W.B.; Fan, L.L.; Ma, P.; Zhang, P.; Lu, Z.Y. Reward-penalty mechanism in a closed-loop supply chain with sequential manufacturers’ price competition. J. Clean. Prod. 2017, 168, 118–130. [Google Scholar] [CrossRef]
  22. Wang, N.M.; He, Q.D.; Jiang, B. Hybrid closed-loop supply chains with competition in recycling and product markets. Int. J. Prod. Econ. 2018. [Google Scholar] [CrossRef]
  23. Alexander, G.J.; Baptista, A.M. A comparison of VaR and CVaR constraints on portfolio selection with the mean-variance model. Manag. Sci. 2004, 50, 1261–1273. [Google Scholar] [CrossRef]
  24. Chi, Y.; Tan, K.S. Optimal reinsurance under VaR and CVaR risk measures: A simplified approach. ASTIN Bull. 2011, 41, 487–509. [Google Scholar]
  25. Xu, G.Y.; Dan, B.; Zhang, X.M.; Liu, C. Coordinating a dual-channel supply chain with risk-averse under a two-way revenue sharing contract. Int. J. Prod. Econ. 2014, 147, 171–179. [Google Scholar] [CrossRef]
  26. Wei, Y.; Choi, T.M. Mean–variance analysis of supply chains under wholesale pricing and profit sharing schemes. Eur. J. Oper. Res. 2010, 204, 255–262. [Google Scholar] [CrossRef]
  27. Chiu, C.H.; Choi, T.M.; Li, X. Supply chain coordination with risk sensitive retailer under target sales rebate. Automatica 2011, 47, 1617–1625. [Google Scholar] [CrossRef]
  28. Xu, X.S.; Meng, Z.Q.; Shen, R. A tri-level programming model based on conditional value-at-Risk for three-stage supply chain management. Comput. Ind. Eng. 2013, 66, 470–475. [Google Scholar] [CrossRef]
  29. Li, B.; Hou, P.W.; Chen, P.; Li, Q.H. Pricing strategy and coordination in a dual channel supply chain with arisk-averse retailer. Int. J. Prod. Econ. 2016, 178, 154–168. [Google Scholar] [CrossRef]
  30. Zhou, Y.W.; Li, J.C.; Zhong, Y.G. Cooperative advertising and ordering policies in a two-echelon supply chain with risk-averse agents. Omega Int. J. Manag. Sci. 2018, 75, 97–117. [Google Scholar] [CrossRef]
  31. Xiao, T.J.; Yang, D.Q. Price and service competition of supply chains with risk-averse retailers under demand uncertainty. Int. J. Prod. Econ. 2008, 114, 187–200. [Google Scholar] [CrossRef]
  32. Liu, M.Q.; Cao, E.B.; Salifou, C.K. Pricing strategies of a dual-channel supply chain with risk aversion. Transp. Res. Part E Logist. Transp. Rev. 2016, 90, 108–120. [Google Scholar] [CrossRef]
  33. Yao, Z.; Leung, S.C.H.; Lai, K.K. Manufacturer’s revenue-sharing contract and retail competition. Eur. J. Oper. Res. 2008, 186, 637–651. [Google Scholar] [CrossRef]
  34. Lau, H.S.; Lau, A.H.L. Manufacturer’s pricing strategy and return policy for a single-period commodity. Eur. J. Oper. Res. 1999, 116, 291–304. [Google Scholar] [CrossRef]
  35. He, Y.J. Supply risk sharing in a closed-loop supply chain. Int. J. Prod. Econ. 2017, 183, 39–52. [Google Scholar] [CrossRef]
Figure 1. Relationship between w m d and w m c , and η m and η r .
Figure 1. Relationship between w m d and w m c , and η m and η r .
Sustainability 10 03198 g001
Figure 2. Relationship between p m d and p m c , and η m and η r .
Figure 2. Relationship between p m d and p m c , and η m and η r .
Sustainability 10 03198 g002
Figure 3. Relationship between p i d and η m , η r .
Figure 3. Relationship between p i d and η m , η r .
Sustainability 10 03198 g003
Figure 4. Relationship between p r i d and η m , η r .
Figure 4. Relationship between p r i d and η m , η r .
Sustainability 10 03198 g004
Figure 5. Relationship between p i c and η m and η r .
Figure 5. Relationship between p i c and η m and η r .
Sustainability 10 03198 g005
Figure 6. Relationship between p r i c and η m and η r .
Figure 6. Relationship between p r i c and η m and η r .
Sustainability 10 03198 g006
Table 1. Comparison of profit distribution among supply chain members. (under different decision-making scenarios).
Table 1. Comparison of profit distribution among supply chain members. (under different decision-making scenarios).
Decision Process 2 π r π m π η r η m
decentralized decision10,095.5788718.34218,813.920.40.6
centralized decision 19,396.10460.40.6

Share and Cite

MDPI and ACS Style

Zou, H.; Qin, J.; Yang, P.; Dai, B. A Coordinated Revenue-Sharing Model for a Sustainable Closed-Loop Supply Chain. Sustainability 2018, 10, 3198. https://doi.org/10.3390/su10093198

AMA Style

Zou H, Qin J, Yang P, Dai B. A Coordinated Revenue-Sharing Model for a Sustainable Closed-Loop Supply Chain. Sustainability. 2018; 10(9):3198. https://doi.org/10.3390/su10093198

Chicago/Turabian Style

Zou, Hao, Jin Qin, Peng Yang, and Bo Dai. 2018. "A Coordinated Revenue-Sharing Model for a Sustainable Closed-Loop Supply Chain" Sustainability 10, no. 9: 3198. https://doi.org/10.3390/su10093198

APA Style

Zou, H., Qin, J., Yang, P., & Dai, B. (2018). A Coordinated Revenue-Sharing Model for a Sustainable Closed-Loop Supply Chain. Sustainability, 10(9), 3198. https://doi.org/10.3390/su10093198

Note that from the first issue of 2016, this journal uses article numbers instead of page numbers. See further details here.

Article Metrics

Back to TopTop